Bioelectrical Impedance Parameters as Predictors of Functional Outcomes in Patients Undergoing Rehabilitation After Femoral Fracture Surgery: A Pilot Study
Abstract
1. Introduction
2. Materials and Methods
2.1. Study Design
2.2. Surgery
2.3. Treatment
- −
- Passive rehabilitation with induced lower limbs movements lying on a bed;
- −
- Active rehabilitation with lower limb movements lying on a bed;
- −
- Active rehabilitation with lower limb movements, helped by a walker or bars;
- −
- Active rehabilitation with lower limb movements on a horizontal surface, helped by crutches;
- −
- Active rehabilitation with lower limbs movements on a vertical surface (stairs), helped by crutches.
2.4. Anthropometry
2.5. BIVA
- (1)
- On the entire body, through electrodes positioned on the right hand and foot: two electrodes were placed on the back of the right hand at the midpoint of the styloid process, and 5 cm away, and two electrodes were placed on the back of the right foot at the midpoint of the malleolus process.
- (2)

2.6. Activity of Daily Living Indices
2.7. Statistical Analysis
3. Results
3.1. Daily Activity
3.2. Anthropometry
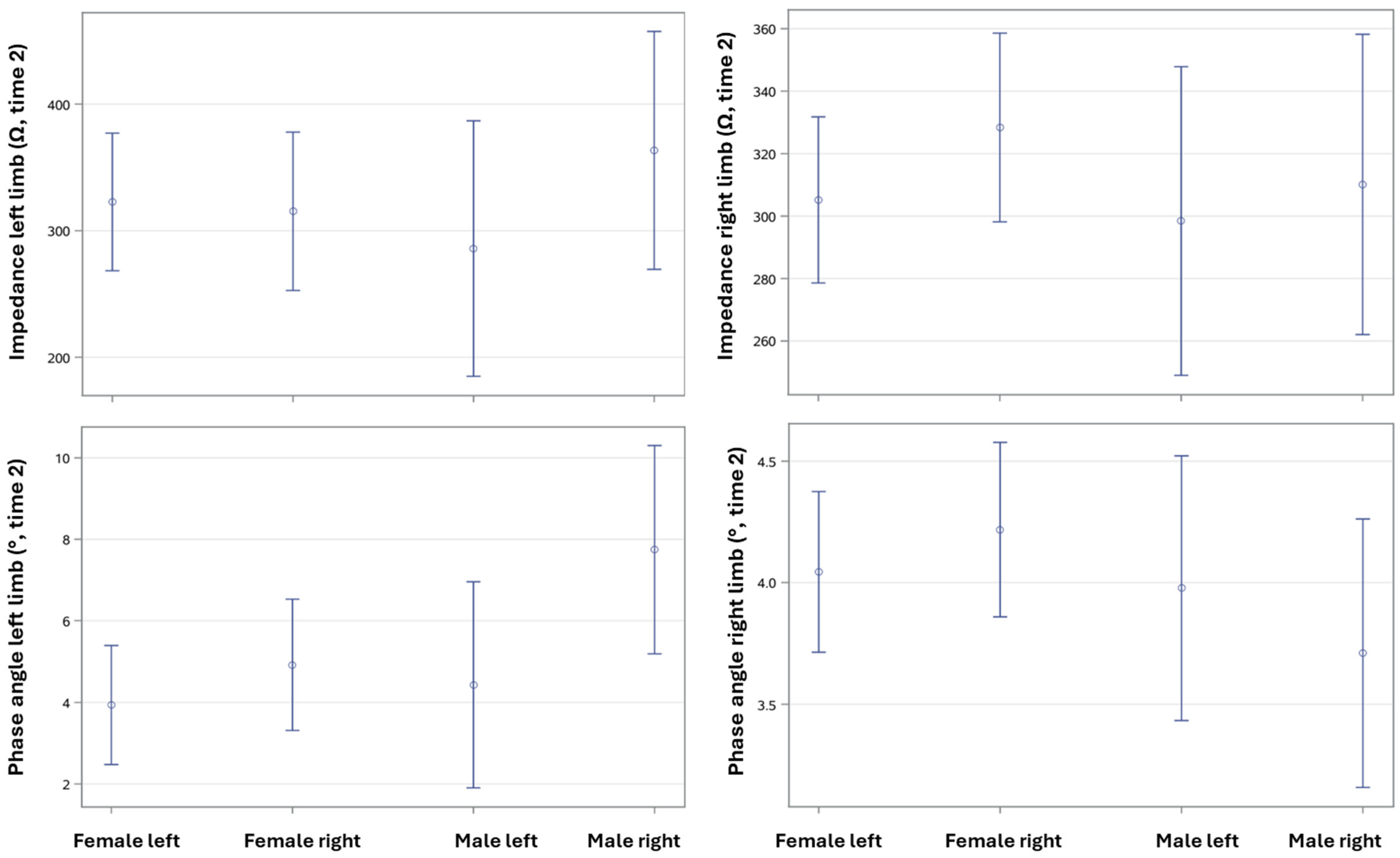
3.3. BIA
4. Discussion
- (a)
- We cannot enrol an equal number of male and female participants, which can introduce sex-related bias.
