Numerical Study of the Gas Production Enhancement Effect of Boundary Sealing and Wellbore Heating for Class 1 Hydrate Reservoir Depressurization with Five-Spot Wells
Abstract
1. Introduction
2. Methodology
2.1. Geological Background
2.2. Simulation Code
- Mass Conservation Equation:
- 2.
- Energy Conservation Equation:
2.3. Model and Case Design
2.4. Initial and Boundary Conditions
2.5. Model Validation
3. Results and Analysis
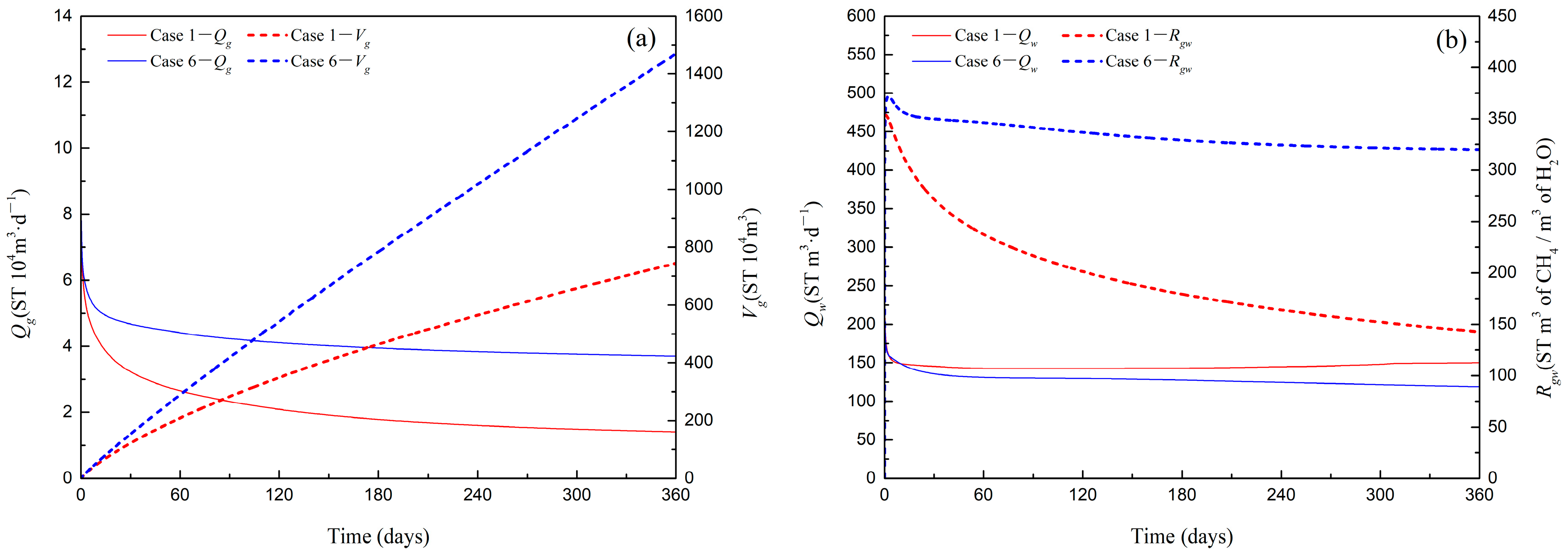
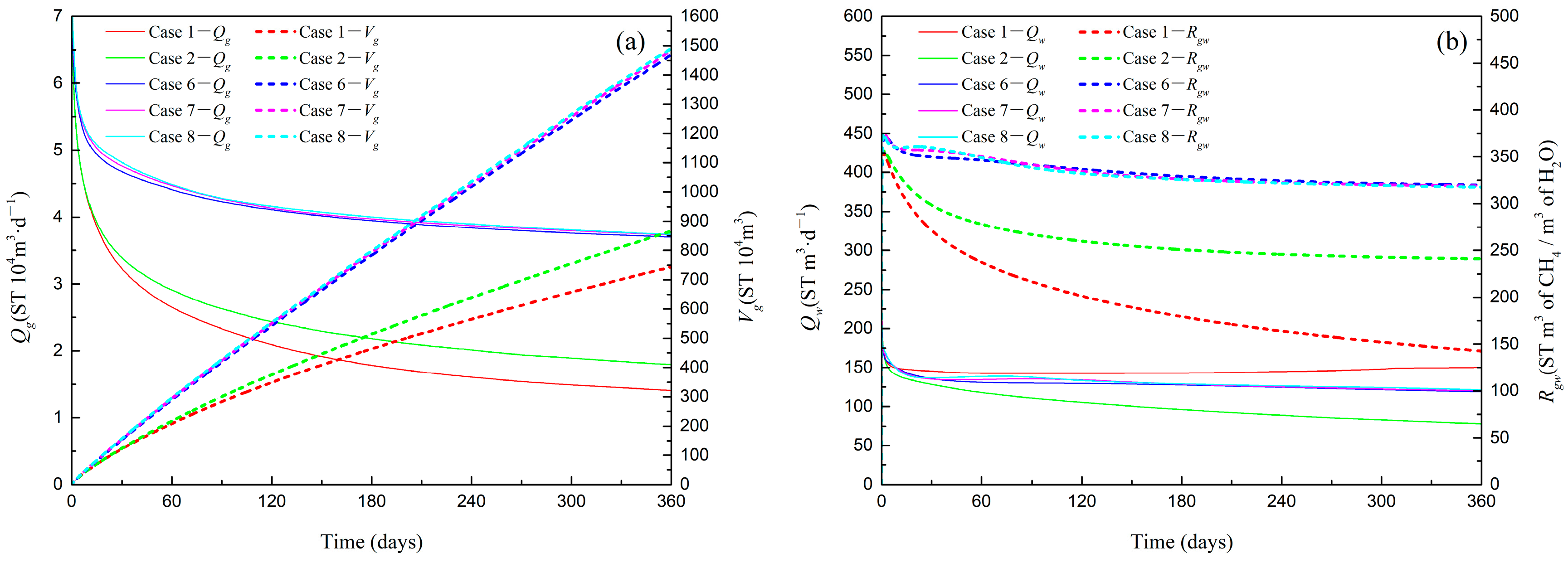
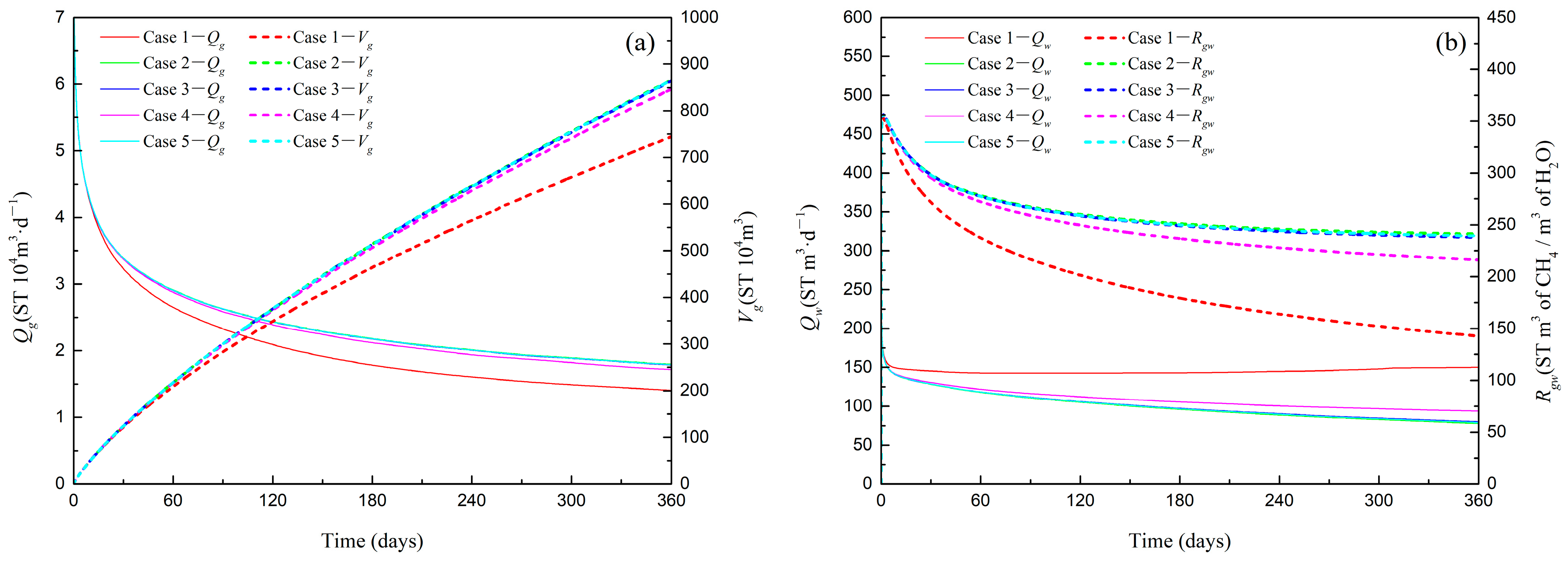
3.1. Gas and Water Production
3.2. Spatial Distribution of Reservoir Physical Parameters
3.2.1. Pore Pressure
3.2.2. Reservoir Temperature
3.2.3. Hydrate and Gas Saturation
4. Discussion
4.1. Effects of Boundary Sealing Parameters
