Sign in to use this feature.

Years

Between: -

Subjects

remove_circle_outline
remove_circle_outline
remove_circle_outline
remove_circle_outline
remove_circle_outline
remove_circle_outline
remove_circle_outline
remove_circle_outline
remove_circle_outline

Journals

remove_circle_outline
remove_circle_outline
remove_circle_outline
remove_circle_outline

Article Types

Countries / Regions

remove_circle_outline
remove_circle_outline
remove_circle_outline
remove_circle_outline

Search Results (693)

Search Parameters:
Keywords = ship operating condition

Order results
Result details
Results per page
Select all
Export citation of selected articles as:
29 pages, 2174 KB  
Review
Energy Management Technologies for All-Electric Ships: A Comprehensive Review for Sustainable Maritime Transport
by Lyu Xing, Yiqun Wang, Han Zhang, Guangnian Xiao, Xinqiang Chen, Qingjun Li, Lan Mu and Li Cai
Sustainability 2026, 18(8), 3778; https://doi.org/10.3390/su18083778 - 10 Apr 2026
Abstract
To systematically review the research progress, methodological frameworks, and application characteristics of energy management technologies for All-Electric Ships (AES), this review provides a comprehensive and critical survey of studies published over the past two decades, following the technical trajectory of multi-energy coupling–multi-objective optimization–engineering-oriented [...] Read more.
To systematically review the research progress, methodological frameworks, and application characteristics of energy management technologies for All-Electric Ships (AES), this review provides a comprehensive and critical survey of studies published over the past two decades, following the technical trajectory of multi-energy coupling–multi-objective optimization–engineering-oriented operation. Based on a structured analysis of representative literature, the review first elucidates the overall architecture and operational characteristics of AES energy systems from a system-level perspective, highlighting their core advantages as “mobile microgrids” in terms of multi-energy coordination and dispatch flexibility. On this basis, a structured classification framework for energy management strategies is established, and the theoretical foundations, applicable scenarios, and engineering feasibility of rule-based, optimization-based, uncertainty-aware, and intelligent/data-driven approaches are comparatively reviewed and discussed. Furthermore, focusing on key research themes—including multi-energy system optimization, ship–port–microgrid coordinated operation, battery safety and lifetime-oriented management, and real-time energy management strategies—the review synthesizes the main findings and engineering validation progress reported in recent studies. The analysis indicates that, with the integration of fuel cells, renewable energy sources, and Hybrid Energy Storage Systems (HESS), energy management for AES has evolved from a single power allocation problem into a system-level optimization challenge involving multiple time scales, multiple objectives, and diverse sources of uncertainty. Optimization-based and Model Predictive Control (MPC) methods have shown promising performance in many simulation and pilot-scale studies for improving energy efficiency and emission performance, while robust optimization and data-driven approaches offer useful support for enhancing operational resilience, prediction capability, and decision quality under complex and uncertain conditions. These advances collectively contribute to the environmental, economic, and operational sustainability of maritime transport by reducing greenhouse gas emissions, extending equipment lifetime, and enabling efficient integration of renewable energy sources. At the same time, the current literature still reveals important limitations related to model fidelity, data availability, validation maturity, and the gap between methodological sophistication and practical deployment. Overall, an increasingly structured but still evolving research framework has emerged in this field. Future research should further strengthen ship–port–microgrid coordinated energy management frameworks, develop system-level optimization methods that integrate safety constraints and uncertainty, and advance intelligent Energy Management Systems (EMS) oriented toward sustainable zero-carbon shipping objectives. Full article
Show Figures

