Sign in to use this feature.

Years

Between: -

Subjects

remove_circle_outline
remove_circle_outline
remove_circle_outline
remove_circle_outline
remove_circle_outline
remove_circle_outline
remove_circle_outline
remove_circle_outline
remove_circle_outline

Journals

remove_circle_outline
remove_circle_outline
remove_circle_outline
remove_circle_outline
remove_circle_outline
remove_circle_outline
remove_circle_outline
remove_circle_outline
remove_circle_outline

Article Types

Countries / Regions

remove_circle_outline
remove_circle_outline
remove_circle_outline
remove_circle_outline
remove_circle_outline
remove_circle_outline

Search Results (972)

Search Parameters:
Keywords = seawater temperature

Order results
Result details
Results per page
Select all
Export citation of selected articles as:
25 pages, 8097 KB  
Article
Salinity Effect in Seawater Thermoelastohydrodynamic Lubrication of Double Spiral Groove Face Seals
by Shaoxian Bai, Demin Yang and Jing Yang
Materials 2026, 19(2), 285; https://doi.org/10.3390/ma19020285 - 9 Jan 2026
Abstract
A rise in seawater salinity results in an increase in its viscosity, which presents a coupled influence on the distribution of fluid pressure, temperature and deformation at the sealing face, leading to fluctuations in sealing performance and forming the salinity effect in seawater [...] Read more.
A rise in seawater salinity results in an increase in its viscosity, which presents a coupled influence on the distribution of fluid pressure, temperature and deformation at the sealing face, leading to fluctuations in sealing performance and forming the salinity effect in seawater thermoelastohydrodynamic lubrication (TEHL). Here, for a double spiral groove face seal, a TEHL model is established and numerical analysis is carried out, taking account of the salinity effect and cavitation effect, with the aim to ensure that the seal maintains stable performance under varying conditions of sea depth and speed. It is found that the effect of salinity on the opening force and leakage rate exhibits obvious nonlinear variations. As salinity rises from 0 to the standard 35 g/kg, the opening force changes by about 5%, and there is a transition between forward and reverse leakage, with variations of approximately ±100%. More importantly, the double spiral grooves offer the potential for a zero-leakage design in seawater face seals, even under pressures exceeding 4 MPa, through precise design. Additionally, the double spiral groove face seal shows excellent adaptability under multipoint conditions and can facilitate a zero-leakage design in varying pressure, speed and temperature conditions. This provides theoretical support for deep-sea equipment and applications in other extreme environments. Full article
(This article belongs to the Section Materials Simulation and Design)
19 pages, 4649 KB  
Article
Physiological and Molecular Response Mechanisms of Betaphycus gelatinus to Low- and High-Temperature Stress
by Yongqiu Deng, Siqi Xu, Kangtai Liao and Linwen He
Int. J. Mol. Sci. 2026, 27(2), 593; https://doi.org/10.3390/ijms27020593 - 7 Jan 2026
Viewed by 70
Abstract
Betaphycus gelatinus, a member of the Eucheumatoideae, serves as the primary source for carrageenan extraction and has significant economic value. The growth and reproduction of B. gelatinus are significantly impacted by seasonal fluctuations in seawater temperature. To explore its adaptive mechanisms under [...] Read more.
Betaphycus gelatinus, a member of the Eucheumatoideae, serves as the primary source for carrageenan extraction and has significant economic value. The growth and reproduction of B. gelatinus are significantly impacted by seasonal fluctuations in seawater temperature. To explore its adaptive mechanisms under temperature stress, we cultured the algae at 15 °C (Low temperature, LT), 27 °C (Medium temperature, MT), and 36 °C (High temperature, HT) for 2 h and conducted subsequent physiological, transcriptomics, and metabolomics analyses. The photosynthetic performance of B. gelatinus significantly declined under both LT and HT stress conditions. Carotenoid content increased significantly under LT conditions, while chlorophyll a showed no significant change. Phycocyanin and phycoerythrin decreased significantly under LT conditions, but there was no significant difference under HT conditions. Under LT stress, glutathione (GSH) levels, ascorbate peroxidase (APX) activity, and catalase (CAT) activity all increased significantly. Under HT stress, APX and CAT activities increased significantly, while superoxide dismutase (SOD) activity and malondialdehyde (MDA) levels remained unchanged. Transcriptomics and metabolomics analyses suggested that photosynthesis, carbohydrate metabolism, amino acid biosynthesis, porphyrin metabolism, and vitamin B6 metabolism are involved in the acute temperature stress response of B. gelatinus. Under both HT and LT, most genes in the targeted metabolic pathways were significantly downregulated (p < 0.05), while only a few were upregulated. Specifically, in carbohydrate metabolism, only nine genes were upregulated, while all others were downregulated. Moreover, all the genes involved in photosynthesis, photosynthetic carbon fixation, arginine biosynthesis, and porphyrin metabolism were downregulated. In contrast, only four genes involved in GSH metabolism, alanine, aspartate, and glutamate metabolism, and glycine, serine, and threonine metabolism were upregulated. These results suggest that temperature stress markedly suppresses the transcription of key genes in these pathways and that the few upregulated genes in these pathways may contribute to compensatory mechanisms or regulatory network reprogramming during stress responses. These findings help clarify how B. gelatinus adapts to different temperature stresses and provide a basis for developing improved germplasm to support stable production under climate variability. Full article
(This article belongs to the Section Molecular Biology)
Show Figures