4.2. Effects of Heating Power
4.3. Implications and Future Recommendations
5. Conclusions
- (1)
- The low-permeability sealing layer allows pressure to propagate more widely in the radial direction of the reservoir, effectively promoting the gas production. The presence of a sealing layer can effectively reduce the entry of top and bottom water into the wellbore, thereby significantly reducing water production and effectively improving the gas-to-water ratio. Under different reservoir and engineering conditions, there exists an optimal solution for the sealing parameters. In this work, it was found that a permeability of 0.001 mD and a thickness of 1 m are optimal.
- (2)
- Heating the wellbore can not only accelerate hydrate dissociation but also prevent the secondary hydrate formation around the wellbore located in the TPL, ensuring a smooth channel for free gas and improving overall productivity. Under different reservoir and engineering conditions, there exists an optimal solution for wellbore heating power. In this work, a thermal power of 100 W/m is optimal, and higher heating power results in lower energy efficiency ratios.
- (3)
- There is a synergistic effect between boundary sealing and wellbore heating. In this work, when using a boundary seal with a permeability of 0.001 mD and a thickness of 1 m, combined with a wellbore heating power of 100 W/m, the optimal balance between high gas recovery rate and economy can be achieved. Compared with the base case, the Vg and Rgw increase to 197.4% and 224.3%, respectively.
