Sign in to use this feature.

Years

Between: -

Subjects

remove_circle_outline
remove_circle_outline
remove_circle_outline
remove_circle_outline
remove_circle_outline
remove_circle_outline
remove_circle_outline
remove_circle_outline
remove_circle_outline

Journals

Article Types

Countries / Regions

Search Results (403)

Search Parameters:
Keywords = recovery rate of permeability

Order results
Result details
Results per page
Select all
Export citation of selected articles as:
17 pages, 7631 KB  
Article
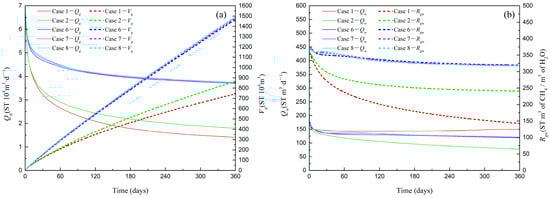
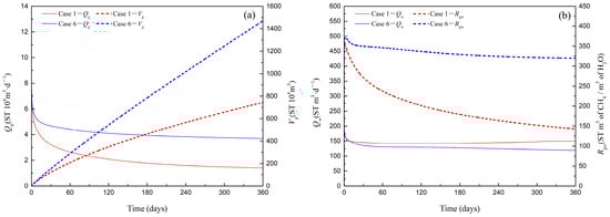
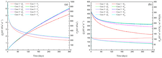
Numerical Study of the Gas Production Enhancement Effect of Boundary Sealing and Wellbore Heating for Class 1 Hydrate Reservoir Depressurization with Five-Spot Wells
by Jingli Wang, Zhibin Sha, Zhanzhao Li, Jianwen Wu and Tinghui Wan
J. Mar. Sci. Eng. 2026, 14(2), 134; https://doi.org/10.3390/jmse14020134 - 8 Jan 2026
Abstract
Natural gas hydrates (NGHs) are a promising alternative energy source with huge global reserves, but they face significant challenges in commercial production and require more efficient exploitation methods. Based on field data from China’s first offshore NGH pilot production, this study systematically investigates [...] Read more.
Natural gas hydrates (NGHs) are a promising alternative energy source with huge global reserves, but they face significant challenges in commercial production and require more efficient exploitation methods. Based on field data from China’s first offshore NGH pilot production, this study systematically investigates the enhancement effect of boundary sealing and wellbore heating on the development of Class 1 hydrate reservoirs with five-spot wells. Numerical simulation findings illustrate that when the sealing layer thickness is 1 m and the permeability is 0.001 mD, it can effectively expand the radial propagation of pressure, promote the gas output, and significantly reduce water production. When the heating power is 100 W/m, the highest energy efficiency ratio can be achieved, which can promote dissociation and inhibit the secondary hydrate generation. The combination of two technologies shows a synergistic effect, which increases the cumulative gas production and gas-to-water ratio to 197.4% and 224.3% of the base case, respectively, achieving the optimal balance between high recovery rate and economic efficiency, which provides key insights for the effective development of Class 1 hydrate reservoirs. Full article
Show Figures

Graphical abstract

19 pages, 4631 KB  
Article
Improving Water-Cycle Soundness Through LID in a Future Urbanizing Watershed: A Case Study of the Dawoon Watershed, Ulsan
by Joowon Choi, Jaerock Park, Jaemoon Kim and Soonchul Kwon
Water 2026, 18(2), 166; https://doi.org/10.3390/w18020166 - 8 Jan 2026
Abstract
Climate change and rapid urbanization are increasingly disrupting urban water cycles by intensifying runoff and reducing infiltration, particularly in watersheds designated for future development. However, most existing studies have focused on fully urbanized areas, with limited attention given to semi-rural or urban–rural transition [...] Read more.
Climate change and rapid urbanization are increasingly disrupting urban water cycles by intensifying runoff and reducing infiltration, particularly in watersheds designated for future development. However, most existing studies have focused on fully urbanized areas, with limited attention given to semi-rural or urban–rural transition watersheds at the planning stage. In this context, the Dawoon watershed in Ulsan, Republic of Korea, represents a critical case, as it is currently undeveloped but designated for large-scale urban expansion. This study evaluates the effectiveness of Low Impact Development (LID) strategies in restoring water-cycle soundness under anticipated urbanization conditions. A hydrological model of the Dawoon watershed was developed using the Storm Water Management Model (SWMM), and multiple land-use-specific LID scenarios were designed to reflect realistic planning-stage applications. Long-term simulations were conducted to assess changes in runoff, infiltration, evapotranspiration, and overall water-cycle performance. The results indicate that urban development substantially increases surface runoff while reducing infiltration and evapotranspiration. The integrated application of LID measures significantly mitigated these impacts, reducing total runoff by approximately 3% and improving the water cycle recovery rate to nearly 99%, restoring hydrological conditions close to the pre-development state. Among the evaluated scenarios, the combined implementation of vegetated swales, infiltration–storage basins, green roofs, and permeable pavements showed the highest effectiveness. These findings highlight the importance of incorporating LID strategies at the early stages of urban planning to enhance climate resilience and prevent long-term water cycle degradation. The proposed framework provides practical guidance for setting water-cycle management targets and selecting effective LID measures in developing or peri-urban watersheds. Full article
(This article belongs to the Section Urban Water Management)
Show Figures