Figure 1

17 pages, 6853 KB  
Article
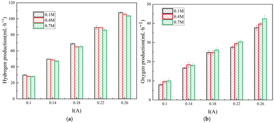
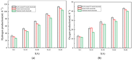
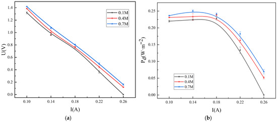
Experimental Performances of Titanium Redox Electrodes as the Substitutes for the Ruthenium–Iridium Coated Electrodes Used in the Reverse Electrodialysis Cells for Hydrogen Production
by Zhaozhe Han, Xi Wu, Lin Xu and Ping He
Membranes 2026, 16(1), 26; https://doi.org/10.3390/membranes16010026 - 3 Jan 2026
Viewed by 168
Abstract
Reverse electrodialysis (RED) enables the efficient conversion of the chemical potential difference between seawater and freshwater into electricity while simultaneously facilitating hydrogen production for integrated energy utilization. Nevertheless, the widespread deployment of RED remains constrained by the reliance on ruthenium–iridium-coated electrodes, which are [...] Read more.
Reverse electrodialysis (RED) enables the efficient conversion of the chemical potential difference between seawater and freshwater into electricity while simultaneously facilitating hydrogen production for integrated energy utilization. Nevertheless, the widespread deployment of RED remains constrained by the reliance on ruthenium–iridium-coated electrodes, which are expensive and resource-limited. This study proposes the adoption of titanium-based redox electrodes as a replacement for traditional precious metal electrodes and employs a novel spike structure to accelerate hydrogen bubble detachment. The electrochemical performance of titanium electrodes in an RED hydrogen production system was systematically evaluated experimentally. The influences of several parameters on the RED system performance were systematically examined under these operating conditions, including the ruthenium–iridium catalytic layer, operating temperature (15 to 45 °C), electrode rinse solution (ERS) concentration (0.1 to 0.7 M), and flow rate (50 to 130 mL·min−1). Experimental results demonstrate that optimized titanium redox electrodes maintain high electrocatalytic activity while significantly reducing system costs. Under optimal conditions, the hydrogen yield of the Ti redox electrode reached 89.7% of that achieved with the mesh titanium plate coated oxide iridium and oxide ruthenium as electrodes, while the electrode cost was reduced by more than 60%. This is also one of the cost-cutting solutions adopted by RED for its development. Full article
Show Figures

