Sign in to use this feature.

Years

Between: -

Subjects

remove_circle_outline
remove_circle_outline
remove_circle_outline
remove_circle_outline
remove_circle_outline
remove_circle_outline
remove_circle_outline
remove_circle_outline
remove_circle_outline

Journals

Article Types

Countries / Regions

Search Results (181)

Search Parameters:
Keywords = span-to-depth ratio

Order results
Result details
Results per page
Select all
Export citation of selected articles as:
20 pages, 7395 KB  
Article
Assessing the Seismic Performance of Prefabricated Coupling Beams Using Double-Lap Sleeves: An Experimental and Numerical Investigation
by Mei Jin, Hao Wu, Lei Su, Xiaoyi Hu, Yong Zeng, Qiang Cai and Wenju Yang
Buildings 2025, 15(23), 4387; https://doi.org/10.3390/buildings15234387 - 3 Dec 2025
Viewed by 266
Abstract
To advance the application of prefabricated structures, this study proposes a novel sleeve connection for reinforced concrete coupling beams, aiming to balance the construction efficiency with seismic performance in prefabricated structures. Quasi-static tests and numerical simulations were conducted, investigating the effects of span-to-depth [...] Read more.
To advance the application of prefabricated structures, this study proposes a novel sleeve connection for reinforced concrete coupling beams, aiming to balance the construction efficiency with seismic performance in prefabricated structures. Quasi-static tests and numerical simulations were conducted, investigating the effects of span-to-depth ratio, connection type, and casting method. The experimental results demonstrate that the proposed sleeve-connected beams exhibit seismic performance comparable to, and in some cases superior to, their cast-in-place counterparts. Specifically, the prefabricated specimen with a span-to-depth ratio of 4 achieved approximately 85% of the energy dissipation capacity of its cast-in-place counterpart. However, as the span-to-depth ratio decreased, the energy dissipation capacity of the prefabricated beams increased significantly, reaching up to 2.5 times that of the cast-in-place specimens. Numerical simulations, which showed good agreement with experimental results in terms of failure modes and hysteresis curves, further revealed that concrete compressive strength has a limited influence on seismic behavior. In contrast, increasing the reinforcement ratio effectively improved stiffness and ductility. Notably, increasing the rebar diameter from 18 mm to 22 mm resulted in approximately 25% improvement in energy dissipation capacity. The findings provide novel insights and a scientific basis for the practical application of this innovative prefabricated solution. Full article
(This article belongs to the Special Issue Advances in Mechanical Behavior of Prefabricated Structures)
Show Figures

Figure 1

33 pages, 3464 KB  
Article
Finite Element Models on Shear Behavior of Deep Beams Prepared Using Steel Fiber-Reinforced Recycled Coarse Aggregate Concrete
by Said Elkholy, Mohamed Salem and Ahmed Godat
Fibers 2025, 13(12), 160; https://doi.org/10.3390/fib13120160 - 26 Nov 2025
Viewed by 237
Abstract
Numerous experimental and numerical studies have extensively investigated the performance of reinforced deep beams made with natural coarse aggregate concrete. However, limited research has been carried out on reinforced deep beams made of concrete with coarse aggregate from recycled materials and steel fibers. [...] Read more.
Numerous experimental and numerical studies have extensively investigated the performance of reinforced deep beams made with natural coarse aggregate concrete. However, limited research has been carried out on reinforced deep beams made of concrete with coarse aggregate from recycled materials and steel fibers. The main goal of this research is to create an accurate finite element model that can mimic the behavior of deep beams using concrete with recycled coarse aggregate and different ratios of steel fibers. The suggested model represents the pre-peak, post-peak, confinement, and concrete-to-steel fiber bond behavior of steel fiber concrete, reinforcing steel, and loading plates by incorporating the proper structural components and constitutive laws. The deep beams’ nonlinear load–deformation behavior is simulated in displacement-controlled settings. In order to verify the model’s correctness, the ultimate loading capacity, load–deflection relationships, and failure mechanisms are compared between numerical predictions and experimental findings. The comparison outcomes of the performance of the beams demonstrate that the numerical model effectively predicts the behavior of deep beams constructed with recycled coarse aggregate concrete. The findings of the experiment and the numerical analysis exhibit a high degree of convergence, affirming the model’s capability to accurately simulate the performance of such beams. In light of how accurately the numerical predictions match the experimental results, an extensive parametric study is conducted to examine the impact of parameters on the performance of deep beams with different ratios of steel fibers, concrete compressive strength, type of steel fibers (short or long), and effective span-to-effective depth ratio. The effect of each parameter is examined relative to its effect on the fracture energy. Full article
Show Figures

