Sign in to use this feature.

Years

Between: -

Subjects

remove_circle_outline
remove_circle_outline
remove_circle_outline
remove_circle_outline
remove_circle_outline
remove_circle_outline
remove_circle_outline
remove_circle_outline
remove_circle_outline

Journals

Article Types

Countries / Regions

remove_circle_outline
remove_circle_outline
remove_circle_outline
remove_circle_outline

Search Results (318)

Search Parameters:
Keywords = room temperature curing

Order results
Result details
Results per page
Select all
Export citation of selected articles as:
15 pages, 7781 KB  
Article
Thermal Curing of Cold-Mixing Polyurea: Mechanical Performance Enhancement
by Alberto Pagano, Nicola Bonora, Sara Ricci, Andrew Ruggiero, Gabriel Testa and Gianluca Iannitti
Appl. Sci. 2026, 16(9), 4334; https://doi.org/10.3390/app16094334 - 29 Apr 2026
Abstract
Polyurea elastomers are widely used in industry thanks to their exceptional mechanical properties. However, cold-pour systems typically require extended ambient curing times to achieve optimal performance. This study investigates whether accelerated thermal curing can replicate or exceed the mechanical properties obtained through the [...] Read more.
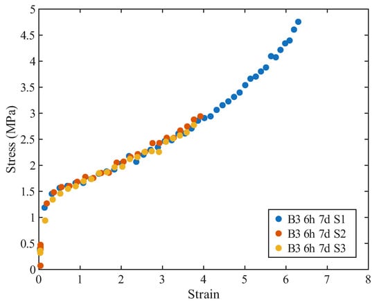
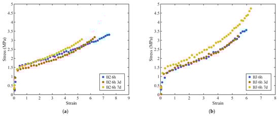
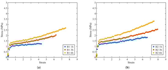
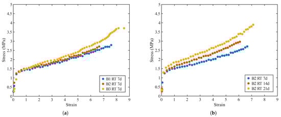
Polyurea elastomers are widely used in industry thanks to their exceptional mechanical properties. However, cold-pour systems typically require extended ambient curing times to achieve optimal performance. This study investigates whether accelerated thermal curing can replicate or exceed the mechanical properties obtained through the standard ambient cure protocol. Specimens were prepared by hand-mixing and then cured at temperatures of 50 °C and 70 °C for 1 h, 3 h and 6 h. Selected specimens were then aged at room temperature for up to 7 d. Uniaxial tensile tests were conducted, with strain measured via a video-tracking technique. Porosity analysis was performed using cross-section micrographs. The results show that a 6 h cure at 50 °C yields mechanical properties comparable to those obtained through the standard ambient cure, while a 6 h cure at 70 °C significantly surpasses them. Post-cure aging was found to be particularly effective for specimens with a thickness of 1.5 mm, achieving a tensile strength of 4.7 MPa after 7 d, exceeding that declared by the manufacturer. Full article
Show Figures

