Sign in to use this feature.

Years

Between: -

Subjects

remove_circle_outline
remove_circle_outline
remove_circle_outline
remove_circle_outline
remove_circle_outline
remove_circle_outline
remove_circle_outline
remove_circle_outline
remove_circle_outline

Journals

remove_circle_outline
remove_circle_outline

Article Types

Countries / Regions

Search Results (191)

Search Parameters:
Keywords = regulation and synergy mechanism

Order results
Result details
Results per page
Select all
Export citation of selected articles as:
17 pages, 6569 KB  
Article
Attraction-Mediated Synergy: Insecticide Toxicity Against Coptotermes formosanus Enhanced by Trichoderma Metabolites
by Aysha Siddika, Siqi Chen, Keer Zhu, Xiangfei Wang, Xinquan Du, Linjuan Wan, Min Liu and Lang Zhang
Insects 2025, 16(11), 1116; https://doi.org/10.3390/insects16111116 (registering DOI) - 31 Oct 2025
Abstract
Previous studies have demonstrated that Trichoderma metabolites triggered aggregation behavior in Coptotermes formosanus (Blattodea: Rhinotermitidae). Building on this, the present work systematically evaluated the behavioral effects of three specific Trichoderma metabolites—phenol, ethyl 2,4-dioxovalerate, and diglycolic acid—and their synergistic interactions with insecticides. We hypothesized [...] Read more.
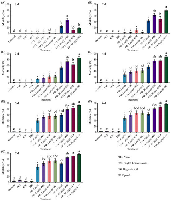
Previous studies have demonstrated that Trichoderma metabolites triggered aggregation behavior in Coptotermes formosanus (Blattodea: Rhinotermitidae). Building on this, the present work systematically evaluated the behavioral effects of three specific Trichoderma metabolites—phenol, ethyl 2,4-dioxovalerate, and diglycolic acid—and their synergistic interactions with insecticides. We hypothesized that these metabolites attract C. formosanus through multiple behavioral mechanisms and enhance the toxicity of insecticides. Bioactivity showed that ethyl 2,4-dioxovalerate and diglycolic acid exhibited no significant toxicity. Phenol (5 × 10−2 to 5 µg/cm) and ethyl 2,4-dioxovalerate (5 × 10−1 µg/cm) elicited trail-following behavior. In the no-choice insecticide synergy test, phenol or diglycolic acid combined with imidacloprid (50 µg/g) resulted in substantially higher mortality compared to insecticides alone. The combination of metabolites with fipronil resulted in 100% mortality in termites. In two-choice aggregation tests, termite presence on metabolite-treated filter papers was significantly elevated compared to the controls. Fipronil (10 μg/g) alone significantly reduced termite aggregation. But when fipronil was combined with the metabolites, termite presence on the treated papers increased significantly, resulting in a substantial rise in mortality and demonstrating a clear attract–kill synergy. These findings identify Trichoderma metabolites as safe and effective behavioral regulators for C. formosanus. By enhancing insecticidal efficacy through attractant–toxicity synergy, they represent promising candidates for developing novel termite control strategies. Full article
Show Figures

