Abstract
In recent years, the production of tight reservoirs with waterflooding in China has entered a progressively declining phase with unstable oil rate and higher water cut, rising challenges to any further enhancement of oil recovery. Targeting the high water cut and complex pore structure characteristics typical of these reservoirs, this work evaluates the reservoir compatibility of a microspheres-alternating-nanoemulsion flooding process and optimizes its injection strategy. Representative reservoir scenarios were first established; laser-particle-size analyzers and other laboratory instruments were then employed to quantify formulation-reservoir compatibility. A multiscale numerical study has been performed with CMG-STARS v.2022. The core-scale simulations systematically examined the influence of key factors on displacement efficiency improvement and water cut reduction, matched with the experimental results of core flooding tests. The combined experimental/numerical workflow furnishes a theoretical framework for optimizing the injection scheme. Beyond assessing formulation compatibility, the study delivers optimized injection parameters and strategies for microspheres-alternating-nanoemulsion flooding, providing both theoretical analysis and practical technology reference for improving oil recovery in tight reservoirs with higher water cut. Specifically, when the microsphere concentration increased from 0.1% to 0.3%, the minimum water cut was reduced by approximately 5%, while further concentration increases showed no significant additional impact on water content. Compared with water flooding, the relative permeability curve of the microspheres-alternating-nanoemulsion flooding system shifted entirely to the right. Numerical simulation of representative well groups revealed that a slug design with a microsphere-to-nanoemulsion ratio of 1:3 yielded the optimal enhanced oil recovery effect, and after ten years of production, the recovery factor increased by 0.46%.
1. Introduction
The strategic importance of energy to national security and economic development is well recognized. In China, however, the effectiveness of conventional waterflooding in mature oilfields has steadily declined and the development of tight oil reservoirs is challenging [1,2]: more than 60% of fields have entered a high water cut stage (water cut > 60%), and over 20% have already produced more than 90% of their technically recoverable reserves [3,4,5,6,7]. Consequently, further enhancing oil recovery has become increasingly challenging. Decades of water injection have exacerbated reservoir heterogeneity and induced severe channeling [8], leading to rapid increases in water cut in producing wells. Identifying reliable approaches to suppress excessive water production and utilize the remaining oil in these long-producing reservoirs has therefore become a critical issue for the reservoir engineers.
Traditional waterflooding often suffers from low microscopic displacement efficiency and inadequate volumetric sweep, problems that become more pronounced in highly heterogeneous and high water cut reservoirs. Microspheres-alternating-nanoemulsion flooding, which combines nanoscale emulsions with pre-formed particle gels (microspheres), has emerged as a promising post-polymer flooding option. Nanoparticles can generate ultra-low interfacial tension (IFT < 10−2 mN·m−1), while microspheres provide deep in-depth conformance control. When acting together, these components enable a “plug-and-displace” mechanism capable of enlarging the swept zone, enhancing reservoir utilization, and prolonging the economic life of mature fields.
Despite this potential, field applying performance is highly sensitive to reservoir compatibility. In complex pore-throat systems, microspheres may not match the throat size distribution [9,10,11,12,13,14], leading to insufficient plugging strength and limited displacement efficiency when used alone. In contrast, nanoemulsions [15,16,17,18,19,20,21], which are essentially advanced surfactant formulations, exhibit strong displacement capability but minimal plugging and require excellent compatibility with formation brine to avoid pore-throat blockage or phase instability. Most published studies still investigate emulsions and microspheres independently, leaving the synergistic mechanisms and incremental recovery potential of the integrated heterogeneous composite system insufficiently characterized.
Introducing functional microspheres and nanoemulsion surfactants together enables a highly effective hybrid enhanced oil recovery (EOR) process [22]. Nanoemulsions with droplet sizes < 100 nm can generate ultra-low IFT, swell into the solubilized oil phase, and reduce injection pressure, thereby detaching residual oil from pore walls during propagation. Microspheres, which initially measure 1–4 µm, can migrate deep into the reservoir matrix and subsequently hydrate and expand to as much as ten times their original size. Under local pressure gradients, the elastic gel particles deform, expel residual oil from dead-end pores, and divert the injected fluid into previously unswept regions. Despite these advantages, an integrated suitability criterion and a rigorous optimization workflow for the heterogeneous composite system have yet to be established, resulting in considerable uncertainty for field-scale application.
Economically, microspheres are better deployed as a front-end conformance control slug in the composite injection strategy. From a mechanistic perspective, microspheres demonstrate superior conformance control performance in highly heterogeneous reservoirs, whereas nanoemulsion exhibits more stringent operational requirements. While microspheres excel in profile modification and plugging, their effectiveness is contingent upon pore-throat size compatibility. Effective plugging can only be achieved when the microsphere dimensions are appropriately matched with the corresponding reservoir pore-throat sizes.
To address the challenges of high water cut and low recovery in mature reservoirs, this study integrates the profile control capability of microspheres with the displacement efficiency of nanoemulsions. We systematically evaluate the performance of a next-generation Microsphere 2.0 formulation and a custom-designed nanoemulsion under high water cut and highly heterogeneous conditions. Using a combination of core flood tests, rheological measurements, interfacial tension characterization, and dynamic plugging experiments, together with compositional numerical simulation, we optimize slug size, chemical concentration, injection rate, and treatment sequencing for the composite system. The resulting “Microsphere 2.0 + nanoemulsion” hybrid technology provides a feasible field EOR strategy for sustaining and improving production in mature Chinese oilfields.
2. Materials and Methods
2.1. Laboratory Experiments
2.1.1. Study on Basic Physicochemical Properties
The microsphere and nanoemulsion samples used in the experiments were NS2.0 and NE, respectively, which were provided by the Xi’an Changqing Chemical Group Industry Co., Ltd (Xi’an, China). Fixed-concentration Microsphere 2.0 and nanoemulsion solutions were prepared, and representative reservoir conditions were reproduced to evaluate pore-throat compatibility, long-term stability, salt tolerance, interfacial tension, formation-water compatibility, rheological behavior, and injectivity. By assessing system performance across a range of salinity, temperature, and permeability conditions, the optimal operating envelope that maximizes both deep profile control and ultra-low-IFT displacement was defined, thereby enhancing the reservoir applicability of the microspheres-alternating-nanoemulsion flooding process.
- Dispersion stability
Good dispersion stability minimizes the loss of effective chemical concentration caused by sedimentation during preparation, injection, and in situ transport, thereby improving plugging performance and reducing operational cost. The bottle-test method was used to visually assess the dispersion stability of the nanoemulsion under target reservoir conditions. The corresponding reservoir parameters are listed in Table 1.
Table 1.
Reservoir conditions.
First, 60 mL of synthetic formation water representative of Layer C2 formation (salinity 36,794 mg L−1) was prepared. Microsphere and nanoemulsion stock solutions were then diluted with this synthetic brine to nominal concentrations of 0.1 wt.%, 0.2 wt.%, and 0.4 wt.%. The mixtures were allowed to stand for 2 h and initial observations were recorded. Next, 100 mL of synthetic brine corresponding to Layer C1 formation (salinity 81,658 mg L−1) and another 100 mL of Layer C2 brine (36,794 mg L−1) were prepared. Using deionized water, Layer C1 brine and Layer C2 brine as diluents, 0.2 wt.% microsphere and nanoemulsion solutions were formulated, giving a total of six test samples. All six samples were subsequently placed in a dispersion-stability analyzer and subjected to quantitative stability evaluation under reservoir-relevant conditions.
- 2.
- Thermal and salinity tolerance
The concentrations of individual salt ions were adjusted to prepare nanoemulsion and Microsphere-2.0 solutions whose salinities matched those of deionized water and the synthetic brines of the Layer C1 and Layer C2 reservoirs. The solutions were then maintained at 70 °C for 3, 5, and 7 days, during which their morphology was recorded and the mean particle size was measured to evaluate thermal and salt tolerance. The ionic compositions of the Layer C1 and Layer C2 formation waters are listed in Table 2.
Table 2.
Formation water properties.
- 3.
- Injectivity
Core-flood experiments were performed to evaluate the injectivity, migration and plugging behavior, and erosion resistance of the nanoemulsion/Microsphere-2.0 system. The resistance factor, residual resistance factor, and plugging efficiency were determined under various test conditions to quantify the migration and plugging performance of the microspheres. The resistance factor, residual resistance factor, and plugging efficiency were calculated using Equations (1)–(3):
where is the resistance factor, is the injection pressure during microsphere flooding, and is the injection pressure during initial water flooding.
where is the residual resistance factor, is the injection pressure during subsequent water flooding, and is the injection pressure during initial water flooding.
where is the plugging efficiency, is the residual resistance factor, is the injection pressure during subsequent water flooding, and is the injection pressure during initial water flooding.
The cores used in the tests were taken from the target reservoir; their basic properties are summarized in Table 3 and the core-flood workflow is shown in Figure 1.
Table 3.
Core-flood parameters.
Figure 1.
Core-flood experimental flow chart.
- 4.
- Microsphere rheology
The rheology of microsphere solutions clearly illustrates how microstructural features—such as particle concentration, size, and interparticle interactions—govern macroscopic flow behavior, including shear-thinning, yield stress, and elasticity. A key objective is to establish the relationship between this microstructure and the resulting bulk rheological response. During injection through pore throats, the microsphere slurry is exposed to high shear, which can modify its in situ viscosity. To quantify this effect, the Microsphere-2.0 system was aged under reservoir conditions for 0 and 7 days, after which its viscosity was measured as a function of shear rate to evaluate its rheological performance.
- 5.