Figure 1

14 pages, 4190 KB  
Article
High-Tg Polyimide Matrix Composites via Backbone Ethynyl Crosslinking: Preparation and Short-Term High-Temperature Performance
by Jinsong Sun, Chengyu Huang, Shengxiong Li, Hansong Liu, Lei Yao, Peng Zhang, Xiangyu Zhong and Jianwen Bao
Polymers 2026, 18(9), 1016; https://doi.org/10.3390/polym18091016 - 22 Apr 2026
Viewed by 394
Abstract
Carbon fiber-reinforced polyimide composites are critical for aerospace applications in high-temperature environments of 300–500 °C. However, conventional PMR-15- and PEPA-terminated polyimides are limited by their insufficient glass transition temperatures (Tg) and low crosslinking densities. This study proposes a reactive backbone construction [...] Read more.
Carbon fiber-reinforced polyimide composites are critical for aerospace applications in high-temperature environments of 300–500 °C. However, conventional PMR-15- and PEPA-terminated polyimides are limited by their insufficient glass transition temperatures (Tg) and low crosslinking densities. This study proposes a reactive backbone construction strategy by employing 4,4′-(ethyne-1,2-diyl)diphthalic anhydride (EBPA) as a difunctional monomer copolymerized with asymmetric 2,3,3′,4′-biphenyl tetracarboxylic dianhydride (α-BPDA) and 4,4′-oxydianiline to synthesize polyimide resins containing both backbone ethynyl and terminal phenylethynyl groups. The effects of EBPA content on the curing behavior, thermomechanical properties, and elevated temperature mechanical performance were systematically investigated. The incorporation of EBPA significantly elevated Tg from 378 °C to 486 °C. Compared to the EBPA-0 control, the optimized EBPA-2 composite exhibited 7.3% and 3.6% improvements in room temperature flexural strength and modulus, respectively. Notably, at 400 °C, EBPA-2 demonstrated retention rates of 69.9%, 93.7%, and 61.6% for flexural strength, flexural modulus, and interlaminar shear strength, exceeding EBPA-0 by 16.9, 8.9, and 18.6 percentage points. SEM analysis confirmed the effective suppression of interfacial debonding at elevated temperatures. These findings elucidate the structure–property relationships between molecular structure, Tg, and short-term high-temperature mechanical retention, providing a promising resin matrix for advanced aerospace carbon fiber composites. Full article
14 pages, 2763 KB  
Article
Sol-Gel Derived Dual-Functional Organosilicone Coating for Enhanced Solar Panel Performance
by Jianping Huang, Xinyue Liu, Junjie Liu, Ling Yang, Jiang Li, Ziya Bai, Qingfei Zhao, Jinzhi Tong and Tiezheng Lv
Gels 2026, 12(4), 316; https://doi.org/10.3390/gels12040316 - 8 Apr 2026
Viewed by 351
Abstract
In this study, a non-typical luminescent organosilicone was synthesized through a click reaction and used as a cross-linker to cure hydroxyl-terminated dimethylsilicone oil at room temperature via the sol–gel process, followed by application as a coating on a glass surface. This organosilicone film [...] Read more.
In this study, a non-typical luminescent organosilicone was synthesized through a click reaction and used as a cross-linker to cure hydroxyl-terminated dimethylsilicone oil at room temperature via the sol–gel process, followed by application as a coating on a glass surface. This organosilicone film functions effectively as a luminescent down-shifting (LDS) material. Additionally, the presence of methyl groups and voids in the structure imparts a low refractive index, allowing it to serve as an anti-reflective (AR) layer. Optical and structural analyses on organosilicone-coated glass samples were conducted, and the dual-functional layer was applied to the glass cover of a perovskite solar panel to evaluate its performance. The coating not only enhanced light transmission as an AR layer but also converted UV light into blue light, which was absorbed by the solar cell. The results indicated improved solar panel performance, particularly in short-circuit current (Isc), external quantum efficiency (EQE) in the UV wavelength range, and overall efficiency. Overall, this material is a promising candidate for solar panel applications owing to maximized UV absorption for LDS, preserved transparency of the top cover glass, and room-temperature gelation, which facilitates repair of the dual-functional coating. Full article
(This article belongs to the Section Gel Analysis and Characterization)
Show Figures

Figure 1

54 pages, 3065 KB  
Review
Low-Temperature Sintering Inks for Printed Bioelectronics: Materials, Mechanisms, and Emerging Ideas
by Abhijit Bera, Fei Liu, Matthew R. Marander, Ricardo Ortega, Ahmad Mustafa Ahmad Malkawi, Utsav Kumar Dey, Ritinder Sandhu, Tyler P. Collins and Shan Jiang
Biosensors 2026, 16(4), 206; https://doi.org/10.3390/bios16040206 - 3 Apr 2026
Viewed by 800
Abstract
Printed electronics have emerged as a versatile manufacturing platform for next-generation biosensors, enabling on-demand and low-cost fabrication of functional devices on flexible, stretchable, and unconventional substrates. One major challenge in this field lies in the sintering of printed features, as conventional high-temperature processing [...] Read more.
Printed electronics have emerged as a versatile manufacturing platform for next-generation biosensors, enabling on-demand and low-cost fabrication of functional devices on flexible, stretchable, and unconventional substrates. One major challenge in this field lies in the sintering of printed features, as conventional high-temperature processing is incompatible with polymeric substrates and thermally sensitive biological components. Low-temperature sintering inks, typically processed below 200 °C or even at room temperature, have become a critical enabling technology for bio-integrated electronics. This review provides an overview of the current state-of-the-art and key challenges associated with low-temperature sintering inks for printed bioelectronics. We discuss inks based on metal nanoparticles, metal–organic decomposition precursors, metal oxides, chalcogenides, and hybrid material systems. The emphasis is on how ink chemistry, ligand selection, and precursor structure govern rheology, stability, and sintering behavior. In addition, key low-temperature sintering and curing strategies, including thermal, photonic, laser, plasma, microwave, and chemical sintering, are compared in terms of energy delivery, densification mechanisms, and substrate compatibility. Finally, we outline emerging directions towards low temperature and room-temperature sintering inks, and sustainable biobased ink formulations, and discuss their applications for wearable, implantable, and soft biosensing platforms. Full article
Show Figures

