Divergent Urban Canopy Heat Island Responses to Heatwave Type over the Tibetan Plateau: A Case Study of Xining
Abstract
1. Introduction
2. Data and Methods
2.1. Data
2.2. Method
3. Results and Discussion
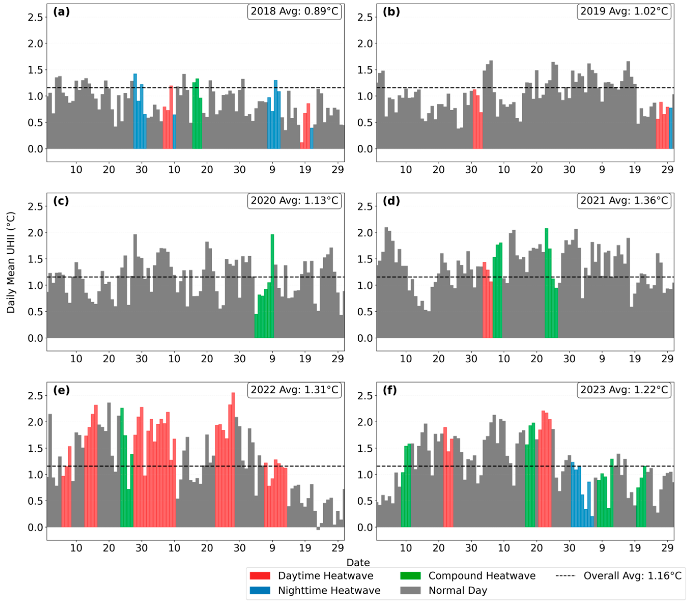
3.1. Characteristics of UCHI in Xining City from 2018 to 2023
3.2. The Regulation of UCHI by Different Heatwave Events
3.3. Possible Mechanisms Underlying Heatwave–UCHI Interactions
4. Conclusions
- It exhibited a mean urban canopy heat island intensity of 1.0 °C in Xining City over the past six years, with characteristic diurnal variability sustaining nocturnal peaks. An extreme urban canopy heat island peak (z-score: 3.0) is recorded on 28 July 2022, potentially linked to the concurrent record-breaking regional heatwave on the Tibetan Plateau.
- While daytime heatwaves amplify hourly urban canopy heat island intensity with distribution shifts confirming extreme intensification, nighttime events suppress it through concentration toward lower intensities, whereas compound heatwaves drive a slightly increase, collectively demonstrating statistically significant distributional differences across all heatwave types. Crucially, heatwaves induce statistically negligible daytime urban canopy heat island intensity responses, they drive comparable-magnitude intensification and reduction in nocturnal urban canopy heat island intensity during daytime and nighttime heatwaves, respectively. Nocturnal urban canopy heat island intensity increases slightly during compound heatwave.
- Heatwaves driven by different synoptic patterns have significantly altered the synergy at night. Daytime heatwaves, controlled by a 500 hPa anticyclone and characterized by cloudless, dry conditions, significantly amplify nocturnal urban canopy heat island intensity by accelerating rural radiative cooling. Conversely, nighttime heatwaves exhibit high cloud cover and humidity; clouds absorb and re-radiate surface longwave radiation, suppressing rural radiative cooling. Moreover, the impact of urban thermal storage modulated by cloud cover may also play a role in the interaction between heatwaves and urban canopy heat islands.
- Our findings offer concrete implications for urban planning and public health strategies in Xining City. Against daytime/dry heatwaves: Urban cooling strategies should prioritize increasing surface albedo (e.g., promoting cool roofs and reflective pavements) and expanding green infrastructure (e.g., urban parks, green corridors). Against nighttime/humid heatwaves: Mitigation efforts should focus on improving urban ventilation through aerodynamic building design and preserving natural wind corridors. Early warning systems should also be tailored to different heatwave types, daytime heatwave warnings should emphasize the risk of prolonged nocturnal heat exposure in Xining City, guiding targeted protection for vulnerable populations.