- Microsphere-pore-throat compatibility
Pore-throat compatibility describes the degree to which the microsphere diameter matches the pore and throat sizes of the target formation. When the spheres are significantly larger than the throats, they accumulate and bridge near the inlet; when they are much smaller, they move through the pore network with little resistance. Optimum plugging occurs when sphere size is slightly larger than throat diameter, allowing elastic deformation and stable arching that generates high flow resistance for deep diversion or pinpoint shut-off-critical for improving oil recovery rate.
Microsphere flow regimes are therefore classified as (i) complete plugging—spheres accumulate at the injection face and fail to penetrate; (ii) effective plugging—local, strong, or weak, all enabling both propagation and resistance; and (iii) free passage—spheres too small to block. The core-flooding apparatus for evaluating this compatibility is shown in Figure 2.
Figure 2.
Core-flooding apparatus.
A long-core displacement test was conducted. The pressure-drop profiles along the inlet, middle, and outlet thirds of the core were used to classify the macroscopic microsphere-to-throat compatibility and to calculate a pore-throat matching coefficient. The matching coefficient is defined by Equation (4) and the average pore-throat diameter by Equation (5).
where is the pore-throat matching coefficient, the median microsphere diameter (μm), and the mean pore-throat diameter (μm) averaged for the heterogeneous reservoir.
where is the average pore-throat diameter (μm), the water-measured permeability (μm2), and the mean porosity of the core.
- 6.
- Nanoemulsion interfacial tension
Interfacial tension is the force acting at the boundary between two immiscible fluids, such as oil and water, and arises from the imbalance of cohesive interactions across the interface. Molecules within the interfacial layer experience a stronger attraction from their own bulk phase than from the adjoining phase, causing the interface to behave like a stretched elastic membrane that tends to contract to the smallest possible area in order to minimize the system’s free energy. The primary oil-displacement mechanism of nanoemulsions is to reduce this oil–water interfacial tension and thereby produce residual oil. Accordingly, the interfacial tension of the nanoemulsion was measured under various conditions to allow evaluation and comparison of its interfacial-tension performance.
2.1.2. Core-Flooding Experiment
Core-flooding is a fundamental laboratory technique in petroleum engineering used to assess fluid-flow behavior and recovery performance under real reservoir conditions. A cylindrical core plug taken from the target pay zone is mounted in a core holder and subjected to formation-relevant confining stress and temperature, after which fluids such as water, chemical agents, or gas are injected in a prescribed sequence. Differential pressure across the core is continuously recorded and the produced effluent is collected for compositional and volumetric analysis. These measurements enable quantitative evaluation of displacement efficiency, flow resistance, and rock–fluid interactions for different recovery processes (e.g., waterflooding and chemical flooding), thereby providing essential parameters for optimizing field-scale development strategies.
The set-up used in this study consists of an integrated platform, injection pump, piston vessels, core holder, confining-pressure pump, control/data system, and pressure transducers; the single-tube core-flood schematic is shown in Figure 3. Two piston vessels are first charged with microsphere solution and nanoemulsion, respectively; the core is loaded into the holder, sealed, and fitted with upstream and downstream pressure taps. The confining pump is connected to the sleeve; the injection pump is linked to the two vessels via a three-way valve and then to the core inlet; the outlet line passes through a back-pressure regulator and discharges into an open collector. Pressure signals are fed to the control system for real-time display.
Figure 3.
Single-core flooding set-up.
The experimental apparatus comprises an integrated core-flooding platform, injection pump, piston accumulators, core holder, confining-pressure pump, data-acquisition system, and pressure transducers. A schematic of single core-flooding device is shown in Figure 3. Microsphere solution and nanoemulsion are loaded separately into two piston vessels. The core plug is placed in the holder, sealed, and equipped with upstream and downstream pressure taps. The confining-pressure pump is connected to the sleeve, while the injection pump is routed through a three-way valve to either vessel and then to the core inlet. The outlet line passes through a back-pressure regulator and discharges into an open collector. All the pressure signals are fed to the control system for real-time display.
When investigating heterogeneity parameters, a dual-core flooding apparatus is employed. Its main configuration mirrors the single-core device, except that the injection pump feeds several piston vessels connected to a six-port valve, which in turn links via a three-way junction to two core holders, each instrumented with upstream and downstream pressure transducers for real-time pressure monitoring, as illustrated in Figure 4.
Figure 4.
Dual-core flooding apparatus.
In this study, core-flooding experiments were performed at both the core scale and the pore scale to optimize the injection parameters of the microspheres-alternating-nanoemulsion flooding system by systematically varying a set of key variables. At the core scale, single-slug tests were used to evaluate the effects of core petrophysical properties, injection rate, injection timing, slug size, and reservoir heterogeneity, whereas alternating-slug tests investigated the optimal volumetric ratio between microsphere and nanoemulsion slugs. At the pore scale, the analyses center on pore-throat topology, injection timing, and injection strategy. The selected variables for the two scales are listed in Table 4.
Table 4.
Key variables at different scales.
2.2. Numerical Simulation
2.2.1. Core Scale
While the commercial simulator CMG-STARS can model chemical floods involving complex rheology and adsorption, its default formulation neglects the dynamic feedback between relative-permeability curves and the evolving saturation history of distinct chemicals, making it inadequate for describing the diverting/plugging process of heterogeneous composite floods in low-permeability and tight formations under varying agent combinations, water saturations, and injection-production strategies.
2.2.2. Geological Factor Analysis
A sensitivity analysis is conducted to identify the geological factors affecting the performance of CO2 flooding, with a focus on reservoir tightness, vertical heterogeneity, horizontal heterogeneity, and fracture characteristics. By defining a range of variable conditions, the study systematically investigates how these geological factors impact CO2 foam stability, sweep efficiency, and oil recovery. The analysis elucidates the mechanisms through which key geological parameters influence gas channeling control and provides essential geological insights for optimizing foam injection strategies.
By upgrading the reservoir-numerical model we eliminate the local-equilibrium assumption that cannot capture the slow-swelling or deactivation kinetics of microspheres, and we overcome the inability of core-scale experiments to quantify the complex flow of heterogeneous chemical blends and their spatial-temporal action footprint; integrating the micro-scale transport mechanisms of the composite system, a core-scale numerical model is built, in which absolute permeability, porosity, initial oil saturation, injection rate, chemical type, injection timing, and slug size are treated as history-matching variables, with the resulting grid shown in Figure 5.
Figure 5.
Core-scale numerical model.
2.2.3. Well-Pattern Scale
Based on the characteristics of the target reservoir block, a quarter of a five-spot well-pattern homogeneous reservoir model was built (Figure 6). This model was used to evaluate how injection production strategies, including fluid rate, chemical timing, slug size, concentration, and slug design affect the diversion and plugging performance of the heterogeneous composite flood. The base plan starts with waterflooding until the water cut of producing wells reaches 90%, then switches to a 0.3 PV heterogeneous composite slug, followed by resumed water injection; water-control and oil-gain responses under alternative parameters are compared.
Figure 6.
Well-pattern-scale homogeneous reservoir model.
2.2.4. Field Case
The target reservoir block was put on stream in 2005 and water-flooded the next year. It has 12.879 × 106 t of developed reserves and 2.16 × 106 t of recoverable oil, developed under a diamond inverted-nine pattern. The pay zones are ultra-low-permeability Layer C1 and Layer C2 feldspathic lithic sandstones with 9.3% average porosity and 1.4 mD permeability; at 70.8 °C and 17.69 MPa original conditions the rock is weakly oil-wet, characterized by small pores and micro-throats and moderate-to-weak heterogeneity. Using the full-field model shown in Figure 7, several representative well groups were selected for reservoir-scale numerical simulation.
Figure 7.
Full-field reservoir numerical model.
3. Results and Discussion
3.1. Analysis of Experimental Data
3.1.1. Fundamental Physiochemical Properties
- Dispersion stability
After storage under Layer C2 reservoir conditions for the designated periods (Figure 8), all nanoemulsion formulations remained completely homogeneous, demonstrating excellent dispersion stability. Microsphere-2.0 systems also appeared uniform at 0.1% and 0.2% concentrations. At 0.4% a thin white oil film formed on top, but no bulk phase separation was observed; the overall stability is still rated as good.
Figure 8.
Macroscopic observation of dispersion stability.
Stability tests on the six microsphere and nanoemulsion samples under various conditions gave the Turbiscan Stability Index (TSI) shown in Figure 9. A higher TSI indicates poorer dispersion stability. Under reservoir conditions the nanoemulsion keeps TSI < 1, reflecting good stability, whereas the TSI of Microsphere-2.0 system rises steeply with increasing salinity, signaling deteriorating stability. Thus, high formation brine salinity compromises the stability of the microsphere system.
Figure 9.
Stability index under different reservoir conditions. (a) Microspheres 2.0; (b) Nanoemulsion.
- 2.
- Thermal and salinity tolerance
Six samples of the microsphere and nanoemulsion systems, each prepared at different salinities, were aged in a constant-temperature oven for varying periods (Figure 10). The microsphere samples were provided by Xi’an Changqing Chemical Industry Group Co., Ltd. The supplier conducted a pilot test of microsphere samples and provided us with some of the test parameters. The results indicated that approximately 7 days represent a key inflection point when the delayed swelling effect reaches its peak, hence the related research was designed around this cycle. The nanoemulsion remained uniformly dispersed at every salinity with no visible aggregation. Initially, the Microsphere-2.0 system also appeared well dispersed; however, after 5 d the high-salinity (Layer C1: 81 658 mg L−1) sample showed slight flocculation, and by 7 d it had flocculated and settled.
Figure 10.
Aging morphology of microspheres and nanoemulsion. (a) Nanoemulsion; (b) Microspheres 2.0.