- (b)
- The small sample size needs further evaluation to confirm and extend the presented results.
- (c)
- We cannot evaluate and measure haematoma status, which restrains the consideration of the oedema effect.
- (d)
- The absence of a control group of healthy elderly individuals restricts the generalizability of the findings. Although the use of the untreated limb as an internal control is an innovative and practical solution in a clinical setting and has been employed in other studies as a strategy to assess recovery, it assumes that the contralateral limb remains unaffected by the systemic consequences of surgery, bed rest, and rehabilitation [32,34]. However, it is plausible that both limbs could be influenced by overall physiological changes induced by hospitalisation, inflammation, immobilisation, and altered physical activity levels. This systemic impact might confound the interpretation of localised changes in BIA parameters, potentially underestimating or overestimating the actual recovery trajectory of the treated limb. Future studies should consider including a healthy control group and/or patients undergoing different types of surgeries to isolate local versus systemic effects more effectively and validate BIA as a reliable biomarker for post-operative rehabilitation monitoring.
5. Conclusions
Author Contributions
Funding
Institutional Review Board Statement
Informed Consent Statement
Data Availability Statement
Acknowledgments
Conflicts of Interest
Abbreviations
| BIA | Bioelectric Impedance Analysis |
| PhA | Phase Angle |
| R | Resistance |
| Xc | Capacitive Reactance |
| BIVA | Bioelectric Impedance Vectorial Analysis |
| NSAID | Nonsteroidal anti-inflammatory drug |
| BMI | Body Mass Index |
| ADL | Activity of Daily Living |
| ANOVA | Analysis of Variance |
| GG | Greenhouse-Geisser |
| RR | Risk Ratio |
| OR | Odds Ratio |
| CI | Confidence Intervals |
| HR | Hazard Ratio |
| WHR | Waist-Hip Ratio |
| WHO | World Health Organization |
References
- Ukai, T.; Watanabe, M. Do Metal Implants for Total Hip Arthroplasty Affect Bioelectrical Impedance Analysis? A Retrospective Study. BMC Musculoskelet. Disord. 2023, 24, 763. [Google Scholar] [CrossRef]
- Borgström, F.; Karlsson, L.; Ortsäter, G.; Norton, N.; Halbout, P.; Cooper, C.; Lorentzon, M.; McCloskey, E.V.; Harvey, N.C.; Javaid, M.K.; et al. Fragility Fractures in Europe: Burden, Management and Opportunities. Arch. Osteoporos. 2020, 15, 59. [Google Scholar] [CrossRef]
- Elliott, J.; Beringer, T.; Kee, F.; Marsh, D.; Willis, C.; Stevenson, M. Predicting Survival after Treatment for Fracture of the Proximal Femur and the Effect of Delays to Surgery. J. Clin. Epidemiol. 2003, 56, 788–795. [Google Scholar] [CrossRef]
- D’Adamo, C.R.; Hawkes, W.G.; Miller, R.R.; Jones, M.; Hochberg, M.; Yu-Yahiro, J.; Hebel, J.R.; Magaziner, J. Short-Term Changes in Body Composition after Surgical Repair of Hip Fracture. Age Ageing 2013, 43, 275. [Google Scholar] [CrossRef]