Graphical abstract

18 pages, 11519 KB  
Article
Physiological Mechanisms Underlying Maize Yield Enhancement by Straw Return in the Thin-Layer Mollisol Region of the Songnen Plain
by Chenglong Guan, Tai Ma, Ming Miao, Jiuhui Chen, Zhicheng Bao, Baoyu Chen, Jingkun Lu, Fangming Liu, Nan Wang, Hongjun Wang and Zhian Zhang
Plants 2025, 14(21), 3331; https://doi.org/10.3390/plants14213331 - 31 Oct 2025
Abstract
Long-term intensive cultivation has caused soil fertility decline and structural degradation in the Songnen Plain, thereby constraining maize root development and yield formation. As a fundamental conservation tillage practice, straw return enhances soil function by incorporating exogenous organic matter and regulating root-shoot physiological [...] Read more.
Long-term intensive cultivation has caused soil fertility decline and structural degradation in the Songnen Plain, thereby constraining maize root development and yield formation. As a fundamental conservation tillage practice, straw return enhances soil function by incorporating exogenous organic matter and regulating root-shoot physiological processes. However, the mechanism underlying yield improvement through root–photosynthesis–nitrogen synergy remains insufficiently understood. A field experiment was conducted to assess the effects of conventional tillage (CT), straw incorporation (SI), straw mulching (SM), and deep straw incorporation (DF) on maize physiological traits and yield. Compared with CT, DF markedly enhanced root morphology and physiology, increasing the root length, surface area, volume, and root-shoot ratio by 16.46%, 23.87%, 26.64%, and 51.34%, respectively. The root bleeding intensity increased by 23.63%, whereas amino acid and nitrate contents in the bleeding sap increased by 29.20% and 65.93%, respectively, indicating improved root nutrient transport capacity. The enhanced root system positively influenced shoot photosynthesis by increasing the chlorophyll SPAD value by 16.05%, net photosynthetic rate (Pn) by 11.28%, and the activities of RuBP, PEP, nitrate reductase (NR), and glutamine synthetase (GS) by 10.59%, 24.36%, 29.94%, and 12.47%, respectively. These synergistic improvements significantly promoted post-anthesis biomass accumulation and yield formation. DF increased nitrogen and dry matter accumulation at the R3 stage by 26.61% and 15.67%, respectively, and resulted in an average yield increase of 8.34%, which was primarily due to an 11.96% increase in 100-grain weight. Although SI and SM also improved certain physiological indices, their effects were weaker than those of DF. RF analysis identified sap nitrate content (RNO), bleeding intensity (RBI), root length (RL), and root volume (RV) as key yield determinants. PLS-SEM further revealed that straw return enhanced root morphology and bleeding traits (path coefficients: 0.96 and 0.82), which subsequently improved leaf photosynthetic traits (path coefficients: 0.52 and 0.39) and biomass accumulation (path coefficient: 0.71). Collectively, these improvements promoted post-anthesis nitrogen accumulation and dry matter partitioning into grains. These findings elucidated the physiological mechanism by which deep straw incorporation increased maize yield through root system optimization, providing a theoretical basis for conservation tillage optimization in the thin-layer Mollisol region of the Songnen Plain. Full article
(This article belongs to the Special Issue Physiological Ecology and Regulation of High-Yield Maize Cultivation)
Show Figures

Figure 1

29 pages, 17694 KB  
Article
The Effects of Hypoxic Stress on the Growth and Lignocellulose-Degrading Capacity of Pleurotus ostreatus
by Wang Li, Meng Li, Shuai Xu, Yueting Dai, Yingyao Shao, Zhan Li, Guangjie Zhang, Changtian Li and Yu Li
Horticulturae 2025, 11(11), 1298; https://doi.org/10.3390/horticulturae11111298 - 29 Oct 2025
Viewed by 255
Abstract
To achieve synchronous regulation of growth and lignocellulose degradation in Pleurotus ostreatus (PO-01) during fungal residue biorefining, we systematically evaluated O2 gradients (5%, 20%, 40%) and N2/CO2 regarding mycelial development, lignocellulose degradation, and bioethanol potential. A total of 20% [...] Read more.
To achieve synchronous regulation of growth and lignocellulose degradation in Pleurotus ostreatus (PO-01) during fungal residue biorefining, we systematically evaluated O2 gradients (5%, 20%, 40%) and N2/CO2 regarding mycelial development, lignocellulose degradation, and bioethanol potential. A total of 20% O2 emerged as the critical threshold, balancing mycelial growth (which was faster than that under 5% O2) and lignocellulose degradation (with lignin degradation rate reaching 15.29%). Metabolomics identified 53 aromatic derivatives related to lignin degradation, with their abundance correlating with actual lignin degradation rates. Meanwhile, it clarified the synergistic degradation mechanism and bioinformatics characteristics of key lignin-degrading enzymes and confirmed the AA9 gene associated with cellulose degradation at the molecular level. Measurements of polysaccharide content and ethanol yield revealed that the 20% O2 environment led to a remarkably high ethanol yield of 101.90 L·ha−1. In contrast, 5% and 40% O2 concentrations not only reduced the polysaccharide content but also inhibited bioethanol production, highlighting O2 as a crucial factor in regulating the synergy between growth and degradation. After comprehensive analysis, this study designated 20% O2 as the optimal parameter for the integrated biorefining of fungal residues, offering a gas-phase solution to overcome industrial bottlenecks in biofuel production. Full article
(This article belongs to the Special Issue Advances in Propagation and Cultivation of Mushroom)
Show Figures