Figure 1

22 pages, 1332 KB  
Article
Identifying Barriers to Shipbuilding in India: A Delphi–DEMATEL Approach
by Rupesh Kumar and Saroj Koul
Logistics 2026, 10(4), 80; https://doi.org/10.3390/logistics10040080 - 3 Apr 2026
Viewed by 294
Abstract
Background: This study examines the systemic barriers constraining the development of India’s shipbuilding industry and identifies leverage points for effective policy intervention. Methods: A mixed-methods design was adopted, combining the Delphi technique with fuzzy DEMATEL to capture expert consensus and causal [...] Read more.
Background: This study examines the systemic barriers constraining the development of India’s shipbuilding industry and identifies leverage points for effective policy intervention. Methods: A mixed-methods design was adopted, combining the Delphi technique with fuzzy DEMATEL to capture expert consensus and causal interdependencies among barriers. A panel of 20 experts, drawn from academia, the government, shipbuilding and ship repair, ports, logistics, and maritime consultancy, participated in two iterative Delphi rounds. An initial list of 21 barriers was refined to 10 based on convergence thresholds. These barriers were then analysed using a seven-step fuzzy DEMATEL procedure to distinguish causal drivers from dependent factors. Results: High raw material costs emerged as the most dominant causal barrier, with the highest net influence (R−C = 0.540), followed by high working capital requirements (R−C = 0.103) and complex regulatory frameworks (R−C = 0.275). Shortages of skilled labour, inefficiencies in ship design, and delays in clearances were largely effect-type barriers shaped by upstream structural conditions. Sensitivity analysis confirmed the stability of barrier rankings under alternative expert weighting scenarios. Conclusions: Policy efforts should prioritise reducing input cost disadvantages, strengthening long-term policy support, and rationalising regulatory processes, rather than focusing solely on downstream operational symptoms. The study is limited to expert judgement in the Indian shipbuilding sector. Future research could extend this framework to comparative country settings or integrate causal analysis with econometric evidence to further strengthen policy design. Contribution: Unlike prior thematic studies, this research provides an integrated causal mapping of structural, financial, and institutional barriers specific to Indian shipbuilding, enabling policy sequencing rather than simple ranking. Full article
Show Figures

Figure 1

33 pages, 10810 KB  
Article
A Global Optimization Framework for Energy Efficiency of Wing–Diesel Hybrid Ships Under Distinct Sail-Statuses Based on Improved Deep Q-Network and D*Lite Algorithm
by Cong Wang, Lianzhong Huang, Xiaowu Li, Ranqi Ma, Jianlin Cao, Rui Zhang and Haoyang Zhao
J. Mar. Sci. Eng. 2026, 14(7), 657; https://doi.org/10.3390/jmse14070657 - 31 Mar 2026
Viewed by 185
Abstract
Wing–diesel hybrid ships are a practical approach to sustainable maritime transport that harnesses wind energy to supplement diesel propulsion and reduce carbon emissions. The core optimization problem addressed in this study is the global energy efficiency optimization of path planning and propulsion system [...] Read more.
Wing–diesel hybrid ships are a practical approach to sustainable maritime transport that harnesses wind energy to supplement diesel propulsion and reduce carbon emissions. The core optimization problem addressed in this study is the global energy efficiency optimization of path planning and propulsion system cooperative control for wing–diesel hybrid ships under two typical sail operation statuses (sail-deployed and sail-stowed) with dynamic changes in complex maritime meteorological and hydrological conditions. To address this issue, this paper proposes a global energy efficiency optimization framework based on an improved Deep Q-Network (DQN) and D*Lite algorithm. Firstly, the D*Lite algorithm is reconstructed with an incremental replanning mechanism and risk-aware cost function to generate real-time safe path constraints. Secondly, the DQN is improved by adopting a dueling network, noisy exploration and prioritized experience replay, and a differentiated reward function dynamically weighted by sail statuses is designed for it. Finally, a fuel consumption prediction model based on the gradient boosting algorithm is integrated into the reward function to realize an accurate energy efficiency assessment. Empirical results confirm that the framework achieves remarkable carbon reduction effects: the optimized routes reduce the total fuel consumption by 5.02%, cut carbon dioxide emissions by 140.66 tons, and improve the energy efficiency operational index by 7.50%. This framework provides an effective technical solution for the dynamic energy efficiency optimization of wing–diesel hybrid ships under different sail operation statuses. Full article
Show Figures

Figure 1

17 pages, 2856 KB  
Article
Polarization Characteristics of an Alkaline Water Electrolyzer Under Marine Sloshing Conditions
by Zhenyu Zhao, Wenfeng Wu, Rongsheng Lin and Youfei Liu
J. Mar. Sci. Eng. 2026, 14(7), 660; https://doi.org/10.3390/jmse14070660 - 31 Mar 2026
Viewed by 211
Abstract
Marine hydrogen production systems deployed on ships and floating platforms are inevitably subjected to complex multi-degree-of-freedom motions induced by waves and wind, which may influence electrolyzer performance. However, experimental investigations under realistic marine motion conditions remain limited. In this study, a laboratory-scale alkaline [...] Read more.
Marine hydrogen production systems deployed on ships and floating platforms are inevitably subjected to complex multi-degree-of-freedom motions induced by waves and wind, which may influence electrolyzer performance. However, experimental investigations under realistic marine motion conditions remain limited. In this study, a laboratory-scale alkaline water electrolyzer was installed on a six-degree-of-freedom (6-DOF) motion platform to experimentally investigate the influence of marine sloshing on polarization characteristics. The experimental design focuses on the fluctuation of cell polarization behavior under dynamic conditions using a single-cell configuration. Typical single-degree-of-freedom (SDOF) and coupled multi-degree-of-freedom (MDOF) motions were reproduced to simulate representative marine operating environments. The results show that sloshing motion leads to a moderate increase in cell voltage compared with static conditions. Under SDOF conditions, the voltage increase remains within 7%, with sway and roll identified as the dominant disturbance modes. Under coupled MDOF conditions, the voltage increase is further amplified but remains below 10.2% even under 6-DOF motion. The results also reveal that the effect of coupled motions is nonlinearly weaker than the linear superposition of individual motions. This study provides experimental evidence that alkaline electrolyzers can maintain stable operation under realistic marine dynamic conditions. These deviations correspond to limited efficiency losses and remain within typical engineering tolerances, suggesting that marine motion has a manageable impact on electrolyzer performance and offers practical guidance for offshore system design and control. Full article
Show Figures