Figure 1

17 pages, 2618 KB  
Article
Experimental Study on Mechanism of Using Complex Nanofluid Dispersions to Enhance Oil Recovery in Tight Offshore Reservoirs
by Zhisheng Xing, Xingyuan Liang, Guoqing Han, Fujian Zhou, Kai Yang and Shuping Chang
J. Mar. Sci. Eng. 2026, 14(2), 126; https://doi.org/10.3390/jmse14020126 - 7 Jan 2026
Abstract
Horizontal wells combined with multi-stage fracturing are key techniques for extracting tight oil formation. However, due to the ultra-low permeability and porosity of reservoirs, energy depletion occurs rapidly, necessitating external supplements to sustain production. During the hydraulic fracturing process, large volumes of fracturing [...] Read more.
Horizontal wells combined with multi-stage fracturing are key techniques for extracting tight oil formation. However, due to the ultra-low permeability and porosity of reservoirs, energy depletion occurs rapidly, necessitating external supplements to sustain production. During the hydraulic fracturing process, large volumes of fracturing fluid are injected into reservoirs, increasing its pressure to a certain extent. However, due to the oil-wet nature of the formation, the fracturing fluid cannot penetrate the rock, failing to enhance oil recovery during the shut-in period. Surfactant-based nanofluids have been introduced as fracturing fluid additives to reverse rock wettability, thereby boosting imbibition-driven recovery. Although the imbibition has been studied to inspire the tight oil recovery, few studies have demonstrated the imbibition in enhanced fossil hydrogen energy, which further promotes the imbibition recovery. In this paper, complex nanofluid dispersions (CND) have been proved to enhance the tight reservoir pressure. Through contact angle and imbibition experiments, it is shown that CND can transform oil-wet rock to water-wet, reduce the adhesion of oil, and improve the ultimate oil recovery through the imbibition effect. Then, core flow testing experiments were conducted to show CND can decrease the flow resistance and improve the swept area of the injected fluid. In the end, pressure transmission tests were conducted to show CND can enhance the formation energy and production after fracturing. Results demonstrate that CND enables the fracturing fluid to travel further away from the hydraulic fractures, thus decreasing the depletion of tight formation pressure and maintaining a higher oil production rate. Results help optimize the design of the hydraulic fracturing of tight offshore reservoirs. Full article
(This article belongs to the Special Issue Advances in Offshore Oil and Gas Exploration and Development)
Show Figures

Figure 1

35 pages, 20755 KB  
Article
Advancing Geothermal Energy Recovery Through Reactive Transport Modelling and Horizontal Well Analysis: A Case Study of Lithuanian Reservoirs
by Abdul Rashid Abdul Nabi Memon and Mayur Pal
Processes 2026, 14(2), 203; https://doi.org/10.3390/pr14020203 - 7 Jan 2026
Viewed by 21
Abstract
The study underpins the geothermal energy potential of Cambrian reservoirs in Lithuania, which utilizes the use of reactive transport modelling to examine how different reinjection temperatures and flow rates affect mineral changes. The results are then applied to design field development plans, using [...] Read more.
The study underpins the geothermal energy potential of Cambrian reservoirs in Lithuania, which utilizes the use of reactive transport modelling to examine how different reinjection temperatures and flow rates affect mineral changes. The results are then applied to design field development plans, using petroleum engineering methods such as horizontal wells and induced fracturing. The research study indicates that there are some changes in porosity and permeability over time due to mineral dissolution and precipitation because of injection rates, but no adverse effect of re-injection temperature was observed. Hence, a reinjection temperature of 40 °C is geochemically stable and suitable for long-term operation, with no significant effect on mineral behavior. Moreover, application of horizontal wells proves that there is a significant increase in water production and power (thermal) output due to improved reservoir exposure. Hydraulic fracturing further enhanced the performance and flow rates, concluding that, among all the sites studied, Nausodis demonstrated the highest thermal output, while Genciai showed the lowest potential due to limited reservoir temperature and productivity. Thus, research aims to improve power output by studying how well design, reinjection methods, and chemical reactions affect the reservoir, and it shows that using horizontal wells, fracturing, and proper reinjection temperature can help increase geothermal energy recovery in Lithuania. Full article
Show Figures