Figure 1

22 pages, 5126 KB  
Article
Stable Isotope Analysis of Gryphaea arcuata Reveals the Prevalence of Humid Tropical Conditions During the Early Sinemurian of Normandy (Fresville), Northwestern France
by Christophe Lécuyer, Lucie Peyrède, Eric Buffetaut, Haiyan Tong, Romain Amiot, François Fourel and Florent Arnaud-Godet
Foss. Stud. 2026, 4(1), 1; https://doi.org/10.3390/fossils4010001 - 31 Dec 2025
Viewed by 206
Abstract
Marine deposits in western Europe provide insight into the interplay between the warm Tethys and cooler Boreal domains, offering a climatic context for the radiation of Early Jurassic species. Reconstructions of temperature for the Hettangian and Sinemurian periods are scarce, with inferred marine [...] Read more.
Marine deposits in western Europe provide insight into the interplay between the warm Tethys and cooler Boreal domains, offering a climatic context for the radiation of Early Jurassic species. Reconstructions of temperature for the Hettangian and Sinemurian periods are scarce, with inferred marine temperatures of 15–20 °C based on δ18O values, which are lower than those of subsequent Jurassic stages. This emphasizes the necessity for supplementary data in order to enhance our comprehension of the climatic dynamics that characterized the Early Jurassic period. This study analyses 75 invertebrate samples, including 53 specimens of Gryphaea arcuata, from Early Sinemurian marine sediments in the Fresville quarry, Normandy, France. The present study employs a multi-proxy approach, utilizing δ13C and δ18O values in conjunction with Sr and Mg contents, to assess the processes of fossil diagenesis, marine productivity, and seawater temperatures. Significant post-depositional alteration was observed in the geochemical compositions of 22 bivalve shells assigned to the genera Pseudolimea, Plagiostoma, and Chlamys, which were originally composed of aragonite, except for the outer layer, which is made of calcite. However, the low-Mg calcite shells of Gryphaea arcuata, which are renowned for their diagenetic resistance, retained the majority of their isotopic integrity. The results of the statistical analyses indicate that there was minimal late pervasive diagenesis involving meteoric waters at Fresville. This is in accordance with the typical decrease in δ13C, δ18O values, and Sr and Mg contents that such processes would otherwise cause. Published isotopic data from Sinemurian marine fossils (plesiosaur and shark teeth) were used to estimate seawater δ18O (~−1‰ VSMOW) and surface temperatures (~24 °C). The calculated benthic temperatures of Gryphaea (17 °C) correspond to habitats at depths of about 50 m. These findings suggest a positive hydrological balance and euhaline conditions in a humid tropical climate context. Full article
Show Figures

Figure 1

22 pages, 6141 KB  
Article
Functionalized Cellulose from Citrus Waste as a Sustainable Oil Adsorbent Material
by Loredana Maiuolo, Antonio Jiritano, Paola Costanzo, Federica Meringolo, Vincenzo Algieri, Giuseppe Arrabito, Giorgia Puleo and Antonio De Nino
Polymers 2026, 18(1), 82; https://doi.org/10.3390/polym18010082 - 27 Dec 2025
Viewed by 307
Abstract
Oil spills are a significant environmental issue for marine wildlife and coastal communities. Cellulose derived from citrus peel industrial waste is an interesting, economical, and eco-friendly advantageous material that was used for the first time with the aim of developing a low-cost and [...] Read more.
Oil spills are a significant environmental issue for marine wildlife and coastal communities. Cellulose derived from citrus peel industrial waste is an interesting, economical, and eco-friendly advantageous material that was used for the first time with the aim of developing a low-cost and sustainable sorbent for water purification. Citrus peel cellulose was grafted with methyl acrylate to enhance hydrophobicity and favor the oil adsorption in aqueous media. Grafting copolymerization was performed in a simple manner, and the conditions were optimized in terms of monomer concentration, amount of catalyst, time, and temperature. The modified cellulose polymer was obtained in different grafting percentages, with a maximum of 93% grafting. Fourier transform infrared spectroscopy (FTIR), 1H NMR, scanning electron microscopy (SEM), and electrochemical impedance spectroscopy (EIS) analysis were used to confirm the graft copolymerization of poly(methyl acrylate) (PMA) onto the mercerized cellulose. Finally, the oil adsorption capacity of selected copolymers from freshwater, artificial seawater, and seawater samples was tested in a continuous-flow system. The results showed promising performance retaining diesel in seawater (4.01 g oil/g cellulose), demonstrating the use of agri-food waste as a natural sorbent in oil removal. Full article
(This article belongs to the Section Circular and Green Sustainable Polymer Science)
Show Figures