Graphical abstract

32 pages, 5954 KB  
Article
Application of Carbon-Based Catalysts Derived from Ship Antifouling Paint Particles in Ultrasound-Fe2+/Peroxydisulfate Advanced Oxidation Process for Activated Sludge Reduction: A Pilot-Scale Study
by Can Zhang, Kunkun Yu, Jianhua Zhou and Deli Wu
Toxics 2026, 14(4), 292; https://doi.org/10.3390/toxics14040292 - 28 Mar 2026
Viewed by 326
Abstract
Activated sludge treatment is plagued by high secondary pollution risks, and ship antifouling paint particles (APPs) as hazardous heavy metal-rich solid wastes generated from hull derusting wastewater, pose severe environmental threats and intractable disposal dilemmas. This study developed a novel pilot-scale activated sludge [...] Read more.
Activated sludge treatment is plagued by high secondary pollution risks, and ship antifouling paint particles (APPs) as hazardous heavy metal-rich solid wastes generated from hull derusting wastewater, pose severe environmental threats and intractable disposal dilemmas. This study developed a novel pilot-scale activated sludge reduction process coupling APPs-derived carbon-based catalysts with ultrasound-Fe2+/peroxydisulfate (PDS) advanced oxidation. Columnar catalysts were fabricated via direct carbonization-molding using waste APPs from an 82,000 deadweight bulk carrier were used as the sole raw material to prepare columnar catalysts via direct carbonization-molding; single-factor and orthogonal experiments optimized process parameters, Scanning Electron Microscopy (SEM), Energy Dispersive Spectroscopy (EDS) and X-ray Photoelectron Spectroscopy (XPS) characterized catalyst and sludge properties, free radical quenching experiments elucidated reaction mechanisms and a 90-day continuous pilot run assessed catalytic stability. The process achieved a 43.5% sludge removal rate under optimal conditions, accompanied by 100% toluene and 92.3% phenolic compound degradation, as well as efficient total phosphorus (TP) and total nitrogen (TN) removal. Mechanistic studies via characterization and quenching experiments confirmed the catalyst enhanced PDS activation through free/non-free radical synergy and accelerated Fe2+/Fe3+ redox cycling. A 90-day continuous pilot operation demonstrated excellent long-term catalytic stability, with sludge removal rate remaining above 38%. This “waste treating waste” technology realizes high-value APPs resource utilization, provides a low-carbon sludge disposal pathway, and offers a scalable solution for collaborative pollution control in the wastewater treatment and shipping industries. Full article
Show Figures

Figure 1

19 pages, 6909 KB  
Article
Dynamic Modeling and Simulation of Shipboard Microgrid Systems for Electromagnetic Transient Analysis
by Seok-Il Go and Jung-Hyung Park
Electronics 2026, 15(7), 1367; https://doi.org/10.3390/electronics15071367 - 25 Mar 2026
Viewed by 297
Abstract
In this paper, the dynamic modeling and integrated simulation of a ship microgrid system designed to enhance power quality and energy efficiency in electric propulsion vessels are proposed. The proposed system consists of a photovoltaic (PV) array, a battery energy storage system (BESS), [...] Read more.
In this paper, the dynamic modeling and integrated simulation of a ship microgrid system designed to enhance power quality and energy efficiency in electric propulsion vessels are proposed. The proposed system consists of a photovoltaic (PV) array, a battery energy storage system (BESS), a diesel generator, and a propulsion system, all of which are organically integrated through power conversion devices. To compensate for the intermittent nature of solar power, a control strategy featuring Maximum Power Point Tracking (MPPT) for the PV system and bidirectional DC/DC converter control for the battery was implemented. Specifically, a control logic to stabilize the system output in response to the fluctuating loads of the electric propulsion system was developed using PSCAD (v50) software. The simulation results demonstrate that the proposed control strategy maintains DC-link voltage deviation within ±1.8% and achieves a settling time of less than 0.8 s while optimizing propulsion efficiency (peak-shaving ratio 25–30%) under both constant and variable speed operating conditions. Battery SOC variation is limited to 18–88%, preventing overcharge or discharge. This research provides a foundational framework for the design of energy management systems (EMSs) and grid stability assessments for future eco-friendly electric propulsion ships. Full article
Show Figures