- Dyer, S.M.; Crotty, M.; Fairhall, N.; Magaziner, J.; Beaupre, L.A.; Cameron, I.D.; Sherrington, C. A Critical Review of the Long-Term Disability Outcomes Following Hip Fracture. BMC Geriatr. 2016, 16, 158. [Google Scholar] [CrossRef]
- Tang, V.L.; Sudore, R.; Cenzer, I.S.; Boscardin, W.J.; Smith, A.; Ritchie, C.; Wallhagen, M.; Finlayson, E.; Petrillo, L.; Covinsky, K. Rates of Recovery to Pre-Fracture Function in Older Persons with Hip Fracture: An Observational Study. J. Gen. Intern. Med. 2017, 32, 153–158. [Google Scholar] [CrossRef] [PubMed]
- Visser, M.; Harris, T.B.; Fox, K.M.; Hawkes, W.; Hebel, J.R.; Yahiro, J.Y.; Michael, R.; Zimmerman, S.I.; Magaziner, J. Change in Muscle Mass and Muscle Strength after a Hip Fracture: Relationship to Mobility Recovery. J. Gerontol. Ser. A Biol. Sci. Med. Sci. 2000, 55, M434–M440. [Google Scholar] [CrossRef] [PubMed]
- Beaupre, L.A.; Cinats, J.G.; Senthilselvan, A.; Lier, D.; Jones, C.A.; Scharfenberger, A.; Johnston, D.W.C.; Saunders, L.D. Reduced Morbidity for Elderly Patients with a Hip Fracture after Implementation of a Perioperative Evidence-Based Clinical Pathway. Qual. Saf. Health Care 2006, 15, 375–379. [Google Scholar] [CrossRef]
- Koval, K.J.; Cooley, M.R. Clinical Pathway after Hip Fracture. Disabil. Rehabil. 2005, 27, 1053–1060. [Google Scholar] [CrossRef]
- Lee, S.Y.; Beom, J.; Kim, B.R.; Lim, S.K.; Lim, J.Y. Comparative Effectiveness of Fragility Fracture Integrated Rehabilitation Management for Elderly Individuals after Hip Fracture Surgery: A Study Protocol for a Multicenter Randomized Controlled Trial. Medicine 2018, 97, e10763. [Google Scholar] [CrossRef]
- Hirose, J.; Ide, J.; Yakushiji, T.; Abe, Y.; Nishida, K.; Maeda, S.; Anraku, Y.; Usuku, K.; Mizuta, H. Prediction of Postoperative Ambulatory Status 1 Year After Hip Fracture Surgery. Arch. Phys. Med. Rehabil. 2010, 91, 67–72. [Google Scholar] [CrossRef]
- Kristensen, M.T.; Foss, N.B.; Ekdahl, C.; Kehlet, H. Prefracture Functional Level Evaluated by the New Mobility Score Predicts In-Hospital Outcome after Hip Fracture Surgery. Acta Orthop. 2010, 81, 296–302. [Google Scholar] [CrossRef]
- González-Montalvo, J.I.; Alarcón, T.; Gotor, P.; Queipo, R.; Velasco, R.; Hoyos, R.; Pardo, A.; Otero, A. Prevalence of Sarcopenia in Acute Hip Fracture Patients and Its Influence on Short-Term Clinical Outcome. Geriatr. Gerontol. Int. 2016, 16, 1021–1027. [Google Scholar] [CrossRef]
- Landi, F.; Calvani, R.; Ortolani, E.; Salini, S.; Martone, A.M.; Santoro, L.; Santoliquido, A.; Sisto, A.; Picca, A.; Marzetti, E. The Association between Sarcopenia and Functional Outcomes among Older Patients with Hip Fracture Undergoing In-Hospital Rehabilitation. Osteoporos. Int. 2017, 28, 1569–1576. [Google Scholar] [CrossRef] [PubMed]
- Norman, K.; Stobäus, N.; Pirlich, M.; Bosy-Westphal, A. Bioelectrical Phase Angle and Impedance Vector Analysis—Clinical Relevance and Applicability of Impedance Parameters. Clin. Nutr. 2012, 31, 854–861. [Google Scholar] [CrossRef] [PubMed]