Figure 1

30 pages, 7927 KB  
Article
Construction and Performance Study of BDDE-Toughened Modified Mannich Base Epoxy System
by Siyu Wu, Suining Zheng, Wenlan Zhang and Huaxin Chen
Materials 2026, 19(7), 1332; https://doi.org/10.3390/ma19071332 - 27 Mar 2026
Viewed by 379
Abstract
To mitigate the issue of brittleness and cracking in epoxy resin (EP) anti-skid systems, this study investigates four key aspects tailored to application scenarios: toughening, low shrinkage, strong adhesion, and rapid curing at ambient temperature. 1,4-Butanediol diglycidyl ether (BDDE) was used to extend [...] Read more.
To mitigate the issue of brittleness and cracking in epoxy resin (EP) anti-skid systems, this study investigates four key aspects tailored to application scenarios: toughening, low shrinkage, strong adhesion, and rapid curing at ambient temperature. 1,4-Butanediol diglycidyl ether (BDDE) was used to extend the chain of triethylenetetramine (TETA), followed by a Mannich reaction with formaldehyde (F) and cardanol to prepare a flexible aliphatic amine Mannich base curing agent containing flexible segments (Curing Agent B). The influence of composition ratios on the mechanical properties of the cured product was studied. The curing performance of the epoxy system under various temperature conditions and its adhesion to asphalt substrates were characterized. The thermal shrinkage behavior of the epoxy system under temperature-variable environments was also investigated. The results indicated that the elongation at break of the epoxy curing system, after chain extension and toughening, increased from 28.7% to 40.4%, representing a 28.9% increase. When n (Cardanol):n (TETA):n (F):n (BDDE) = 1:1.4:0.8:0.7 (molar ratio of reactants), m (EP):m (Curing Agent B) = 1:1 (mass ratio), and epoxy-terminated polyurethane (EPU) prepolymer constituted 10% of the epoxy resin mass; the epoxy curing system exhibited an elongation at break of 44.3%, a tensile strength of 7.0 MPa, a bond strength of 6.9 MPa, and an impact toughness of 1.77 J/cm2. Furthermore, it exhibited rapid curing at a low temperature (0~5 °C) and at room temperature (25 °C). Additionally, when bisphenol F epoxy resin was used, the system demonstrated optimal thermal expansion properties. Full article
Show Figures