Figure 1

34 pages, 7125 KB  
Article
Integrated Design and Performance Validation of an Advanced VOC and Paint Mist Recovery System for Shipbuilding Robotic Spraying
by Kunyuan Lu, Yujie Chen, Lei Li, Yi Zheng, Jidai Wang and Yifei Pan
Processes 2026, 14(7), 1047; https://doi.org/10.3390/pr14071047 - 25 Mar 2026
Viewed by 348
Abstract
Volatile organic compounds (VOCs, dominated by xylene, toluene, and benzene) and paint mist emissions from ship painting represent a major environmental and health concern, posing a critical bottleneck to the green transformation of the shipbuilding industry. To tackle this challenge, this study presents [...] Read more.
Volatile organic compounds (VOCs, dominated by xylene, toluene, and benzene) and paint mist emissions from ship painting represent a major environmental and health concern, posing a critical bottleneck to the green transformation of the shipbuilding industry. To tackle this challenge, this study presents an integrated recovery system designed specifically for ship automatic-spraying robots. Guided by the synergistic principle of “air-curtain containment, multi-stage adsorption, and negative-pressure recovery,” the system features a modular design that ensures full compatibility with the robots’ spraying trajectory without operational interference. Core adsorption materials, namely glass fiber filter cotton and honeycomb activated carbon fiber, were selected to suit the high-humidity and high-pollutant-concentration environment typical of ship painting. An appropriately matched axial flow fan maintains stable negative pressure throughout the system. Furthermore, the design integrates an air curtain isolation subsystem and an automated control subsystem, enabling coordinated operation and real-time adjustment. Using ANSYS Fluent, geometric and flow field simulation models were established to analyze airflow distribution and pollutant adsorption behavior, which led to the optimization of key structural and material parameters. Field experiments conducted in shipyard environments demonstrated the system’s superior performance: it achieved a VOC removal efficiency of 88.4% and a paint mist capture efficiency of 85.7% under optimal working conditions, with a maximum simulated paint mist capture efficiency of 86.2%. The system maintained stable performance under complex vertical and overhead spraying conditions, with an efficiency attenuation of less than 1.5%, and its outlet emissions fully complied with the mandatory limits specified in the Emission Standard of Air Pollutants for the Shipbuilding Industry (GB 30981.2-2025). The relative error between experimental data and simulation results is less than 2%, confirming the reliability and practicality of the proposed system. This research provides an efficient and adaptable pollution control solution for green shipbuilding and offers valuable technical insights for the sustainable upgrading of automated painting processes in heavy industries. Full article
Show Figures

Figure 1

21 pages, 3792 KB  
Article
Enhancing the Resilience of Island Microgrids Against Typhoons: Mobile Power Dispatch
by Jun Mao, Shuli Wen, Miao Zhu and Xihang Li
J. Mar. Sci. Eng. 2026, 14(7), 596; https://doi.org/10.3390/jmse14070596 - 24 Mar 2026
Viewed by 224
Abstract
Island microgrids are highly vulnerable to extreme weather, which threatens operational stability and post-disaster recovery. To address the challenge of widespread power outages caused by typhoons, a novel coordinated framework is proposed which optimizes electric ships as mobile power sources to enhance island [...] Read more.
Island microgrids are highly vulnerable to extreme weather, which threatens operational stability and post-disaster recovery. To address the challenge of widespread power outages caused by typhoons, a novel coordinated framework is proposed which optimizes electric ships as mobile power sources to enhance island microgrid resilience. By integrating a hybrid wind field model with an improved wind-resistant A* algorithm, the framework synergistically optimizes dynamic scenario-aware ship routing and distribution network reconfiguration. The problem is formulated as a mixed-integer second-order cone programming (MISOCP) model. Case studies based on real-world data from Hengsha Island, Shanghai, demonstrate that the proposed dynamic routing strategy significantly outperforms static approaches. Specifically, critical load recovery rates are improved by at least 29% during the navigation-restricted phase and total load curtailment costs are reduced by 31.6%. These findings reveal this significance of integrating spatiotemporal environmental dynamics into optimization frameworks, providing a robust decision-making tool for island grid operators to maintain power supply to critical loads under evolving disaster conditions. Full article
Show Figures