Author Contributions
Funding
Data Availability Statement
Conflicts of Interest
References
- Sloan, E. Fundamental principles and applications of natural gas hydrates. Nature 2003, 426, 353–359. [Google Scholar] [CrossRef] [PubMed]
- Boswell, R. Is gas hydrate energy within reach? Science 2009, 325, 957–958. [Google Scholar] [CrossRef] [PubMed]
- Chong, Z.; Yang, S.; Babu, P.; Linga, P.; Li, X. Review of natural gas hydrates as an energy resource: Prospects and challenges. Appl. Energy 2016, 162, 1633–1652. [Google Scholar] [CrossRef]
- Boswell, R.; Collett, T.S. Current perspectives on gas hydrate resources. Energy Environ. Sci. 2011, 4, 1206–1215. [Google Scholar] [CrossRef]
- Yamamoto, K.; Terao, Y.; Fujii, T.; Ikawa, T.; Seki, M.; Matsuzawa, M.; Kanno, T. Operational Overview of the First Offshore Production Test of Methane Hydrates in the Eastern Nankai Trough. In Proceedings of the Offshore Technology Conference, Houston, TX, USA, 5–8 May 2014. [Google Scholar]
- Yamamoto, K.; Wang, X.; Tamaki, M.; Suzuki, K. The second offshore production of methane hydrate in the Nankai Trough and gas production behavior from a heterogeneous methane hydrate reservoir. RSC Adv. 2019, 9, 25987–26013. [Google Scholar] [CrossRef]
- Li, J.; Ye, J.; Qin, X.; Qiu, H.; Wu, N.; Lu, H.; Xie, W.; Lu, J.; Peng, F.; Xu, Z.; et al. The first offshore natural gas hydrate production test in South China Sea. China Geol. 2018, 1, 5–16. [Google Scholar] [CrossRef]
- Ye, J.; Qin, X.; Xie, W.; Lu, H.; Ma, B.; Qiu, H.; Liang, J.; Lu, J.; Kuang, Z.; Lu, C.; et al. The second natural gas hydrate production test in the South China Sea. China Geol. 2020, 3, 197–209. [Google Scholar] [CrossRef]
- Wu, N.; Li, Y.; Wan, Y.; Sun, J.; Huang, L.; Mao, P. Prospect of marine natural gas hydrate stimulation theory and technology system. Nat. Gas Ind. B 2021, 40, 173–187. [Google Scholar] [CrossRef]
- Huang, M.; Wu, L.; Ning, F.; Wang, J.; Dou, X.; Zhang, L.; Liu, T.; Jiang, G. Research progress in natural gas hydrate reservoir stimulation. Nat. Gas Ind. B 2023, 10, 114–129. [Google Scholar] [CrossRef]
- Zhao, E.; Hou, J.; Liu, Y.; Ji, Y.; Liu, W.; Lu, N.; Bai, Y. Enhanced gas production by forming artificial impermeable barriers from unconfined hydrate deposits in Shenhu area of South China sea. Energy 2020, 213, 118826. [Google Scholar] [CrossRef]
- Li, S.; Wu, D.; Wang, X.; Hao, Y. Enhanced gas production from marine hydrate reservoirs by hydraulic fracturing assisted with sealing burdens. Energy 2021, 232, 120889. [Google Scholar] [CrossRef]
- Lv, T.; Pan, J.; Cai, J.; Li, R.; Shen, P. Adaptability of artificial barrier to depressurization production of marine stratified gas hydrate reservoir. Nat. Gas Ind. 2022, 42, 132–140. [Google Scholar]
- Wang, Y.; Zeng, Y.; Zhong, X.; Pan, D.; Chen, C. Investigation into the Effect of Permeable Boundary Sealing on the Behavior of Hydrate Exploitation via Depressurization Combined with Heat Injection. Energies 2024, 17, 5172. [Google Scholar] [CrossRef]
- Nie, S.; Liu, K.; Xu, K.; Zhong, X.; Tang, S.; Song, J.; Zhang, H.; Li, J.; Wang, Y. Numerical study on the stimulation effect of boundary sealing and hot water injection in marine challenging gas hydrate extraction. Sci. Rep. 2024, 14, 15280. [Google Scholar] [CrossRef]