Figure 1

27 pages, 16565 KB  
Article
Multi-Scale Spatiotemporal Dynamics of Ecosystem Services and Detection of Their Driving Mechanisms in Southeast Coastal China
by Haoran Zhang, Xin Fu, Jin Huang, Zhenghe Xu and Yu Wu
Land 2025, 14(11), 2101; https://doi.org/10.3390/land14112101 - 22 Oct 2025
Viewed by 219
Abstract
Intensive human interference has severely disrupted the natural and ecological environments of coastal areas, threatening ecosystem services (ESs). Meanwhile, the relationships between ESs exhibit certain variations across different spatial scales. Therefore, identifying the scale effects of interrelationships among ESs and their underlying driving [...] Read more.
Intensive human interference has severely disrupted the natural and ecological environments of coastal areas, threatening ecosystem services (ESs). Meanwhile, the relationships between ESs exhibit certain variations across different spatial scales. Therefore, identifying the scale effects of interrelationships among ESs and their underlying driving mechanisms will better support scientific decision-making for the hierarchical and sustainable management of coastal ecosystems. Therefore, employing the Integrated Valuation of ESs and Tradeoffs (InVEST) model combined with GIS spatial visualization techniques, this investigation systematically examined the spatiotemporal distribution of four ESs across three scales (grid, county, and city) during 2000–2020. Complementary statistical approaches (Spearman’s correlation analysis and bivariate Moran’s I) were integrated to systematically quantify evolving ES trade-off/synergy patterns and reveal their spatial self-correlation characteristics. The geographical detector model (GeoDetector) was used to identify the main driving factors affecting ESs at different scales, and combined with bivariate Moran’s I to further visualize the spatial differentiation patterns of these key drivers. The results indicated that: (1) ESs (except for Water yield) generally increased from coastal regions to inland areas, and their spatial distribution tended to become more clustered as the scale increased. (2) Relationships between ESs became stronger at larger scales across all three study levels. These ESs connections showed stronger links at the middle scale (county). (3) Natural factors had the greatest impact on ESs than anthropogenic factors, with both demonstrating increased explanatory power as the scale enlarges. The interactions between factors of the same type generally yield stronger explanatory power than any single factor alone. (4) The spatial aggregation patterns of ESs with different driving factors varied significantly, while the spatial aggregation patterns of ESs with the same driving factor were highly similar across different spatial scales. These findings confirm that natural and social factors exhibit scale dependency and spatial heterogeneity, emphasizing the need for policies to be tailored to specific scales and adapted to local conditions. It provides a basis for future research on multi-scale and region-specific precision regulation of ecosystems. Full article
Show Figures

Figure 1

22 pages, 3139 KB  
Article
A Phylogenetic Perspective on the Evolutionary Patterns of the Animal Interleukin-10 Signaling System
by Liu Tang, Zeyu Zhou, Weibin Wang, Dawei Li, Tingting Hao and Yue Chen
Genes 2025, 16(11), 1243; https://doi.org/10.3390/genes16111243 - 22 Oct 2025
Viewed by 351
Abstract
Background: The interleukin-10 (IL-10) signaling system, comprising ligands (IL-10s) and receptors (IL-10Rs), plays critical roles in immune regulation, inflammation resolution, and disease pathogenesis. “IL-10 signaling system” here refers to the immunomodulatory signaling system composed of ligands (IL-10s) and receptors (IL-10Rs), which belong to [...] Read more.
Background: The interleukin-10 (IL-10) signaling system, comprising ligands (IL-10s) and receptors (IL-10Rs), plays critical roles in immune regulation, inflammation resolution, and disease pathogenesis. “IL-10 signaling system” here refers to the immunomodulatory signaling system composed of ligands (IL-10s) and receptors (IL-10Rs), which belong to different Protein families in evolution, but achieve functional synergy through the conserved JAK-STAT pathway. Understanding their evolutionary and functional dynamics is essential for elucidating immune mechanisms and therapeutic targeting. Methods: Through phylogenetic reconstruction, homology analysis, and sequence alignment across >400 animal species, we traced the evolutionary trajectory and structural–functional diversification of IL-10s and IL-10Rs. Results and Conclusions: IL-10 signaling components emerged in early vertebrates, with IL-10Rs originating in cartilaginous fishes (~450 Mya) and IL-10s diversifying in bony fishes (~400 Mya). Functional divergence yielded immunosuppressive (IL-10), barrier-protective (IL-20 subfamily), and antiviral (type III IFN) subgroups. Structurally, conserved motifs (e.g., IL-10R1 GYXXQ, IL-22 N54-glycosylation) underpin receptor–ligand binding and JAK/STAT signaling. Evolutionarily invariant residues suggest candidate therapeutic epitopes. This study provides an evolutionary framework highlighting functional conservation and species-specific adaptation within IL-10 signaling, with implications for immunotherapy and animal breeding. Full article
(This article belongs to the Section Animal Genetics and Genomics)
Show Figures