Figure 1

14 pages, 1969 KB  
Article
Study on Microscopic Seepage Simulation of Tight Sandstone Reservoir Based on Digital Core Technology
by Hui Chen, Xiaopeng Cao and Lin Du
Eng 2026, 7(1), 25; https://doi.org/10.3390/eng7010025 - 4 Jan 2026
Viewed by 68
Abstract
Understanding the flow characteristics of tight sandstone reservoirs is crucial for improving resource recovery efficiency. During fluid flow in porous media, surfactant components in the fluid can adsorb onto solid surfaces, forming a boundary layer. This boundary layer has a pronounced impact on [...] Read more.
Understanding the flow characteristics of tight sandstone reservoirs is crucial for improving resource recovery efficiency. During fluid flow in porous media, surfactant components in the fluid can adsorb onto solid surfaces, forming a boundary layer. This boundary layer has a pronounced impact on fluid movement within tight sandstone formations. In this study, digital core analysis is employed to investigate how the boundary layer influences non-Darcy flow behavior. A computational model is first developed to quantify the thickness and viscosity of the boundary layer, followed by the construction of a mathematical flow model based on the Navier–Stokes equations that incorporates boundary layer effects. Using CT scan data from actual core samples, a pore network model is then built to represent the reservoir’s complex pore structure. The impact of boundary layer development on microscale flow is subsequently analyzed under varying pore conditions. The results indicate that both boundary layer thickness and viscosity significantly influence fluid transport in microscopic pores. When the relative boundary layer thickness is 0.5, and the relative viscosity reaches 10, the actual outlet flow rate drops to only 12.89% of the value obtained without considering boundary layer effects. Furthermore, in tight reservoirs with smaller pore throat sizes, the boundary layer introduces considerable flow resistance. When boundary layer effects are incorporated into the pore network model, permeability initially increases with pressure gradient and then stabilizes. Full article
Show Figures

Figure 1

16 pages, 2862 KB  
Article
Preparation and Performance Evaluation of a Novel Biodegradable Fuzzy-Ball Drilling Fluid for Coal Seam
by Yuanbo Chen, Lihui Zheng, Runtian Luo, Qin Guo, Junqi Zhao and Yufei Zhang
Processes 2026, 14(1), 104; https://doi.org/10.3390/pr14010104 - 28 Dec 2025
Viewed by 170
Abstract
In order to address the challenges of soft coal texture, poor permeability, and wellbore instability in tectonic coal reservoirs, a new biodegradable fuzzy-ball drilling fluid combined with a bio-based surfactant and enzyme system was developed. The optimal formula was determined through single-factor experiments [...] Read more.
In order to address the challenges of soft coal texture, poor permeability, and wellbore instability in tectonic coal reservoirs, a new biodegradable fuzzy-ball drilling fluid combined with a bio-based surfactant and enzyme system was developed. The optimal formula was determined through single-factor experiments and orthogonal optimization: 6% KCl–2% trehalose composite base slurry + 4% carboxymethyl chitosan + 0.4% hydroxypropyl methylcellulose + 0.15% xanthan gum + 0.12% guar gum + 0.3% cocamidopropyl betaine + 0.15% lauryl alcohol + 0.2% triethanolamine, with the degrading agent consisting of 0.2% composite-modified amylase + 0.04% composite-modified cellulase. The performance evaluation results show that the drilling fluid has stable rheological properties in the temperature range of 40~60 °C (yield point-plastic viscosity ratio: 0.8~0.9) and low filtration loss (5.8~6.5 mL); it exhibits excellent inhibition on tectonic coal, the inhibition rate of linear expansion rate is 72.1%, and the 14-mesh rolling recovery rate is 82.5%; at 55 °C, the gel breaking rate reaches 96.9% after 1.5 h, the mud cake removal rate reaches 98.8%, and the permeability recovery rate reaches 84.8%. After applying this drilling fluid, the unconfined compressive strength of tectonic coal increases from 1.2 MPa to 2.8 MPa (an increase of 133.3%), and the triaxial compressive strength increases from 20.1 MPa to 38.5 MPa (an increase of 91.5%); the numerical simulation shows that the radial displacement around the wellbore decreases by 62.1% and the plastic zone area shrinks by 73.2%. This novel biodegradable fuzzy-ball drilling fluid has the characteristics of efficient wellbore stabilization, easy degradation, and low formation damage, providing effective technical support for the green development of coalbed methane in tectonic coal reservoirs. Full article
(This article belongs to the Section Energy Systems)
Show Figures