Figure 1

19 pages, 547 KB  
Article
Effect of Storage Temperature on Sliced Vacuum-Packed Dry-Cured Portuguese Sausage (Painho de Porco Preto)
by Sofia Trindade, Ana Cristina Agulheiro-Santos, Alberto Ortiz, Lucía León, Maria Freire, David Tejerina and Miguel Elias
Foods 2026, 15(7), 1119; https://doi.org/10.3390/foods15071119 - 24 Mar 2026
Viewed by 332
Abstract
Painho de Porco Preto is a traditional product of the Alentejo region, made with cuts of Alentejano autochthonous breed pigs. The objective of this study was to evaluate how different storage temperatures (4 °C and room temperature (20 ± 2 °C)) could influence [...] Read more.
Painho de Porco Preto is a traditional product of the Alentejo region, made with cuts of Alentejano autochthonous breed pigs. The objective of this study was to evaluate how different storage temperatures (4 °C and room temperature (20 ± 2 °C)) could influence the quality and safety of the sliced vacuum-packed Painho de Porco Preto, throughout 6 months of storage. Analyses included physicochemical parameters, microbiological, and sensory analysis. Throughout storage, the product showed low TBARS values (<3 MDA/kg) and stable tocopherol levels under both storage conditions, although the samples at room temperature performed slightly better. aw and pH values were higher for samples stored at 4 °C, which influenced the results of some parameters. Color coordinate b* had an increase in values by the end of storage for the fat portion of the slices, but the rest of the parameters stayed stable. Nitrate/nitrite contents remained within expected ranges for dry-cured sausages. Microbiological analyses confirmed the absence of major pathogens during the study period, while variations in growth were observed depending on storage temperature. In sum, the results indicate that sliced vacuum-packaged Painho de Porco Preto can maintain acceptable quality and safety for 6 months at room temperature. These findings provide useful information for the meat industry by supporting the optimization of storage strategies and shelf-life management for sliced traditional dry-cured sausages. Full article
24 pages, 6710 KB  
Article
Dynamic Mechanical Analysis, Morphology, Physico-Mechanical, and Performance Properties of EPDM/NBR Rubber Blends Containing Chlorosulfonated Polyethylene as a Compatibilizer
by Evgeniy Egorov, Rakhymzhan Turmanov, Rakhmetulla Zhapparbergenov, Aslan Oryngaliyev, Nurgali Akylbekov, Nurbol Appazov, Anton Loshachenko, Nikita Glukhoedov, Abdirakym Nakyp and Nadezhda Semenova
Polymers 2026, 18(1), 103; https://doi.org/10.3390/polym18010103 - 30 Dec 2025
Cited by 1 | Viewed by 798
Abstract
The article studies the influence of chlorosulfonated polyethylene CSM 40 as a compatibilizer on the curing characteristics of the rubber compound, dynamic mechanical analysis, morphology, physico-mechanical and performance properties of vulcanized rubber based on a compound of ethylene propylene diene monomer EPDM S [...] Read more.
The article studies the influence of chlorosulfonated polyethylene CSM 40 as a compatibilizer on the curing characteristics of the rubber compound, dynamic mechanical analysis, morphology, physico-mechanical and performance properties of vulcanized rubber based on a compound of ethylene propylene diene monomer EPDM S 501A and nitrile butadiene NBR 2645 rubbers. DMA studies indicate that the temperature dependence of tanδ for vulcanizates with and without a compatibilizer based on EPDM S 501A/NBR 2645 at a ratio of 75/25 parts per hundred parts of rubber (phr) has a bimodal character, which indicates the incompatibility of the rubber phases. The temperature dependence for EPDM S 501A/NBR 2645 vulcanizates (25/75 phr) with and without a compatibilizer has a monomodal form, which characterizes the improved compatibility of the rubber phases. SEM showed that a clearly defined microporous structure is observed on a cleavage of vulcanizate sample EPDM/NBR (25/75 phr) without a compatibilizer; with the addition of CSM 40, this feature is retained, but becomes less pronounced. It is shown that vulcanizates containing the compatibilizer CSM 40 are characterized by increased strength properties and hardness compared to vulcanized rubber without a compatibilizer. It was established that the vulcanized rubber based on EPDM S 501A/NBR 2645/CSM 40 (25/75/5 phr) is characterized by the smallest changes in the elastic-strength properties and hardness of vulcanizates after a day of thermo-oxidative aging in air and their weight after exposure to industrial oil I-20A and standard petroleum fluid SZhR-1 at room temperature among vulcanizates based on EPDM S 501A and NBR 2645. The vulcanizate of the rubber compound, including a compound of EPDM/NBR (25/75 phr) with a compatibilizer CSM 40 in an amount of 5 phr (2.88 wt.%), is characterized by stable physico-mechanical properties and improved performance properties. This rubber compound can be used for the manufacture of rubber products operating under the influence of oils and hydrocarbon environments. Full article
(This article belongs to the Section Polymer Processing and Engineering)
Show Figures