The particle-size distributions of the nanoemulsion in the different systems were measured with a laser particle-size analyzer; the resulting plots are given in Figure 11.
Figure 11.
Particle-size distribution of nanoemulsion in different systems. (a) Microspheres; (b) Layer C1; (c) Layer C2.
Figure 11 shows that after 7 d the mean droplet size in deionized water is approximately 360 nm, which satisfies the nanoemulsion specification. As brine salinity increases, salt ions compress the electrical double layer around the droplets, weaken electrostatic repulsion, and promote closer approach and aggregation, so both the span and the peak of the size distribution shift to larger values.
- 3.
- Injectivity
Core-flood tests were used to examine injectivity, migration/plugging capacity, and erosion resistance of the nanoemulsion/Microsphere-2.0 system; the resulting injection-pressure versus pore-volume plots at different permeabilities are given in Figure 12. The data show that the match between microsphere size distribution and target-reservoir pore structure governs field performance as follows: spheres that are too small are simply produced without building resistance, whereas spheres that are too large cannot enter the formation and accumulate near the wellbore, preventing deep penetration. Short-core floods reveal that when core permeability is less than 50 mD, injection pressure rises sharply as the microsphere suspension is pumped, indicating poor size compatibility between the relatively large microspheres and the core throats.
Figure 12.
Injection pressure versus injected volume for systems of different permeability. (a) 3.6 mD; (b) 12.8 mD; (c) 45.7 mD.
- 4.
- Microsphere rheology
The Microsphere-2.0 system was aged under reservoir conditions for 0 d and 7 d, after which its viscosity was measured as a function of shear rate to characterize its rheological behavior. As shown in Figure 13, high pressure and high temperature rheometer data indicate that the apparent viscosity decreases monotonically with increasing shear rate across the entire shear range. This behavior contributes to good injectivity near the wellbore and promotes deep in-depth diversion. The increase in shear stress induces only limited intraparticle deformation and alignment, resulting in a typical shear thinning response. The apparent viscosity profiles under Layer C1 and Layer C2 brine conditions are essentially identical.
Figure 13.
Apparent viscosity versus shear rate.
- 5.
- Microsphere-pore-throat compatibility
Core-flood tests on cores of 200–2000 mD reveal four pore-throat compatibility regimes, as shown in Figure 14 and Table 5:
Figure 14.
Four plugging-type profiles. (a) 287.9 mD; (b) 553.7 mD; (c) 1204.8 mD (d) 2050.4 mD.
Table 5.
Resistance factor, residual resistance factor, and plugging efficiency for cores of different permeability (0.2% Microsphere2.0).
① at ~200 mD, ΔP1 reaches 0.45 MPa after 8 PV while ΔP2,3 ≈ 0, indicating face plugging caused by oversized microspheres bridging at the inlet.
② at ~550 mD, both ΔP1 and ΔP2 rise, reflecting local plugging as the particles enter the core and generate internal flow resistance.
③ at ~1200 mD, ΔP2,3 increase later but to higher values, characteristic of strong internal plugging.
④ at ~2000 mD, ΔP2,3 rise early and subsequent water-drive collapses ΔP1 as most spheres are flushed toward the outlet, corresponding to a weak-plugging regime.
- 6.
- Nanoemulsion interfacial tension
Interfacial-tension measurements (0.2% nanoemulsion, various reservoir brines) are summarized in Figure 15. The formulation lowers IFT to 1.42 mN m−1 (Layer C1) and 3.76 mN m−1 (Layer C2). Higher salinity increases water-phase polarity and reduces its lipophilicity, which gives the surfactant a better hydrophilic-lipophilic balance at the oil–water interface and thus a lower IFT.
Figure 15.
Dynamic oil–water interfacial tension profiles.
3.1.2. Core-Flood Experimental Study
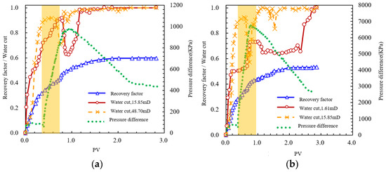
- Absolute permeability
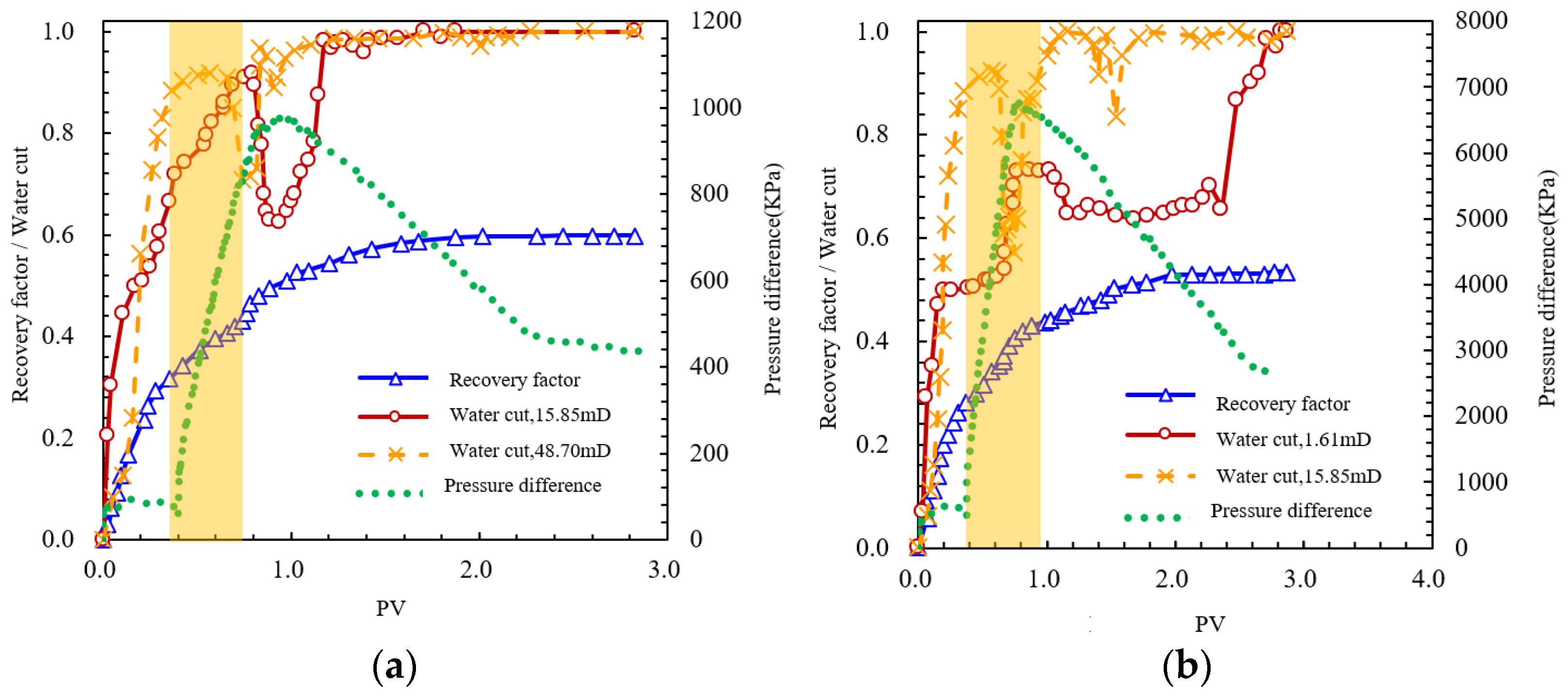
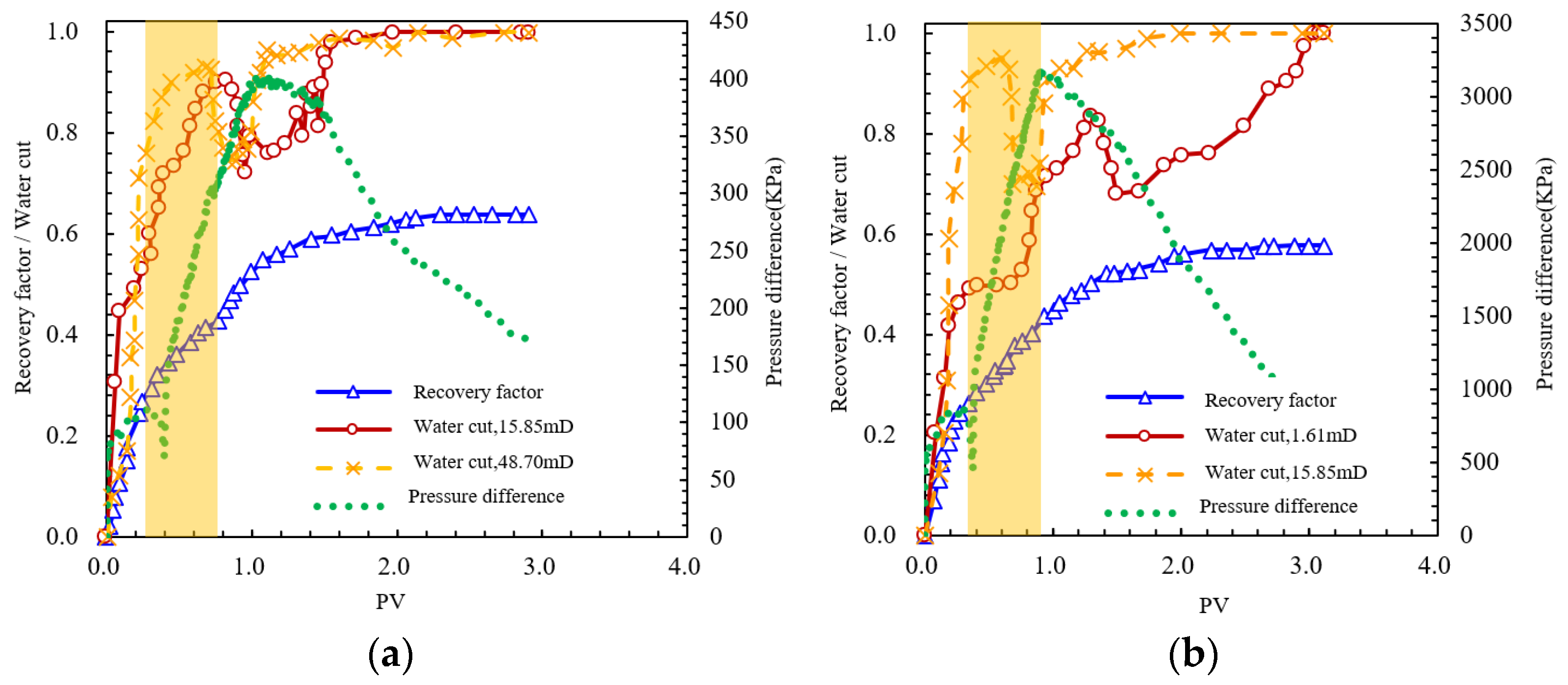
Core-scale displacement tests were conducted at three absolute permeabilities, as shown in Table 6. The resulting oil recovery, water cut, and injection-production differential pressure curves are given in Figure 16, Figure 17 and Figure 18. All cores received a 0.3 PV microsphere slug when water cut reached approximately 90%. After chemical injection, a secondary oil-recovery increment is evident in every case, and this increment is largest for the lowest permeability core.
