Sign in to use this feature.

Years

Between: -

Subjects

remove_circle_outline
remove_circle_outline
remove_circle_outline
remove_circle_outline
remove_circle_outline
remove_circle_outline
remove_circle_outline
remove_circle_outline
remove_circle_outline

Journals

remove_circle_outline
remove_circle_outline
remove_circle_outline
remove_circle_outline
remove_circle_outline

Article Types

Countries / Regions

remove_circle_outline
remove_circle_outline
remove_circle_outline
remove_circle_outline
remove_circle_outline

Search Results (439)

Search Parameters:
Keywords = road construction project

Order results
Result details
Results per page
Select all
Export citation of selected articles as:
20 pages, 552 KB  
Article
Embedding Climate Resilience into Infrastructure Development in India: Law, Policy, and Sustainability Implications
by Shahiza Irani, Dnyanraj Desai and Vivek Nemane
Sustainability 2026, 18(3), 1158; https://doi.org/10.3390/su18031158 - 23 Jan 2026
Viewed by 39
Abstract
As one of the fastest growing economies in the world, it is critical for India to build climate-resilient infrastructure. Its rapidly increasing population growth and the consequent migration to urban areas, coupled with climate risks, have made infrastructure development a key priority area [...] Read more.
As one of the fastest growing economies in the world, it is critical for India to build climate-resilient infrastructure. Its rapidly increasing population growth and the consequent migration to urban areas, coupled with climate risks, have made infrastructure development a key priority area in India. Thus, ensuring that existing infrastructure and future constructions integrate strategies to address climate-related risks is vital. Despite the growing recognition of the importance of legal and policy landscapes on climate-resilient infrastructure, there is a very limited number of studies on this topic, especially in India. Thus, this study sought to bridge this gap by evaluating the influence of the Indian legal and policy framework on climate-resilient infrastructure. To this end, an analytical, comparative, and evaluative approach was adopted, employing benchmarks from international legal provisions and best practices from Japan’s legal and policy systems. In addition to doctrinal legal analysis using primary and secondary sources, case studies on the Mumbai Coastal Road Project and the Chandigarh–Manali Highway were performed to assess how the extant laws operate in the field. The findings indicate that while India’s legal system is gradually incorporating climate-risk considerations into its infrastructure sector, the effects of these considerations remain constrained due to institutional co-ordination challenges and limited enforceable obligations. Therefore, streamlining climate-resilient infrastructure governance requires more robust climate change legislation and improved implementation mechanisms. The findings of this study provide useful insights for legislators and policymakers in strengthening climate resilience integration within India’s infrastructure governance framework. Full article
Show Figures

Figure 1

26 pages, 3375 KB  
Article
Analysis of the Coupled Deformation Pattern of Existing Underground Structural Clusters Due to Undercrossing by a Super-Large-Diameter Shield Tunnel
by Yansong Li and Kaihang Han
Appl. Sci. 2026, 16(2), 1102; https://doi.org/10.3390/app16021102 - 21 Jan 2026
Viewed by 52
Abstract
Dense and complex underground structures impose stringent requirements on shield tunneling. In the close-proximity construction of super-large-diameter shield tunnels, challenges may arise, including adverse impacts on the normal operation of existing structures, as well as difficulties in ensuring the bearing capacity and deformation [...] Read more.
Dense and complex underground structures impose stringent requirements on shield tunneling. In the close-proximity construction of super-large-diameter shield tunnels, challenges may arise, including adverse impacts on the normal operation of existing structures, as well as difficulties in ensuring the bearing capacity and deformation control of these structures during excavation. This study, based on the stratigraphic conditions of the Chengdu area, employs FLAC3D 7.0 version software to simulate the section where the Shuanghua Road Tunnel underpasses both Metro Line 10 and the Chengdu-Guiyang High-Speed Railway. The main conclusions are as follows: (1) Tunnel underpassing induces uneven settlement in the metro tunnel, with a maximum settlement reaching 47.7 mm. The settlement trough exhibits a twin-peak morphology during dual-line construction. When a single super-large-diameter tunnel line crosses the existing structural cluster, the maximum settlement is located directly above the crossing point. During dual-line crossing, the maximum settlement shifts towards the midpoint between the two new tunnel lines. (2) As the left line of the new tunnel approaches the existing structure, the cross-sectional deformation of the existing structure is “pulled” towards the direction of the excavated new tunnel. After the new left line moves away, the cross-sectional deformation gradually recovers to a bilaterally symmetrical state. (3) The tunnel cross-section undergoes dynamic “compression-tension” convergence changes during the construction process, with a maximum longitudinal tensile convergence of −1.28 mm. (4) During the underpassing of the existing structural cluster by the super-large-diameter tunnel, the maximum torsion angle is approximately −0.016°, occurring at the moment when the shield machine head first passes directly beneath, located directly above the new tunnel. The torsion angle of the existing structure is greatest during the first underpassing event, and the maximum torsion angle during the second underpassing is lower than that during the first. This study reveals the composite deformation mode of “settlement-convergence-torsion” during the underpassing of existing structural clusters by super-large-diameter shield tunnels, providing a theoretical basis for risk control in similar adjacent engineering projects. Full article
(This article belongs to the Special Issue Advances in Tunnelling and Underground Space Technology—2nd Edition)
Show Figures