Graphical abstract

21 pages, 4915 KB  
Article
Performance Analysis of Seawater Desalination Using Reverse Osmosis and Energy Recovery Devices in Nouadhibou
by Ahmed Ghadhy, Amine Lilane, Hamza Faraji, Said Ettami, Abdelkader Boulezhar and Dennoun Saifaoui
Liquids 2026, 6(1), 2; https://doi.org/10.3390/liquids6010002 - 24 Dec 2025
Viewed by 573
Abstract
Arid zones, such as the MENA regions and the Sahara countries, are experiencing significant water stress. To address this global challenge, desalination technologies provide a crucial solution, particularly the reverse osmosis (RO) technique, which is widely used to treat Seawater or Brackish water. [...] Read more.
Arid zones, such as the MENA regions and the Sahara countries, are experiencing significant water stress. To address this global challenge, desalination technologies provide a crucial solution, particularly the reverse osmosis (RO) technique, which is widely used to treat Seawater or Brackish water. Mauritania is among the countries facing a scarcity of potable water resources and relies on desalination technologies to meet its water demand. In this work, a numerical and experimental study was carried out on the functional and productive parameters of the Nouadhibou desalination plant in Mauritania using MATLAB/Simulink (R2016a). The study considered two operating scenarios: with and without the energy recovery unit. The objective of this paper is to perform an analytical study of the operating procedures of the Nouadhibou RO desalination plant by varying several parameters, such as the pressure exchanger, and the feed water mixing ratio in the pressure exchanger unit, etc., in order to determine the system’s optimal operating point. This paper analyzes the system’s performance under different conditions, including recovery rate, feed water temperature, and PEX splitter ratio. In Case No. 1 (without a pressure recovery unit), and with a recovery rate of 20%, doubling the plant’s productivity from 400 to 800 m3/d requires 400 kW of power. In contrast, in Case No. 2 (with a pressure recovery unit), achieving the same productivity requires only 100 kW, with a 75% of energy saving. When the desalination plant operates at a productivity of 400 m3/d@40%, the SPC decreases from 6 kWh/m3 (Case No. 1) to 2.7 kWh/m3 (Case No. 2), resulting in a 55% specific power consumption saving. The results also indicate that power consumption increases with both feed water temperature and PEX splitter ratio, while variations in these parameters have a negligible effect on permeate salinity. Full article
(This article belongs to the Special Issue Energy Transfer in Liquids)
Show Figures

Figure 1

8 pages, 3130 KB  
Proceeding Paper
Propagation of Climate Model Variability to Coastal Groundwater Simulations Under Climate Change
by Aikaterini Lyra, Athanasios Loukas, Pantelis Sidiropoulos and Nikitas Mylopoulos
Environ. Earth Sci. Proc. 2024, 31(1), 24; https://doi.org/10.3390/eesp2025032024 - 19 Dec 2025
Viewed by 142
Abstract
This study investigates the propagation of climate model variability to coastal groundwater systems under the high-emission RCP8.5 scenario, focusing on the Almyros Basin in Greece. Using Med-CORDEX bias-corrected climate projections, an Integrated Modelling System (IMS) combines UTHBAL (surface hydrology) and MODFLOW (groundwater hydrology) [...] Read more.
This study investigates the propagation of climate model variability to coastal groundwater systems under the high-emission RCP8.5 scenario, focusing on the Almyros Basin in Greece. Using Med-CORDEX bias-corrected climate projections, an Integrated Modelling System (IMS) combines UTHBAL (surface hydrology) and MODFLOW (groundwater hydrology) to simulate future conditions, including precipitation, temperature, evapotranspiration, groundwater recharge, water balance, and seawater intrusion (as a quantity). The analysis quantifies both central tendencies and inter-model spread, revealing substantial declines in groundwater recharge and intensified seawater intrusion, while highlighting the uncertainty introduced by climate model projections. These findings provide critical insights for adaptive water resource management and planning in Mediterranean coastal aquifers under climate change. Full article
(This article belongs to the Proceedings of The 4th International Electronic Conference on Forests)
Show Figures