Figure 1

21 pages, 4076 KB  
Article
Finite Element Analysis and Parametric Study on the Push-Out Performance of Shear Connectors in Long-Span Composite Bridges
by Zheng Hou, Youlai Qu, Zhi Zhao, Sirui Wang and Tao Yang
Buildings 2025, 15(23), 4244; https://doi.org/10.3390/buildings15234244 - 24 Nov 2025
Viewed by 317
Abstract
This study adopts the east approach bridge of the Section II extra-long-span bridge on the Urumqi Ring Expressway (West Line) as an engineering prototype. A three-dimensional nonlinear finite element push-out model of headed stud connectors was developed in ABAQUS/Explicit and validated against existing [...] Read more.
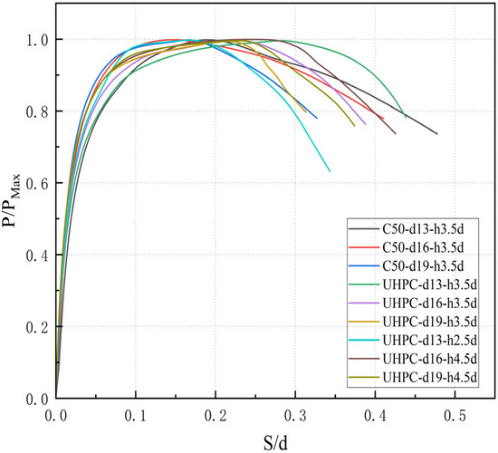
This study adopts the east approach bridge of the Section II extra-long-span bridge on the Urumqi Ring Expressway (West Line) as an engineering prototype. A three-dimensional nonlinear finite element push-out model of headed stud connectors was developed in ABAQUS/Explicit and validated against existing test data. On this basis, parametric analyses were carried out to investigate the effects of material and geometric parameters on the shear performance of the studs. The results indicate that the load–slip response can be divided into four stages: elastic, plastic-damage development, plateau, and softening. Compared with C50 concrete, UHPC markedly increases the initial stiffness of the connectors and raises the peak shear resistance by approximately 30–40%. For the smallest stud diameter, the ductility decreases by up to about 10% and the post-peak degradation becomes more rapid, i.e., ductility deterioration is more pronounced; this unfavorable effect is particularly significant when small stud diameter is combined with shallow embedment depth. Increasing the stud diameter enhances both stiffness and peak shear resistance, whereas increasing the embedment depth delays post-peak degradation, improves residual capacity and energy dissipation, and promotes a transition in failure mode from concrete-governed failure to ductile bending–shear failure of the stud. Based on these parametric results, a larger stud height-to-diameter ratio is recommended for UHPC composite structures to achieve coordinated optimization of connection stiffness, load-carrying capacity, and ductility performance. Full article
Show Figures