Figure 1

51 pages, 4870 KB  
Article
A Hybrid Digital CO2 Emission-Control Technology for Maritime Transport: Physics-Informed Adaptive Speed Optimization on Fixed Routes
by Doru Coșofreț, Florin Postolache, Adrian Popa, Octavian Narcis Volintiru and Daniel Mărășescu
Fire 2026, 9(3), 136; https://doi.org/10.3390/fire9030136 - 23 Mar 2026
Viewed by 603
Abstract
This paper proposes a physics-informed hybrid digital CO2 emission-control technology for maritime transport, designed for adaptive ship speed optimization along a predefined geographical route between two ports, discretized into quasi-stationary segments and evaluated under forecasted metocean conditions, subject to economic and regulatory [...] Read more.
This paper proposes a physics-informed hybrid digital CO2 emission-control technology for maritime transport, designed for adaptive ship speed optimization along a predefined geographical route between two ports, discretized into quasi-stationary segments and evaluated under forecasted metocean conditions, subject to economic and regulatory constraints associated with maritime decarbonization. The framework integrates two exact optimization methods, Backtracking (BT) and Dynamic Programming (DP), with a reinforcement learning approach based on Proximal Policy Optimization (PPO), operating on a unified physical, economic, and regulatory modeling core. By reducing propulsion fuel demand, the system acts as an upstream CO2 emission-control mechanism for ship propulsion. This operational stabilization of the engine load creates favourable boundary conditions for advanced combustion processes and reduces the volumetric flow of exhaust gas, thereby lowering the technical burden on potential post-combustion carbon capture systems. Segment-wise speed profiles are optimized subject to propulsion limits, Estimated Time of Arrival (ETA) feasibility, and regulatory constraints, including the Carbon Intensity Indicator (CII), the European Union Emissions Trading System (EU ETS) and FuelEU Maritime. The physics-based propulsion and energy model is validated using full-scale operational data from four real voyages of an oil/chemical tanker. A detailed case study on the Milazzo–Motril route demonstrates that adaptive speed optimization consistently outperforms conventional cruise operation. Exact optimization methods achieve voyage time reductions of approximately 10% and fuel and CO2 emission reductions of about 9–10%. The reinforcement learning approach provides the best overall performance, reducing voyage time by approximately 15% and achieving fuel savings and CO2 emission reductions of about 13%. At the route level, the Carbon Intensity Indicator is reduced by approximately 10% for the exact methods and by about 13% for PPO. Backtracking and Dynamic Programming converge to nearly identical globally optimal solutions within the discretized decision space, while PPO identifies solutions located on the most favourable region of the cost–time Pareto front. By benchmarking reinforcement learning against exact discrete solvers within a shared physics-informed structure, the proposed digital platform provides transparent validation of learning-based optimization and offers a scalable decision-support technology for pre-fixture evaluation of fixed-route voyages. The system enables quantitative assessment of CO2 emissions, ETA feasibility, and regulatory exposure (CII, EU ETS, FuelEU Maritime penalties) prior to transport contracting, thereby supporting economically and environmentally informed operational decisions. Full article
(This article belongs to the Special Issue Novel Combustion Technologies for CO2 Capture and Pollution Control)
Show Figures