Figure 1

21 pages, 2265 KB  
Article
Simulation and Sensitivity Analysis of CO2 Migration and Pressure Propagation Considering Molecular Diffusion and Geochemical Reactions in Shale Oil Reservoirs
by Ruihong Qiao, Bing Yang, Hai Huang, Qianqian Ren, Zijie Cheng and Huanyu Feng
Energies 2026, 19(1), 164; https://doi.org/10.3390/en19010164 - 27 Dec 2025
Viewed by 254
Abstract
Unconventional shale oil reservoirs, characterized by ultra-low porosity and permeability, severely constrain oil recovery. CO2-enhanced oil recovery (CO2-EOR) following hydraulic fracturing is an effective approach that combines incremental oil recovery with long-term CO2 storage. However, CO2 transport [...] Read more.
Unconventional shale oil reservoirs, characterized by ultra-low porosity and permeability, severely constrain oil recovery. CO2-enhanced oil recovery (CO2-EOR) following hydraulic fracturing is an effective approach that combines incremental oil recovery with long-term CO2 storage. However, CO2 transport in the fracture–matrix system is complex, especially when molecular diffusion and geochemical reactions are coupled. This study conducts numerical simulations on a representative shale reservoir in the Ordos Basin, incorporating both mechanisms under post-fracturing injection–soaking conditions. The results show that molecular diffusion enhances CO2 mass transfer across the fracture–matrix interface, increasing the final CO2 sweep efficiency by 0.17 percentage points relative to convection alone, whereas geochemical reactions reduce it by about 0.3 percentage points. When both mechanisms coexist, the net effect is a decrease of approximately 0.2 percentage points in CO2 sweep efficiency. In contrast, pressure sweep efficiency differs by less than 0.5 percentage points among all cases and stabilizes near 47%, suggesting that pressure propagation is only weakly affected by diffusion and reactions. Sensitivity analysis reveals that, among operational parameters, injection pressure and injection rate strongly affect CO2 sweep efficiency, whereas soaking time governs pressure propagation. Among reservoir parameters, permeability has the most pronounced influence on both CO2 and pressure sweep efficiencies, followed by temperature, while initial reservoir pressure has minimal impact. This work quantitatively elucidates the coupled roles of molecular diffusion and geochemical reactions in shale reservoirs and provides practical guidance for optimizing post-fracturing CO2-EOR operations. Full article
Show Figures

Figure 1

19 pages, 2921 KB  
Article
A Study of the Reservoir Protection Mechanism of Fuzzy-Ball Workover Fluid for Temporary Plugging in Low-Pressure Oil Well Workover Operations
by Fanghui Zhu, Lihui Zheng, Yibo Li, Mengdi Zhang, Shuai Li, Hongwei Shi, Jingyi Yang, Xiaowei Huang and Xiujuan Tao
Processes 2026, 14(1), 59; https://doi.org/10.3390/pr14010059 - 23 Dec 2025
Viewed by 222
Abstract
This study addresses the challenges of low-pressure oil well workover operations, namely, severe loss of water-based workover fluid, significant reservoir damage from conventional temporary plugging agents, and slow production recovery, by focusing on the yet-mechanistically unclear “fuzzy-ball workover fluid.” Laboratory experiments combined with [...] Read more.
This study addresses the challenges of low-pressure oil well workover operations, namely, severe loss of water-based workover fluid, significant reservoir damage from conventional temporary plugging agents, and slow production recovery, by focusing on the yet-mechanistically unclear “fuzzy-ball workover fluid.” Laboratory experiments combined with field data were used to evaluate its plugging performance and reservoir-protective mechanisms. In sand-filled tubes (diameter 25 mm, length 20–100 cm) sealed with the fuzzy-ball fluid, the formation’s bearing capacity increased by 3.25–18.59 MPa, showing a positive correlation with the plugging radius. Compatibility tests demonstrated that mixtures of crude oil and workover fluid (1:1) or crude oil, workover fluid, and water (1:1:1) held at 60 °C for 80 h exhibited only minor apparent viscosity reductions of 4 mPa·s and 2 mPa·s, respectively, indicating good stability. After successful plugging, a 1% ammonium persulfate solution was injected for 2 h to break the gel; permeability recovery rates reached 112–127%, confirming low reservoir damage and effective gel-break de-blocking. Field data from five wells (formation pressure coefficients 0.49–0.64) showed per-well fluid consumption of 33–83 m3 and post-workover liquid production index recoveries of 5.90–53.30%. Multivariate regression established mathematical relationships among bearing capacity, production index recovery, and fourteen geological engineering parameters, identifying the plugging radius as a key factor. Larger radii enhance both temporary plugging strength and production recovery without harming the reservoir, and they promote production by expanding the cleaning zone. In summary, the fuzzy-ball workover fluid achieves an integrated “high-efficiency plugging–low-damage gel-break–synergistic cleaning” mechanism, resolving the trade-off between temporary-plugging strength and production recovery in low-pressure wells and offering an innovative, environmentally friendly solution for the sustainable and efficient exploitation of oil–gas resources. Full article
(This article belongs to the Special Issue New Technology of Unconventional Reservoir Stimulation and Protection)
Show Figures