Figure 1

27 pages, 20251 KB  
Article
Investigation of the Sealing and Mechanical Stability of Cap Rock for Offshore CO2 Sequestration in Saline Aquifers
by Jinsen Li, Jianye Chen, Jing Peng, Yueqiang Ma and Quan Gan
Energies 2025, 18(22), 6033; https://doi.org/10.3390/en18226033 - 19 Nov 2025
Viewed by 321
Abstract
Offshore saline aquifer CO2 sequestration relies heavily on the sealing integrity and mechanical stability of mudstone caprocks, yet their responses to supercritical CO2 (scCO2) remain inadequately constrained for marine geological settings. Here, we integrate permeability measurements, scCO2 breakthrough [...] Read more.
Offshore saline aquifer CO2 sequestration relies heavily on the sealing integrity and mechanical stability of mudstone caprocks, yet their responses to supercritical CO2 (scCO2) remain inadequately constrained for marine geological settings. Here, we integrate permeability measurements, scCO2 breakthrough pressure tests, and uniaxial mechanical experiments on natural and reconstituted core samples from the Pearl River Mouth Basin to address this gap. Our results reveal extreme vertical permeability heterogeneity (spanning 10−6 to 10−1 mD) within Yuehai and Hanjiang Formation caprocks. Critically, permeability and scCO2 breakthrough pressure are decoupled: breakthrough pressure is controlled by maximum pore-throat radius, while breakthrough time depends on post-breakthrough pore network topology. ScCO2-brine-rock interactions induce pronounced geomechanical weakening, with uniaxial compressive strength decreasing by up to 71.7% and the elastic modulus reducing, while a substantial increase in Poisson’s ratio signifies a fundamental transition from brittle to ductile behavior. We have developed a comprehensive framework to delineate potential CO2 migration pathways. Hanjiang Formation Section 1 (represented by sample A3) exhibits exceptional sealing properties, characterized by ultra-low permeability (2.41 × 10−6 mD), high breakthrough pressure (>16 MPa), and extended breakthrough time (>30 min). These attributes suggest that CO2 injection into the target saline aquifer at depths between 1470 and 1500 m, situated beneath this interval, can be deemed secure with a high potential for effective long-term containment. These findings provide essential insights for optimizing offshore CO2 sequestration site selection and injection pressure management to ensure long-term containment security. Full article
(This article belongs to the Section B3: Carbon Emission and Utilization)
Show Figures

Figure 1

16 pages, 3381 KB  
Article
Strut-and-Tie Modeling of Intraply Hybrid Composite-Strengthened Deep RC Beams
by Ferit Cakir and Muhammed Alperen Ozdemir
Buildings 2025, 15(21), 3810; https://doi.org/10.3390/buildings15213810 - 22 Oct 2025
Viewed by 406
Abstract
This study presents a strut-and-tie modeling (STM) framework for reinforced concrete (RC) deep beams strengthened with intraply hybrid composites (IRCs), integrating comprehensive experimental data from beams with three different span lengths (1.0 m, 1.5 m, and 2.0 m). Although the use of fiber-reinforced [...] Read more.
This study presents a strut-and-tie modeling (STM) framework for reinforced concrete (RC) deep beams strengthened with intraply hybrid composites (IRCs), integrating comprehensive experimental data from beams with three different span lengths (1.0 m, 1.5 m, and 2.0 m). Although the use of fiber-reinforced polymers (FRPs) for shear strengthening of RC members is well established, limited attention has been given to the development of STM formulations specifically adapted for hybrid composite systems. In this research, three distinct IRC configurations—Aramid–Carbon (AC), Glass–Aramid (GA), and Carbon–Glass (CG)—were applied as U-shaped jackets to RC beams without internal transverse reinforcement and tested under four-point bending. All experimental data were derived from the authors’ previous studies, ensuring methodological consistency and providing a robust empirical basis for model calibration. The proposed modified STM incorporates both the axial stiffness and effective strain capacity of IRCs into the tension tie formulation, while also accounting for the enhanced diagonal strut performance arising from composite confinement effects. Parametric evaluations were conducted to investigate the influence of the span-to-depth ratio (a/d), composite configuration, and failure mode on the internal force distribution and STM topology. Comparisons between the STM-predicted shear capacities and experimental results revealed excellent correlation, particularly for deep beams (a/d = 1.0), where IRCs substantially contributed to the shear transfer mechanism through active tensile engagement and confinement. To the best of the authors’ knowledge, this is the first study to formulate and validate a comprehensive STM specifically designed for RC deep beams strengthened with IRCs. The proposed approach provides a unified analytical framework for predicting shear strength and optimizing the design of composite-strengthened RC structures. Full article
(This article belongs to the Section Building Materials, and Repair & Renovation)
Show Figures