Figure 1

35 pages, 35972 KB  
Article
IKN-NeuralODE Continuous-Time Modeling Method for Ship Maneuvering Motion
by Yong-Wei Zhang, Wen-Kai Xia, Ming-Yang Zhu, Xin-Yang Zhang and Jin-Di Liu
J. Mar. Sci. Eng. 2026, 14(6), 546; https://doi.org/10.3390/jmse14060546 - 14 Mar 2026
Viewed by 263
Abstract
Modeling ship maneuvering dynamics presents numerous challenges, including long-term multi-step recursive error accumulation, insufficient generalization under distributed control rates, and high-frequency disturbance amplification effects. Traditional analytical models heavily rely on vessel-specific trials to characterize strongly nonlinear coupling terms and perform parameter identification, making [...] Read more.
Modeling ship maneuvering dynamics presents numerous challenges, including long-term multi-step recursive error accumulation, insufficient generalization under distributed control rates, and high-frequency disturbance amplification effects. Traditional analytical models heavily rely on vessel-specific trials to characterize strongly nonlinear coupling terms and perform parameter identification, making it difficult to balance efficiency and accuracy under complex operating conditions. This paper presents a ship maneuvering-oriented integration of an invertible Koopman representation and a NeuralODE-based continuous-time predictor. The IKN reconstructs strongly coupled state spaces while enhancing representational invertibility, whereas NeuralODE directly fits the control differential equations governing ship maneuvering dynamics and supports continuous-time prediction. Experiments validate multi-rate control performance under ideal and disturbed data conditions, assessing error accumulation and extrapolation stability through long-term multi-step propagation. Evaluations utilize the KVLCC2-type L7 ship model with a 0.25 s sampling interval and a 200 s prediction horizon, validated against a multi-rate control test set. The results indicate that, compared to the baseline neural ODEs model without IKN, the normalized root mean square error (NRMSE) of state quantities decreased by 12.68% on average. In typical operational scenarios such as constant-speed emergency turns and variable-speed sine sweep maneuvers, the average state NRMSE was 7.96% lower than the LSTM model and 53.85% lower than the IKN–Koopman operator network. Noise experiments demonstrated that when introducing simulated sensor noise at 5%, 10%, and 20% into the dataset, the average state NRMSE remained at 5.98%, 8.24%, and 10.06%, respectively. This confirms the method’s stable prediction performance under varying noise intensities. Full article
(This article belongs to the Section Ocean Engineering)
Show Figures

Figure 1

23 pages, 10360 KB  
Article
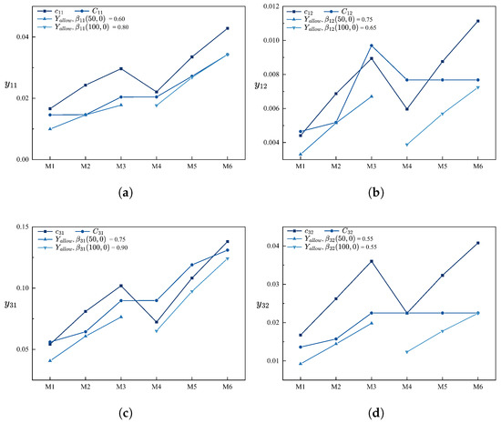
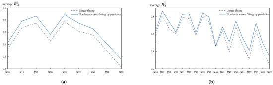
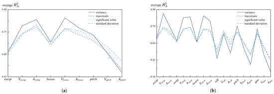
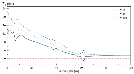
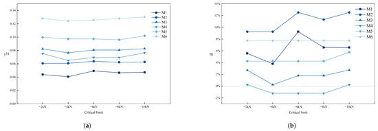
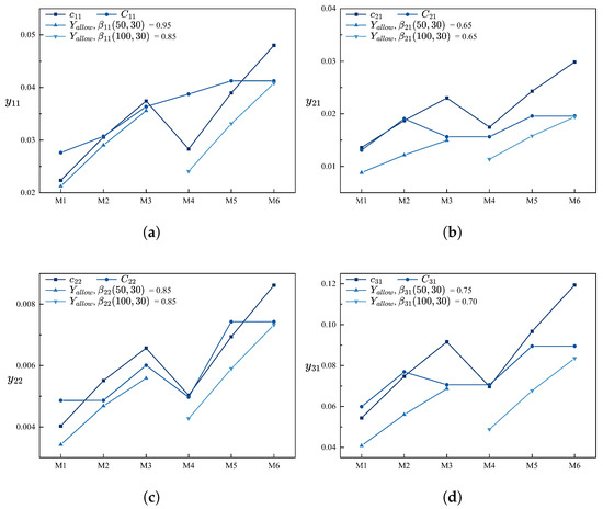
Establishment of Ship-Motion-Based Operational Limiting Criteria for Safe and Efficient Offshore Cable-Laying Operations
by Xu Han, Zhibo Xu, Xin Li, Wei Shi and Zhipeng Leng
J. Mar. Sci. Eng. 2026, 14(6), 543; https://doi.org/10.3390/jmse14060543 - 14 Mar 2026
Viewed by 253
Abstract
As offshore wind projects are located further and deeper in the ocean, time-intensive and costly cable laying plays an increasingly critical role in offshore wind farm construction. Cable laying can be designed and operated based on the critical motions of the laying ship [...] Read more.
As offshore wind projects are located further and deeper in the ocean, time-intensive and costly cable laying plays an increasingly critical role in offshore wind farm construction. Cable laying can be designed and operated based on the critical motions of the laying ship to potentially improve the operational window. However, there is no complete procedure for establishing ship-motion-based operational limiting criteria to ensure sufficient safety while balancing efficiency. This paper proposes a complete algorithm for designing cable-laying operations by employing specific ship-motion characteristics as operational limiting criteria, based on their strong correlation with the dominant structural response, e.g., the minimum effective cable tension. A reduction factor β is introduced as an indicator for limiting criteria selection and value determination. This guarantees operational safety without compromising efficiency. The determined value of the limiting criteria is independent of the applied fitting function used in correlation analysis, thus offering greater adaptability. By dynamically selecting ship-motion indicators across different ship headings, the proposed algorithm extends the operational window by approximately 10% compared to conventional Hs-based limits, while improving utilization in hazardous sea states by approximately 50%. The effects of ship motion statistical description, laying conditions, and fitting strategies on operational windows are also discussed. The proposed algorithm provides an improvement of cable-laying operation design, leading to safer and smarter marine operations in real-time. Full article
(This article belongs to the Section Ocean Engineering)
Show Figures