Figure 1

28 pages, 1515 KB  
Article
Supply Chain Integration for Sustainability in Belt and Road Initiative EPC Projects: A Multi-Stakeholder Perspective
by Jiaxin Huang and Kelvin K. Orisaremi
Sustainability 2026, 18(2), 1081; https://doi.org/10.3390/su18021081 - 21 Jan 2026
Viewed by 70
Abstract
This study investigates critical research gaps in procurement management challenges faced by Chinese contractors in international engineering–procurement–construction (EPC) projects under the Belt and Road Initiative (BRI), with a particular focus on sustainability-oriented outcomes. It examines the following: (1) prevalent procurement inefficiencies, such as [...] Read more.
This study investigates critical research gaps in procurement management challenges faced by Chinese contractors in international engineering–procurement–construction (EPC) projects under the Belt and Road Initiative (BRI), with a particular focus on sustainability-oriented outcomes. It examines the following: (1) prevalent procurement inefficiencies, such as communication delays and material shortages, encountered in international EPC projects; (2) the role of supply chain INTEGRATION in enhancing procurement performance; (3) the application of social network analysis (SNA) to reveal inter-organizational relationships in procurement systems; and (4) the influence of stakeholder collaboration on achieving efficient and sustainable procurement processes. The findings demonstrate that effective supply chain integration significantly improves procurement efficiency, reduces delays, and lowers costs, thereby contributing to more sustainable project delivery. Strong collaboration and transparent communication among key stakeholders—including contractors, suppliers, subcontractors, and designers—are shown to be essential for mitigating procurement risks and supporting resilient supply chain operations. SNA results highlight the critical roles of central stakeholders and their relational structures in optimizing resource allocation and enhancing risk management capabilities. Evidence from case studies further indicates that Chinese contractors increasingly adopt sustainability-oriented practices, such as just-in-time inventory management, strategic supplier relationship management, and digital procurement platforms, to reduce inefficiencies and environmental impacts. Overall, this study underscores that supply chain INTEGRATION, combined with robust stakeholder collaboration, is a key enabler of sustainable procurement and long-term competitiveness for Chinese contractors in the global EPC market. The purpose of this study is to identify critical procurement management challenges and propose evidence-based solutions for Chinese contractors. It further aims to develop a sustainability-oriented framework integrating supply chain integration and stakeholder collaboration to enhance competitiveness. Full article
Show Figures

Figure 1

17 pages, 2876 KB  
Article
Cultural Heritage Narrative Innovation and Adaptation Mechanisms: A Case Study of the Intercultural Communication of Chinese Han Dynasty Heritage in Germany
by Su Yan, Chenxi Yang, Bingjie Mai and Jing Cao
Heritage 2026, 9(1), 14; https://doi.org/10.3390/heritage9010014 - 6 Jan 2026
Viewed by 301
Abstract
The deepening of the “Belt and Road” Initiative urgently requires breaking through the dilemmas of symbolization, unidirectionality, and contextual de-embedding in the export of traditional cultural heritage. This paper takes the 2023 China-Germany “Tracing the Belt and Road” cultural heritage exchange project as [...] Read more.
The deepening of the “Belt and Road” Initiative urgently requires breaking through the dilemmas of symbolization, unidirectionality, and contextual de-embedding in the export of traditional cultural heritage. This paper takes the 2023 China-Germany “Tracing the Belt and Road” cultural heritage exchange project as the research object, employing a single-case exploratory research method to construct a theoretical model of “narrative carrier innovation—cultural heritage dimension adaptation” aimed at enhancing the effectiveness of cultural heritage dissemination. The study finds that international communication projects for cultural heritage can systematically deconstruct the cultural core (“Dao”) and innovatively adapt modernized, localized dissemination forms familiar to the audiences in the host regions (“Qi”), thereby achieving a paradigm shift from passive introduction to active resonance. The paper specifically elucidates how four types of innovative carriers-digital narrative, public participatory, competitive co-creative, and academic artistic-adapt to the dimensions of historical cognition, aesthetic experience, creative interaction, and value identification in Han Dynasty cultural heritage. This adaptation ultimately forms effective cross-cultural dissemination pathways. This research provides an operable theoretical framework and practical paradigm for “Belt and Road” humanistic exchanges, offering insights for the international dissemination of cultural heritage. Full article
Show Figures