Figure 1

23 pages, 3611 KB  
Article
Microstructural Evolution of Antarctic Ice with the Rising Atmospheric CO2: A Longitudinal Meta-Analysis
by Vuk Uskoković
Quaternary 2025, 8(4), 57; https://doi.org/10.3390/quat8040057 - 21 Oct 2025
Viewed by 738
Abstract
Antarctica, largely free from geopolitical borders, serves as a critical site for scientific research, environmental monitoring and climate studies. The continent’s ice cap holds over 60% of the Earth’s freshwater and provides a stable climatological record spanning 800,000 years. In this study, the [...] Read more.
Antarctica, largely free from geopolitical borders, serves as a critical site for scientific research, environmental monitoring and climate studies. The continent’s ice cap holds over 60% of the Earth’s freshwater and provides a stable climatological record spanning 800,000 years. In this study, the relationship between changes in atmospheric CO2 levels over the past century and the microstructural characteristics of Antarctic ice was investigated. While it is well-documented that CO2 fluctuations have driven the periodic expansion and retreat of ice sheets, no research to this day has explored how variations in CO2 concentrations influence the physical integrity of ice at the microscopic scale. To address this, grain size, anisotropy, irregularity, and solidity of surface and near-surface ice samples collected over the past 70 years were analyzed. These microstructural features were compared against historical atmospheric greenhouse gas data from multiple Antarctic research stations, including records from the Scripps Institution of Oceanography, the Japanese Antarctic Research Expedition, and the NOAA Global Monitoring Laboratory. Results reveal a correlation between rising CO2 levels and changes in ice microstructure, particularly an increase in the grain size as well as the reduction in the grain aspect ratio and in the morphological solidity. The study remains limited by significant sources of variability, including differences in sampling depths, geographical locations, seasonal effects, and inconsistencies in analytical tools and methodologies reported across the literature. Despite these limitations, this proof-of-concept study elicits the need for continued meta-analyses of existing climate datasets. Such efforts could provide deeper insights into the role of greenhouse gas concentrations in defining the microstructural stability of Antarctic ice, which is critical for predicting ice sheet integrity and its contribution to sea level rise. Full article
Show Figures

Figure 1

29 pages, 4806 KB  
Article
Analytical Investigation of CFRP- and Steel Plate-Strengthened RC Beams with Partially Unbonded Reinforcement
by Riliang Li and Riyad S. Aboutaha
Buildings 2025, 15(20), 3665; https://doi.org/10.3390/buildings15203665 - 11 Oct 2025
Cited by 1 | Viewed by 515
Abstract
This study investigates the flexural behavior of reinforced concrete (RC) beams strengthened with externally bonded Carbon Fiber Reinforced Polymer (CFRP) or steel plate (SP), with partial debonding between internal steel reinforcement and surrounding concrete. A finite element model was developed using ABAQUS (v2021) [...] Read more.
This study investigates the flexural behavior of reinforced concrete (RC) beams strengthened with externally bonded Carbon Fiber Reinforced Polymer (CFRP) or steel plate (SP), with partial debonding between internal steel reinforcement and surrounding concrete. A finite element model was developed using ABAQUS (v2021) and validated against existing experimental data by others. A total of 296 beam models were analyzed to assess the effects of shear span-to-depth ratio (av/d), reinforcement ratio (ρ), debonding degree (λ), strengthening material type (CFRP/SP), and material thickness (t) on residual flexural strength. Based on the finite element analysis (FEA) results, analytical models were proposed using a dimensionless parameter Ψ, defined as the ratio of equivalent plastic region length to neutral axis depth. Analytical models were developed in IBM SPSS Statistics (Version 30) and showed strong agreement with FEA results. The findings provide insight into the influence of reinforcement debonding on structural behavior and support improved prediction of residual flexural capacity in strengthened RC beams with partially unbonded reinforcement. Full article
(This article belongs to the Special Issue Assessment and Retrofit of Reinforced Concrete Structures)
Show Figures