Figure 1

20 pages, 1567 KB  
Article
Mechanism of Exogenous Dopamine Regulating Shine Muscat Grape in Response to Low-Temperature Stress
by Jiaxin Li, Qiujie Wu, Jiahui Cheng, Jingxuan Zhu, Peisen Su, Jiayuan Wu, Xiucai Fan and Guirong Li
Plants 2025, 14(20), 3225; https://doi.org/10.3390/plants14203225 - 20 Oct 2025
Viewed by 320
Abstract
To reveal the mechanism by which exogenous dopamine (Da) regulates Shine Muscat grape (Vitis labrusca L. × Vitis vinifera L.) in response to low-temperature stress, annual Shine Muscat grape plants were used as material. Different concentrations of Da (0.2–1.0 mmol L−1 [...] Read more.
To reveal the mechanism by which exogenous dopamine (Da) regulates Shine Muscat grape (Vitis labrusca L. × Vitis vinifera L.) in response to low-temperature stress, annual Shine Muscat grape plants were used as material. Different concentrations of Da (0.2–1.0 mmol L−1) were set to investigate its synergistic regulatory effects on grape photosynthetic protection, osmotic adjustment, ion homeostasis, antioxidant defense, and cold-responsive gene expression and to identify the optimal concentration and core pathways through correlation analysis. The results showed that low-temperature stress significantly inhibited plant growth, reduced photosynthetic efficiency, disrupted ion balance, induced oxidative damage, and downregulated the expression of cold-responsive genes. Da exhibited a “low-concentration promotion and high-concentration inhibition” effect, with the 0.4 mmol L−1 treatment showing the best performance: growth indicators such as plant height and stem diameter increased by 22.4–52.2% compared with the low-temperature stress group; photosynthetic parameters and photosystem II (PSII) function were significantly improved; proline content increased by 40.3%; the Na+/K+ ratio decreased by 44.8%; activity of antioxidant enzymes such as superoxide dismutase (SOD) and peroxidase (POD) increased by 31.7–49.5%; and the expression of genes in the C-repeat binding factor (CBF) family was upregulated. Correlation analysis confirmed that the activity of SOD and catalase (CAT) showed a highly significant positive correlation with growth indicators (r > 0.8, p < 0.01) and a highly significant negative correlation with malondialdehyde (MDA) content (r < −0.8, p < 0.01), indicating that antioxidant defense is the core pathway. In conclusion, exogenous Da enhances the cold tolerance of Shine Muscat grape through multi-pathway synergy, with 0.4 mmol L−1 the optimal concentration, which can provide a theoretical basis for cold-resistant cultivation of grapes. Full article
(This article belongs to the Section Plant Physiology and Metabolism)
Show Figures

Figure 1

16 pages, 1863 KB  
Article
Validating TDP1 as an Inhibition Target for Lipophilic Nucleoside Derivative in Human Cells
by Irina A. Chernyshova, Tatyana E. Kornienko, Nadezhda S. Dyrkheeva, Alexandra L. Zakharenko, Arina A. Chepanova, Konstantin E. Orishchenko, Nikolay N. Kurochkin, Mikhail S. Drenichev and Olga I. Lavrik
Int. J. Mol. Sci. 2025, 26(20), 10193; https://doi.org/10.3390/ijms262010193 - 20 Oct 2025
Viewed by 290
Abstract
Tyrosyl-DNA phosphodiesterase 1 (TDP1) is an important DNA repair enzyme and its functioning is considered as one of the possible reasons for tumor resistance to topoisomerase 1 (TOP1) poisons such as topotecan. Thus, TDP1 inhibitors in combination with topotecan may improve the effectiveness [...] Read more.
Tyrosyl-DNA phosphodiesterase 1 (TDP1) is an important DNA repair enzyme and its functioning is considered as one of the possible reasons for tumor resistance to topoisomerase 1 (TOP1) poisons such as topotecan. Thus, TDP1 inhibitors in combination with topotecan may improve the effectiveness of anticancer therapy. TDP1 acts somehow in a phospholipase manner, depleting the phosphodiester bond between lipophilic tyrosine residue and 3′ end of DNA; therefore, lipophilic molecules bearing aromatic substituents can interact with TDP1 and even possess high inhibitory activity, which is evidenced by data from the literature. Previously, we identified lipophilic nucleoside derivative (compound 6d, IC50 = 0.82 µM) as an effective inhibitor of the purified enzyme TDP1 that enhances the cytotoxic, DNA-damaging, and antitumor effects of topotecan. However, the role of TDP1 inhibition in this synergistic effect remained not fully understood. In the present study, we have tested the hypothesis of a TDP1-dependent mechanism of action for compound 6d, showing that it sensitizes wild-type A549 lung cancer cells, but not TDP1 knockout cells, to the cytotoxic effects of topotecan. The sensitizing effect was absent in non-cancerous HEK293A cells regardless of TDP1 status. Additionally, we analyzed the effect of compound 6d and topotecan on the expression level of TOP1 and TDP1 to determine whether the observed synergy was due to direct TDP1 inhibition and/or changes in regulation of these enzymes. The data obtained shows that compound 6d did not affect TDP1 gene expression level in HEK293A and A549 WT cells. Thus, compound 6d most probably does not suppress the transcription or mRNA stability of TDP1, and the synergistic action of 6d with topotecan is related to TDP1 inhibtion. Full article
Show Figures