Table 6.
Experimental parameters for different permeabilities.
Figure 16.
Core-flooding test data after chemical treatment, with a permeability of 48.70 mD (the yellow zone indicates the chemical injection period).
Figure 17.
Core-flooding test data after chemical treatment, with a permeability of 15.85 mD (the yellow zone indicates the chemical injection period).
Figure 18.
Core-flooding test data after chemical treatment, with a permeability of 1.61 mD (the yellow zone indicates the chemical injection period).
- 2.
- Fluid injection rate
The injection-rate test matrix for microsphere and nanoemulsion slugs is listed in Table 7; the corresponding core-flood curves are plotted in Figure 19, Figure 20, Figure 21, Figure 22, Figure 23 and Figure 24. At any given slug size, the final oil recovery obtained with Microsphere-2.0 in the 48.70-mD core is 8–10% higher than that with nanoemulsion in the 15.85-mD core, indicating a greater advantage of the microsphere system under higher-permeability conditions.
Table 7.
Experimental parameters for injection rates.
Figure 19.
Core-flooding test data for microsphere treatment at a chemical injection rate of 0.1 cm3/min (the yellow zone indicates the chemical injection period).
Figure 20.
Core-flooding test data for microsphere treatment at a chemical injection rate of 0.2 cm3/min (the yellow zone indicates the chemical injection period).
Figure 21.
Core-flooding test data for microsphere treatment at a chemical injection rate of 0.4 cm3/min (the yellow zone indicates the chemical injection period).
Figure 22.
Core-flooding test data for nanoemulsion treatment at a chemical injection rate of 0.1 cm3/min (the yellow zone indicates the chemical injection period).
Figure 23.
Core-flooding test data for nanoemulsion treatment at a chemical injection rate of 0.2 cm3/min (the yellow zone indicates the chemical injection period).
Figure 24.
Core-flooding test data for nanoemulsion treatment at a chemical injection rate of 0.4 cm3/min (the yellow zone indicates the chemical injection period).
- 3.
- Chemical-slug injection timing
The injection-timing test matrix for microsphere and nanoemulsion slugs is listed in Table 8; the corresponding core-flood curves are plotted in Figure 25, Figure 26, Figure 27, Figure 28, Figure 29 and Figure 30. At the same 0.3 PV slug size, final oil recovery with Microsphere-2.0 in the 48.70-mD core injected before 70% water cut is more than 10% higher than that with nanoemulsion in the 15.85-mD core, indicating that high-permeability formations respond more sensitively to microsphere treatment.
Table 8.
Experimental parameters for injection timing.
Figure 25.
Core-flooding test data for microsphere treatment, with chemical injection initiated at 0.5 water flooding face (the yellow zone indicates the chemical injection period).
Figure 26.
Core-flooding test data for microsphere treatment, with chemical injection initiated at 0.7 water flooding face (the yellow zone indicates the chemical injection period).
Figure 27.
Core-flooding test data for microsphere treatment, with chemical injection initiated at 0.9 water flooding face (the yellow zone indicates the chemical injection period).
Figure 28.
Core-flooding test data for nanoemulsion treatment, with chemical injection initiated at 0.5 water flooding face (the yellow zone indicates the chemical injection period).
Figure 29.
Core-flooding test data for nanoemulsion treatment, with chemical injection initiated at 0.7 water flooding face (the yellow zone indicates the chemical injection period).
Figure 30.
Core-flooding test for nanoemulsion treatment, with chemical injection initiated at 0.9 water flooding face (the yellow zone indicates the chemical injection period).
- 4.
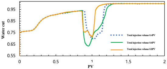
- Chemical-slug volume
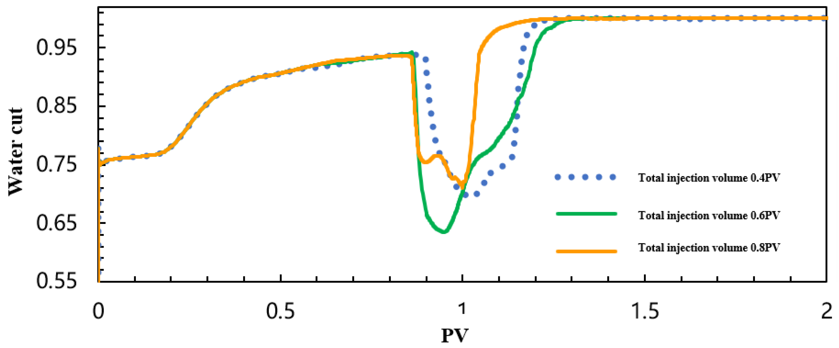
Table 9 summarizes the slug-size test matrix for the microsphere and nanoemulsion systems, and the corresponding core-flooding profiles are shown in Figure 31, Figure 32, Figure 33, Figure 34, Figure 35 and Figure 36. Increasing the slug size from 0.1 PV to 0.3 PV improves oil recovery by 6–8% for both agents, whereas a further increase to 0.5 PV yields an additional gain of less than 2%. Thus, a 0.3 PV slug represents the economically optimal dosage.
Table 9.
Experimental parameters for chemical-slug size.
Figure 31.
Core-flooding test data for microsphere treatment at a chemical injection volume of 0.1 PV (the yellow zone indicates the chemical injection period).
Figure 32.
Core-flooding test data for microsphere treatment at a chemical injection volume of 0.3 PV (the yellow zone indicates the chemical injection period).
Figure 33.
Core-flooding test data for microsphere treatment at a chemical injection volume of 0.5 PV (the yellow zone indicates the chemical injection period).
Figure 34.
Core-flooding test for nanoemulsion treatment at a chemical injection volume of 0.1 PV (the yellow zone indicates the chemical injection period).
Figure 35.
Core-flooding test for nanoemulsion treatment at a chemical injection volume of 0.3 PV (the yellow zone indicates the chemical injection period).
Figure 36.
Core-flooding test for nanoemulsion treatment at a chemical injection volume of 0.5 PV (the yellow zone indicates the chemical injection period).
- 5.
- Heterogeneity
A dual-core flooding apparatus was used to vary inter-core heterogeneity. The test matrix is given in Table 10 and the resulting oil-recovery and pressure-response curves for microsphere and nanoemulsion systems are presented in Figure 37 and Figure 38.
Table 10.
Parameters for heterogeneity tests.
Figure 37.
Core-flooding test data for microsphere treatment conducted on multiple core samples under various composite conditions. (a) 15.85 + 8.70 mD; (b) 15.85 + 1.61 mD, (the yellow zone indicates the chemical injection period).
Figure 38.
Core-flooding test data for nanoemulsion treatment conducted on multiple core samples under various composite conditions, (a) 15.85 + 8.70 mD; (b) 15.85 + 1.61 mD. (the yellow zone indicates the chemical injection period).
3.2. Analysis of Simulation Data
This study involves three equivalent reactions between pseudo components, with the reaction mechanisms illustrated in Figure 39:
Figure 39.
Equivalent reactions between pseudo components, ① Hydration and Swelling of Microspheres; ② Destabilization of Microspheres; ③ Adsorption and Phase Separation of Nanoemulsion.
- Hydration and Swelling of Microspheres: Raw microspheres undergo water absorption upon contact with formation water, resulting in viscosity increase and transformation into swollen microspheres. This process enables effective in situ pore-throat plugging.
- Destabilization of Microspheres: Following extended static placement, the swollen microspheres degrade into aqueous phase components, leading to plugging failure.
- Adsorption and Phase Separation of Nanoemulsion: Nanoemulsion components experience adsorption onto rock surfaces within the formation, with partial transformation into solid precipitates that contribute to formation plugging.