Figure 1

22 pages, 2698 KB  
Article
Shear Capacity of Fiber-Reinforced Polymer (FRP)–Reinforced Concrete (RC) Beams Without Stirrups: Comparative Modeling with FRP Modulus, Longitudinal Ratio, and Shear Span-to-Depth
by Mereen Hassan Fahmi Rasheed, Bahman Omar Taha, Ayad Zaki Saber Agha, Mohamed M. Arbili and Payam Ismael Abdulrahman
J. Compos. Sci. 2025, 9(10), 554; https://doi.org/10.3390/jcs9100554 - 10 Oct 2025
Viewed by 1301
Abstract
This study develops data-driven models for predicting the shear capacity of reinforced concrete (RC) beams longitudinally reinforced with fiber-reinforced polymer (FRP) bars and lacking transverse reinforcement. Owing to the comparatively low elastic modulus and linear–elastic–brittle behavior of FRP bars, reliable shear prediction remains [...] Read more.
This study develops data-driven models for predicting the shear capacity of reinforced concrete (RC) beams longitudinally reinforced with fiber-reinforced polymer (FRP) bars and lacking transverse reinforcement. Owing to the comparatively low elastic modulus and linear–elastic–brittle behavior of FRP bars, reliable shear prediction remains a design challenge. A curated database of 402 tests was compiled from the literature, spanning wide ranges of beam size (width b, effective depth d), concrete compressive strength (f′c), FRP elastic modulus (Ef), longitudinal reinforcement ratio (ρf), and shear span-to-depth ratio (a/d). Multiple multivariate regression formulations—both linear and nonlinear—were developed using combinations of these variables, including a mechanics-informed reinforcement index (ρf·Ef). Model predictions were benchmarked against 15 existing expressions drawn from design codes, standards, and prior studies. Across the full database, the proposed models demonstrated consistently stronger agreement with experimental results than the existing predictors, yielding higher correlation and lower prediction error. The resulting closed-form equations are transparent and straightforward to implement, offering improved accuracy for the preliminary design and assessment of FRP-RC beams without stirrups while highlighting the influential roles of Ef, ρf, and a/d within the observed parameter ranges. Full article
(This article belongs to the Special Issue Concrete Composites in Hybrid Structures)
Show Figures

Figure 1

26 pages, 4121 KB  
Article
An Experimental Investigation of Twelve Concrete Beams Post-Tensioned with Unbonded Tendons Under Center-Point and Third-Point Loading
by Wojciech Politalski and Andrzej Seruga
Materials 2025, 18(18), 4333; https://doi.org/10.3390/ma18184333 - 16 Sep 2025
Viewed by 591
Abstract
The first concrete structures post-tensioned with unbonded tendons were constructed in the 1950s. Despite the popularity of such a type of construction solution, the theory describing the behavior of members with unbonded prestress remains relatively unknown. Different standards, provisions, and theories described by [...] Read more.
The first concrete structures post-tensioned with unbonded tendons were constructed in the 1950s. Despite the popularity of such a type of construction solution, the theory describing the behavior of members with unbonded prestress remains relatively unknown. Different standards, provisions, and theories described by scientists can be found in the literature. The main problem is related to determining the value of the prestressing force and its increments because it is dependent upon the member rather than the section due to a lack of bond between the concrete and the tendons. Both theoretical and experimental studies enable the definition of parameters that have an influence on stress increase. Three of the most important of these parameters were investigated in tests conducted by the authors. This paper presents the findings of an experimental study conducted on twelve simply supported RC beams that were prestressed with unbonded tendons. A total of twelve elements were grouped according to various criteria, including their span-to-depth ratio, prestressed reinforcement ratio, and type of loading. All beams had a low reinforcing bars index, which met the Eurocode 2 requirements. The aim of this research was to check if such a level of ordinary reinforcement ratio will enable the achievement of a satisfactory crack pattern and also a high stress increase in unbonded tendons. The members were tested to investigate their behavior and the stress increment in tendons in terms of their load-carrying capacity. Full article
(This article belongs to the Special Issue Mechanical Behavior of Advanced Composite Materials and Structures)
Show Figures