- Guo, W.; Zhong, X.; Chen, C.; Zhang, P.; Liu, Z.; Wang, Y.; Tu, G. Stimulation effect of network fracturing combined with sealing boundaries on the depressurization development of hydrate reservoir. Energy 2024, 302, 131752. [Google Scholar] [CrossRef]
- Qin, F.; Sun, J.; Cao, X.; Mao, P.; Zhang, L.; Lei, G.; Jiang, G.; Ning, F. Numerical simulation on combined production of hydrate and free gas from silty clay reservoir in the South China Sea by depressurization: Formation sealing. Appl. Energy 2025, 377, 124343. [Google Scholar]
- Gu, Y.; Li, S.; Song, Z.; Lu, H.; Xu, C.; Sun, J.; Wang, Y.; Li, X.; Linga, P.; Yin, Z. Analysis on a five-spot wells for enhancing energy recovery from silty natural gas hydrate deposits in the South China Sea. Appl. Energy 2024, 376, 124237. [Google Scholar] [CrossRef]
- Zhang, W.; Liang, J.; Lu, J.; Wei, J.; Su, P.; Fang, Y.; Guo, Y.; Yang, S.; Zang, G. Accumulation features and mechanisms of high saturation natural gas hydrate in shenhu area, northern south china sea. Pet. Explor. Dev. 2017, 44, 708–719. [Google Scholar] [CrossRef]
- Moridis, G.; Collett, T.; Pooladi-Darvish, M.; Hancock, S.; Santamarina, C.; Boswell, R.; Kneafsey, T.; Rutqvist, J.; Kowalsky, M.; Reagan, M.; et al. Challenges, uncertainties, and issues facing gas production from gas-hydrate deposits. SPE Reserv. Eval. Eng. 2011, 14, 76–112. [Google Scholar] [CrossRef]
- Hao, Y.; Yang, F.; Wang, J.; Fan, M.; Li, S.; Yang, S.; Wang, C.; Xiao, X. Dynamic analysis of exploitation of different types of multilateral wells of a hydrate reservoir in the South China sea. Energy Fuels 2022, 36, 6083–6095. [Google Scholar] [CrossRef]
- Moridis, G.; Kowalsky, M.; Pruess, K. TOUGH+ Hydrate V1.0 User’s Manual; Report LBNL-0149E; Lawrence Berkeley National Laboratory: Berkeley, CA, USA, 2008. [Google Scholar]
- Su, Z.; Moridis, G.; Zhang, K.; Wu, N. A huff-and-puff production of gas hydrate deposits in Shenhu area of South China Sea through a vertical well. J. Pet. Sci. Eng. 2012, 86–87, 54–61. [Google Scholar] [CrossRef]
- Yin, Z.; Moridis, G.; Chong, Z.; Linga, P. Effectiveness of multi-stage cooling processes in improving the CH4-hydrate saturation uniformity in sandy laboratory samples. Appl. Energy 2019, 250, 729–747. [Google Scholar] [CrossRef]
- Zhang, K.; Moridis, G.; Wu, Y.; Pruess, K. A domain decomposition approach for large-scale simulations of flow processes in hydrate-bearing geologic media. In Proceedings of the 6th International Conference on Gas Hydrates, Vancouver, BC, Canada, 6–10 July 2008. [Google Scholar]
- Kowalsky, M.; Moridis, G. Comparison of kinetic and equilibrium reaction models in simulating gas hydrate behavior in porous media. Energy Convers. Manag. 2007, 48, 1850–1863. [Google Scholar] [CrossRef]
- Yu, T.; Guan, G.; Wang, D.; Song, Y.; Abudula, A. Numerical investigation on the long-term gas production behavior at the 2017 Shenhu methane hydrate production-site. Appl. Energy 2021, 285, 116466. [Google Scholar] [CrossRef]
- Sun, J.; Zhang, L.; Ning, F.; Lei, H.; Liu, T.; Hu, G.; Lu, H.; Lu, J.; Liu, C.; Jiang, G.; et al. Production potential and stability of hydrate-bearing sediments at the site GMGS3-W19 in the South China Sea: A preliminary feasibility study. Mar. Pet. Geol. 2017, 86, 447–473. [Google Scholar] [CrossRef]