Figure 1

21 pages, 3330 KB  
Article
Neuronal Primary Cilia Mediate Noggin Release to Enable Extracellular Signaling
by Sara R. Dunlop, Justin A. Geier, Chian-Yu Peng and John A. Kessler
Cells 2025, 14(20), 1607; https://doi.org/10.3390/cells14201607 - 16 Oct 2025
Viewed by 405
Abstract
The primary cilium is generally viewed as a sensory organelle that transduces chemical and mechanical stimuli from the environment. In the adult hippocampus, primary cilia mediate the effects of sonic hedgehog (Shh) and other signals on neurogenesis and hippocampal function, and loss of [...] Read more.
The primary cilium is generally viewed as a sensory organelle that transduces chemical and mechanical stimuli from the environment. In the adult hippocampus, primary cilia mediate the effects of sonic hedgehog (Shh) and other signals on neurogenesis and hippocampal function, and loss of cilia leads to cognitive and behavioral deficits. The secreted peptide noggin is a bone morphogenetic protein (BMP) antagonist and plays a critical role in regulating adult hippocampal neurogenesis (AHN) and hippocampus-dependent behavior. Here, we show that noggin is expressed by mature granule cell neurons, that it is apically targeted and localized intracellularly near the pocket region of primary cilia, and that cilia regulate noggin release through Shh and somatostatin (SST) pathways. Further, granule cell activation modulates noggin dynamics both in vitro and in vivo. Together, these findings demonstrate synergy between Shh and noggin and the positive regulatory action of neuronal activity on regulating BMP antagonism within the neurogenic niche. Thus, the primary cilium is not only an organelle that transduces signals to neurons but also one that mediates extracellular signaling. Significance statement: Primary cilia are organelles that protrude from the surface of most vertebrate cell types. Defects in primary ciliary structure and function are associated with human disease. Primary cilia are generally viewed as exclusively sensory organelles that respond to environmental signals to regulate both cell development and adult cell function. This study demonstrates that the primary cilia in hippocampal granule cell neurons mediate the release of the BMP antagonist, noggin. These observations expand the current understanding of ciliary signaling and may inform future studies exploring the connection between hippocampal activity and cognition in ciliopathies. Full article
(This article belongs to the Special Issue Advanced Research in Neurogenesis and Neuroinflammation)
Show Figures

Figure 1

20 pages, 471 KB  
Article
The Artificial Intelligence Paradox: Does Digital Progress Fuel Environmental Injustice via Transboundary Pollution?
by Ran Cui, Pengfei Zhao, Qingfeng Luo and Jingyuan Wang
Sustainability 2025, 17(20), 9169; https://doi.org/10.3390/su17209169 - 16 Oct 2025
Viewed by 329
Abstract
The uneven proliferation of artificial intelligence (AI) presents unexamined challenges to sustainable regional development. This study provides robust empirical evidence on how the inter-city AI gap influences environmental dynamics, specifically via transboundary air pollution. Using a framework based on the Technological Gap Theory, [...] Read more.
The uneven proliferation of artificial intelligence (AI) presents unexamined challenges to sustainable regional development. This study provides robust empirical evidence on how the inter-city AI gap influences environmental dynamics, specifically via transboundary air pollution. Using a framework based on the Technological Gap Theory, the results demonstrate that a wider AI gap significantly intensifies air pollution transmission between cities. The primary mechanisms are widening disparities in digital infrastructure and imbalanced flows of capital and labor. This effect is context-dependent and most severe for economically underdeveloped cities, creating a new form of environmental inequity. The analysis further reveals that while environmental regulations can mitigate this negative impact, technology-centric policies lacking green synergy may amplify it. The research’s findings offer a new theoretical lens on techno-environmental inequality and underscore the necessity of synergistic policies that simultaneously bridge the digital and environmental divides to foster equitable and sustainable development. Full article
Show Figures