Figure 1

13 pages, 3916 KB  
Article
Experimental and Numerical Insights into the Semi-Circular Bend (SCB) Test for Tensile Strength Estimation in Rock-like Materials
by Rashid Hajivand Dastgerdi and Agnieszka A. Malinowska
Materials 2025, 18(18), 4285; https://doi.org/10.3390/ma18184285 - 12 Sep 2025
Viewed by 675
Abstract
The uncracked semi-circular bend (SCB) test has recently gained attention as a simple and material-efficient method for determining the tensile strength of brittle geomaterials. However, as reported in the literature and confirmed by our experiments, localized damage at the roller supports remains a [...] Read more.
The uncracked semi-circular bend (SCB) test has recently gained attention as a simple and material-efficient method for determining the tensile strength of brittle geomaterials. However, as reported in the literature and confirmed by our experiments, localized damage at the roller supports remains a critical limitation that may compromise measurement accuracy and test validity. This study addresses this limitation through experimental testing on red and gray sandstone, complemented by numerical simulations to provide deeper insight into stress distribution and fracture mechanisms in the SCB test. Experimental results showed that six out of twelve specimens experienced local damage, ranging from slight crushing and surficial cracking at the base roller zones in red sandstone to rock chipping in gray sandstone. The stiffer sandstone exhibited more severe local damage due to its limited deformability. These damages were attributed to minor geometric imperfections introduced during sample preparation. Nevertheless, all tests yielded valid tensile strength values, with SCB results showing good agreement with Brazilian test outcomes and demonstrating significantly lower coefficients of variation. Finite element simulations confirmed that crack initiation consistently occurred at the middle of the flat edge under pure tensile stress, indicating a mode I fracture mechanism. Numerical analyses further revealed pronounced stress concentrations, particularly compressive stresses, at the roller contact zones, induced by the specimen’s low span-to-depth ratio, which increased the fracture load required for failure. Full article
Show Figures

Figure 1

21 pages, 8396 KB  
Article
Assessment of Steel-Framed Subassemblies with Extended Reverse Channel Connections Under Falling Debris Impact
by Hao Wang, Lijie Zhao, Qi Zhang, Jianshuo Wang, Yongping Xie and Marcin Gryniewicz
Buildings 2025, 15(17), 3230; https://doi.org/10.3390/buildings15173230 - 8 Sep 2025
Viewed by 581
Abstract
Progressive collapse of building structures induced by accidental extreme loads has garnered significant attention. This study aimed to assess the impact resistance of steel-framed subassemblies with extended reverse channel connections under falling debris impact. It also sought to provide technical support for anti-collapse [...] Read more.
Progressive collapse of building structures induced by accidental extreme loads has garnered significant attention. This study aimed to assess the impact resistance of steel-framed subassemblies with extended reverse channel connections under falling debris impact. It also sought to provide technical support for anti-collapse design. Drop-hammer impact tests were conducted to obtain baseline data. A validated finite element model using ANSYS/LS-DYNA was employed for the parametric analyses. The key parameters investigated included the impact location (mid-span vs. beam end), falling height of the impactor, and span-to-depth ratio of steel beams, with a focus on the impact resistance. The results reveal that the impact resistance depends on both the peak load capacity and the deformation capacity. The mid-span impacts exhibited higher resistance at falling heights ≥ 1.0 m due to greater plastic deformation. In contrast, the beam-end impacts performed better when the falling heights were ≤0.5 m. The impact resistance decreased with an increasing falling height. The reduction ratios exceeded the theoretical values due to the post-impact gravitational energy input. Smaller SDRs enhanced the peak resistance under both impact scenarios, with more pronounced effects in the mid-span cases. Catenary action significantly improved the mid-span impact resistance (19.3–66.7%). However, it contributed minimally to the beam-end impact resistance (0.61–1.09%), where shear action dominated. These findings offer critical technical support for optimizing steel structure designs to resist falling debris impact and enhance overall structural robustness. Full article
Show Figures