- Yuan, Y.; Xu, T.; Xin, X.; Xia, Y. Multiphase Flow Behavior of Layered Methane Hydrate Reservoir Induced by Gas Production. Geofluids 2017, 2017, 7851031. [Google Scholar] [CrossRef]
- Sun, J.; Ning, F.; Li, S.; Zhang, K.; Liu, T.; Zhang, L.; Jiang, G.; Wu, N. Numerical simulation of gas production from hydrate-bearing sediments in the Shenhu area by depressurising: The effect of burden permeability. J. Unconv. Oil Gas Resour. 2015, 12, 23–33. [Google Scholar] [CrossRef]
- Feng, Y.; Chen, L.; Suzuki, A.; Kogawa, T.; Okajima, J.; Komiya, A.; Maruyama, S. Enhancement of gas production from methane hydrate reservoirs by the combination of hydraulic fracturing and depressurization method. Energy Convers. Manag. 2019, 184, 194–204. [Google Scholar] [CrossRef]
- Sun, Y.; Ma, X.; Guo, W.; Jia, R.; Li, B. Numerical simulation of the short- and long-term production behavior of the first offshore gas hydrate production test in the South China Sea. J. Pet. Sci. Eng. 2019, 181, 106196. [Google Scholar] [CrossRef]
- Ma, X.; Sun, Y.; Liu, B.; Guo, W.; Jia, R.; Li, B.; Li, S. Numerical study of depressurization and hot water injection for gas hydrate production in China’s first offshore test site. J. Nat. Gas Sci. Eng. 2020, 83, 103530. [Google Scholar] [CrossRef]
- Cao, X.; Sun, J.; Qin, F.; Ning, F.; Mao, P.; Gu, Y.; Li, Y.; Zhang, H.; Yu, Y.; Wu, N. Numerical analysis on gas production performance by using a multilateral well system at the first offshore hydrate production test site in the Shenhu area. Energy 2023, 270, 126690. [Google Scholar] [CrossRef]
- Qin, X.; Liang, Q.; Yang, L.; Qiu, H.; Xie, W.; Liang, J.; Lu, J.; Lu, C.; Lu, H.; Ma, B.; et al. The response of temperature and pressure of hydrate reservoirs in the first gas hydrate production test in South China Sea. Appl. Energy 2020, 278, 115649. [Google Scholar] [CrossRef]
- Zhu, D.; Peng, S.; Zhao, S.; Wei, M.; Bai, B. Comprehensive review of sealant materials for leakage remediation technology in geological CO2 capture and storage process. Energy Fuels 2021, 35, 4711–4742. [Google Scholar] [CrossRef]
- Sun, Y.; Cao, B.; Zhong, J.; Kan, J.; Li, R.; Niu, J.; Chen, H.; Chen, G.; Wu, G.; Sun, C.; et al. Gas production from unsealed hydrate-bearing sediments after reservoir reformation in a large-scale simulator. Fuel 2022, 308, 121957. [Google Scholar] [CrossRef]
- Sun, Z.; Li, N.; Jia, S.; Cui, J.; Yuan, Q.; Sun, C.; Chen, G. A novel method to enhance methane hydrate exploitation efficiency via forming impermeable overlying CO2 hydrate cap. Appl. Energy 2019, 240, 842–850. [Google Scholar] [CrossRef]
- Dumitrache, L.; Nistor, I.; Suditu, S.; Badea, A. Simulating Salt Precipitation in Dry Gas Reservoirs Using ECLIPSE Thermal CO2STORE. Rev. Chim. 2018, 69, 251–254. [Google Scholar] [CrossRef]












| Cases | Boundary Sealing | Sealing Permeability (mD) | Sealing Thickness (m) | Heating Power (W/m) | Pressure Difference (MPa) |
|---|---|---|---|---|---|
| Case 1 | No | - | - | - | 4.0 |
| Case 2 | Yes | 0.0001 | 1 | - | 4.0 |
| Case 3 | Yes | 0.001 | 1 | - | 4.0 |
| Case 4 | Yes | 0.01 | 1 | - | 4.0 |
| Case 5 | Yes | 0.001 | 2 | - | 4.0 |
| Case 6 | Yes | 0.001 | 1 | 100 | 4.0 |
| Case 7 | Yes | 0.001 | 1 | 200 | 4.0 |
| Case 8 | Yes | 0.001 | 1 | 300 | 4.0 |