- Janssen, I.; Heymsfield, S.B.; Baumgartner, R.N.; Ross, R. Estimation of Skeletal Muscle Mass by Bioelectrical Impedance Analysis. J. Appl. Physiol. 2000, 89, 465–471. [Google Scholar] [CrossRef]
- Mijnarends, D.M.; Meijers, J.M.M.; Halfens, R.J.G.; Ter Borg, S.; Luiking, Y.C.; Verlaan, S.; Schoberer, D.; Cruz Jentoft, A.J.; Van Loon, L.J.C.; Schols, J.M.G.A. Validity and Reliability of Tools to Measure Muscle Mass, Strength, and Physical Performance in Community-Dwelling Older People: A Systematic Review. J. Am. Med. Dir. Assoc. 2013, 14, 170–178. [Google Scholar] [CrossRef]
- Steihaug, O.M.; Gjesdal, C.G.; Bogen, B.; Ranhoff, A.H. Identifying Low Muscle Mass in Patients with Hip Fracture: Validation of Bioelectrical Impedance Analysis and Anthropometry Compared to Dual Energy X-Ray Absorptiometry. J. Nutr. Health Aging 2016, 20, 685–690. [Google Scholar] [CrossRef] [PubMed]
- Baumgartner, R.N.; Chumlea, W.C.; Roche, A.F. Bioelectric Impedance Phase Angle and Body Composition. Am. J. Clin. Nutr. 1988, 48, 16–23. [Google Scholar] [CrossRef]
- Barbosa-Silva, M.C.G.; Barros, A.J.D.; Wang, J.; Heymsfield, S.B.; Pierson, R.N. Bioelectrical Impedance Analysis: Population Reference Values for Phase Angle by Age and Sex. Am. J. Clin. Nutr. 2005, 82, 49–52. [Google Scholar] [CrossRef]
- Kyle, U.G.; Bosaeus, I.; De Lorenzo, A.D.; Deurenberg, P.; Elia, M.; Gómez, J.M.; Heitmann, B.L.; Kent-Smith, L.; Melchior, J.C.; Pirlich, M.; et al. Bioelectrical Impedance Analysis—Part II: Utilization in Clinical Practice. Clin. Nutr. 2004, 23, 1430–1453. [Google Scholar] [CrossRef]
- Lukaski, H.C.; Kyle, U.G.; Kondrup, J. Assessment of Adult Malnutrition and Prognosis with Bioelectrical Impedance Analysis: Phase Angle and Impedance Ratio. Curr. Opin. Clin. Nutr. Metab. Care 2017, 20, 330–339. [Google Scholar] [CrossRef]
- Garlini, L.M.; Alves, F.D.; Ceretta, L.B.; Perry, I.S.; Souza, G.C.; Clausell, N.O. Phase Angle and Mortality: A Systematic Review. Eur. J. Clin. Nutr. 2019, 73, 495–508. [Google Scholar] [CrossRef]
- Colín-Ramírez, E.; Castillo-Martínez, L.; Orea-Tejeda, A.; Vázquez-Durán, M.; Rodríguez, A.E.; Keirns-Davis, C. Bioelectrical Impedance Phase Angle as a Prognostic Marker in Chronic Heart Failure. Nutrition 2012, 28, 901–905. [Google Scholar] [CrossRef]
- Norman, K.; Stobäus, N.; Zocher, D.; Bosy-Westphal, A.; Szramek, A.; Scheufele, R.; Smoliner, C.; Pirlich, M. Cutoff Percentiles of Bioelectrical Phase Angle Predict Functionality, Quality of Life, and Mortality in Patients with Cancer. Am. J. Clin. Nutr. 2010, 92, 612–619. [Google Scholar] [CrossRef] [PubMed]
- Miura, T.; Matsumoto, Y.; Kawaguchi, T.; Masuda, Y.; Okizaki, A.; Koga, H.; Tagami, K.; Watanabe, Y.S.; Uehara, Y.; Yamaguchi, T.; et al. Low Phase Angle Is Correlated with Worse General Condition in Patients with Advanced Cancer. Nutr. Cancer 2019, 71, 83–88. [Google Scholar] [CrossRef] [PubMed]