Figure 1

17 pages, 1303 KB  
Article
Prediction of Skeleton Curves for Seismically Damaged RC Columns Based on a Data-Driven Machine-Learning Approach
by Pengyu Sun, Weiping Wen, Changhai Zhai and Yiran Li
Buildings 2025, 15(17), 3135; https://doi.org/10.3390/buildings15173135 - 1 Sep 2025
Viewed by 554
Abstract
The skeleton curve plays a crucial role in evaluating the seismic capacity of damaged structures. The research explored the application of data-driven machine learning approaches to predict the skeleton curves of earthquake-damaged reinforced concrete (RC) columns. Various machine learning methods, including Lasso regression, [...] Read more.
The skeleton curve plays a crucial role in evaluating the seismic capacity of damaged structures. The research explored the application of data-driven machine learning approaches to predict the skeleton curves of earthquake-damaged reinforced concrete (RC) columns. Various machine learning methods, including Lasso regression, K-nearest neighbor (KNN), support vector machine (SVM), decision tree, and AdaBoost, were employed to develop a machine learning prediction model (MLPM) for seismic-damaged RC columns. A substantial dataset for the MLPM was derived from finite element (FE) analysis results. The input parameters for the machine learning models included the design specifications of the numerical column model and the damage index (DI), while the coordinates of key points on the skeleton curves served as the output parameters. The findings indicated that the K-nearest neighbor algorithm exhibited the best predictive performance, particularly for the yielding and peak points. The most influential input feature for predicting peak strength was the shear span-to-effective depth ratio, followed by the DI. The ML-based models demonstrated higher efficiency than numerical simulations and theoretical calculations in predicting the skeleton curves of damaged RC columns. Full article
(This article belongs to the Special Issue Applications of Computational Methods in Structural Engineering)
Show Figures

Figure 1

36 pages, 16301 KB  
Article
Experimental and Numerical Investigations on Shear Performance of Large-Scale Stirrup-Free I-Shaped UHPC Beams
by Shengze Wu, Chengan Zhou, Fan Mo, Lifeng Zhang, Haibo Jiang, Yueqiang Tian and Junfa Fang
Buildings 2025, 15(17), 3129; https://doi.org/10.3390/buildings15173129 - 1 Sep 2025
Cited by 1 | Viewed by 578
Abstract
Ultra-High-Performance Concrete (UHPC) is a game-changing, innovative material with the merits of exceptional tensile strength, making it suitable for stirrup-free UHPC beams. In this study, two 4.0 m-long large-scale stirrup-free I-shaped UHPC beams were experimentally explored in bending tests and shear tests. Cracking [...] Read more.
Ultra-High-Performance Concrete (UHPC) is a game-changing, innovative material with the merits of exceptional tensile strength, making it suitable for stirrup-free UHPC beams. In this study, two 4.0 m-long large-scale stirrup-free I-shaped UHPC beams were experimentally explored in bending tests and shear tests. Cracking patterns, failure modes, and ultimate load-bearing capacity were obtained. Experimental findings revealed that the shear capacity of the stirrup-free I-shaped UHPC beams with a web thickness of merely 50.0 mm reached more than 20.0 MPa and demonstrated excellent post-cracking shear behavior. Finite element models were established and verified with experimental results to investigate the shear behaviors of stirrup-free I-shaped UHPC beams, considering the parameters of shear span-depth ratio and longitudinal reinforcement strength. The results demonstrated that as the shear span-depth ratio increases, the shear capacity of UHPC beams exhibits a declining trend, accompanied by increased mid-span deflection and a degradation in stiffness. French code and PCI report were suggested for design purposes, due to rationally conservative prediction and explicit physical indication. Full article
(This article belongs to the Section Building Structures)
Show Figures