Figure 1

26 pages, 3264 KB  
Article
Disaster-Adaptive Resilience Evaluation of Traditional Settlements Using Ant Colony Bionics: Fenghuang Ancient Town, Shaanxi, China
by Junhan Zhang, Binqing Zhai, Chufan Xiao, Daniele Villa and Yishan Xu
Buildings 2025, 15(24), 4523; https://doi.org/10.3390/buildings15244523 - 15 Dec 2025
Viewed by 357
Abstract
Current research on disaster-adaptive resilience predominantly focuses on urban systems, with insufficient attention paid to the unique scale of traditional settlements and their formation mechanisms and pathways to systemic realization remain significantly understudied. There is also a lack of multi-dimensional coupling analysis and [...] Read more.
Current research on disaster-adaptive resilience predominantly focuses on urban systems, with insufficient attention paid to the unique scale of traditional settlements and their formation mechanisms and pathways to systemic realization remain significantly understudied. There is also a lack of multi-dimensional coupling analysis and innovative methods tailored to the specific contexts of rural areas. To address this, this study innovatively introduces ant colony bionic intelligence, drawing on its characteristics of swarm intelligence, positive feedback, path optimization, and dynamic adaptation to reframe emergency decision-making logic in human societies. An evaluation model for disaster-adaptive resilience is constructed based on these four dimensions as the criterion layer. The weights of dimensions and indicators are determined using a combined AHP–entropy weight method, enabling a comprehensive assessment of settlement resilience. Taking Fenghuang Ancient Town as an empirical case, the research utilizes methods such as field surveys, questionnaire surveys, and GIS data analysis. The results indicate that (1) the overall resilience evaluation score of Fenghuang Ancient Town is 3.408 (based on a 5-point scale); (2) the path optimization dimension contributes the most to the overall resilience, with road redundancy design (C21) being the core driving factor; within the positive feedback mechanism dimension, soil and water conservation projects (C15) provide the fundamental guarantee for village safety; (3) based on these findings, hierarchical planning strategies encompassing infrastructure reinforcement, community capacity enhancement, and ecological risk management are proposed. This study verifies the applicability of the evaluation model based on ant colony bionic intelligence in assessing the disaster resilience of traditional settlements, revealing a new paradigm of “bio-intelligence-driven” resilience planning. It successfully translates ant colony behavioral principles into actionable planning and design guidelines and governance tools, providing a replicable method for resilience evaluation and enhancement for traditional settlements in ecological barrier areas such as the Qinling Mountains. Full article
(This article belongs to the Section Architectural Design, Urban Science, and Real Estate)
Show Figures

Figure 1

39 pages, 14020 KB  
Article
LOINSH Information Structure for the Assessment of Occupational Risks in the Execution of Roads Based on the LOIN Standard
by Darío Collado-Mariscal, Juan Pedro Cortés-Pérez, Mario Núñez-Fernández and Alfonso Cortés-Pérez
Buildings 2025, 15(24), 4452; https://doi.org/10.3390/buildings15244452 - 10 Dec 2025
Viewed by 312
Abstract
Despite regulatory advances, there continues to be a high accident rate on construction sites, especially on road projects, mainly due to the lack of organization of safety information. Although there is research demonstrating the benefits of the BIM methodology for improving occupational safety, [...] Read more.
Despite regulatory advances, there continues to be a high accident rate on construction sites, especially on road projects, mainly due to the lack of organization of safety information. Although there is research demonstrating the benefits of the BIM methodology for improving occupational safety, its scope is still limited. This study addresses the integration of occupational health and safety in road projects using the BIM methodology, in line with ISO 19650-1, proposing a standardization framework based on ISO 7817-1:2024. The concept of Level of Information for Safety and Health (LOINSH) is introduced, structured into four categories (100, 200, 300, and 350), which allows risks to be managed progressively throughout the project’s life cycle. The framework defines graphical and alphanumeric requirements for BIM objects, establishing sets of parameters recognized by the open IFC format to ensure interoperability and traceability. It also proposes a system for assessing risks associated with activities and disciplines, facilitating preventive decisions from the design stage onwards. The results indicate that this standardization improves communication and collaboration between agents, reduces workplace accidents, and can be applied to other types of construction works. Full article
(This article belongs to the Special Issue Safety Management and Occupational Health in Construction)
Show Figures