Traditional commercial numerical simulation software, such as CMG-STARS, can simulate conventional chemical flooding processes. However, it lacks comprehensive characterization of physicochemical behaviors in nanoemulsion/microsphere heterogeneous composite systems. These behaviors include microsphere swelling, transient plugging, and degradation mechanisms, as well as nanoemulsion solubilization-induced destabilization. This limitation makes it difficult to accurately represent the profile control and plugging processes during microspheres-alternating-nanoemulsion flooding in low permeability or tight reservoirs. This study establishes a compositional model for microspheres-alternating-nanoemulsion flooding by coupling mass conservation equations, energy conservation equations, and phase behavior equations. By incorporating equivalent reactions between pseudo components, we implement multi-scale numerical simulation capabilities.
3.2.1. Core-Scale History Matching
We used the established core-scale numerical model, which embeds the microscale transport mechanisms of the heterogeneous chemical system, the experimentally derived parameters for Microsphere-2.0, and nanoemulsion flooding (Table 11) were incorporated for history matching.
Table 11.
Input parameters for history matching.
The core-scale numerical model was executed using the simulator’s built-in modules. The resulting outputs and profiles were compared with the corresponding displacement experiments shown in Figure 40 and Figure 41. The history-matched curves reproduce the laboratory data in overall trend, peak magnitude, and fluctuation range, with deviations well within the experimental uncertainty. This demonstrates that the model captures the experimental behavior accurately and that the laboratory tests effectively validate the history-matching results. Among them, the historical matching data of the microsphere system showed a recovery factor error of 4.2%, a water cut error of 2.85%, and an injection-production pressure difference error of 3.75%. For the nanoemulsion system, the historical matching data indicated a recovery factor error of 4.2%, a water cut error of 2.35%, and an injection-production pressure difference error of 4.1%.
Figure 40.
Comparison of microsphere simulation results with core-flood data.
Figure 41.
Comparison of nanoemulsion simulation results with core-flood data.
The slow-swelling behavior and rheological evolution of the Microsphere-2.0 system were represented as interconversion reactions among pseudo components, and the history matching of the experimental response yielded the corresponding kinetic and flow parameters. The component distributions before and after microsphere expansion are presented in Figure 42 and Figure 43, respectively.
Figure 42.
Pre-expansion microsphere component distribution (the flow direction from the injection end to the production end is from left to right).
Figure 43.
Post-expansion microsphere component distribution (the flow direction from the injection end to the production end is from left to right).
The calibrated kinetic and flow parameters for the microsphere system are listed in Table 12.
Table 12.
Kinetic and flow parameters of the microsphere system.
The dynamic mechanisms of nanoemulsion phase destabilization and wettability alteration are equivalently represented as conversion reactions among pseudo components. Integrating bulk phase and core flood data yields the kinetic and flow parameters that characterize the nanoemulsion system.
The resulting kinetic and flow parameters for the nanoemulsion system are summarized in Table 13. Figure 44 illustrates the component distribution of the nanoemulsion during its migration.
Table 13.
Kinetic and flow parameters of the nanoemulsion system.
Figure 44.
Component distribution of nanoemulsion during migration (the flow direction from the injection end to the production end is from left to right).
3.2.2. Well-Pattern-Scale Numerical Simulation
A five-spot, well-pattern-scale homogeneous model was built on the basis of the target-block characteristics to analyze sensitivity to injection rate, timing, slug size, chemical concentration, and injection-production strategy. The basic reservoir parameters are listed in Table 14 and the injection-production design variables in Table 15.
Table 14.
Reservoir model properties.
Table 15.
Injection-production design parameters.
- Injection rate
A series of simulations was run with the injection-rate scenarios listed in Table 16; the resulting recovery factor, water-cut, and oil-rate curves for the microsphere and nanoemulsion cases are plotted in Figure 45, Figure 46 and Figure 47. At low rates the nanoemulsion gives better water control: while the chemical is still active, the lower rate yields a faster recovery increment per PV injected; once the slug is overtaken by the waterfront, however, the higher rate ultimately gives the greater final recovery. Raising the rate lengthens the period of microsphere diversion but degrades the combined water-control and oil-gain performance.
Table 16.
Injection-rate design parameters.
Figure 45.
Oil-recovery curves at different injection rates. (a) microsphere; (b) nanoemulsion.
Figure 46.
Water-cut curves at different injection rates. (a) microsphere; (b) nanoemulsion.
Figure 47.
Oil-production rate curves for microsphere and nanoemulsion at different injection rates. (a) microsphere; (b) nanoemulsion.
- 2.
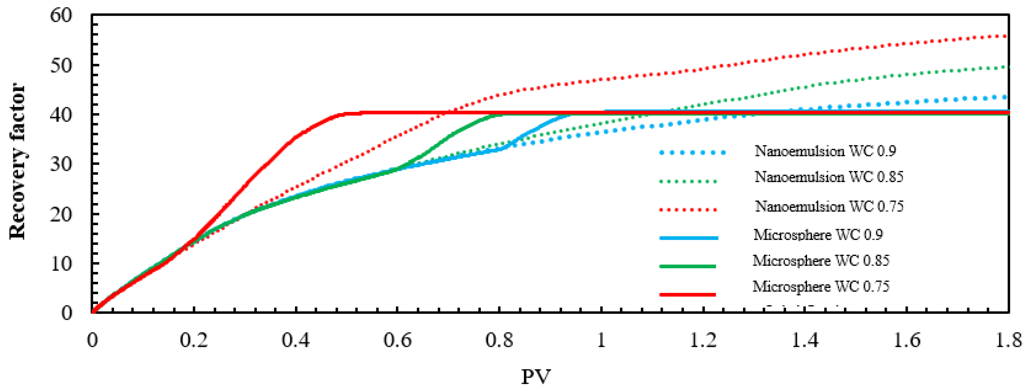
- Injection timing
Simulations were run with the injection-timing scenarios listed in Table 17; the resulting recovery, water-cut, and dimensionless pressure curves are plotted in Figure 48, Figure 49 and Figure 50. Displacement profiles at 80% water cut (0.23 PV) and 90% water cut (0.45 PV) are shown in Figure 51 and Figure 52, respectively. When the nanoemulsion slug is injected at the higher water-cut stage it still delivers a steady oil rate, yet its water-control and incremental-oil performance deteriorate markedly, indicating limited sweep-enhancement capability; delaying the microsphere slug shortens the effective water-control period, whereas the slow-swelling microspheres maintain a more stable pseudo-component concentration and a smoother water-cut response during the control interval.
Table 17.
Injection-timing design parameters.
Figure 48.
Oil-recovery curves under different injection timing (WC0.9, WC0.85, WC0.75) scenarios for microsphere and nanoemulsion.
Figure 49.
Water-cut curves under different injection timing (WC0.9, WC0.85, WC0.75) scenarios for microsphere and nanoemulsion.
Figure 50.
Dimensionless pressure curves under different injection timing (WC0.9, WC0.85, WC0.75) scenarios for microsphere and nanoemulsion.
Figure 51.
Component distribution under different injection volumes of microsphere and nanoemulsion (injection timing = 0.8) (the colormap represents the concentration of microspheres or nanoemulsion, with red indicating a higher concentration).
Figure 52.
Component distribution under different injection volumes of microsphere and nanoemulsion (injection timing = 0.9) (the colormap represents the concentration of microspheres or nanoemulsion, with red indicating a higher concentration).
- 3.
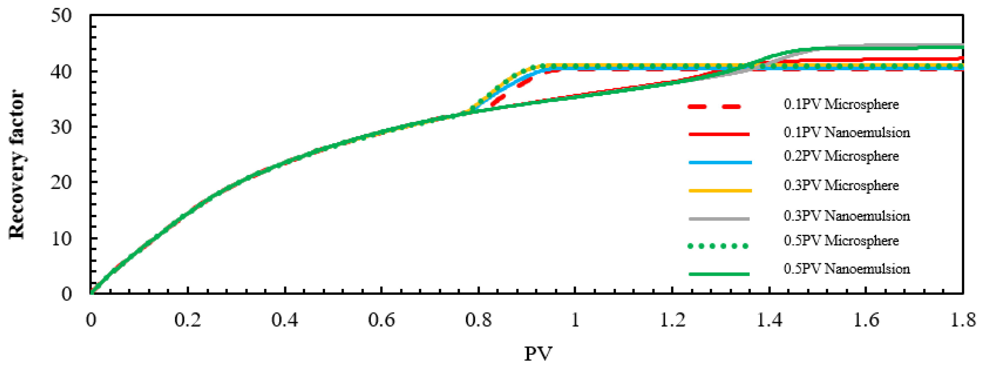
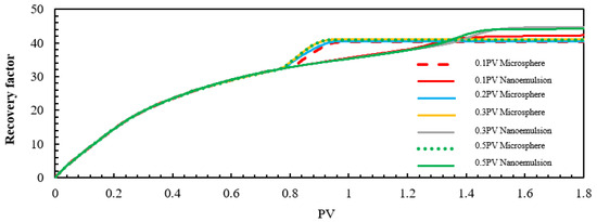
- Slug size
Simulations were conducted with the slug-size scenarios listed in Table 18; the resulting recovery, water-cut, and dimensionless-pressure curves are shown in Figure 53, Figure 54 and Figure 55. Larger chemical slugs raise recovery for both systems, but the marginal benefit diminishes as slug size increases. From a water-control standpoint, microsphere performance improves monotonically with slug volume, whereas the nanoemulsion exhibits an optimum—both under- and over-dosing degrade water-cut response. Injectivity considerations also show that excessive slug sizes cause a sharp rise in injection pressure, seriously compromising microsphere placement.
Table 18.
Slug-size design parameters.
Figure 53.
Oil-recovery curves under different injection volumes (0.1 PV, 0.2 PV 0.3 PV, 0.5 PV) of microsphere and nanoemulsion.
Figure 54.
Water-cut curves under different injection volumes (0.1 PV, 0.2 PV 0.3 PV, 0.5 PV) of microsphere and nanoemulsion.