Figure 1

26 pages, 7416 KB  
Article
Experimental and Numerical Investigation on Flexural Behaviors of a 30 m Full-Scale Prestressed UHPC-NC Composite Box Girder
by Chengan Zhou, Shengze Wu, Kaisheng Wu, Fan Mo, Haibo Jiang, Yueqiang Tian and Junfa Fang
Buildings 2025, 15(17), 3089; https://doi.org/10.3390/buildings15173089 - 28 Aug 2025
Cited by 1 | Viewed by 681
Abstract
Ultra-high-performance concrete (UHPC) exhibits significantly superior compressive and tensile properties compared to conventional concrete, demonstrating substantial application potential in bridge engineering. This study conducted full-scale bending tests on a 30 m prestressed UHPC-NC composite box girder within an actual engineering context. The testing [...] Read more.
Ultra-high-performance concrete (UHPC) exhibits significantly superior compressive and tensile properties compared to conventional concrete, demonstrating substantial application potential in bridge engineering. This study conducted full-scale bending tests on a 30 m prestressed UHPC-NC composite box girder within an actual engineering context. The testing flexural capacity Mt=34,469.2 kN·m exceeded the design requirement Md=18,138.0 kN·m, with Mt/Md=1.90. Finite element modeling (FEM) was employed to analyze and predict experimental outcomes, revealing a simulated flexural capacity of approximately 37,597.1 kN·m. The finite element models further explored failure mode transitions governed by the loading position while the concentrated load-to-support distance exceeds 9.62 m (shear span to effective depth ratio λ = 6.3), and the box girder fails in flexure; while less than 9.62 m, the box girder fails in shear. The flexural capacity of the test girder was also estimated using Response-2000 software and the recommended formulas from the Chinese code T/CCES 27-2021 (Technical specification for ultra-high-performance concrete girder bridge). The Response-2000 software yielded a flexural capacity estimate of Mr=30,816.1 kN·m. The technical specification provided two estimating results: (with safety factors) Mu1=25,414.4 kN·m and (without safety factors)  Mu2=33,810.9 kN·m. All estimated values of Response-2000 and Chinese code were rationally conservative (Mr, Mu1, Mu2<Mt). Comparative analysis demonstrates that Abaqus FEM accurately simulates the flexural behavior of the prestressed UHPC-NC composite box girders. Both Response-2000 calculations and the Chinese code T/CCES 27-2021 provide critical references for similar applications of prestressed UHPC-NC composite box girders. Full article
Show Figures

Figure 1

24 pages, 9251 KB  
Article
Shear Lag Effect in Steel-UHPC Composite Girders of Cable-Stayed Bridges Considering Slip Under Asymmetric Axial Loading
by Hua Luo, Qincong She, Bin Li, Wan Wu, Yahua Pan and Chen Yang
Buildings 2025, 15(16), 2945; https://doi.org/10.3390/buildings15162945 - 20 Aug 2025
Viewed by 842
Abstract
The study presents an analysis of steel-Ultra-High Performance Concrete (UHPC) composite girders. Five composite girder specimens were designed and tested. Analytical strain solutions for the composite girders under asymmetric axial loading were derived using the energy variation method. Results indicate that asymmetric axial [...] Read more.
The study presents an analysis of steel-Ultra-High Performance Concrete (UHPC) composite girders. Five composite girder specimens were designed and tested. Analytical strain solutions for the composite girders under asymmetric axial loading were derived using the energy variation method. Results indicate that asymmetric axial forces significantly exacerbate the shear lag effect. Decreasing the width-to-span ratio reduces the shear lag coefficient, while reducing the width-to-depth ratio increases it. The parametric analysis indicates that, under asymmetric axial loading, increasing the strength of the concrete is an effective method to reduce the shear lag effect of the composite girders. Increasing the thickness of the UHPC slab proves to be effective in reducing the shear lag effect. Furthermore, the study indicates that when the b2/b1 ratio is less than 1, it has a tiny impact on the shear lag effect; however, when the b2/b1 ratio is greater than 1, the shear lag effect becomes more pronounced with increasing b2/b1. Additionally, the thickness of the flange plate and web plate of the steel girder has no significant effect on the shear lag effect. The results of the analysis can provide references for similar designs and constructions of composite structures. Full article
(This article belongs to the Section Building Structures)
Show Figures

Figure 1

Back to TopTop