Figure 1

22 pages, 3843 KB  
Article
Numerical Simulation Study on the Mechanism of Pore Volume Expansion and Permeability Enhancement by High-Pressure Water Injection in Low Permeability Reservoirs
by Yugong Wang, Yang Xu, Yong Li, Ping Chen, Hongjiang Zou, Jianan Li, Yuwei Sun, Jianyu Li, Hualei Xu and Jie Wang
Processes 2026, 14(1), 48; https://doi.org/10.3390/pr14010048 - 22 Dec 2025
Viewed by 242
Abstract
High-pressure water injection (HPWI) refers to injecting water into the formation under conditions where the injection pressure is higher than or close to the formation fracture pressure. This technique can effectively improve the water absorption capacity of low-permeability reservoirs and maintain the formation [...] Read more.
High-pressure water injection (HPWI) refers to injecting water into the formation under conditions where the injection pressure is higher than or close to the formation fracture pressure. This technique can effectively improve the water absorption capacity of low-permeability reservoirs and maintain the formation pressure above the bubble point. It is a key technology for solving the problem of “difficult injection and difficult recovery” in low-permeability reservoirs, thereby achieving increased injection and enhanced production. However, due to the lack of a unified understanding of the mechanisms of dynamic micro-fractures and the mechanism of pore volume expansion and permeability enhancement during HPWI, the technology has not been widely promoted and applied. Based on an in-depth analysis of the mechanism of high-pressure water injection and by building a geological model for an actual oilfield development block, the “compaction–expansion” theory of rocks is used to characterize the variation in reservoir properties with pore pressure. This model is used to simulate the reservoir’s pore volume expansion and permeability enhancement effects during high-pressure water injection. The research results show the following: (1) HPWI can increase the effective distance of injected water by changing the permeability of the affected area. (2) During HPWI, the effective areas in the reservoir are divided into three regions: the enhanced-permeability zone (EPZ), the swept zone without permeability enhancement, and the unswept zone. Moreover, the EPZ expands significantly with higher injection pressure, rate, and volume. However, the degree of reservoir heterogeneity will significantly affect the effect of HPWI. (3) Simulation of two production modes—“HPWI–well soaking–oil production” and “simultaneous HPWI and oil production”—shows that under the first production mode, the degree of uniformity of the production wells’ response is higher. However, in the production wells in the EPZ, after a certain stage, an overall water flooding phenomenon occurs. In the second mode, the production wells in the water channeling direction show an alternating and rapid water-flooding phenomenon, while the production wells in the non-water channeling areas are hardly affected. Meanwhile, for local production wells with poor effectiveness of high-pressure water injection, hydraulic fracturing can be used as a pilot or remedial measure to achieve pressure-induced effectiveness and improve the sweep efficiency of the injected water. The results of this study explain the mechanisms of volume expansion and permeability enhancement during high-pressure water injection, providing guiding significance for the on-site application and promotion of high-pressure water injection technology in low-permeability reservoirs. Full article
(This article belongs to the Special Issue Hydraulic Fracturing Experiment, Simulation, and Optimization)
Show Figures