Figure 1

28 pages, 15672 KB  
Article
Lithium Enrichment Mechanisms in Geothermal Waters of Xiamen, Southeastern China, Revealed by SOM Classification and Hydrogeochemical Analysis
by Shuaichao Wei, Xiaoxue Yan, Ruoxi Yuan, Feng Liu, Guiling Wang, Long Li, Yong Fu and Wei Zhang
Sustainability 2025, 17(24), 11352; https://doi.org/10.3390/su172411352 - 18 Dec 2025
Viewed by 225
Abstract
Lithium (Li) is a critical metal element in geothermal systems, yet its enrichment mechanism in coastal geothermal waters remains poorly understood. This study focuses on the Xiamen coastal geothermal system, located in the South China granitic reservoir at the front of the Pacific [...] Read more.
Lithium (Li) is a critical metal element in geothermal systems, yet its enrichment mechanism in coastal geothermal waters remains poorly understood. This study focuses on the Xiamen coastal geothermal system, located in the South China granitic reservoir at the front of the Pacific subduction zone. Self-organizing map (SOM) classification, hydrogeochemical analysis, hydrogen–oxygen isotopic constraints, and a three end-member mass balance model were applied to identify the sources and enrichment mechanisms of Li. The geothermal waters are classified into two types: inland low-TDS (Cluster-1) and coastal high-TDS (Cluster-2). Isotopic data indicate a mixture of meteoric water and seawater as the recharge source. The model shows that seawater and groundwater mixing accounts for 2–45% of Li concentration, with over 55% derived from the rock end-member. The leaching of 0.002–0.187 kg of granite per liter of geothermal water explains the observed Li levels. Elevated temperature and low pH enhance Li+ release from silicate minerals, and reverse cation exchange further amplifies this process. A strong positive correlation between the CAI-II index and Li+ concentration reveals a synergistic effect of ion exchange in high-salinity environments. Overall, the results provide a quantitative framework for understanding Li enrichment and evaluating resource potential in coastal geothermal systems. Full article
(This article belongs to the Section Resources and Sustainable Utilization)
Show Figures

Figure 1

11 pages, 1113 KB  
Article
Heatwaves Affect the Gonadal Maturation of the Sea Urchin Paracentrotus lividus
by Amalia Amato, Tania Russo, Davide Caramiello, Alberto Macina, Anna Di Cosmo, Gianluca Polese, Valerio Zupo and Maria Costantini
J. Mar. Sci. Eng. 2025, 13(12), 2293; https://doi.org/10.3390/jmse13122293 - 2 Dec 2025
Viewed by 380
Abstract
Climate-induced ocean warming poses a major threat to marine invertebrate reproduction, including the sea urchin Paracentrotus lividus, a species of considerable ecological, economic, and scientific interest. Its gonads, highly valued as a culinary delicacy, support local fisheries and aquaculture industries, making reproductive [...] Read more.
Climate-induced ocean warming poses a major threat to marine invertebrate reproduction, including the sea urchin Paracentrotus lividus, a species of considerable ecological, economic, and scientific interest. Its gonads, highly valued as a culinary delicacy, support local fisheries and aquaculture industries, making reproductive health a critical factor for both conservation and commercial viability. The present study reported the effects of elevated seawater temperatures, mimicking marine heatwave (MHW) conditions, on gonadal maturation and fertilization success on P. lividus. Here, adult specimens at the mature stage of gametogenesis were exposed to control (18 °C) and elevated temperature regimes (24 °C) over a six-week period, and key reproductive metrics were assessed, including histological analysis. Morphological analysis showed very evident gonadal retraction, nearly devoid of germ cells, both for males and females, with a significant decrease in the gonadal index. In addition, histological analysis revealed consistent damage to the gonads, with a significantly increase in histopathological index in specimens kept at 24 °C. These findings reinforce the temperature sensitivity of P. lividus reproduction, suggesting that recurrent heatwaves could severely impair its reproductive output and population dynamics with potential cascading effects on benthic community structure in a long-term ocean warming predicted to intensify. Full article
(This article belongs to the Special Issue Selected Feature Papers in Marine Environmental Science)
Show Figures