Figure 55.
Dimensionless-pressure curves under different injection volumes (0.1 PV, 0.2 PV 0.3 PV, 0.5 PV) of microsphere and nanoemulsion.
- 4.
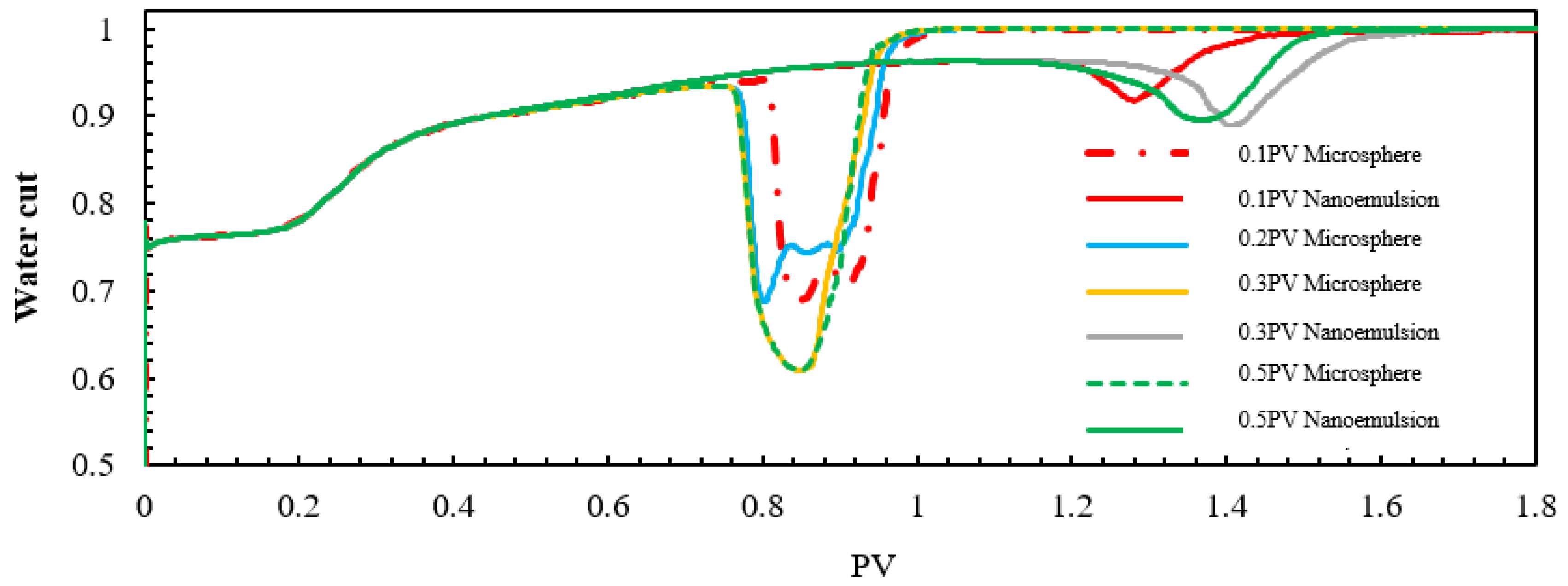
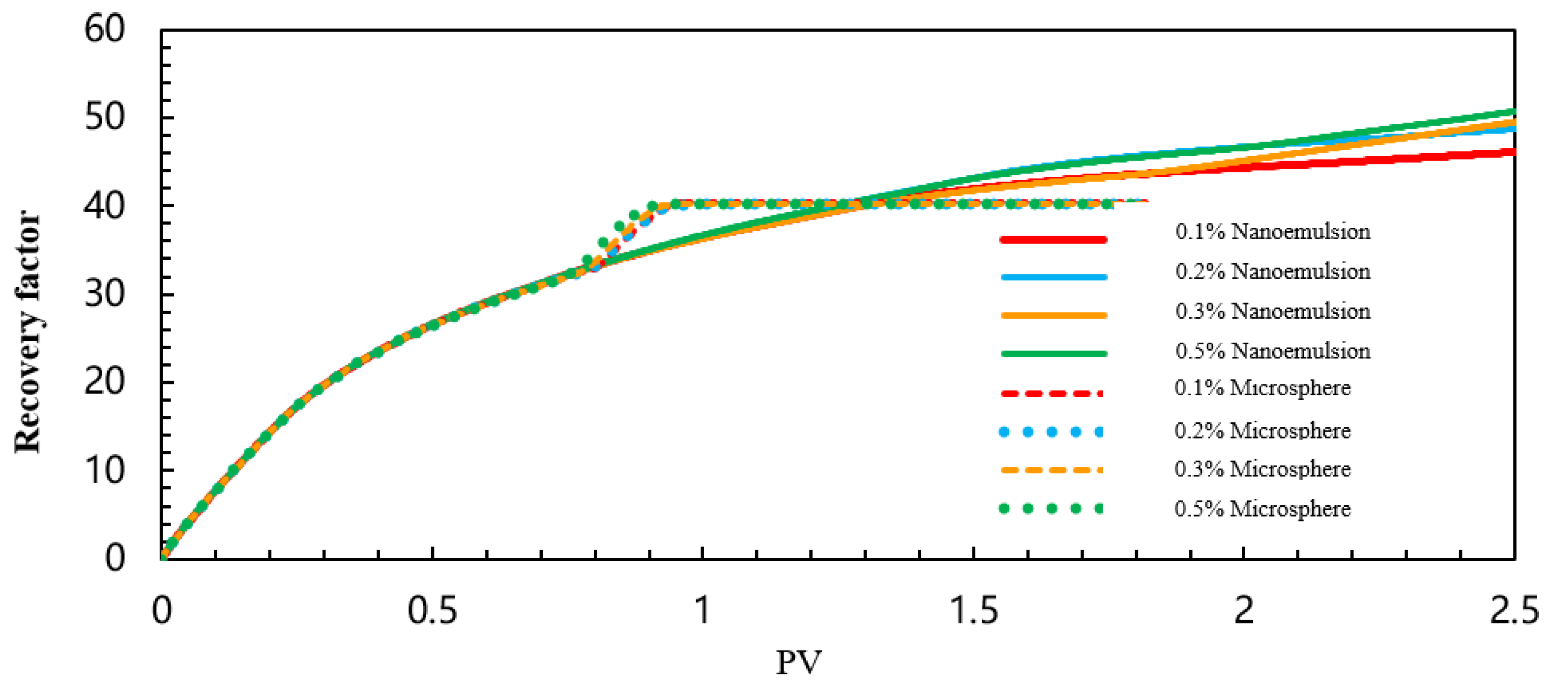
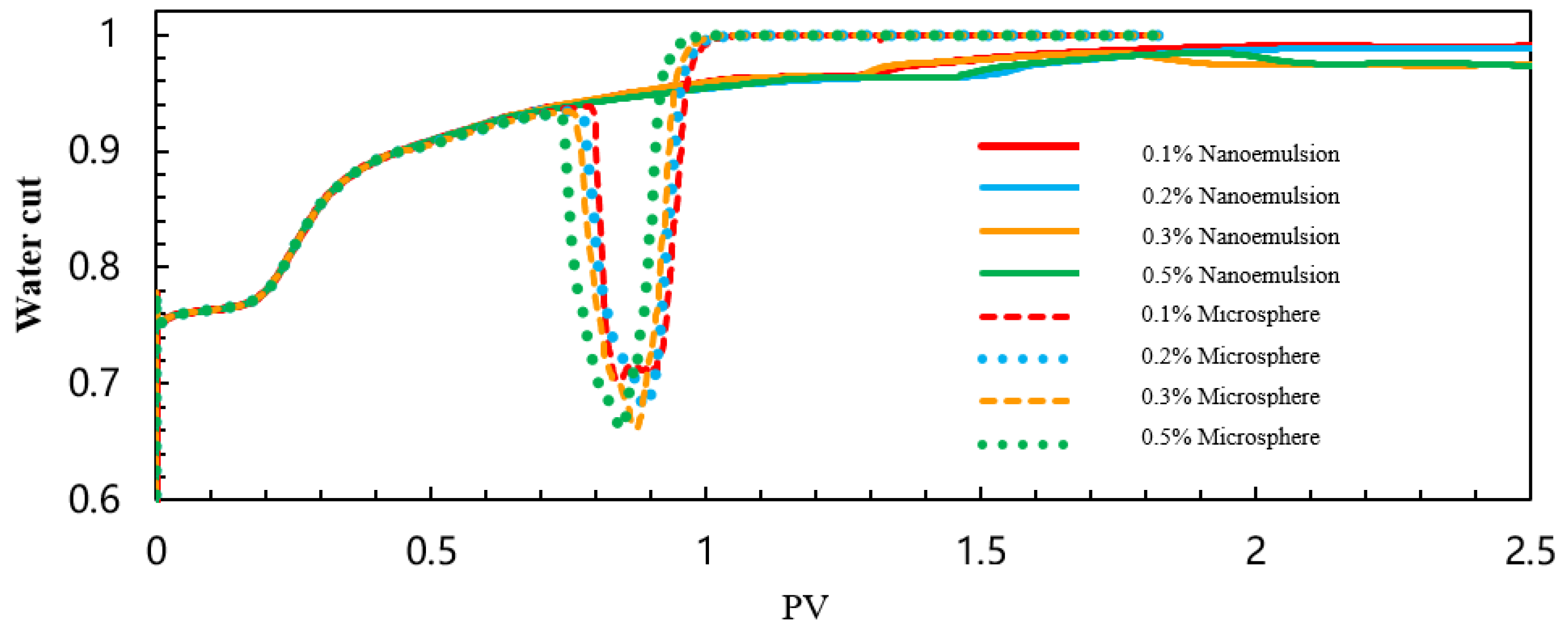
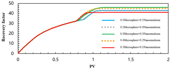
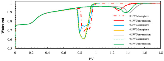
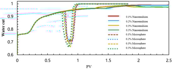
- Chemical concentration
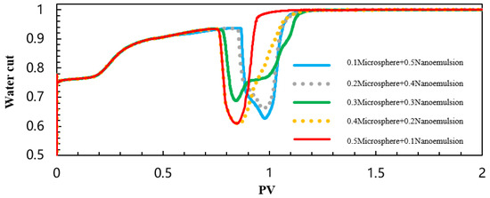
Simulations with the concentration scenarios listed in Table 19 produced the recovery, water-cut, and dimensionless-pressure curves shown in Figure 56, Figure 57 and Figure 58; component-concentration maps are given in Figure 59. For the nanoemulsion, raising concentration improves ultimate recovery, but marginal gains taper off beyond 0.3%. For the microsphere, higher concentrations accelerate tertiary oil-rate peaks without materially increasing final recovery. Water cut is insensitive to nanoemulsion concentration, whereas increasing microsphere concentration from 0.1% to 0.3% lowers the minimum water cut by approximately 5%, with no further benefit at higher loadings. Injectivity analysis again shows that excessive concentrations cause a steep injection-pressure rise, seriously compromising microsphere placement.