Figure 1

16 pages, 3035 KB  
Article
Research on Construction Countermeasures for Freeze–Thaw Deformation of Permafrost Subgrade in Forest Regions of Northeast China
by Zhibo Xu, Guihe Wang and Zhu Yang
Appl. Sci. 2025, 15(23), 12810; https://doi.org/10.3390/app152312810 - 3 Dec 2025
Viewed by 318
Abstract
The permafrost in forest regions of Northeast China is very sensitive to the disturbance of subgrade construction, which will aggravate the degradation of the permafrost upper limit, leading to freeze–thaw deformation of the permafrost subgrade. Based on the road construction project of Highway [...] Read more.
The permafrost in forest regions of Northeast China is very sensitive to the disturbance of subgrade construction, which will aggravate the degradation of the permafrost upper limit, leading to freeze–thaw deformation of the permafrost subgrade. Based on the road construction project of Highway 332 in forest regions in Northeast China, through theoretical analysis, indoor experiments, on-site monitoring, and numerical simulation methods, a thermo-hydro-mechanical coupling numerical model of the permafrost subgrade was established. A “two-step” construction countermeasure for freeze–thaw deformation of permafrost subgrade based on rubble stone subgrade structure was proposed. The study indicates that the addition of rubble stones to the subgrade structure has a significant cooling effect. The optimal thickness for filling rubble stones is 1 m. The optimal construction timing for subgrade is a two-step construction across the year. The stamping construction of the rubble stones is in November. The filling construction of rubble stones and gravel is in April and May of the next year. Based on the proposed construction countermeasure for permafrost subgrade, the settlement at the center of the subgrade surface is 12.7 mm in the 5th year, 17.6 mm in the 10th year, 21.1 mm in the 15th year, and 23.5 mm in the 20th year. The settlement deformation of the subgrade tends to stabilize, which can ensure the long-term stability and safety of road operations. Full article
Show Figures

Figure 1

29 pages, 4084 KB  
Article
Residents’ Satisfaction with Public Spaces in Old Urban Residential Communities: A PLS-SEM and IPMA-Based Case Study of Nankai District, Tianjin
by Jiahui Wang and Di Zhao
Land 2025, 14(12), 2363; https://doi.org/10.3390/land14122363 - 3 Dec 2025
Cited by 1 | Viewed by 559
Abstract
With the acceleration of urbanization, urban renewal and the renovation of old residential communities have become important measures to enhance the quality of cities and improve the living conditions of residents. How to scientifically identify and evaluate the environmental factors of public spaces [...] Read more.
With the acceleration of urbanization, urban renewal and the renovation of old residential communities have become important measures to enhance the quality of cities and improve the living conditions of residents. How to scientifically identify and evaluate the environmental factors of public spaces and their impacts from the perspective of residents’ demands and satisfaction remains an important issue that urgently needs to be addressed in the current research field. This research takes the urban renewal project in Tiantuo Area, Nankai District, Tianjin, as an example by using questionnaire surveys, PLS-SEM and IPMA, and other multivariate statistical analysis methods to systematically explore the influence mechanism factors such as space accessibility, spatial usability, spatial maintainability, environmental comfort, and site safety on residents’ satisfaction. These findings reveal the following: (1) Space Accessibility has a significant direct positive impact on residents’ satisfaction. (2) Emotional Perception plays a complete mediating role in the relationship between Site Safety and residents’ satisfaction. (3) Emotional Perception has a complementary mediating effect in the relationship between Space Usability, Space Maintainability, Environmental Comfort, and Resident Satisfaction. (4) The renovation of old urban residential communities should give priority to improving space maintainability, especially focusing on the green landscape maintenance status, life-supporting infrastructure maintenance degree, and the maintenance status of entertainment and fitness facilities. Secondly, the space accessibility should be optimized and improved. In the future, in terms of the Physical Space, we should focus on the rationality of road network layout and strengthen the maintenance and management of public facilities. In terms of the Perceptional Space, the flatness of pavement should be optimized and the construction of security systems should be strengthened. In terms of the Psychological Status, a multi-party resident participation mechanism can be established to encourage residents to participate in the decision-making and construction of community public affair. As has been noted, this research quantitatively analyzed the key factors influencing residents’ satisfaction and their respective impact intensities and proposed prioritized and targeted optimization strategies for the existing situation. The research results are expected to provide a theoretical basis and practical decision-making reference for the optimization of public space environmental quality. Full article
(This article belongs to the Special Issue Urban Planning for a Sustainable Future)
Show Figures