Figure 1

30 pages, 16292 KB  
Article
Seawater Flow-Freezing Characteristics in Open Container Injection Under Low-Temperature Conditions
by Yuhao Fan, Bei Peng, Puyu Jiang, Jiahui Ren, Yuesen Lin, Longlong Gao and Baoren Li
J. Mar. Sci. Eng. 2025, 13(12), 2289; https://doi.org/10.3390/jmse13122289 - 1 Dec 2025
Viewed by 268
Abstract
The phenomenon of seawater flow-freezing exists during ballast water injection and drainage in polar vessels, but the heat transfer and ice evolution behaviors under low-temperature flow conditions remain unclear. This study developed a computational model for ballast tank freezing using the volume of [...] Read more.
The phenomenon of seawater flow-freezing exists during ballast water injection and drainage in polar vessels, but the heat transfer and ice evolution behaviors under low-temperature flow conditions remain unclear. This study developed a computational model for ballast tank freezing using the volume of fluid (VOF) and enthalpy–porosity method, and constructed a scaled experimental platform for the simulation model validation. Based on this model, the flow-heat transfer and ice evolution process in the ballast tank are analyzed in detail, with a focus on the influence of injection velocity, pipe diameter, and position on seawater freezing characteristics. The results show that during low-temperature water injection, phase change occurs preferentially in the tank bottom region, with ice presenting as a slurry morphology; when injection velocity increases from 0.25 m/s to 3.5 m/s, the maximum ice-phase volume fraction increases by 48.9%, indicating faster flow accelerates phase-change freezing; compared to other diameters, DN150 piping exhibits the highest turbulent kinetic energy (0.054 m2/s2) and the maximum shear stress (12.49 Pa), demonstrating optimal freezing resistance; compared to bottom injection, sidewall injection intensifies heat transfer/icing near tank walls and increases ice-clogging risk around ports. This study reveals intrinsic mechanisms of dynamic ice-blockage evolution, providing theoretical basis for anti-clogging design in polar ship systems. Full article
(This article belongs to the Section Ocean Engineering)
Show Figures

Figure 1

17 pages, 955 KB  
Article
Blanching of Two Commercial Norwegian Brown Algae for Reduction of Iodine and Other Compounds of Importance for Food Safety and Quality
by Maria Stavnes Sletta, Cecilie Bay Wirenfeldt, Maren Sæther, Øystein Arlov, Petra Ložnjak Švarc, Synnøve Strand Jacobsen, Finn Lillelund Aachmann, Håvard Sletta, Susan Løvstad Holdt, Inga Marie Aasen and Turid Rustad
Foods 2025, 14(23), 4113; https://doi.org/10.3390/foods14234113 - 1 Dec 2025
Viewed by 623
Abstract
Two commercially utilized kelp species, winged kelp (Alaria esculenta) and sugar kelp (Saccharina latissima), can accumulate high amounts of iodine and thereby pose a health concern if consumed in excess. Water blanching is used industrially to reduce the iodine [...] Read more.
Two commercially utilized kelp species, winged kelp (Alaria esculenta) and sugar kelp (Saccharina latissima), can accumulate high amounts of iodine and thereby pose a health concern if consumed in excess. Water blanching is used industrially to reduce the iodine content. This study aimed to optimize the blanching conditions to reduce the energy consumption and environmental impact by investigating the parameters of temperature, duration, use of sea or fresh water, biomass-to-water ratio, and recycling of water. The study investigated the impact of the blanching conditions on composition of the biomass, including nutrient content and potential toxic elements. The iodine content was reduced to 5% of the initial content for S. latissima and to 8% for A. esculenta at the optimal conditions in the present study, which was blanching in seawater at 80 °C for 2 min. Using tap water at the same conditions resulted in a reduction to 7 and 11% of the initial content. The content of arsenic in blanched winged kelp was reduced to levels below the maximum allowed content in feed, whereas the content in blanched sugar kelp remained above this level. This study provides a comprehensive set of data on blanching of the two kelp species, with high relevance for the industrial scale-up of kelp processing. Full article
(This article belongs to the Section Food Quality and Safety)
Show Figures