Figure 1

29 pages, 12961 KB  
Article
Classification of Flow Pathways for Waterflooding Operations in a Hydrocarbon Reservoir in Terms of Displacement Constraints and Incremental Oil Recovery
by Lianhe Wang, Guangfeng Liu, Zhan Meng, Xiaoming Chen, Zhoujun Luo and Daoyong Yang
Energies 2026, 19(1), 1; https://doi.org/10.3390/en19010001 - 19 Dec 2025
Viewed by 285
Abstract
A robust and pragmatical technique was developed to classify flow pathways during long-term waterflooding operations in a hydrocarbon reservoir. More specifically, pore structure analysis, wettability tests, relative permeability tests, and long-term waterflooding experiments were conducted and integrated. Then, effects of pore-throat structures, displacement [...] Read more.
A robust and pragmatical technique was developed to classify flow pathways during long-term waterflooding operations in a hydrocarbon reservoir. More specifically, pore structure analysis, wettability tests, relative permeability tests, and long-term waterflooding experiments were conducted and integrated. Then, effects of pore-throat structures, displacement rates, crude oil viscosities, and wettability on the oil displacement efficiency across different flow pathways were systematically investigated, allowing us to classify flow pathways into the primary and secondary ones. For the former, pore-throat structure significantly affects the efficiency of displacement: for mouth-bar microfacies, cores with larger pore-throat radii and lower fractal dimensions exhibit superior displacement performance, whereas, for point-bar microfacies, it exhibits greater sensitivity to variations in injection parameters. Increasing the injection rate from 0.2 mL/min to 0.5 mL/min can lead to a 7.31% improvement in oil recovery. Also, high-viscosity crude oil leads to an overall decline in displacement efficiency, with a more pronounced reduction observed in the point-bar microfacies, suggesting that complex pore-throat structures are more sensitive to viscous resistance. For the latter, wettability shows its dominant impact with an increase in oil recovery to 7.12% if the wettability index is increased from 0.17 to 0.21 in the point-bar microfacies. Full article
(This article belongs to the Section H1: Petroleum Engineering)
Show Figures

Figure 1

49 pages, 13115 KB  
Article
The Experimental and Numerical Studies on Optimizing Injection Strategies for Microspheres-Alternating-Nanoemulsion Flooding in Tight Reservoirs
by Jun Wang, Lijun Zheng, Changhao Yan, Baoqiang Lv, Pengzhen Zhao, Wensheng Wu, Xiukun Wang and Jun Yang
Processes 2025, 13(12), 4093; https://doi.org/10.3390/pr13124093 - 18 Dec 2025
Viewed by 277
Abstract
In recent years, the production of tight reservoirs with waterflooding in China has entered a progressively declining phase with unstable oil rate and higher water cut, rising challenges to any further enhancement of oil recovery. Targeting the high water cut and complex pore [...] Read more.
In recent years, the production of tight reservoirs with waterflooding in China has entered a progressively declining phase with unstable oil rate and higher water cut, rising challenges to any further enhancement of oil recovery. Targeting the high water cut and complex pore structure characteristics typical of these reservoirs, this work evaluates the reservoir compatibility of a microspheres-alternating-nanoemulsion flooding process and optimizes its injection strategy. Representative reservoir scenarios were first established; laser-particle-size analyzers and other laboratory instruments were then employed to quantify formulation-reservoir compatibility. A multiscale numerical study has been performed with CMG-STARS v.2022. The core-scale simulations systematically examined the influence of key factors on displacement efficiency improvement and water cut reduction, matched with the experimental results of core flooding tests. The combined experimental/numerical workflow furnishes a theoretical framework for optimizing the injection scheme. Beyond assessing formulation compatibility, the study delivers optimized injection parameters and strategies for microspheres-alternating-nanoemulsion flooding, providing both theoretical analysis and practical technology reference for improving oil recovery in tight reservoirs with higher water cut. Specifically, when the microsphere concentration increased from 0.1% to 0.3%, the minimum water cut was reduced by approximately 5%, while further concentration increases showed no significant additional impact on water content. Compared with water flooding, the relative permeability curve of the microspheres-alternating-nanoemulsion flooding system shifted entirely to the right. Numerical simulation of representative well groups revealed that a slug design with a microsphere-to-nanoemulsion ratio of 1:3 yielded the optimal enhanced oil recovery effect, and after ten years of production, the recovery factor increased by 0.46%. Full article
(This article belongs to the Special Issue Flow Mechanisms and Enhanced Oil Recovery)
Show Figures