Graphical abstract

13 pages, 2669 KB  
Article
Highly Dispersible and Stable Carbon Nanotube Ink with Silicone Elastomer for Piezoresistive Sensing
by Hyun Jae Lee, Justin Rejimone, Simon S. Park and Keekyoung Kim
Micromachines 2026, 17(1), 14; https://doi.org/10.3390/mi17010014 - 24 Dec 2025
Viewed by 621
Abstract
An alternative conductive ink based on carbon nanotubes (CNTs) was developed using a platinum-catalyzed silicone elastomer and isopropyl alcohol (IPA). The inclusion of IPA in the conductive CNT ink facilitated the optimization of its mechanical strength, electrical conductivity, and viscosity. Compared to conventional [...] Read more.
An alternative conductive ink based on carbon nanotubes (CNTs) was developed using a platinum-catalyzed silicone elastomer and isopropyl alcohol (IPA). The inclusion of IPA in the conductive CNT ink facilitated the optimization of its mechanical strength, electrical conductivity, and viscosity. Compared to conventional silicone rubber-based conductive polymers that often solidify in a few hours at room temperature or with heating, this liquid composite of CNT particles and IPA exhibited a prolonged duration of up to several months in a hermetic environment, maintaining chemical stability even with the elastomer and its curing agent. The gradual evaporation of IPA initiates a well-known cross-linking process, leading to stretchability and electrical conductivity derived from the silicone elastomer and CNT particles, respectively. The relationship between the mechanical strength and electrical conductivity of the hardened conductive CNT ink was studied, which helped determine the optimized concentration of CNT particles in the conductive CNT ink. Subsequently, a piezoresistive sensor was designed, fabricated, and evaluated. The conductive CNT ink-based piezoresistive sensor showed high sensitivity and good repeatability with respect to a wide range of external forces. The effect of the concentration of CNT particles on the viscosity of the conductive CNT ink was also investigated, providing a better understanding of the entanglement of CNT particles within the silicone elastomer. A coating test using the conductive CNT ink with a paper cutting machine demonstrated its potential for adaptation to various printing techniques, including screen printing. The proposed conductive CNT ink, characterized by a simple chemical composition, facile fabrication process, use of non-toxic elements, high electrical conductivity, and stretchability, combined with an extended duration, has the potential to be applied for multiple purposes, such as various types of flexible and wearable electronics. Full article
Show Figures

Figure 1

18 pages, 2292 KB  
Article
Effects of Ca/Si and Si/Al Ratios on the Wood Biomass Ash-Based Alkali-Activated Materials with Pozzolanic Additives
by Yiying Du, Ina Pundienė and Jolanta Pranckevičienė
Buildings 2026, 16(1), 51; https://doi.org/10.3390/buildings16010051 - 22 Dec 2025
Cited by 1 | Viewed by 541
Abstract
Wood biomass ash (WBA) is a by-product from biofuel energy plants. The disposal of this waste is connected with numerous environmental concerns. A more sustainable choice is to recycle it as a raw material for building and construction materials. However, due to its [...] Read more.
Wood biomass ash (WBA) is a by-product from biofuel energy plants. The disposal of this waste is connected with numerous environmental concerns. A more sustainable choice is to recycle it as a raw material for building and construction materials. However, due to its unstable characteristics, its application in alkali-activated materials (AAM) poses a challenge. One issue is the development of the mechanical properties. To improve them, pozzolanic additives, including coal fly ash (CFA), metakaolin (MK), and natural zeolite (NZ), were added at replacement ratios of 10–40%. Calcium hydroxide, sodium hydroxide, and sodium silicate were used together as ternary activators. The samples were cured at 60 °C for the first 24 h and for the remaining 27 days at room temperature. Mechanical behavior, water absorption, and chemical compositions were examined. The results obtained from XRF were compared with the calculation results of the chemical compositions based on the mix design and oxide compositions of the raw materials. The results show that the respective optimum replacement ratios were 30% CFA, 20% MK, and 20% NZ, with the highest compressive strength corresponding to 22.71, 20.53, and 24.33 MPa, and the highest flexural strength of 4.49, 4.32, and 4.21 MPa. NZ was the most effective in AAM, due to the highest Si/Al ratio in the Ca-rich ambient. Then, CFA contributed less, and MK was the least efficient when used in combination with WBA in AAM. The reduction of Ca/Si ratios in the AAM caused by the pozzolanic additives favors the formation of a binder system made of different hydrates and facilitates the strength enhancement when the Ca/Si ratio is lower than 0.35. Full article
Show Figures