Figure 1

19 pages, 8662 KB  
Review
A Review on N-Doped Carbon-Based Materials for the NH3-SCR Reaction
by Xueli Sun, Fangxiao Li, Yun Xu, Qian Zhang and Jingwen Ma
Nanomaterials 2025, 15(20), 1566; https://doi.org/10.3390/nano15201566 - 15 Oct 2025
Viewed by 471
Abstract
Nitrogen oxides (NOx), one of the major air pollutants, not only are key substances in forming acid rain and photochemical smog, but can also enter the stratosphere and damage the ozone layer to some extent. The selective catalytic reduction (NH3 [...] Read more.
Nitrogen oxides (NOx), one of the major air pollutants, not only are key substances in forming acid rain and photochemical smog, but can also enter the stratosphere and damage the ozone layer to some extent. The selective catalytic reduction (NH3-SCR) technology has been widely utilized in industrial flue gas treatment for its efficient removal of NOx. In recent years, nitrogen-doped carbon materials (NC) have emerged as a novel type of environmentally friendly catalyst, showing outstanding performance in the low-temperature NH3-SCR reaction. This paper reviews the application advancements of nitrogen-doped carbon materials in the NH3-SCR reaction, with a focus on the catalytic mechanisms, modification strategies, and stability issues. This paper analyzes multiple improvement ideas, such as regulating metal types and distributions to achieve synergy effects, optimizing carrier loading, and designing morphology structures, and discusses how these measures jointly act to enhance the overall performance of the catalyst. Finally, solutions to the deactivation problem of NC catalysts are proposed, and the future research directions are explored to meet the increasingly stringent environmental protection requirements and promote the development of related technologies. Full article
(This article belongs to the Section 2D and Carbon Nanomaterials)
Show Figures

Figure 1

15 pages, 4945 KB  
Article
Divergent Urban Canopy Heat Island Responses to Heatwave Type over the Tibetan Plateau: A Case Study of Xining
by Guoxin Chen, Xiaofan Lu, Qiong Li, Siqi Zhang and Suonam Kealdrup Tysa
Land 2025, 14(10), 2033; https://doi.org/10.3390/land14102033 - 12 Oct 2025
Viewed by 398
Abstract
The escalating heatwave risks over the Tibetan Plateau (TP) highlight unresolved gaps in understanding multitype mechanisms and diurnal urban canopy heat island (UCHI) responses. Using Xining’s high-density observational network (2018–2023) and by employing comparative analysis (urban–rural, heatwave versus non-heatwave days) and composite analysis, [...] Read more.
The escalating heatwave risks over the Tibetan Plateau (TP) highlight unresolved gaps in understanding multitype mechanisms and diurnal urban canopy heat island (UCHI) responses. Using Xining’s high-density observational network (2018–2023) and by employing comparative analysis (urban–rural, heatwave versus non-heatwave days) and composite analysis, we found: During the record-breaking July 2022 heatwave across the TP, Xining reached an extreme UCHI peak (z-score: 3.0). Critically asymmetric UCHI responses as daytime heatwaves amplify mean intensity by 0.35 °C via extreme value shifts, whereas nighttime events suppress it by 0.31 °C. Crucially, heatwaves induce negligible daytime UCHI modulation but drive comparable magnitude nighttime UCHI intensification (during daytime events) and reduction (during nighttime events), demonstrating type-dependent and diurnally asymmetric urban thermal sensitivities. Heatwaves driven by distinct synoptic patterns; daytime events are controlled by an anomaly anticyclone (cloudless, dry conditions), while nighttime events occur under plateau-north anticyclones (cloudy, humid conditions). These patterns fundamentally reshape heatwave–UCHI interactions through divergent mechanisms: Daytime/nighttime heatwaves amplify/suppress nocturnal UCHI through enhanced/reduced urban heat storage and accelerated/inhibited rural radiative cooling. Our case study demonstrates that although heatwaves generally amplify nocturnal UCHI, in dry regions, their synoptic drivers significantly modify this nighttime synergy. The nocturnal UCHI during heatwave is not only driven by humidity effects but also modulated by cloud cover-regulated rural radiative cooling and urban thermal storage. These findings establish a mechanistic framework for heatwaves–UCHI interactions and provide actionable insights for heat-resilient planning in high-altitude arid cities. Full article
Show Figures