Figure 1

16 pages, 831 KB  
Article
Stakeholders’ Perception and Adoption of Upcycling for Material Utilisation Plans in Road Construction: The Case of South Africa
by Salome Naicker, Mohamed Mostafa Hassan Mostafa and Paul Terkumbur Adeke
Buildings 2025, 15(23), 4314; https://doi.org/10.3390/buildings15234314 - 27 Nov 2025
Viewed by 335
Abstract
Transportation infrastructure underpins national mobility and economic growth, yet material sourcing for road construction imposes significant environmental and financial costs. As South Africa advances towards road construction, upcycling the reuse of reclaimed materials in higher-value applications offers opportunities to reduce waste and improve [...] Read more.
Transportation infrastructure underpins national mobility and economic growth, yet material sourcing for road construction imposes significant environmental and financial costs. As South Africa advances towards road construction, upcycling the reuse of reclaimed materials in higher-value applications offers opportunities to reduce waste and improve circular resource efficiency. This study assesses stakeholders’ perception and adoption of upcycling in the Material Utilisation Plans (MUPs) for road construction. A mixed-methods approach combined nine semi-structured interviews and thirty-two survey responses from professionals involved in the National Route 3 upgrade project. Thematic analysis identified key qualitative themes, while quantituative data from a five-point Likert scale were examined through descriptive statistics, reliability, and correlation analysis. Respondents supported existing downcycling practices (mean = 3.682, SD = 1.088) and expressed readiness to adopt upcycling for pavement surfacing, base, subbase, and subgrade (mean > 3.00, SD < 1.30). Major barriers included client specifications, limited awareness and material cost constraints. Reliability analysis (Cronbach’s α = 0.64–0.88) confirmed internal consistency across qualitative themes. Also, there was a positive correlation between reclaimed materials and cost, design specifications, and optimised cost (r > 0.30, p < 0.05), while downcycling correlated negatively with costs (r = −0.400, p < 0.05). This study provides new empirical evidence on the systemic barriers hindering upcycling adoption in South African road projects and offers a validated mixed-method framework linking perceptual, technical, and economic dimensions of material reuse. It recommends integrating upcycling criteria into design, testing, and procurement processes, shifting from compliance-based recycling to performance-based circular material management in national road infrastructure. Full article
(This article belongs to the Special Issue Advances in Road Pavements)
Show Figures

Figure 1

25 pages, 9095 KB  
Article
Construction Control of Long-Span Combined Rail-Cum-Road Continuous Steel Truss Girder Bridge of High-Speed Railway
by Jun Zhou, Fangwen Weng, Yuxiong Liang, Zhiwei Liao, Feng Zhang and Meizhen Fu
Buildings 2025, 15(22), 4204; https://doi.org/10.3390/buildings15224204 - 20 Nov 2025
Viewed by 593
Abstract
The construction of long-span continuous steel truss rail-cum-road bridges for high-speed railways presents significant challenges, primarily due to structural complexity, stringent deformation tolerances, and intricate construction sequences. This paper presents a comprehensive construction control methodology developed and implemented for such bridges. Using a [...] Read more.
The construction of long-span continuous steel truss rail-cum-road bridges for high-speed railways presents significant challenges, primarily due to structural complexity, stringent deformation tolerances, and intricate construction sequences. This paper presents a comprehensive construction control methodology developed and implemented for such bridges. Using a real-world bridge project in China as a case study, the methodology integrates mechanical analysis of key construction stages, deformation prediction, real-time monitoring, and adjustment techniques. Furthermore, the application of machine learning (ML) for camber prediction is explored. Key findings indicate that the longitudinal displacement (X-direction) of the top chord at the upper-deck closure segment is highly sensitive to temperature variations, with a differential of about 10–12 mm observed under a 15 °C temperature change. Consequently, closure welding is recommended near the design reference temperature, with field measurements guiding final fit-up adjustments. A comparative analysis between ML predictions and theoretical methods for member elongation revealed that the Extra Trees (ET) model and K-Nearest Neighbors (KNN) model achieved excellent accuracy, with errors within 2 mm, demonstrating the feasibility of ML-based camber setting. The proposed integrated approach, combining finite element analysis, real-time monitoring, and detailed sensitivity analysis of closure accuracy, proves effective in ensuring structural safety and meeting precise alignment requirements, particularly for high-speed railway track. The findings offer valuable insights for the construction control of similar long-span steel truss rail-cum-road bridges. Full article
(This article belongs to the Special Issue Application of Experiment and Simulation Techniques in Engineering)
Show Figures