- Ko, S.J.; Cho, J.; Choi, S.M.; Park, Y.S.; Lee, C.H.; Lee, S.M.; Yoo, C.G.; Kim, Y.W.; Lee, J. Phase Angle and Frailty Are Important Prognostic Factors in Critically Ill Medical Patients: A Prospective Cohort Study. J. Nutr. Health Aging 2021, 25, 218–223. [Google Scholar] [CrossRef] [PubMed]
- Campa, F.; Coratella, G.; Cerullo, G.; Stagi, S.; Paoli, S.; Marini, S.; Grigoletto, A.; Moroni, A.; Petri, C.; Andreoli, A.; et al. New Bioelectrical Impedance Vector References and Phase Angle Centile Curves in 4367 Adults: The Need for an Urgent Update after 30 Years. Clin. Nutr. 2023, 42, 1749–1758. [Google Scholar] [CrossRef]
- Kyle, U.G.; Soundar, E.P.; Genton, L.; Pichard, C. Can Phase Angle Determined by Bioelectrical Impedance Analysis Assess Nutritional Risk? A Comparison between Healthy and Hospitalized Subjects. Clin. Nutr. 2012, 31, 875–881. [Google Scholar] [CrossRef]
- Shin, Y.; Brangwynne, C.P. Liquid Phase Condensation in Cell Physiology and Disease. Science 2017, 357, eaaf4382. [Google Scholar] [CrossRef]
- Wirth, R.; Volkert, D.; Rösler, A.; Sieber, C.C.; Bauer, J.M. Bioelectric Impedance Phase Angle Is Associated with Hospital Mortality of Geriatric Patients. Arch. Gerontol. Geriatr. 2010, 51, 290–294. [Google Scholar] [CrossRef]
- Kołodziej, M.; Kozieł, S.; Ignasiak, Z. The Use of the Bioelectrical Impedance Phase Angle to Assess the Risk of Sarcopenia in People Aged 50 and above in Poland. Int. J. Environ. Res. Public Health 2022, 19, 4687. [Google Scholar] [CrossRef] [PubMed]
- Lim, S.K.; Lim, J.Y. Phase Angle as a Predictor of Functional Outcomes in Patients Undergoing In-Hospital Rehabilitation after Hip Fracture Surgery. Arch. Gerontol. Geriatr. 2020, 89, 104060. [Google Scholar] [CrossRef]
- Steihaug, O.M.; Bogen, B.; Kristoffersen, M.H.; Ranhoff, A.H. Bones, Blood and Steel: How Bioelectrical Impedance Analysis Is Affected by Hip Fracture and Surgical Implants. J. Electr. Bioimpedance 2017, 8, 54–59. [Google Scholar] [CrossRef]
- Lim, S.K.; Lee, S.Y.; Beom, J.; Lim, J.Y. Comparative Outcomes of Inpatient Fragility Fracture Intensive Rehabilitation Management (FIRM) after Hip Fracture in Sarcopenic and Non-Sarcopenic Patients: A Prospective Observational Study. Eur. Geriatr. Med. 2018, 9, 641–650. [Google Scholar] [CrossRef] [PubMed]
- Codognotto, M.; Piazza, M.; Frigatti, P.; Piccoli, A. Influence of Localized Edema on Whole-Body and Segmental Bioelectrical Impedance. Nutrition 2008, 24, 569–574. [Google Scholar] [CrossRef]
- Piccoli, A.; Rossi, B.; Pillon, L.; Bucciante, G. A New Method for Monitoring Body Fluid Variation by Bioimpedance Analysis: The RXc Graph. Kidney Int. 1994, 46, 534–539. [Google Scholar] [CrossRef]
- Lukaski, H.; Raymond-Pope, C.J. New Frontiers of Body Composition in Sport. Int. J. Sports Med. 2021, 42, 588. [Google Scholar] [CrossRef]
- Valutazione Antropometrica in Clinica, Riabilitazione e Sport: Cagnazzo, Francesco, Cagnazzo, Raffaele: Amazon.It: Books. Available online: https://www.amazon.it/Valutazione-antropometrica-clinica-riabilitazione-sport/dp/8870513297 (accessed on 13 May 2025).