Author Contributions
Funding
Data Availability Statement
Acknowledgments
Conflicts of Interest
References
- Chen, R.; Lu, R. Dry Tropical Nights and Wet Extreme Heat in Beijing: Atypical Configurations between High Temperature and Humidity. Mon. Weather Rev. 2014, 142, 1792–1802. [Google Scholar] [CrossRef]
- Ding, T.; Qian, W.; Yan, Z. Changes in hot days and heat waves in China during 1961–2007. Int. J. Climatol. 2010, 30, 1452–1462. [Google Scholar] [CrossRef]
- Sun, J. Record-breaking SST over mid-North Atlantic and extreme high temperature over the Jianghuai–Jiangnan region of China in 2013. Chin. Sci. Bull. 2014, 59, 3465–3470. [Google Scholar] [CrossRef]
- Chen, R.; Lu, R. Comparisons of the Circulation Anomalies Associated with Extreme Heat in Different Regions of Eastern China. J. Clim. 2015, 28, 5830–5844. [Google Scholar] [CrossRef]
- Deng, K.; Yang, S.; Ting, M.; Zhao, P.; Wang, Z. Dominant Modes of China Summer Heat Waves Driven by Global Sea Surface Temperature and Atmospheric Internal Variability. J. Clim. 2019, 32, 3761–3775. [Google Scholar] [CrossRef]
- Wu, Z.; Lin, H.; Li, J.; Jiang, Z.; Ma, T. Heat wave frequency variability over North America: Two distinct leading modes. J. Geophys. Res. Atmos. 2012, 117. [Google Scholar] [CrossRef]
- Zhang, T.; Jiang, X.; Chen, J.; Yang, S.; Deng, Y.; Wei, W.; Hu, P.; Gao, P. Interannual Variability of Springtime Extreme Heat Events over the Southeastern Edge of the Tibetan Plateau: Role of a Spring-Type Circumglobal Teleconnection Pattern. J. Clim. 2021, 34, 9915–9930. [Google Scholar] [CrossRef]
- Fischer, E.M.; Seneviratne, S.I.; Vidale, P.L.; Lüthi, D.; Schär, C. Soil Moisture–Atmosphere Interactions during the 2003 European Summer Heat Wave. J. Clim. 2007, 20, 5081–5099. [Google Scholar] [CrossRef]
- Ford, T.W.; Dirmeyer, P.A.; Benson, D.O. Evaluation of heat wave forecasts seamlessly across subseasonal timescales. NPJ Clim. Atmos. Sci. 2018, 1, 20. [Google Scholar] [CrossRef]
- Qiao, L.; Zuo, Z.; Zhang, R.; Piao, S.; Xiao, D.; Zhang, K. Soil moisture–atmosphere coupling accelerates global warming. Nat. Commun. 2023, 14, 4908. [Google Scholar] [CrossRef]
- Zhou, T. The dry-hot feedback between soil moisture and atmosphere and the accelerated global warming. Sci. China Earth Sci. 2024, 67, 890–891. [Google Scholar] [CrossRef]
- Zhang, T.; Deng, G.; Liu, X.; He, Y.; Shen, Q.; Chen, Q. Heatwave magnitude quantization and impact factors analysis over the Tibetan Plateau. NPJ Clim. Atmos. Sci. 2025, 8, 2. [Google Scholar] [CrossRef]
- Gui, K.; Zhou, T.; Zhang, W.; Zhang, X. Land-atmosphere coupling amplified the record-breaking heatwave at altitudes above 5000 meters on the Tibetan Plateau in July 2022. Weather Clim. Extremes 2024, 45, 100717. [Google Scholar] [CrossRef]
- Chen, W.; Yao, T.; Zhang, G.; Woolway, R.I.; Yang, W.; Xu, F.; Zhou, T. Glacier Surface Heatwaves Over the Tibetan Plateau. Geophys. Res. Lett. 2023, 50, e2022GL101115. [Google Scholar] [CrossRef]
- Chen, R.; Lu, R. Large-scale circulation anomalies associated with ‘tropical night’ weather in Beijing, China. Int. J. Climatol. 2014, 34, 1980–1989. [Google Scholar] [CrossRef]
- Hong, J.-S.; Yeh, S.-W.; Seo, K.-H. Diagnosing Physical Mechanisms Leading to Pure Heat Waves Versus Pure Tropical Nights Over the Korean Peninsula. J. Geophys. Res. Atmos. 2018, 123, 7149–7160. [Google Scholar] [CrossRef]
- Jong-Kil, P.; Riyu, L.U.; Chaofan, L.I.; Byul, K.I.M.E. Interannual Variation of Tropical Night Frequency in Beijing and Associated Large-Scale Circulation Background. Adv. Atmos. Sci. 2012, 29, 295–306. [Google Scholar]