Figure 1

18 pages, 6064 KB  
Article
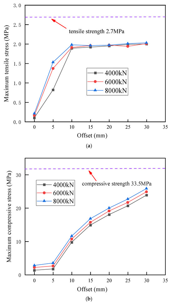
Study on the Influence of Jacking Force and Offset on the Mechanical Behavior of Bell and Spigot Joints in Pipe-Jacking
by Li Luo, Yangyu Zhang, Weihua Liu, Shuang Huang, Qi Chen and Feng Wang
Buildings 2025, 15(22), 4163; https://doi.org/10.3390/buildings15224163 - 19 Nov 2025
Viewed by 397
Abstract
As the structurally weaker component of a pipe-jacking system, the bell and spigot joint is subjected to considerable axial jacking forces during construction and is prone to damage once an offset occurs. In this study, a three-dimensional refined numerical model was developed based [...] Read more.
As the structurally weaker component of a pipe-jacking system, the bell and spigot joint is subjected to considerable axial jacking forces during construction and is prone to damage once an offset occurs. In this study, a three-dimensional refined numerical model was developed based on the Wuhan Road pipe-jacking project. First, the influence of offset on the stress distribution of the pipe joint during jacking operations was investigated in detail, followed by an analysis of the effect of different jacking force magnitudes on the joint stress. Finally, recommended control limits for joint offsets under different jacking forces were proposed. The results indicate that, when a downward offset occurs between pipes, the compressive stresses at the bell crown and spigot invert become significantly higher than those in other regions, and the stress at the crown of the steel ring also increases markedly. When the offset is below 5 mm, the increase in joint stress remains relatively small; however, once the offset exceeds 5 mm, both the concrete stress and the von Mises stress in the steel ring begins to increase rapidly. Under offset conditions, increasing the jacking force markedly amplifies the stress in the joint concrete but exerts minimal influence on the stress in the steel ring. At an offset of 25 mm, the maximum compressive stress in the bell concrete under an 8000 kN jacking force reaches 32.90 MPa, approaching the concrete’s compressive strength. When the offset further increases to 30 mm, compressive failure of the joint concrete occurs under all jacking forces in the range of 4000–8000 kN. Therefore, it is recommended that the offset be limited to no more than 25 mm for jacking forces of 4000–6000 kN, and no more than 20 mm for jacking forces of 6000–8000 kN, in order to ensure construction safety. Full article
(This article belongs to the Section Building Structures)
Show Figures

Figure 1

16 pages, 3833 KB  
Article
Centrifugal Model Test Study on the Influence of Subgrade Filling on Adjacent Bridge Pile Foundations
by Shihao Zhou, Zhongju Feng, Junyong Liu, Chao Zhang, Cong Zhang and Jikun Wang
Buildings 2025, 15(22), 4162; https://doi.org/10.3390/buildings15224162 - 19 Nov 2025
Viewed by 371
Abstract
A series of centrifuge model tests was performed to investigate the influence of subgrade surcharge loading on adjacent bridge pile foundations in soft soils, based on the Mingu Road project in Zhongshan City, China. Four surcharge distances (1D, 2D, 3D, and 4D, where [...] Read more.
A series of centrifuge model tests was performed to investigate the influence of subgrade surcharge loading on adjacent bridge pile foundations in soft soils, based on the Mingu Road project in Zhongshan City, China. Four surcharge distances (1D, 2D, 3D, and 4D, where D is the pile diameter) were examined to clarify the spatial–temporal evolution of pile–soil interaction. The results show that horizontal displacement, bending moment, and lateral soil resistance of the pile increase over time, exhibiting significant time-dependent behavior characterized by rapid initial growth followed by stabilization. As the surcharge distance increases, these responses decrease markedly, indicating a strong spatial attenuation effect. The bending moment along the pile depth follows a unimodal pattern with a peak at the soft soil layer. In contrast, the lateral soil resistance exhibits a similar trend of increase and decrease with depth. When the surcharge distance exceeds approximately 4D, the additional influence on the pile response becomes small. This study provides physical evidence and theoretical support for the safe design and construction of bridge pile foundations adjacent to road embankments in areas with soft soil. Full article
(This article belongs to the Section Building Structures)
Show Figures