- Cole, T.J.; Lobstein, T. Extended international (IOTF) body mass index cut-offs for thinness, overweight and obesity. Pediatr. Obes. 2012, 7, 284–294. [Google Scholar] [CrossRef]
- Organ, L.W.; Bradham, G.B.; Gore, D.T.; Lozier, S.L. Segmental Bioelectrical Impedance Analysis: Theory and Application of a New Technique. J. Appl. Physiol. 1994, 77, 98–112. [Google Scholar] [CrossRef]
- Kiyoshi, I. Iterative weighted least-squares estimates in a heteroscedastic linear regression model. J. Stat. Plan. Inference 2003, 110, 133–146. [Google Scholar] [CrossRef]
- Morris, J.A.; Gardner, M.J. Calculating confidence intervals for relative risks (odds ratios) and standardised ratios and rates. Br. Med. J. (Clin. Res. Ed.) 1988, 296, 1313–1316. [Google Scholar] [CrossRef]
- Pugh, S.L.; Brown, P.D.; Enserro, D. Missing repeated measures data in clinical trials. Neuro-Oncol. Pract. 2021, 9, 35–42. [Google Scholar] [CrossRef] [PubMed]
- Nishida, C.; Ko, G.T.; Kumanyika, S. Body Fat Distribution and Noncommunicable Diseases in Populations: Overview of the 2008 WHO Expert Consultation on Waist Circumference and Waist-Hip Ratio. Eur. J. Clin. Nutr. 2010, 64, 2–5. [Google Scholar] [CrossRef]
- Ishimoto, R.; Mutsuzaki, H.; Shimizu, Y.; Takeuchi, R.; Matsumoto, S.; Hada, Y. Association between Sarcopenia and Balance in Patients Undergoing Inpatient Rehabilitation after Hip Fractures: A Retrospective Cohort Study. Medicina 2024, 60, 742. [Google Scholar] [CrossRef]
- Naruishi, K.; Yumoto, H.; Kido, J. Clinical Effects of Low Body Mass Index on Geriatric Status in Elderly Patients. Exp. Gerontol. 2018, 110, 86–91. [Google Scholar] [CrossRef] [PubMed]
- Ahamed, F.; Rehman, T.; Krishnamoorthy, Y.; Kaur, A.; Debnath, A.; Ghosh, T. Underweight Is an Important Predictor for Functional Impairment among the Older Adults in Urban West Bengal, India: A Cross Sectional Analytical Study. J. Family Med. Prim. Care 2022, 11, 2008–2013. [Google Scholar] [CrossRef]
- Streubel, P.N.; Ricci, W.M.; Wong, A.; Gardner, M.J. Mortality after Distal Femur Fractures in Elderly Patients. Clin. Orthop. Relat. Res. 2011, 469, 1188–1196. [Google Scholar] [CrossRef]
- Szczesny, G.; Olszewski, W.L. The pathomechanism of posttraumatic oedema of the lower limbs: II—Changes in the lymphatic system. J. Trauma Acute Care Surg. 2003, 55, 350–354. [Google Scholar] [CrossRef] [PubMed]
- Kang, S.H.; Cho, K.H.; Park, J.W.; Yoon, K.W.; Do, J.Y. Comparison of Bioimpedance Analysis and Dual-Energy x-Ray Absorptiometry Body Composition Measurements in Peritoneal Dialysis Patients According to Edema. Clin. Nephrol. 2013, 79, 261–268. [Google Scholar] [CrossRef]
- Lohman, T.G.; Going, S.B. Multicomponent Models in Body Composition Research: Opportunities and Pitfalls. In Human Body Composition; Basic Life Sciences; Springer Nature: Berlin, Germany, 1993; Volume 60, pp. 53–58. [Google Scholar] [CrossRef] [PubMed]