Table 19.
Chemical concentration design parameters.
Figure 56.
Oil-recovery curves at different concentrations of microsphere and nanoemulsion.
Figure 57.
Water-cut curves at different concentrations of microsphere and nanoemulsion.
Figure 58.
Dimensionless-pressure curves at different concentrations of microsphere and nanoemulsion.
Figure 59.
Component-concentration distribution for different chemical concentrations. (a) nanoemulsion; (b) microspheres. (The colormap represents the concentration of microspheres or Nano emulsion, with red indicating higher concentration.)
- 5.
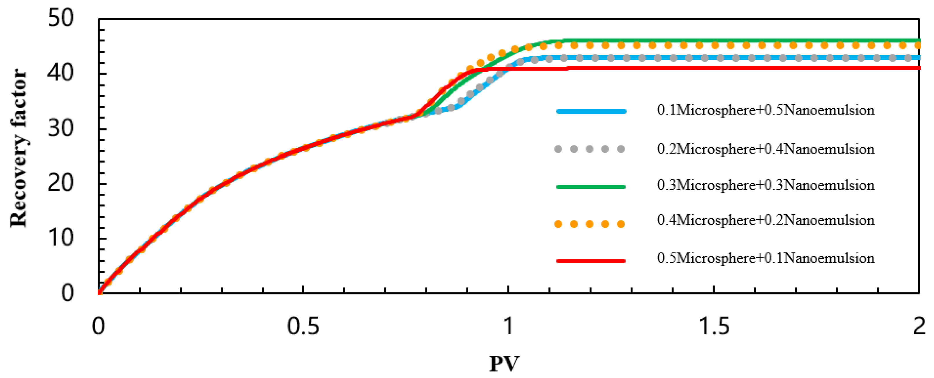
- Injection-production strategy
The dual-slug strategy first waterfloods to 90% water cut, then injects Microsphere-2.0 (Slug 1), followed by a 0.005 PV water buffer, then nanoemulsion (Slug 2), and finally continuous water; design parameters are listed in Table 20. Simulations with different slug-size ratios yield the recovery, water-cut, and dimensionless-pressure curves shown in Figure 60, Figure 61 and Figure 62 and the oil-saturation maps in Figure 63.
Table 20.
Dual-slug injection-production parameters.
Figure 60.
Oil-recovery curves for dual-slug cases with different slug ratios.
Figure 61.
Water-cut curves for dual-slug cases with different slug ratios.
Figure 62.
Dimensionless-pressure curves for dual-slug cases with different slug ratios.
Figure 63.
Oil-saturation distributions for different slug ratios. (a) Slug ratio 1:5; (b) Slug ratio 1:1; (c) Slug ratio 5:1 (the colormap represents oil saturation, with red indicating higher values).
The three-slug process resembles the dual-slug scheme, but after the nanoemulsion slug a second water buffer is injected before the final microsphere slug, followed by continuous water injection; the design parameters are listed in Table 21. Simulations with different slug-size ratios yield the recovery, water-cut, and dimensionless-pressure curves shown in Figure 64, Figure 65 and Figure 66.
Table 21.
Three-slug injection-production parameters.
Figure 64.
Oil-recovery curves for three-slug cases with different slug ratios.
Figure 65.
Water-cut curves for three-slug cases with different slug ratios.
Figure 66.
Dimensionless-pressure curves for three-slug cases with different slug ratios.
The four-slug scheme adds a second nanoemulsion slug after the three-slug sequence, followed by continuous water. Table 22 lists the injection parameters for different slug counts, and Figure 67, Figure 68 and Figure 69 show the resulting recovery, water-cut, and dimensionless-pressure curves; non-linear viscosity distributions are plotted in Figure 70. At fixed total throughput, segmented microsphere slugs delay water control but provide a longer, steadier effective period of reduced water cut.
Table 22.
Injection-production parameters for different slug counts.
Figure 67.
Oil-recovery curves for different slug counts.
Figure 68.
Water-cut curves for different slug counts.
Figure 69.
Dimensionless-pressure curves for different slug counts.
Figure 70.
Non-linear viscosity distributions for different slug counts (the colormap represents viscosity, with red indicating higher values).
The injection-timing scenarios are listed in Table 23; the resulting recovery, water-cut, and dimensionless-pressure curves are plotted in Figure 71, Figure 72 and Figure 73. Early injection of the diverting/plugging slug improves the final development outcome, but only to a limited extent if the timing is not significantly advanced; economic considerations can be used to optimize the injection schedule. Under the condition of constant total injection volume, dispersed microsphere slugs result in a slower initial water-cut reduction rate but offer a longer and more stable effective water-control period, which presents advantages for increasing alternating injection cycles in heterogeneous reservoirs.
Table 23.
Injection-production parameters for different injection timing.
Figure 71.
Oil-recovery curves for different chemical injection timings.
Figure 72.
Water-cut curves for different chemical injection timings.
Figure 73.
Dimensionless-pressure curves for different chemical injection timings.
Table 24 lists the slug-size scenarios; the resulting recovery, water-cut, and dimensionless-pressure curves are plotted in Figure 74, Figure 75 and Figure 76. In the low-permeability tight reservoir, injectivity constraints limit the slug size; therefore, an optimum slug size must be found that balances diversion/plugging capability and injectability to maximize development performance.
Table 24.
Injection-production parameters for different slug sizes.
Figure 74.
Oil-recovery curves for different slug sizes.
Figure 75.
Water-cut curves for different slug sizes.
Figure 76.
Dimensionless-pressure curves for different slug sizes.
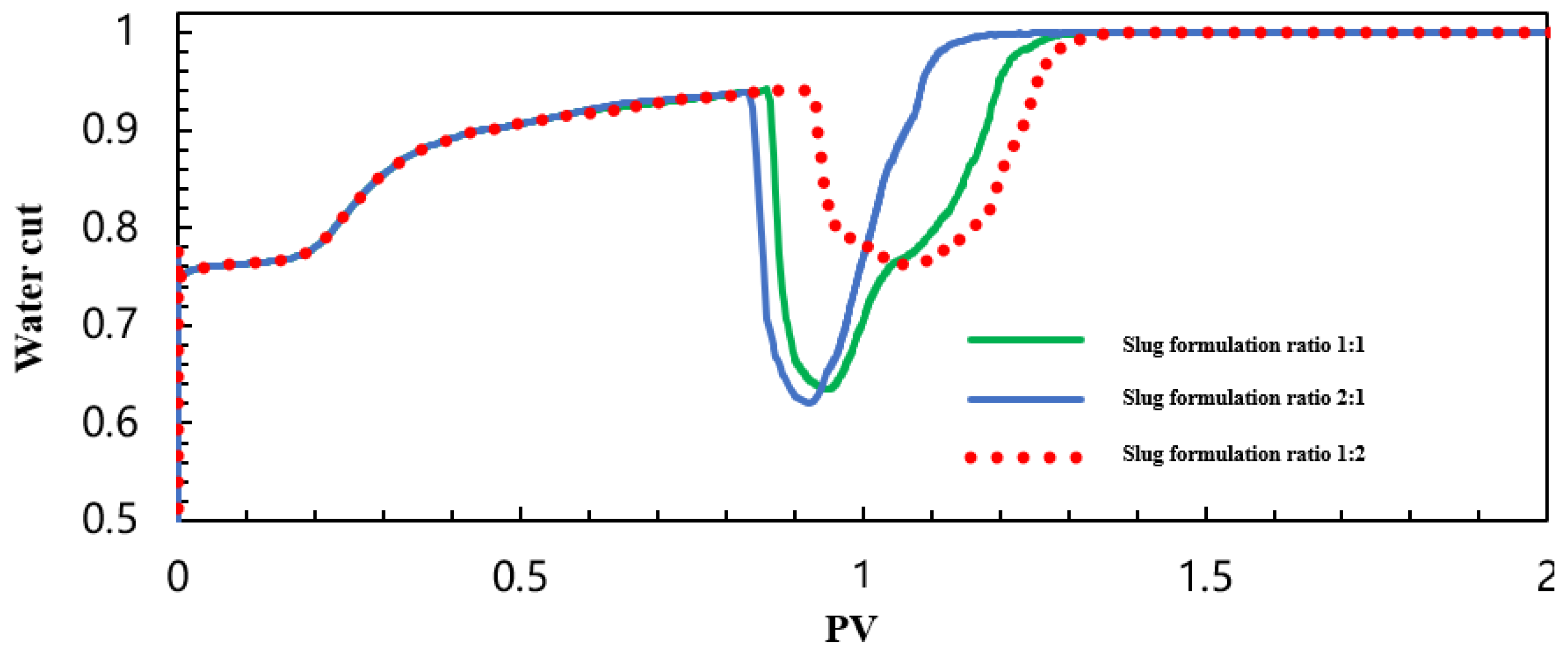
The slug-concentration scenarios are listed in Table 25; the resulting recovery, water-cut, and dimensionless-pressure curves are plotted in Figure 77, Figure 78 and Figure 79. For homogeneous conditions a 1:1 ratio of microsphere to nanoemulsion slugs gives the best result; as heterogeneity increases, the performance can be optimized by adjusting the ratio.