Figure 1

24 pages, 4016 KB  
Article
Settlement Prediction of Preloading Method Based on SSA-BP Neural Network with Consideration of Asymmetric Settlement Behavior
by Xinye Wu, Zhiwei Wang, Haixu Duan, Yuxiang Gan, Shenghui Chen, Man Li, Xu Zhao and Enpu Xu
Symmetry 2025, 17(11), 1989; https://doi.org/10.3390/sym17111989 - 17 Nov 2025
Viewed by 425
Abstract
This study focuses on the East Channel Project (Xiang’an South Road—Airport Expressway Section). The project is in the South Port Harbor Bay area. The area has highly complex and asymmetrical geology. Construction faces multiple challenges: tight schedule, overlapping pipeline operations, and large-scale foundation [...] Read more.
This study focuses on the East Channel Project (Xiang’an South Road—Airport Expressway Section). The project is in the South Port Harbor Bay area. The area has highly complex and asymmetrical geology. Construction faces multiple challenges: tight schedule, overlapping pipeline operations, and large-scale foundation treatment needs. To tackle these, the project uses the plastic drainage board surcharge preloading method for ground improvement. This technique needs continuous settlement deformation monitoring. The monitoring aims to spot potential asymmetric trends and fix the best unloading time. Traditional settlement prediction methods have limits. So, this study develops an intelligent prediction model (SSA-BP). It combines the Sparrow Search Algorithm (SSA) with the BP neural network. The model uses SSA’s strong global search ability to optimize the BP network’s initial weights and thresholds. This effectively avoids local minima and improves prediction stability. Comparative experiments with other optimization algorithms (Particle Swarm Optimization PSO, Grey Wolf Optimizer GWO, and Differential Evolution DE) show that the SSA-BP model has better convergence accuracy and robustness. Field monitoring data validation indicates the model’s prediction error is stably between −3.4% and 3.2%. It surpasses traditional methods like the three-point and hyperbolic methods. The study’s key innovation is introducing an asymmetry-aware view. It analyzes settlement’s morphological evolution and predictability under surcharge preloading. The SSA-BP model can identify both symmetric and asymmetric deformation patterns well. It offers a new computational tool to understand asymmetry breaking in geotechnical systems. Moreover, the model can accurately predict settlement behavior in real time. This provides dynamic construction decision-making guidance and effective cost control. This research shows that intelligent algorithms have great potential. They can reveal complex geotechnical systems’ inherent laws and promote foundation engineering’s intelligentization. Full article
(This article belongs to the Special Issue Symmetry/Asymmetry in Operations Research)
Show Figures

Figure 1

23 pages, 1745 KB  
Review
Research Review on Traffic Safety for Expressway Maintenance Road Sections
by Jin Ran, Meiling Li, Shiyang Zhan, Dong Tang, Naitian Zhang and Xiaomin Dai
Appl. Sci. 2025, 15(22), 12014; https://doi.org/10.3390/app152212014 - 12 Nov 2025
Viewed by 813
Abstract
With the aging of China’s expressway network, the number of maintenance projects continues to increase, and issues such as construction safety, driving risk, and traffic efficiency have become increasingly prominent. This paper systematically reviews relevant research progress from four aspects: safety characteristics, traffic [...] Read more.
With the aging of China’s expressway network, the number of maintenance projects continues to increase, and issues such as construction safety, driving risk, and traffic efficiency have become increasingly prominent. This paper systematically reviews relevant research progress from four aspects: safety characteristics, traffic capacity, work-zone layout, and speed limit management. The review indicates that Western scholars have made extensive use of rich data resources—such as traffic parameters and accident records from expressway maintenance road sections—and have developed relatively systematic and well-established research frameworks in theoretical analysis, practical application, and evaluation methods. In contrast, Chinese studies have mainly relied on specific maintenance projects, commonly employing on-site investigations and traffic simulations to address particular problems, with limited systematization and generalization. Looking forward, it is essential to further strengthen the standardized collection and statistical analysis of traffic data (including accident data) for expressway maintenance road sections. Meanwhile, for complex scenarios such as multi-lane segments, special road sections, reconstruction and expansion sections, as well as extreme climatic conditions and nighttime operations, comprehensive research should be conducted by leveraging new-generation driving simulation, big data analytics, and artificial intelligence technologies, thereby providing scientific support and methodological foundations for building a systematic theoretical framework for traffic safety in expressway maintenance road sections. Full article
Show Figures