Figure 1

12 pages, 4292 KB  
Article
Interaction Between Air Entraining Agent and Graphene Oxide and Its Effect on Bubble Behavior of Cement-Based Materials
by Min Qiao, Guofeng Chen, Yajie Fang, Yuxin Li and Mei Shi
Buildings 2025, 15(19), 3631; https://doi.org/10.3390/buildings15193631 - 9 Oct 2025
Viewed by 219
Abstract
Nanomaterials play a beneficial role in regulating the function of cement-based materials. The effects and mechanism of graphene oxide (GO) on foam behavior in solutions and air-entraining behavior of cement mortar were studied, and its effect on the microstructure of cement mortar was [...] Read more.
Nanomaterials play a beneficial role in regulating the function of cement-based materials. The effects and mechanism of graphene oxide (GO) on foam behavior in solutions and air-entraining behavior of cement mortar were studied, and its effect on the microstructure of cement mortar was also investigated. The results show that a synergy between GO’s hydrophobicity and the air-entraining agent’s hydrophobic chains drove more agent molecules to adsorb onto the GO surface, subsequently spreading and aggregating across the bubbles. GO effectively assisted the air entraining agent to refine the bubble size, improved the bubble stability of aqueous solutions, and had excellent air entraining performance in the fresh cement mortar, as well as the optimum air-void adjustment performance of hardened cement mortars. With the addition of 0.4‰ GO, the loss rate of gas content in the GO mixed mortar was 10.3%, which was 55.8% lower than that when only using AEA. The addition of 0.4‰ of GO effectively increased the volume fraction of the cement mortar system. GO reduced the pore volume in the mortar through the filling effect and nucleation effect to reduce the total porosity and refine the microstructure of the mortar. Full article
(This article belongs to the Section Building Materials, and Repair & Renovation)
Show Figures

Figure 1

29 pages, 3803 KB  
Article
Spatio-Temporal Coupling of Carbon Efficiency, Carbon Sink, and High-Quality Development in the Greater Chang-Zhu-Tan Urban Agglomeration: Patterns and Influences
by Yong Guo, Lang Yi, Jianbo Zhao, Guangyu Zhu and Dan Sun
Sustainability 2025, 17(19), 8957; https://doi.org/10.3390/su17198957 - 9 Oct 2025
Cited by 1 | Viewed by 268
Abstract
Under the framework of the “dual carbon” goals, promoting the coordinated development of carbon emission efficiency, carbon sink capacity, and high-quality growth has become a critical issue for regional sustainability. Using panel data from 2006 to 2021, this study systematically investigates the three-dimensional [...] Read more.
Under the framework of the “dual carbon” goals, promoting the coordinated development of carbon emission efficiency, carbon sink capacity, and high-quality growth has become a critical issue for regional sustainability. Using panel data from 2006 to 2021, this study systematically investigates the three-dimensional coupling coordination among carbon emission efficiency, carbon sink capacity, and high-quality development in the Greater Chang-Zhu-Tan urban agglomeration. The spatiotemporal evolution, spatial correlation characteristics, and influencing factors of the coupling coordination were also explored. The results indicate that the coupling coordination system exhibits an evolutionary trend of overall stability with localized differentiation. The overall coupling degree remains in the “running-in” stage, while the coordination level is still in a marginally coordinated state. Spatially, the pattern has shifted from “northern leadership” to “multi-polar support,” with Yueyang achieving intermediate coordination, four cities including Changde reaching primary coordination, and three cities including Loudi remaining imbalanced. Spatial correlation has weakened from significant to insignificant, with Xiangtan showing a “low–low” cluster and Hengyang displaying a “high–low” cluster. The evolution of hot and cold spots has moved from marked differentiation to a more balanced distribution, as reflected by the disappearance of cold spots. The empirical analysis confirms a three-dimensional coupling mechanism: ecologically rich regions attain high coordination through carbon sink synergies; economically advanced areas achieve decoupling through innovation-driven development; while traditional industrial cities, despite facing the “green paradox,” demonstrate potential for leapfrog progress through transformation. Among the influencing factors, industrial structure upgrading emerged as the primary driver of spatial differentiation, though with a negative impact. Government support also exhibited a negative effect, whereas the interaction between environmental regulation and both government support and economic development was found to be significant. Full article
Show Figures