| Parameter Type | Parameters | Value and Unit |
|---|---|---|
| Formation thickness | OB/UB | 30 m |
| GHBL | 35 m | |
| TPL | 15 m | |
| FGL | 27 m | |
| Initial permeability | OB/UB | 2.0 mD |
| GHBL | 2.9 mD | |
| TPL | 1.5 mD | |
| FGL | 7.4 mD | |
| Porosity | OB/UB | 0.30 |
| GHBL | 0.35 | |
| TPL | 0.33 | |
| FGL | 0.32 | |
| Initial saturation | Hydrate saturation of GHBL and TPL | cited from logging data |
| Free gas saturation of FGL | cited from logging data | |
| Multiphase flow | Capillary pressure model [32,33,34] | , |
| Relative permeability model [32,33,34] | KrA = [(SA − SirA)/(1 − SirA)]nA, KrG = [(SG − SirG)/(1 − SirA)]nG | |
| SmxA (Maximum aqueous saturation) | 1 | |
| λ (Capillary pressure exponent) | 0.45 | |
| P0 (Capillary pressure reference value) | 104 Pa | |
| nA (Aqueous relative permeability exponent) | 3.5 | |
| nG (Gas relative permeability exponent) | 2.5 | |
| SirG (Gas irreducible saturation) | 0.03 | |
| SirA (Aqueous irreducible saturation) | 0.30 | |
| Production well | Production pressure | 4.0 MPa |
| Wellbore radius | 0.1 m | |
| Others | Geothermal gradient | 43.653 °C/km |
| Grain specific heat | 1000 J·kg−1·K−1 | |
| Dry thermal conductivity | 1.0 W·m−1·K−1 | |
| Wet thermal conductivity | 3.1 W·m−1·K−1 | |
| Grain density | 2600 kg/m3 | |
| Salinity | 3.5% | |
| Gas composition | 100% CH4 | |
| Location of sealed burdens | Top of GHBL, Bottom of FGL |
Disclaimer/Publisher’s Note: The statements, opinions and data contained in all publications are solely those of the individual author(s) and contributor(s) and not of MDPI and/or the editor(s). MDPI and/or the editor(s) disclaim responsibility for any injury to people or property resulting from any ideas, methods, instructions or products referred to in the content. |
© 2026 by the authors. Licensee MDPI, Basel, Switzerland. This article is an open access article distributed under the terms and conditions of the Creative Commons Attribution (CC BY) license.
Share and Cite
Wang, J.; Sha, Z.; Li, Z.; Wu, J.; Wan, T. Numerical Study of the Gas Production Enhancement Effect of Boundary Sealing and Wellbore Heating for Class 1 Hydrate Reservoir Depressurization with Five-Spot Wells. J. Mar. Sci. Eng. 2026, 14, 134. https://doi.org/10.3390/jmse14020134
Wang J, Sha Z, Li Z, Wu J, Wan T. Numerical Study of the Gas Production Enhancement Effect of Boundary Sealing and Wellbore Heating for Class 1 Hydrate Reservoir Depressurization with Five-Spot Wells. Journal of Marine Science and Engineering. 2026; 14(2):134. https://doi.org/10.3390/jmse14020134
Chicago/Turabian StyleWang, Jingli, Zhibin Sha, Zhanzhao Li, Jianwen Wu, and Tinghui Wan. 2026. "Numerical Study of the Gas Production Enhancement Effect of Boundary Sealing and Wellbore Heating for Class 1 Hydrate Reservoir Depressurization with Five-Spot Wells" Journal of Marine Science and Engineering 14, no. 2: 134. https://doi.org/10.3390/jmse14020134
APA StyleWang, J., Sha, Z., Li, Z., Wu, J., & Wan, T. (2026). Numerical Study of the Gas Production Enhancement Effect of Boundary Sealing and Wellbore Heating for Class 1 Hydrate Reservoir Depressurization with Five-Spot Wells. Journal of Marine Science and Engineering, 14(2), 134. https://doi.org/10.3390/jmse14020134