Figure 1

27 pages, 15135 KB  
Article
Preliminary Assessment of Long-Term Sea-Level Rise-Induced Inundation in the Deltaic System of the Northern Coast of the Amvrakikos Gulf (Western Greece)
by Sofia Rossi, Dimitrios Keimeris, Charikleia Papachristou, Konstantinos Tsanakas, Antigoni Faka, Dimitrios-Vasileios Batzakis, Mauro Soldati and Efthimios Karymbalis
J. Mar. Sci. Eng. 2025, 13(11), 2114; https://doi.org/10.3390/jmse13112114 - 7 Nov 2025
Viewed by 2004
Abstract
The latest climate change predictions indicate that the sea level will accelerate in the coming decades as a direct consequence of global warming. This is expected to seriously threaten low-lying coastal areas worldwide, resulting in severe coastal flooding with significant socio-economic impacts, leading [...] Read more.
The latest climate change predictions indicate that the sea level will accelerate in the coming decades as a direct consequence of global warming. This is expected to seriously threaten low-lying coastal areas worldwide, resulting in severe coastal flooding with significant socio-economic impacts, leading to the loss of coastal settlements, exploitable land, and natural ecosystems. The main objective of this study is to provide a first-order preliminary estimation of potential inundation extents along the northern coastline of the Amvrakikos Gulf, a deltaic complex formed by the Arachthos, Louros, and Vouvos rivers in Western Greece, resulting from long-term sea-level rise induced by climate change, using the integrated Bathtub and Hydraulic Connectivity (HC) inundation method. A 2 m resolution Digital Elevation Model (DEM) was used, along with local long-term sea-level projections, for the years 2050 and 2100. Additionally, subsidence rates due to the compaction of deltaic sediments were taken into account. To assess the area’s proneness to inundation caused or enhanced by sea-level rise, the extent of each land cover type, the Natura 2000 Network protected area, the settlements, the total length of the road network, and the cultural assets located within the inundation zones under each climate change scenario were considered. The analysis revealed that under the optimistic SSP1-1.9 scenario of the Intergovernmental Panel on Climate Change (IPCC), areas of 40.81 km2 (min 20.34 km2, max 63.55 km2) and 69.10 km2 (min 41.75 km2, max 88.02 km2) could potentially be inundated by 2050 and 2100, respectively. Under the pessimistic SSP5-8.5 scenario, the inundation zone expands to 42.56 km2 (min 37.05 km2, max 66.31 km2) by 2050 and 84.55 km2 (min 67.54 km2, max 116.86 km2) by 2100, affecting a significant portion of ecologically valuable wetlands and water bodies within the Natura 2000 protected area. Specifically, the inundated Natura 2000 area is projected to range from 37.77 km2 (min 20.30 km2, max 46.82 km2) by 2050 to 50.74 km2 (min 38.71 km2, max 62.84 km2) by 2100 under the SSP1-1.9 scenario, and from 39.34 km2 (min 34.53 km2, max 49.09 km2) by 2050 to 60.48 km2 (min 49.73 km2, max 82.5 km2) by 2100 under the SSP5-8.5 scenario. Four settlements with a total population of approximately 800 people, as well as 32 economic facilities most of which operate in the secondary and tertiary sectors and are small to medium-sized economic units, such as olive mills, farms, gas stations, spare parts stores, construction companies, and food service establishments, are expected to experience significant exposure to coastal flooding and operational disruptions in the near future due to sea-level rise. Full article
(This article belongs to the Section Coastal Engineering)
Show Figures

Figure 1

Back to TopTop