- Lorenzo, I.; Serra-Prat, M.; Carlos Yébenes, J. The Role of Water Homeostasis in Muscle Function and Frailty: A Review. Nutrients 2019, 11, 1857. [Google Scholar] [CrossRef] [PubMed]


| Variables | Sex | Side of Femoral Surgery | Baseline | Time 1 | Time 2 |
|---|---|---|---|---|---|
| Body Mass (kg) | ♀ | left | 66.29 ± 11.70 | 66.70 ± 11.77 | 65.23 ± 11.74 |
| right | 52.98 ± 12.17 | 53.47 ± 13.11 | 53.17 ± 12.59 | ||
| ♂ | left | 68.17 ± 9.60 | 68.73 ± 8.22 | 66.17 ± 8.73 | |
| right | 65.40 ± 10.55 | 65.10 ± 10.42 | 64.60 ± 10.86 | ||
| Barthel | ♀ | left | 23.72 ± 11.47° | 49.22 ± 16.11° | 63.77 ± 13.08 |
| right | 25.93 ± 15.47° | 45.2 ± 21.99° | 61.53 ± 19.01 | ||
| ♂ | left | 22.83 ± 8.65° | 39.33 ± 12.87° | 61.16 ± 12.81 | |
| right | 22.83 ± 11.17° | 43.83 ± 22.77° | 63.16 ± 14.52 | ||
| Tinetti | ♀ | left | 0.00 ± 0.00° | 12.77 ± 6.48° | 18.22 ± 5.6 |
| right | 0.00 ± 0.00° | 12.13 ± 5.64° | 16.6 ± 6.09 | ||
| ♂ | left | 0.00 ± 0.00° | 10.66 ± 5.68° | 16.83 ± 3.25 | |
| right | 0.00 ± 0.00° | 12.16 ± 5.7° | 16 ± 6.06 | ||
| Right thigh circumference (cm) | ♀ | left | 50.02 ± 6.57 | 50.36 ± 6.49° | 49.63 ± 5.37 |
| right | 46.94 ± 6.43° | 46.33 ± 6.64° | 45 ± 6.87 | ||
| ♂ | left | 45.83 ± 4.79° | 44.58 ± 4.86 | 44.66 ± 3.72 | |
| right | 45.41 ± 5.51° | 45.41 ± 6.16 | 44.48 ± 6.22 | ||
| Left thigh circumference (cm) | ♀ | left | 51.94 ± 7.22° | 51.25 ± 6.85 | 50.91 ± 5.71 |
| right | 45.43 ± 8.03° | 45.33 ± 7.21° | 44.58 ± 7.49 | ||
| ♂ | left | 47.5 ± 6.95° | 46.91 ± 6.43 | 46.91 ± 5.98 | |
| right | 43.83 ± 4.7° | 45.16 ± 5.26° | 44.38 ± 5.7 | ||
| Right calf circumference (cm) | ♀ | left | 31.94 ± 4.46° | 31.88 ± 3.99 | 31.41 ± 4.41 |
| right | 30 ± 3.94° | 30.23 ± 3.72 | 29.69 ± 4.32 | ||
| ♂ | left | 31.5 ± 2.51° | 32.25 ± 2.09 | 32.58 ± 2.1 | |
| right | 28.75 ± 2.42 | 28.75 ± 2.58 | 28.71 ± 2.82 | ||
| Left calf circumference (cm) | ♀ | left | 32.05 ± 4.26 | 32.05 ± 3.86 | 32.02 ± 3.35 |
| right | 29.93 ± 3.81 | 29.92 ± 3.56 | 29.91 ± 4.01 | ||
| ♂ | left | 32.16 ± 3.07° | 31.66 ± 3.09 | 31.66 ± 2.52 | |
| right | 29.16 ± 3.71 | 28.83 ± 3.77° | 29.51 ± 3.35 | ||
| R (Ω) | ♀ | left | 577.19 ± 74.94° | 544.99 ± 60.15 | 550.02 ± 100.6 |
| right | 615.21 ± 92.48 | 611.91 ± 98.74° | 633.09 ± 65.46 | ||
| ♂ | left | 492.28 ± 137.03 | 502.78 ± 61.88° | 488.25 ± 63.44 | |
| right | 632.66 ± 91.56 | 576.4 ± 79.59° | 609.76 ± 52.88 | ||
| Xc (Ω) | ♀ | left | 60.87 ± 40.33° | 56.62 ± 33.15 | 42.5 ± 18.96 |
| right | 58.68 ± 32.97° | 46.64 ± 23.07 | 42.12 ± 8.96 | ||
| ♂ | left | 57.55 ± 24.24° | 37.91 ± 9.42 | 34.06 ± 4.67 | |
| right | 116.25 ± 111.76° | 93.38 ± 117.61 | 85.6 ± 100.37 | ||
| Phase Angle | ♀ | left | 5.82 ± 2.84° | 5.57 ± 2.63° | 4.81 ± 1.51 |
| right | 4.94 ± 2.22° | 3.9 ± 0.70° | 4.41 ± 1.19 | ||
| ♂ | left | 9.45 ± 9.28° | 4.28 ± 0.58° | 3.95 ± 0.32 | |
| right | 4.46 ± 1.08° | 8.46 ± 9.42° | 4.1 ± 1.82 | ||
| Specific right-limb R (Ω/m) | ♀ | left | 302.85 ± 90.3 | 309.98 ± 54.79° | 305.81 ± 51.04 |
| right | 332.8 ± 62.74 | 328.19 ± 57.04° | 349.34 ± 90.83 | ||