- Thomas, N.P.; Bosilovich, M.G.; Collow, A.B.M.; Koster, R.D.; Schubert, S.D.; Dezfuli, A.; Mahanama, S.P. Mechanisms Associated with Daytime and Nighttime Heat Waves over the Contiguous United States. J. Appl. Meteorol. Climatol. 2020, 59, 1865–1882. [Google Scholar] [CrossRef]
- Li, Y.; Ding, Y.; Liu, Y. Mechanisms for regional compound hot extremes in the mid-lower reaches of the Yangtze River. Int. J. Climatol. 2021, 41, 1292–1304. [Google Scholar] [CrossRef]
- Wu, S.; Luo, M.; Zhao, R.; Li, J.; Sun, P.; Liu, Z.; Wang, X.; Wang, P.; Zhang, H. Local mechanisms for global daytime, nighttime, and compound heatwaves. NPJ Clim. Atmos. Sci. 2023, 6, 36. [Google Scholar] [CrossRef]
- Sun, Y.; Zhang, X.; Ren, G.; Zwiers, F.W.; Hu, T. Contribution of urbanization to warming in China. Nat. Clim. Change 2016, 6, 706–709. [Google Scholar] [CrossRef]
- Tysa, S.K.; Ren, G.; Qin, Y.; Zhang, P.; Ren, Y.; Jia, W.; Wen, K. Urbanization Effect in Regional Temperature Series Based on a Remote Sensing Classification Scheme of Stations. J. Geophys. Res. Atmos. 2019, 124, 10646–10661. [Google Scholar] [CrossRef]
- Yang, X.; Chen, B.; Hu, K. A review of impacts of urbanization on extreme heat events. Prog. Geogr. 2015, 34, 1219–1228. (In Chinese) [Google Scholar]
- Ao, X.; Tan, J.; Zhi, X.; Guo, J.; Lu, Y.; Liu, D. Synergistic interaction between urban heat island and heat waves and its impact factors in Shanghai. Acta Geogr. Sin. 2019, 74, 1789–1802. (In Chinese) [Google Scholar]
- Founda, D.; Santamouris, M. Synergies between Urban Heat Island and Heat Waves in Athens (Greece), during an extremely hot summer (2012). Sci. Rep. 2017, 7, 10973. [Google Scholar] [CrossRef]
- Jiang, S.; Lee, X.; Wang, J.; Wang, K. Amplified Urban Heat Islands during Heat Wave Periods. J. Geophys. Res. Atmos. 2019, 124, 7797–7812. [Google Scholar] [CrossRef]
- Ramamurthy, P.; Bou-Zeid, E. Heatwaves and urban heat islands: A comparative analysis of multiple cities. J. Geophys. Res. Atmos. 2017, 122, 168–178. [Google Scholar] [CrossRef]
- Xue, J.; Zong, L.; Yang, Y.; Bi, X.; Zhang, Y.; Zhao, M. Diurnal and interannual variations of canopy urban heat island (CUHI) effects over a mountain–valley city with a semi-arid climate. Urban Clim. 2023, 48, 101425. [Google Scholar] [CrossRef]
- Chew, L.W.; Liu, X.; Li, X.-X.; Norford, L.K. Interaction between heat wave and urban heat island: A case study in a tropical coastal city, Singapore. Atmos. Res. 2021, 247, 105134. [Google Scholar] [CrossRef]
- Richard, Y.; Pohl, B.; Rega, M.; Pergaud, J.; Thevenin, T.; Emery, J.; Dudek, J.; Vairet, T.; Zito, S.; Chateau-Smith, C. Is Urban Heat Island intensity higher during hot spells and heat waves (Dijon, France, 2014–2019)? Urban Clim. 2021, 35, 100747. [Google Scholar] [CrossRef]
- Rogers, C.D.W.; Gallant, A.J.E.; Tapper, N.J. Is the urban heat island exacerbated during heatwaves in southern Australian cities? Theor. Appl. Climatol. 2019, 137, 441–457. [Google Scholar] [CrossRef]
- Scott, A.A.; Waugh, D.W.; Zaitchik, B.F. Reduced Urban Heat Island intensity under warmer conditions. Environ. Res. Lett. 2018, 13, 064003. [Google Scholar] [CrossRef]
- Feinberg, A. Urban Heat Island High Water-Vapor Feedback Estimates and Heatwave Issues: A Temperature Difference Approach to Feedback Assessments. Sci 2022, 4, 44. [Google Scholar] [CrossRef]
- Shi, Z.; Jia, G. Changes in urban heat island intensity during heatwaves in China. Environ. Res. Lett. 2024, 19, 074061. [Google Scholar] [CrossRef]
- Zhao, L.; Oppenheimer, M.; Zhu, Q.; Baldwin, J.W.; Ebi, K.L.; Bou-Zeid, E.; Guan, K.; Liu, X. Interactions between urban heat islands and heat waves. Environ. Res. Lett. 2018, 13, 034003. [Google Scholar] [CrossRef]