Figure 1

24 pages, 3887 KB  
Article
Numerical Simulation Study on Synergistic Influencing Factors of CO2 Flooding and Geological Storage in Low-Permeability and High-Water-Cut Reservoirs
by Qi Wang, Jihong Zhang, Guantong Huo, Peng Wang, Fei Li, Xinjian Tan and Qiang Xie
Energies 2025, 18(24), 6630; https://doi.org/10.3390/en18246630 - 18 Dec 2025
Viewed by 195
Abstract
How to economically and effectively mobilize remaining oil and achieve carbon sequestration after water flooding in low-permeability, high-water-cut reservoirs is an urgent challenge. This study, focusing on Block Y of the Daqing Oilfield, employs numerical simulation to systematically reveal the synergistic influencing mechanisms [...] Read more.
How to economically and effectively mobilize remaining oil and achieve carbon sequestration after water flooding in low-permeability, high-water-cut reservoirs is an urgent challenge. This study, focusing on Block Y of the Daqing Oilfield, employs numerical simulation to systematically reveal the synergistic influencing mechanisms of CO2 flooding and geological storage. A three-dimensional compositional model characterizing this reservoir was constructed, with a focus on analyzing the controlling effects of key geological (depth, heterogeneity, physical properties) and engineering (gas injection rate, gas injection volume, bottom-hole flowing pressure) parameters on the displacement and storage processes. Simulation results indicate that the low-permeability characteristics of Block Y effectively suppress gas channeling, enabling a CO2 flooding enhanced oil recovery (EOR) increment of 15.65%. Increasing reservoir depth significantly improves both oil recovery and storage efficiency by improving the mobility ratio and enhancing gravity segregation. Parameter optimization is key to achieving synergistic benefits: the optimal gas injection rate is 700–900 m3/d, the economically reasonable gas injection volume is 0.4–0.5 PV, and the optimal bottom-hole flowing pressure is 9–10 MPa. This study confirms that for Block Y and similar high-water-cut, low-permeability reservoirs, CO2 flooding is a highly promising replacement technology; through optimized design, it can simultaneously achieve significant crude oil production increase and efficient CO2 storage. Full article
Show Figures

Figure 1

23 pages, 2846 KB  
Article
Exploring the Potentials of Membrane Gas Separation for CO Concentration After Plasma Catalytic CO2 Splitting
by Daria Miroshnichenko, Evgenia Grushevenko, Maxim Shalygin, Dmitry Matveev, Ilya Borisov, Anton Maximov and Stepan Bazhenov
Membranes 2025, 15(12), 380; https://doi.org/10.3390/membranes15120380 - 13 Dec 2025
Viewed by 570
Abstract
Today, reducing carbon footprints requires the development of technologies to utilize CO2, particularly by converting it into valuable chemical products. One approach is plasma-catalytic CO2 splitting into CO and O2. The task of separating such a ternary mixture [...] Read more.
Today, reducing carbon footprints requires the development of technologies to utilize CO2, particularly by converting it into valuable chemical products. One approach is plasma-catalytic CO2 splitting into CO and O2. The task of separating such a ternary mixture is nontrivial and requires the development of an efficient method. In this paper, we have developed a comprehensive scheme for the separation of a CO2/CO/O2 mixture using membrane technology. The novelty of this work lies in the development of a complete scheme for separating the products of plasma-chemical decomposition of CO2 to produce a CO concentrate. The calculations utilized the principle of a reasonable balance between the recovery rate and the energy consumption of the separation process. This scheme allows production of a CO stream with a purity of 99%. To achieve this goal, we have proposed the sequential use of CO2-selective membranes based on polysiloxane with oligoethyleneoxide side groups (M-PEG), followed by polysulfone (PSF) hollow-fiber membranes to separate CO and O2. For these membranes, we measured the CO permeability for the first time and obtained the selectivity for CO2/CO and O2/CO. The potential of membrane separation was demonstrated through a three-stage process, which includes recycling of the CO removal stream and concentration after CO2 plasmolysis. This process was calculated to yield a highly pure CO stream containing 99 mol% with a recovery rate of 47.9–69.4%. The specific energy consumption for the separation process was 30.31–0.83 kWh per 1 m3 of feed mixture, and the required membrane area was between 0.1 m2 for M-PEG and 42.5–107 m2 for PSF, respectively. Full article
Show Figures