Figure 1

14 pages, 1119 KB  
Article
Assessment of Initial Wettability Effects on Smart Water Injection Efficiency in Carbonate Reservoirs
by Alireza Kazemi and Masoud Pedrampour
Processes 2025, 13(12), 3842; https://doi.org/10.3390/pr13123842 - 27 Nov 2025
Viewed by 374
Abstract
Carbonate reservoirs, which hold a significant portion of the world’s oil reserves, are particularly challenging for enhanced oil recovery (EOR) due to their predominantly oil-wet nature and low permeability. Smart water injection (a low-cost, environmentally friendly EOR method) has demonstrated potential to enhance [...] Read more.
Carbonate reservoirs, which hold a significant portion of the world’s oil reserves, are particularly challenging for enhanced oil recovery (EOR) due to their predominantly oil-wet nature and low permeability. Smart water injection (a low-cost, environmentally friendly EOR method) has demonstrated potential to enhance recovery by modifying rock wettability. While numerous studies have examined smart-water mechanisms, the specific role of initial wettability (including Swi and core preservation state) in controlling its efficiency remains insufficiently quantified. This study addresses this critical gap by systematically investigating how initial wettability affects oil recovery during smart water flooding in a Middle Eastern carbonate reservoir. Core flooding experiments were conducted using brines enriched with potential-determining ions (SO42−, Ca2+, Mg2+) under varying wettability conditions. These tests were performed under controlled initial wettability conditions (Swi and preservation state) to ensure consistent and representative comparison across brine types. Results reveal that initial rock wettability plays a pivotal role in dictating the extent of wettability alteration and oil displacement. In strong oil-wet samples, sulfate-enriched brines induced substantial wettability shifts, significantly enhancing recovery. Conversely, ion saturation effects were observed, limiting further improvement beyond a threshold. Quantitatively, spontaneous water-displacement tests on core 122 at ambient conditions yielded 8.1% of OOIP at Swi = 10%, approximately twice the recovery of the same core in a dry (Swi = 0%) condition. Under reservoir-temperature core-flooding, seawater increased oil recovery from 38.3 to 53.1% OOIP in sample 122 and from 42.2 to 54.1% OOIP in sample 188 relative to formation water, corresponding to incremental gains of about 10–15 percentage points. These findings highlight the critical role of initial wettability characterization in designing effective smart-water EOR strategies. Tailoring brine composition to reservoir-specific wettability conditions enabled recovery improvements of approximately 10–15 percentage points relative to formation water at reservoir temperature. The results provide clear mechanistic insight into ion-specific interactions and offer practical guidance for optimizing smart-water formulation and deployment in carbonate reservoirs. Full article
(This article belongs to the Special Issue Advanced Approaches in Drilling Processes and Enhanced Oil Recovery)
Show Figures

Figure 1

15 pages, 1641 KB  
Article
Photosynthesis and Spatial Distribution of Surface Phytoplankton in the Yangtze Estuary and Adjacent Waters During Spring
by Haojie Hu, Jing Xia, Xiu Gao, Wenlian Huang, Jiuyi Pan, Zhi Chen and Ji Li
Biology 2025, 14(11), 1628; https://doi.org/10.3390/biology14111628 - 20 Nov 2025
Viewed by 504
Abstract
Chlorophyll fluorescence provides direct insights into the physiological status of algae, contributing to the understanding of the marine carbon cycle. However, in situ measurements of phytoplankton photosynthetic physiology remain relatively scarce in the Yangtze River Estuary (YRE), an ecosystem under intense anthropogenic pressure. [...] Read more.
Chlorophyll fluorescence provides direct insights into the physiological status of algae, contributing to the understanding of the marine carbon cycle. However, in situ measurements of phytoplankton photosynthetic physiology remain relatively scarce in the Yangtze River Estuary (YRE), an ecosystem under intense anthropogenic pressure. Consequently, quantifying composition and physiological status variations of phytoplankton in this region is critical for understanding their ecological functions and responses. Spring cruise revealed that the warm and high-salinity oceanic region exhibited a greater abundance of dinoflagellates and chrysophytes, while the lower-salinity plume region was characterized by higher abundances of chlorophytes and cryptophytes. Diatoms dominated across all regions. The highest chlorophyll a concentration (6.3 μg/L) was observed in the oceanic region. Chlorophyll fluorescence indicated that the warm offshore community was more active, suggesting favorable phytoplankton growth. As temperature decreased and seawater mixed, the maximum relative electron transport rate (rETRmax) and the minimal saturated light intensity (Ik) decreased, yet the overall community remained healthy. Despite the plume delivering abundant nutrients, phytoplankton activity was relatively low due to the cold spring water temperature. This study will provide a foundation for understanding phytoplankton dynamics under anthropogenic influences in the YRE and the adjacent East China Sea, supporting algal bloom monitoring and early warning efforts. Full article
Show Figures