Figure 1

15 pages, 3776 KB  
Article
Study on the Room-Temperature Rapid Curing Behavior and Mechanism of HDI Trimer-Modified Epoxy Resin
by Jiali Wu, Yan Liu, Sude Ma and Yue Zhang
Coatings 2025, 15(12), 1427; https://doi.org/10.3390/coatings15121427 - 4 Dec 2025
Viewed by 855
Abstract
This study resolves the challenge of balancing curing speed and performance in room-temperature-curing epoxy coatings by developing a novel system grafted with hexamethylene diisocyanate trimer (HDI trimer) and polyethylene glycol 200 (PEG200). Employing DMP-30 as the catalyst, the coating achieves efficient curing at [...] Read more.
This study resolves the challenge of balancing curing speed and performance in room-temperature-curing epoxy coatings by developing a novel system grafted with hexamethylene diisocyanate trimer (HDI trimer) and polyethylene glycol 200 (PEG200). Employing DMP-30 as the catalyst, the coating achieves efficient curing at 25 °C, with complete cure within 7.5 h. The cured material exhibits outstanding thermal stability (T50% = 380.83 °C) and mechanical properties. Fracture morphology analysis reveals a uniform ductile structure, confirming its high toughness and durability. Furthermore, kinetic models accurately predict curing behavior across different temperature curves, providing crucial guidance for optimizing industrial coating processes. This research offers a viable strategy for designing high-performance, rapid curing epoxy materials, demonstrating significant application potential in coating systems, composite surfaces, and electronic encapsulation. Full article
(This article belongs to the Section Functional Polymer Coatings and Films)
Show Figures

Graphical abstract

8 pages, 238 KB  
Communication
In Vitro Probiotic Potential of Lactic Acid Bacteria Isolated from Brazilian Dry-Cured Loin (Socol)
by Felipe Coser Chow, Gustavo Lucas Costa Valente, Viviana Patrícia Fraga Santos, Carla Ferreira Soares, Henrique César Pereira Figueiredo, Silvana de Vasconcelos Cançado, Tadeu Chaves Figueiredo and Marcelo Resende Souza
Microorganisms 2025, 13(12), 2749; https://doi.org/10.3390/microorganisms13122749 - 3 Dec 2025
Cited by 2 | Viewed by 730
Abstract
Socol is an artisanal meat product typical of Southeast Brazil. It is made from pork loin and ripened at room temperature. This work aimed to isolate, quantify, and identify lactic acid bacteria (LAB) in Brazilian dry-cured loin (Socol) as well as evaluate their [...] Read more.
Socol is an artisanal meat product typical of Southeast Brazil. It is made from pork loin and ripened at room temperature. This work aimed to isolate, quantify, and identify lactic acid bacteria (LAB) in Brazilian dry-cured loin (Socol) as well as evaluate their in vitro probiotic potential. LAB were found in high amounts, varying from 2.5 × 103 to 9.2 × 106 CFU g−1. Eleven isolated bacteria were identified by Matrix-Assisted Laser Desorption Ionization–Time-Of-Flight/Mass Spectrometry (MALDI-TOF/MS). Of these, six strains (Latilactobacillus brevis SFC1A, Latilactobacillus sakei SFC2A, Latilactobacillus curvatus SFC6A, Pediococcus acidilactici SFC9A, Latilactobacillus curvatus SFC11A, and Pediococcus pentosaceus SFC11B) were submitted to in vitro probiotic tests. All were tolerant to bile salts and five of them to artificial gastric juice, and were all sensitive to tetracycline, chloramphenicol, and erythromycin. L. brevis SFC1A and P. acidilactici SFC9A inhibited all tested pathogenic bacteria and showed the broadest in vitro probiotic activity. Thus, they would be recommended as starter cultures for the elaboration of novel fermented meat products and to compose a bank of indigenous bacteria, as well as contribute to preserving Socol microbiota. Full article
(This article belongs to the Section Food Microbiology)
16 pages, 2759 KB  
Article
High-Tg Vat Photopolymerization Materials Based on In Situ Sequential Interpenetrating Polymer Networks of Maleimide and Cyanate Ester Monomers
by Anh Fridman, Nicolas J. Alvarez and Giuseppe R. Palmese
Polymers 2025, 17(23), 3179; https://doi.org/10.3390/polym17233179 - 29 Nov 2025
Viewed by 679
Abstract
There are limited material choices for vat photopolymerization additive manufacturing processes that offer high dimensional accuracy. Acrylates and epoxies are commonly used, but their thermal properties are not suitable for applications requiring high-temperature performance. A possible solution is the use of high-performance thermosets, [...] Read more.
There are limited material choices for vat photopolymerization additive manufacturing processes that offer high dimensional accuracy. Acrylates and epoxies are commonly used, but their thermal properties are not suitable for applications requiring high-temperature performance. A possible solution is the use of high-performance thermosets, such as maleimide and cyanate ester, which are cured at high temperatures. Still, their use in vat photopolymerization methods has been limited due to the high temperature required. In this work, a photocurable formulation composed of multimaleimide monomers, a reactive diluent, and a cyanate ester was developed to improve thermal and mechanical properties and reduce cure shrinkage due to density changes during processing. In situ sequential interpenetrating polymer networks (IPNs) were investigated, in which the copolymerization of multimaleimide and a diluent occurs during printing, yielding a cyanate ester-swollen network with a sub-room-temperature glass transition temperature (Tg). The polymerization of the cyanate ester occurs during a high-temperature post-printing step. The resulting materials have a Tg above 250 °C (peak in the loss modulus), good fracture toughness (GIc of 100 J/m2), and overall cure shrinkage of less than 6%, with 1–2% occurring during the high-temperature post-curing step. Full article
Show Figures