Graphical abstract

23 pages, 6244 KB  
Article
Mechanistic Evaluation of Surfactant-Enhanced Oil Mobility in Tight Conglomerate Reservoirs: A Case Study of Mahu Oilfield, NW China
by Jing Zhang, Sai Zhang, Yueli Feng, Jianxin Liu, Hao Bai, Ziliang Li, Erdong Yao and Fujian Zhou
Fuels 2025, 6(4), 93; https://doi.org/10.3390/fuels6040093 - 12 Dec 2025
Viewed by 323
Abstract
To address the challenges of strong heterogeneity and poor crude oil mobility in tight conglomerate reservoirs of the Mahu Oilfield, this study systematically evaluated the effects of different surfactants on wettability alteration, spontaneous imbibition, and relative permeability through high-temperature/high-pressure spontaneous imbibition experiments, online [...] Read more.
To address the challenges of strong heterogeneity and poor crude oil mobility in tight conglomerate reservoirs of the Mahu Oilfield, this study systematically evaluated the effects of different surfactants on wettability alteration, spontaneous imbibition, and relative permeability through high-temperature/high-pressure spontaneous imbibition experiments, online Nuclear Magnetic Resonance (NMR) monitoring, and relative permeability measurements. Core samples from the Jinlong and Madong areas (porosity: 5.98–17.55%; permeability: 0.005–0.148 mD) were characterized alongside X-Ray Diffraction (XRD) data (clay mineral content: 22–35.7%) to compare the performance of anionic, cationic, nonionic, and biosurfactants. The results indicated that the nonionic surfactant AEO-2 (Fatty Alcohol Polyoxyethylene Ether) (0.2% concentration) at 80 °C exhibited optimal performance, achieving the following results: 1. a reduction in wettability contact angles by 80–90° (transitioning from oil-wet to water-wet); 2. a decrease in interfacial tension to 0.64 mN/m; 3. an imbibition recovery rate of 40.14%—5 to 10 percentage points higher than conventional fracturing fluids. NMR data revealed that nanopores (<50 nm) contributed 75.36% of the total recovery, serving as the primary channels for oil mobilization. Relative permeability tests confirmed that AEO-2 reduced residual oil saturation by 6.21–6.38%, significantly improving fluid flow in highly heterogeneous reservoirs. Mechanistic analysis highlighted that the synergy between wettability reversal and interfacial tension reduction was the key driver of recovery enhancement. This study provides a theoretical foundation and practical solutions for the efficient development of tight conglomerate reservoirs. Full article
Show Figures

Figure 1

14 pages, 5394 KB  
Article
Study on Time-Varying Mechanism of Reservoir Properties During Long-Term Water Flooding
by Xiaoping An, Yufen Zhu, Xiqun Tan, Jingyi Bi and Chengqian Tan
Energies 2025, 18(24), 6488; https://doi.org/10.3390/en18246488 - 11 Dec 2025
Viewed by 276
Abstract
Long-term water flooding is a primary development method for oilfields, yet the heterogeneous evolution mechanism of reservoir properties during prolonged water injection remains poorly understood—particularly in the medium-high water cut stage, where the impact of pore-throat network changes on seepage capacity remains controversial. [...] Read more.
Long-term water flooding is a primary development method for oilfields, yet the heterogeneous evolution mechanism of reservoir properties during prolonged water injection remains poorly understood—particularly in the medium-high water cut stage, where the impact of pore-throat network changes on seepage capacity remains controversial. Its reservoir property evolution is highly representative of and provides a valuable reference for similar oilfields. Focusing on the 16-year developed WU Oilfield (long-term water flooding, middle-high water cut stage), its reservoir property evolution exhibits typical reference value for similar oilfields. To reveal the time-varying laws and microscopic mechanism of reservoir properties during long-term water flooding, this study systematically investigated the changes in porosity, permeability, pore throat characteristics, clay content, and oil recovery of high-permeability and low-permeability cores under different injected water volumes (up to 500 pore volumes) through laboratory core displacement experiments. The experimental results showed that with increasing injected water volume, the permeability of high-permeability cores increased by 27.3%, with an overall 21.6% porosity increase in both high and low-permeability cores, and the oil recovery rate of high-permeability cores increased to 15%. In contrast, the permeability of low-permeability cores decreased by 22.2%, with porosity showing a synchronous overall increasing trend, and the oil recovery rate decreased by 10%. Microscopic analysis revealed an overall 7.34% decrease in clay content, and this property difference mainly resulted from the polarization of pore throat network connectivity: large pores in high-permeability cores further expanded due to clay migration and particle transport, while small pores in low-permeability cores gradually became occluded due to clay plugging and authigenic mineral precipitation. This study clarifies the evolution mechanism of reservoir heterogeneity during long-term water flooding and provides a theoretical basis for optimizing water flooding development plans and improving oil and gas recovery. Full article
(This article belongs to the Special Issue New Advances in Oil, Gas and Geothermal Reservoirs—3rd Edition)
Show Figures

Figure 1

Back to TopTop