Figure 1

19 pages, 2067 KB  
Article
Shipping News Sentiment Meets Multiscale Decomposition: A Dual-Gated Deep Model for Baltic Dry Index Forecasting
by Lili Qu, Nan Hong and Jieru Tan
Appl. Sci. 2026, 16(6), 2739; https://doi.org/10.3390/app16062739 - 12 Mar 2026
Viewed by 280
Abstract
Accurate prediction of shipping freight indices, represented by the Baltic Dry Index (BDI), is crucial for operational decision-making and risk management in the shipping industry. Existing models mainly rely on historical time-series data and often overlook the influence of unstructured information such as [...] Read more.
Accurate prediction of shipping freight indices, represented by the Baltic Dry Index (BDI), is crucial for operational decision-making and risk management in the shipping industry. Existing models mainly rely on historical time-series data and often overlook the influence of unstructured information such as market sentiment. To address this limitation, this study proposes a dynamic freight rate prediction framework integrating a shipping text sentiment index. First, a shipping news sentiment index is constructed using a RoBERTa-based pre-trained model to quantify the impact of market sentiment on freight rate fluctuations. Second, the BDI series is decomposed and reconstructed through Variational Mode Decomposition (VMD) and Fuzzy C-Means (FCM) clustering to extract multiscale features. Finally, a deep learning based multi-step prediction model is developed by incorporating the sentiment index into the forecasting process. Empirical results show that the proposed model significantly outperforms benchmark models without sentiment information in terms of MAE, RMSE, and R2, and demonstrates greater robustness under extreme market conditions. These findings provide a novel methodological framework for improving freight rate forecasting accuracy and offer practical decision support for shipping enterprises. Full article
Show Figures

Figure 1

20 pages, 13437 KB  
Article
Motion Prediction of Moored Platform Using CNN–LSTM for Eco-Friendly Operation
by Omar Jebari, Chungkuk Jin, Byungho Kang, Seong Hyeon Hong, Changhee Lee and Young Hun Jeon
J. Mar. Sci. Eng. 2026, 14(6), 531; https://doi.org/10.3390/jmse14060531 - 12 Mar 2026
Viewed by 264
Abstract
Predicting the motion of ships and floating structures is essential for ensuring economical and environmentally friendly operations in the ocean. In this study, we propose a hybrid encoder–decoder Convolutional Neural Network–Long Short-Term Memory (CNN–LSTM) architecture to predict motions of a moored Floating Production [...] Read more.
Predicting the motion of ships and floating structures is essential for ensuring economical and environmentally friendly operations in the ocean. In this study, we propose a hybrid encoder–decoder Convolutional Neural Network–Long Short-Term Memory (CNN–LSTM) architecture to predict motions of a moored Floating Production Storage and Offloading (FPSO) vessel under varying sea conditions. The model integrates a CNN for spatial wave-field feature extraction and an LSTM encoder–decoder to capture temporal dependencies in vessel motion. Synthetic datasets were generated using mid-fidelity dynamics simulations of a coupled FPSO–mooring–riser system subjected to wave excitations. Five sea states ranging from calm to severe were considered to evaluate the model’s robustness. A key preprocessing step involved determining the optimal spatial domain for wave field input, and a wave field size of 600 m × 600 m was identified as the most cost-effective configuration while maintaining accuracy. The model was validated using the Root Mean Square Error (RMSE) or relative RMSE (RRMSE). Despite low RRMSE values in low sea states, predictions were noisier due to high-frequency, low-amplitude responses. In contrast, higher sea states yielded more stable predictions despite higher RRMSE values. The proposed method offers high-resolution motion forecasting capability, which can enhance operational safety and energy efficiency of offshore platforms, particularly when integrated with stereo camera-based wave monitoring systems. Full article
(This article belongs to the Special Issue Intelligent Solutions for Marine Operations)
Show Figures