Figure 1

26 pages, 8765 KB  
Article
Assessment of the Potential for Producing Geopolymer-Based Granulates as a Substitute for Natural Aggregates
by Magdalena Cempa, Jerzy Korol and Agnieszka Klupa
Materials 2025, 18(23), 5275; https://doi.org/10.3390/ma18235275 - 21 Nov 2025
Cited by 1 | Viewed by 846
Abstract
This study presents the development and evaluation of a technology for producing geopolymer-based granulates, which act as sustainable substitutes for natural aggregates by utilizing waste materials. The technology is demonstrated to be energy-efficient compared to other manufactured aggregate processes (such as sintering), as [...] Read more.
This study presents the development and evaluation of a technology for producing geopolymer-based granulates, which act as sustainable substitutes for natural aggregates by utilizing waste materials. The technology is demonstrated to be energy-efficient compared to other manufactured aggregate processes (such as sintering), as it relies on a cold-bonding process and achieves self-hardening at room temperature. The granulation of geopolymer materials using an intensive counter-current mixer represents an innovative solution in the field of producing substitutes for natural aggregates. Coal fly ash (CFA) was used as the primary aluminosilicate precursor, with composite regrind from decommissioned wind turbine blades (CR) and steelmaking dust (SD) tested as additives. Reactive solids and alkaline activator liquids were mixed and granulated in a single operation using an intensive counter-current mixer; moistening and surface powdering were applied to improve granule sphericity. The granules were cold-cured at room temperature and characterized after 28 days by grain size distribution, crushing resistance, water absorption, abrasion (micro-Deval), SEM/EDS and leaching tests. The results indicate that the additives significantly improved the mechanical performance: PM + PK granules reached crushing strengths > 6 MPa, while CFA + SD granules reached > 11 MPa, exceeding many commercial lightweight aggregates (such as LECA or Lytag), as detailed in the paper. The CFA + CR granulates exhibited a compact microstructure and the effective immobilization of several heavy metals, whereas the CFA + DS samples demonstrated the excessive leaching of Cr, Pb and Mo. The process achieved a high solid-to-liquid ratio (>2.0), reducing activator consumption. Composite regrind is recommended as a promising additive. Full article
(This article belongs to the Special Issue Advances in Waste Materials’ Valorization)
Show Figures