Figure 1

32 pages, 472 KB  
Article
From Soft Law to Hard Law: Legal Transitions and Sustainable Challenges in the Italian Agri-Food Sector
by Lucia Briamonte and Debora Scarpato
Sustainability 2025, 17(19), 8952; https://doi.org/10.3390/su17198952 - 9 Oct 2025
Viewed by 422
Abstract
The transition from soft to hard law is reshaping global agri-food governance, particularly in relation to sustainability and corporate responsibility. This article analyzes this shift by examining two regulatory approaches: voluntary instruments such as the OECD-FAO Guidance for Responsible Agricultural Supply Chains and [...] Read more.
The transition from soft to hard law is reshaping global agri-food governance, particularly in relation to sustainability and corporate responsibility. This article analyzes this shift by examining two regulatory approaches: voluntary instruments such as the OECD-FAO Guidance for Responsible Agricultural Supply Chains and binding EU directives like the Corporate Sustainability Due Diligence Directive (CSDDD) and the Corporate Sustainability Reporting Directive (CSRD). Using a qualitative and interpretive methodology, the study combines a literature review and two case studies (Nicoverde and Lavazza) to explore the evolution from soft law to hard law and the synergies and analyze how these tools are applied in the Italian agri-food sector and how they can contribute to improving corporate sustainability performance. Findings show that soft law has paved the way for more rigorous regulation, but the increasing compliance burden poses challenges, especially for small and medium-sized enterprises (SMEs). These cases serve as virtuous examples to illustrate how soft and hard law interact in practice, offering concrete insights into the translation of general sustainability principles into corporate strategies. A hybrid governance framework—combining voluntary and binding tools—can foster sustainability if supported by coherent policies, stakeholder collaboration and adequate support mechanisms. The study offers practical insights for both companies and policymakers navigating the evolving legal scenario. Full article
Show Figures

Figure 1

18 pages, 2086 KB  
Review
Jets in Low-Mass Protostars
by Somnath Dutta
Universe 2025, 11(10), 333; https://doi.org/10.3390/universe11100333 - 9 Oct 2025
Viewed by 328
Abstract
Jets and outflows are key components of low-mass star formation, regulating accretion and shaping the surrounding molecular clouds. These flows, traced by molecular species at (sub)millimeter wavelengths (e.g., CO, SiO, SO, H2CO, and CH3OH) and by atomic, ionized, and [...] Read more.
Jets and outflows are key components of low-mass star formation, regulating accretion and shaping the surrounding molecular clouds. These flows, traced by molecular species at (sub)millimeter wavelengths (e.g., CO, SiO, SO, H2CO, and CH3OH) and by atomic, ionized, and molecular lines in the infrared (e.g., H2, [Fe II], [S I]), originate from protostellar accretion disks deeply embedded within dusty envelopes. Jets play a crucial role in removing angular momentum from the disk, thereby enabling continued mass accretion, while directly preserving a record of the protostar’s outflow history and potentially providing indirect insights into its accretion history. Recent advances in high-resolution, high-sensitivity observations, particularly with the James Webb Space Telescope (JWST) in the infrared and the Atacama Large Millimeter/submillimeter Array (ALMA) at (sub)millimeter wavelengths, have revolutionized studies of protostellar jets and outflows. These instruments provide complementary views of warm, shock-excited gas and cold molecular component of the jet–outflow system. In this review, we discuss the current status of observational studies that reveal detailed structures, kinematics, and chemical compositions of protostellar jets and outflows. Recent analyses of mass-loss rates, velocities, rotation, molecular abundances, and magnetic fields provide critical insights into jet launching mechanisms, disk evolution, and the potential formation of binary systems and planets. The synergy of JWST’s infrared sensitivity and ALMA’s high-resolution imaging is advancing our understanding of jets and outflows. Future large-scale, high-resolution surveys with these facilities are expected to drive major breakthroughs in outflow research. Full article
(This article belongs to the Special Issue Magnetic Fields and Activity in Stars: Origins and Evolution)
Show Figures

Figure 1

Back to TopTop