- Luo, Y.; Yang, S.; Zhang, T.; Yu, Y.; Luo, M.; Xu, L. Distinctive local and large-scale processes associated with daytime, nighttime and compound heatwaves in China. Weather Clim. Extrem. 2025, 47, 100749. [Google Scholar] [CrossRef]
- Liu, Z.; Liu, S.; Qi, W.; Jin, H. The settlement intention of floating population and the factors in Qinghai-Tibet Plateau: An analysis from the perspective of short-distance and long-distance migrants. Acta Geogr. Sin. 2021, 76, 2142–2156. [Google Scholar]
- Zuo, Y.; Zhang, C.; Lin, Z.; Mao, F.; Liu, S.; Liu, Z. A Multi-scale evaluation study on the shading effects of street trees at noon in summer in Xining City. Acta Ecol. Sin. 2025, 45, 4728–4742. [Google Scholar]
- Gong, P.; Li, X.; Wang, J.; Bai, Y.; Chen, B.; Hu, T.; Liu, X.; Xu, B.; Yang, J.; Zhang, W. Annual maps of global artificial impervious area (GAIA) between 1985 and 2018. Remote Sens. Environ. 2020, 236, 111510. [Google Scholar] [CrossRef]
- Oke, T.R.; Mills, G.; Christen, A.; Voogt, J. Urban Climates; Cambridge University Press: Cambridge, UK, 2017. [Google Scholar]
- Arnfield, A.J. Two decades of urban climate research: A review of turbulence, exchanges of energy and water, and the urban heat island. Int. J. Climatol. 2003, 23, 1–26. [Google Scholar] [CrossRef]
- Hardin, A.W.; Liu, Y.; Cao, G.; Vanos, J.K. Urban heat island intensity and spatial variability by synoptic weather type in the northeast U.S. Urban Clim. 2018, 24, 747–762. [Google Scholar] [CrossRef]
- Wang, N.; Chen, J.; He, T.; Xu, X.; Liu, L.; Sun, Z.; Qiao, Z.; Han, D. Understanding the differences in the effect of urbanization on land surface temperature and air temperature in China: Insights from heatwave and non-heatwave conditions. Environ. Res. Lett. 2023, 18, 104038. [Google Scholar] [CrossRef]
- Kim, D.-H.; Park, K.; Baik, J.-J.; Jin, H.-G.; Han, B.-S. Contrasting interactions of urban heat islands with dry and moist heat waves and their implications for urban heat stress. Urban Clim. 2024, 56, 102050. [Google Scholar] [CrossRef]











Disclaimer/Publisher’s Note: The statements, opinions and data contained in all publications are solely those of the individual author(s) and contributor(s) and not of MDPI and/or the editor(s). MDPI and/or the editor(s) disclaim responsibility for any injury to people or property resulting from any ideas, methods, instructions or products referred to in the content. |
© 2025 by the authors. Licensee MDPI, Basel, Switzerland. This article is an open access article distributed under the terms and conditions of the Creative Commons Attribution (CC BY) license (https://creativecommons.org/licenses/by/4.0/).
Share and Cite
Chen, G.; Lu, X.; Li, Q.; Zhang, S.; Tysa, S.K. Divergent Urban Canopy Heat Island Responses to Heatwave Type over the Tibetan Plateau: A Case Study of Xining. Land 2025, 14, 2033. https://doi.org/10.3390/land14102033
Chen G, Lu X, Li Q, Zhang S, Tysa SK. Divergent Urban Canopy Heat Island Responses to Heatwave Type over the Tibetan Plateau: A Case Study of Xining. Land. 2025; 14(10):2033. https://doi.org/10.3390/land14102033
Chicago/Turabian StyleChen, Guoxin, Xiaofan Lu, Qiong Li, Siqi Zhang, and Suonam Kealdrup Tysa. 2025. "Divergent Urban Canopy Heat Island Responses to Heatwave Type over the Tibetan Plateau: A Case Study of Xining" Land 14, no. 10: 2033. https://doi.org/10.3390/land14102033
APA StyleChen, G., Lu, X., Li, Q., Zhang, S., & Tysa, S. K. (2025). Divergent Urban Canopy Heat Island Responses to Heatwave Type over the Tibetan Plateau: A Case Study of Xining. Land, 14(10), 2033. https://doi.org/10.3390/land14102033