Graphical abstract

28 pages, 9819 KB  
Article
Winter Construction of 60 m Precast Railway Box Girders: An Investigation into Efficient Thermal Insulation Strategies
by Wei Yang, Tao Zhang, Zuqing Zhao, Xuebin Feng, Lei Wang, Fei Wang and Yuliang Cai
Buildings 2025, 15(22), 4201; https://doi.org/10.3390/buildings15224201 - 20 Nov 2025
Cited by 1 | Viewed by 379
Abstract
Large-scale concrete box girders are prone to early-age cracking because of the hydration reaction. To expedite the winter construction of large-scale precast box girders while mitigating the risk of thermal cracking induced by hydration heat, this study performs in situ temperature field monitoring [...] Read more.
Large-scale concrete box girders are prone to early-age cracking because of the hydration reaction. To expedite the winter construction of large-scale precast box girders while mitigating the risk of thermal cracking induced by hydration heat, this study performs in situ temperature field monitoring and investigates the strength development of concrete under various curing conditions. The temperature field is numerically simulated using finite element analysis software ABAQUS and the secondary development of the subroutine. A parametric analysis is conducted to evaluate the influence of insulation rooms, insulation temperatures, and concrete placing temperatures. The results indicate that thermal insulation during winter construction effectively accelerates the development of concrete strength and enhances production efficiency. Compared to natural curing conditions, elevated insulation temperatures increase the temperature difference between the web core and inner surface, while reducing the early-stage temperature differences between the web core and outer surface. To minimize excessive temperature differences in large-scale box girders caused by hydration heat and thermal insulation during winter construction, it is recommended to maintain the concrete placing temperature below 19 °C and the insulation temperature within the range of 15–20 °C. Full article
(This article belongs to the Section Building Structures)
Show Figures

Figure 1

24 pages, 4153 KB  
Article
Impact of Low CO2 Footprint-Dissolution Treatment of Silica and Potassium-Rich Biomass Ashes on the Compressive Strength of Alkali-Activated Mortars
by Danilo Bordan Istuque, Lourdes Soriano, José Monzó, Maria Victoria Borrachero, Mauro Mitsuuchi Tashima and Jordi Payá
Sustainability 2025, 17(22), 10359; https://doi.org/10.3390/su172210359 - 19 Nov 2025
Viewed by 761
Abstract
Using almond shell biomass ash (ABA) as a potassium alkaline source and rice husk ash (RHA) as a soluble silica source to produce blast furnace slag (BFS)-based alkali-activated mortars offers a sustainable alternative to commercial activators. However, some thermal treatment is often needed [...] Read more.
Using almond shell biomass ash (ABA) as a potassium alkaline source and rice husk ash (RHA) as a soluble silica source to produce blast furnace slag (BFS)-based alkali-activated mortars offers a sustainable alternative to commercial activators. However, some thermal treatment is often needed to enhance ash dissolution, potentially increasing the CO2 footprint. In this study, we evaluated how a low-CO2-footprint thermal treatment for dissolving ABA, as well as RHA combined with ABA, affects the strength performance of binary (ABA/BFS) and ternary (RHA/ABA/BFS) alkali-activated mortars. This thermal treatment involved mixing the biomasses with hot water (85 °C) in a thermally insulated bottle (TIB). The binary alkali-activated mortar, cured for 7 days in a thermal bath at 65 °C, achieved 58.0 MPa in compressive strength, applying 1-h dissolution of ABA in a TIB. Additionally, the previous dissolution of RHA in conjunction with ABA for ternary alkali-activated mortar, cured also for 7 days in a thermal bath at 65 °C, resulted in mortars with a higher compressive strength, achieving 64.7 MPa. With the prior biomass dissolution method, the binary and ternary alkali-activated mortars cured at room temperature (20 °C) showed compressive strengths of 54.7 and 67.0 MPa after 28 curing days, respectively. Moreover, after 135 curing days, these mortars reached a compressive strength of 61.4 and 71.9 MPa, respectively. The BFS-alkali-activated binders with ABA and ABA plus RHA cut CO2 emissions by 86.8% and 85.7% compared to the OPC-based binder, respectively. Full article
Show Figures

Figure 1

Back to TopTop