| ♂ | left | 259.22 ± 56.32 | 243.47 ± 42° | 241.21 ± 46.95 | |
| right | 331.99 ± 57.65° | 283.06 ± 46.53 | 292.37 ± 61.43 | ||
| Specific right-limb Xc (Ω/m) | ♀ | left | 39.98 ± 66.16° | 23.37 ± 10.23 | 23.47 ± 5.72 |
| right | 24.75 ± 9.23 | 22.14 ± 6.08° | 31.45 ± 16.18 | ||
| ♂ | left | 19.48 ± 6.05° | 17.53 ± 5.66 | 17.79 ± 5.65 | |
| right | 70.02 ± 24.81 | 26.17 ± 14.32° | 59.63 ± 21.74 | ||
| Specific left-limb R (Ω/m) | ♀ | left | 305.02 ± 80.55 | 300.37 ± 66.49° | 314.48 ± 94.83 |
| right | 370.96 ± 95.97° | 353.34 ± 56.27 | 336.65 ± 60.14 | ||
| ♂ | left | 296.49 ± 20.2° | 242.66 ± 47.45 | 239.33 ± 64.77 | |
| right | 361.08 ± 45.55 | 328.65 ± 60.83° | 365.83 ± 249.49 | ||
| Specific left-limb Xc (Ω/m) | ♀ | left | 38.43 ± 60.77° | 28.35 ± 21.43 | 25.64 ± 17.39 |
| right | 32.95 ± 14.99 | 30.55 ± 20.59° | 34.62 ± 23.8 | ||
| ♂ | left | 21.49 ± 4.3° | 19.89 ± 9.5° | 16.85 ± 3.46 | |
| right | 29.65 ± 10.55° | 42.13 ± 42.3° | 38.12 ± 35.53 |
Disclaimer/Publisher’s Note: The statements, opinions and data contained in all publications are solely those of the individual author(s) and contributor(s) and not of MDPI and/or the editor(s). MDPI and/or the editor(s) disclaim responsibility for any injury to people or property resulting from any ideas, methods, instructions or products referred to in the content. |
© 2025 by the authors. Licensee MDPI, Basel, Switzerland. This article is an open access article distributed under the terms and conditions of the Creative Commons Attribution (CC BY) license.
Share and Cite
Toselli, S.; Bandini, S.; Moro, F.; Marini, S.; Grigoletto, A.; Gabrielli, S.; Cappelletti, A.; Valentini, O.; Mauro, M. Bioelectrical Impedance Parameters as Predictors of Functional Outcomes in Patients Undergoing Rehabilitation After Femoral Fracture Surgery: A Pilot Study. Appl. Sci. 2026, 16, 158. https://doi.org/10.3390/app16010158
Toselli S, Bandini S, Moro F, Marini S, Grigoletto A, Gabrielli S, Cappelletti A, Valentini O, Mauro M. Bioelectrical Impedance Parameters as Predictors of Functional Outcomes in Patients Undergoing Rehabilitation After Femoral Fracture Surgery: A Pilot Study. Applied Sciences. 2026; 16(1):158. https://doi.org/10.3390/app16010158
Chicago/Turabian StyleToselli, Stefania, Stefania Bandini, Federica Moro, Sofia Marini, Alessia Grigoletto, Sabrina Gabrielli, Angela Cappelletti, Orietta Valentini, and Mario Mauro. 2026. "Bioelectrical Impedance Parameters as Predictors of Functional Outcomes in Patients Undergoing Rehabilitation After Femoral Fracture Surgery: A Pilot Study" Applied Sciences 16, no. 1: 158. https://doi.org/10.3390/app16010158
APA StyleToselli, S., Bandini, S., Moro, F., Marini, S., Grigoletto, A., Gabrielli, S., Cappelletti, A., Valentini, O., & Mauro, M. (2026). Bioelectrical Impedance Parameters as Predictors of Functional Outcomes in Patients Undergoing Rehabilitation After Femoral Fracture Surgery: A Pilot Study. Applied Sciences, 16(1), 158. https://doi.org/10.3390/app16010158