Figure 1

22 pages, 3659 KB  
Article
Identification of Ocean Thermal Energy Conversion Heat Exchange Model Based on Long Short-Term Memory Network and Heat Exchange Efficiency Improvement Study
by Yanjun Liu, Xiu You, Mingqian Tian, Tianxu Zhang, Yun Chen and Yanni Yu
J. Mar. Sci. Eng. 2025, 13(11), 2191; https://doi.org/10.3390/jmse13112191 - 18 Nov 2025
Viewed by 365
Abstract
The core of ocean thermal energy conversion (OTEC) is the transfer and conversion of heat energy, and the heat exchanger is a key component of the heat transfer between the surface warm seawater and the lower cold seawater. The working fluid has a [...] Read more.
The core of ocean thermal energy conversion (OTEC) is the transfer and conversion of heat energy, and the heat exchanger is a key component of the heat transfer between the surface warm seawater and the lower cold seawater. The working fluid has a significant impact on the efficiency of the entire cycle in the temperature difference cycle. This study aimed to improve heat exchange efficiency. The article studied heat exchangers, used R134a as the circulating medium, and applied ANSYS-FLUENT 2020R2 simulation software to analyze the variation in heat transfer coefficients. We obtained the trend in the heat transfer coefficient of the heat exchanger with the shape of an elliptical tube under the condition of ocean temperature difference cycles. Then we used a long short-term memory network and Adam optimization algorithm to establish the prediction model. The NSGA-II 11 algorithm was used to realize optimization objectives of the highest heat transfer efficiency and the smallest cross-sectional area of heat transfer tubes along the X and Y directions. Finally, the parameters of the evaporator and condenser ultimately resulted in three optimal solutions. The results of this study can provide a certain theoretical basis and reference value for the efficiency analysis, structure optimization, and experimental research of the subsequent ocean differential circulation heat transfer. Full article
(This article belongs to the Section Ocean Engineering)
Show Figures

Figure 1

34 pages, 5691 KB  
Article
Impact of Operational Parameters on the CO2 Absorption Rate and Uptake in MgO Aqueous Carbonation—A Comparison with Ca(OH)2
by Quentin Wehrung, Davide Bernasconi, Enrico Destefanis, Caterina Caviglia, Alice Colli, Fabien Michel, Alessandro Pavese and Linda Pastero
Minerals 2025, 15(11), 1205; https://doi.org/10.3390/min15111205 - 15 Nov 2025
Viewed by 741
Abstract
The CO2 absorption rate and total uptake by MgO aqueous suspensions were investigated in batch experiments by systematically varying MgO concentrations (0.5–5 wt.%), CO2 flow rates (0.5–2 L/min), temperatures (278–363 K), NaCl salinities (0–7 wt.%), Na2SO4 and K [...] Read more.
The CO2 absorption rate and total uptake by MgO aqueous suspensions were investigated in batch experiments by systematically varying MgO concentrations (0.5–5 wt.%), CO2 flow rates (0.5–2 L/min), temperatures (278–363 K), NaCl salinities (0–7 wt.%), Na2SO4 and K2SO4 concentrations (0–10.5 wt.%), and gas–liquid mixing systems (pipe outlet and porous stone sparger). Results show that temperature strongly controls the carbonation process: increasing temperature above 303 K consistently reduced both the CO2 absorption rate ηt and the total CO2 uptake VCO2 due to the destabilization of metastable Mg(HCO3)2 solutions and accelerated precipitation of less soluble hydrated magnesium carbonates. Under optimal low-temperature conditions (278–283 K, 1–1.5 wt.% MgO, sparger mixing, pure system), the average capture efficiency reached ≈ 35%, with maximum peaks over 70% and total CO2 uptakes of ≈ 12–17 L. Adding NaCl at typical seawater levels (3.5–7 wt.%) slightly increased CO2 uptake at temperatures above 323 K. Sulfate ions (Na2SO4 and K2SO4) were found to enhance the absorption rate at low concentrations (<2 wt.%) but reduce it at higher levels, with no significant impact on the total CO2 uptake observed in this study. Using a CO2 sparger significantly improved gas–liquid contact, achieving average CO2 capture efficiencies ηmaxt above 70% at low temperatures, compared to <20% with simple pipe bubbling. A direct comparison with Ca(OH)2 aqueous carbonation confirmed that, despite its lower solubility and slower kinetics, MgO can outperform Ca-based systems under specific conditions. These results provide practical experimental benchmarks and process guidance for designing Mg-based aqueous carbonation systems, including applications that use brines, industrial wastewater or seawater. Full article
(This article belongs to the Special Issue CO2 Mineralization and Utilization)
Show Figures

Graphical abstract

Back to TopTop