Figure 1

24 pages, 3827 KB  
Article
An Environmental Impact Analysis of the Transition to Electric-Propulsion Ships Toward Net-Zero Shipping: A Case Study of Vessels Operated by a Korean Shipping Company
by Chybyung Park
J. Mar. Sci. Eng. 2026, 14(5), 505; https://doi.org/10.3390/jmse14050505 - 7 Mar 2026
Viewed by 415
Abstract
Decarbonizing ocean-going shipping requires decision-grade environmental evidence for propulsion transitions, yet conventional LCA relies on static inventories that inadequately represent dynamic operations and route-dependent renewable generation. This study evaluates well-to-wake (WtW) Global Warming Potential (GWP) for two large container ships operated by a [...] Read more.
Decarbonizing ocean-going shipping requires decision-grade environmental evidence for propulsion transitions, yet conventional LCA relies on static inventories that inadequately represent dynamic operations and route-dependent renewable generation. This study evaluates well-to-wake (WtW) Global Warming Potential (GWP) for two large container ships operated by a Korean company under four scenarios: conventional diesel main engine, diesel–electric with onboard generator, full battery-electric supplied by shore electricity from the Republic of Korea grid, and battery-electric with a route-resolved solar PV system. A Live-LCA (LLCA) framework couples LCI data with MATLAB/Simulink power and propulsion modeling driven by actual operating profiles and route environmental conditions to generate operational inventories for impact calculation. Diesel–electric operation increases annual WtW GWP by over 26% for both ships versus the baseline of a conventional diesel main engine, whereas shore-electric battery operation is able to reduce WtW GWP by around 40% versus diesel–electric. With limited PV installation, additional reductions are marginal. Depending on electricity profile, it can increase battery-electric GHG emissions by approximately 27%, highlighting sensitivity to electricity evolution. Overall, electric propulsion delivers climate benefits only when paired with low-carbon electricity, and LLCA enables operationally and route-grounded LCA for large container ships. Full article
(This article belongs to the Special Issue Green Energy with Advanced Propulsion Systems for Net-Zero Shipping)
Show Figures

Figure 1

25 pages, 1645 KB  
Article
Integrated Approach to Modelling the Reliability of Gears in Ship Propulsion Systems
by Mate Jurjević, Nermin Hasanspahić and Tonći Biočić
Appl. Sci. 2026, 16(5), 2538; https://doi.org/10.3390/app16052538 - 6 Mar 2026
Viewed by 264
Abstract
The operational reliability of gears in ship propulsion systems is an important factor affecting safety, efficiency, and cost-effectiveness in ship operation. Gear failures may result in loss of propulsion, increased maintenance costs, and risks to crew safety. This paper presents an integrated methodological [...] Read more.
The operational reliability of gears in ship propulsion systems is an important factor affecting safety, efficiency, and cost-effectiveness in ship operation. Gear failures may result in loss of propulsion, increased maintenance costs, and risks to crew safety. This paper presents an integrated methodological framework for assessing gear reliability in ship propulsion systems by integrating qualitative causal analysis, quantitative reliability growth modelling, and system dynamics simulation. The analysis is based on empirical data collected from the AMOS computerised maintenance management system for ship propulsion gear over the course of 20,000 operating hours. The Ishikawa diagram is applied as a qualitative tool to structure potential failure causes related to human, technical, material, procedural, measurement, and environmental factors. Using a system dynamics approach, a qualitative conceptual model of cause-and-effect relationships and a quantitative simulation model were developed, where the mathematical model of Goel–Okumoto reliability growth was applied to quantitatively describe the process of detecting and eliminating failures, with an exponential decrease in failure intensity over time and a high level of agreement with empirical data (R2 = 0.9962), corresponding to the part of the bathtub curve related to the running-in of ship systems. The system dynamics simulation implemented in the POWERSIM environment integrates the analytically estimated model parameters and provides a dynamic representation of the relationships between failure intensity, cumulative failures, reliability, and the mean time between failures. The scientific contribution of this work lies in the structured integration of established methods into a single analytical framework, enabling coherent interpretation of empirical reliability data under real operating conditions. The results provide a methodological basis for developing predictive maintenance tools, optimising maintenance strategies, and improving the safety of ship propulsion systems. Full article
(This article belongs to the Section Marine Science and Engineering)
Show Figures

Figure 1

Back to TopTop