Table 25.
Injection-production parameters for different slug ratios.
Figure 77.
Oil-recovery curves for different slug ratios.
Figure 78.
Water-cut curves for different slug ratios.
Figure 79.
Dimensionless-pressure curves for different slug ratios.
By utilizing microspheres as deep profile-control agents to fully exploit their plugging performance for blocking dominant flow channels and improving sweep efficiency, and leveraging the ultra-low interfacial tension advantage of emulsions to enhance displacement efficiency and thus optimize relative permeability, the heterogeneous composite flooding system—combining both—is optimized based on reservoir heterogeneity to achieve synergistic effects and ultimately increase oil recovery.
The injection parameter results for the heterogeneous composite flooding in representative Well Groups 1 and 2 are shown in Figure 80 and Figure 81, respectively. As illustrated, replacing pure microsphere injection with the heterogeneous composite system can still slightly extend the water-control period and reduce the post-profile-control decline rate of oil production. Reducing the proportion of microspheres effectively improves injectivity and achieves better enhanced oil recovery performance, with a 0.96% increase in the 10-year recovery factor.
Figure 80.
Representative Well Group 1.
Figure 81.
Representative Well Group 2.
3.3. History Matching Data
Based on historical production data, history matching was conducted for the water flooding and chemical flooding processes in three well groups from the start of production to September 2025, using a constant liquid production rate. The results are shown in Figure 82. The figure indicates that the overall oil production rate fitting error for the block is approximately 3.7%, with average fitting errors for individual production wells ranging from 1.6% to 5.6%. The overall water cut fitting error is about 2.5%, with average fitting errors for individual wells ranging from 1.2% to 3.8%. Based on the matching results, the numerical model was optimized and adjusted to accurately reflect the development characteristics of the selected block.

Figure 82.
History matching data for representative well groups, (a) Historical matching data of Well 1 (b) Historical matching data of Well 2 (c) Historical matching data of Well 3 (d) Historical matching data of Well 4 (e) Historical matching data of Well 5 (f) Historical matching data of Well 6.
The bar chart illustrating the recovery factor, water-cut reduction extent, and cumulative injection volume from chemical injection to stabilized water-cut under different experimental schemes is shown in Figure 83, whereas Figure 83a represents recovery factor, Figure 83b represents water-cut reduction extent, and Figure 83c the water-cut reduction duration in PV injection.
Figure 83.
Parameters diagram of different experimental schemes: (a) represents recovery factor, (b) represents water-cut reduction extent, (c) the water-cut reduction duration in PV injection.
4. Conclusions
In this work, comprehensive experimental and numerical investigation has been carried out to study the impacts of various factors on profiling control of tight oil reservoir recovery with combined injection strategies, involving microspheres and nanoemulsion as multifunctional chemicals, which balances the improvement of sweep efficiency and optimization of displacement efficiency.
- According to the experimental investigation injection properties, the microspheres reach the optimized performance with 0.246 mL/min of injection rate and 0.2% of concentration, whereas the optimized performance of nanoemulsion has been achieved at 0.253 mL/min with the same concentration. For the homogeneous formation, nanoemulsion has shown better performance in both profiling control and oil recovery enhancement. However, the microsphere has the outstanding feature that maintains effectiveness at varying injection timing, which implies microsphere works better as the frontal displacing slug in alternating injection of combined chemical strategies.
- For the heterogeneous formation, the microspheres injection leads to lower water cut for the producers, whereas the nanoemulsion gives longer water-cut reduction period. Presence of microspheres has shown the effectiveness of balancing the production ratio between less permeable and higher permeable cores, implying its advantages in profile control when the formation becomes more heterogeneous.
- Based on the numerical studies of EOR attempts with combined injection of microspheres/nanoemulsion slugs, the injection of microspheres to nanoemulsion ratio varying from 1/3~1 has shown optimized overall performance in both profiling control and oil recovery. Higher microspheres ratio is required when more severe heterogeneity conditions are encountered, and increased cycle number in alternating injection gives better performance when the total pore volumes of injection are constant.
- Optimized injection parameters at the well-group scale are as follows: for microspheres, injection volume is 0.3 PV, concentration 0.2%, injection rate 20–30 m3/day, and injection timing at a water cut of 75%; for nanoemulsion, injection volume is 0.5 PV, concentration 0.2%, injection rate 30 m3/day, and injection timing at a water cut of 90%. For homogeneous reservoirs, the optimal slug design for microspheres-alternating-nanoemulsion flooding is recommended to employ microspheres as the front slug in a multi-slug alternating pattern, with a total injection volume of 0.6 PV, a microsphere-to-nanoemulsion ratio of 1:1 for each slug, and an injection rate of 30 m3/day.
- When the microsphere concentration increased from 0.1% to 0.3%, the minimum water cut decreased by approximately 5% and further increases in concentration showed no significant additional impact on water content. Compared to water flooding, the relative permeability curve of the microspheres-alternating-nanoemulsion flooding system shifted entirely to the right, with residual oil saturation decreasing from 34% to 19%. Through numerical simulation of representative well groups, the study found that a slug design with a microsphere-to-nanoemulsion ratio of 1:3 yielded the best enhanced oil recovery performance, increasing the 10-year recovery factor by 0.46%.
5. Discussion of Limitations
- The model demands high precision, as conventional models fail to capture microscale reaction kinetics such as the slow-swelling and degradation-failure mechanisms of the microsphere system. Inaccurate description of geological parameters further affects injection strategy design, leading to increased errors.
- Particle behaviors in the reservoir—including adsorption, coalescence, degradation, and solidification—are highly complex, and the influence of pore-throat topology on these mechanisms remains unclear.
- Two existing models, the CMG STARS ASP model and the CMG Petronas AFM model, are available for simulation. This study selected the CMG Petronas AFM model, but effective integration of both models has not yet been achieved.
Author Contributions
Conceptualization, J.Y., methodology, J.W. and J.Y.; Software, W.W.; validation, L.Z. and B.L.; formal analysis, J.W., P.Z., W.W. and X.W.; investigation, J.W. and W.W.; resources, C.Y. and J.Y.; writing—original draft, J.W. and P.Z.; writing—review and editing, C.Y., X.W. and J.Y.; visualization, B.L. and P.Z.; software, W.W.; supervision, B.L., X.W. and J.Y.; project administration, L.Z. and X.W.; funding acquisition, L.Z. and C.Y.; data curation, B.L., P.Z. and W.W. All authors have read and agreed to the published version of the manuscript.
Funding
The authors are grateful for the funding from the China National Petroleum Corporation (Grant No. 2023ZZ17).
Data Availability Statement
The data presented in this study are available on request from the corresponding author.
Conflicts of Interest
Jun Wang, Lijun Zheng, Changhao Yan and Baoqiang Lv were employed by the company Oil & Gas Technology Research Institute of Changqing Oilfield Company. The remaining authors declare that the research was conducted in the absence of any commercial or financial relationships that could be construed as a potential conflict of interest.
Nomenclatures
| Resistance factor | |
| Injection pressure during microsphere flooding, MPa | |
| Injection pressure during initial water flooding, MPa | |
| Residual resistance factor | |
| Injection pressure during subsequent water flooding, MPa | |
| Plugging efficiency, % | |
| Pore-throat matching coefficient | |
| Median microsphere diameter, μm2 | |
| Average pore-throat diameter, μm | |
| Water-measured permeability, D | |
| Average porosity |
References
- Jing, Y.; Wang, T.; Zhang, B.; Zheng, Y.; Li, X.; Lu, N. Safety Risk Analysis of Well Control for wellbore with sustained annular pressure and Prospects for Technological Development. Chem. Technol. Fuels Oils 2025, 61, 110–119. [Google Scholar] [CrossRef]
- Zhang, B.; Lu, N.; Guo, Y.; Wang, Q.; Cai, M.; Lou, E. Modeling and analysis of sustained annular pressure and gas accumulation caused by tubing integrity failure in the production process of deep natural gas wells. J. Energy Resour. Technol. 2022, 144, 063005. [Google Scholar] [CrossRef]
- Sun, L.; Wu, X.; Zhou, W.; Wang, X.; Li, X.; Han, P. Technologies of enhancing oil recovery by chemical flooding in Daqing Oilfield, NE China. Pet. Explor. Dev. 2018, 45, 636–645. [Google Scholar] [CrossRef]
- Zhang, Y.; Zhang, D.; Wang, Y.; Chen, J.; Xin, M.; Zhang, Q.; Qin, Y.; Yan, L. Experimental Study on a Nanoemulsion for EOR in High-Temperature, High-Salinity, Low-Permeability Reservoirs and Its Performance. ACS Omega 2025, 10, 49136–49147. [Google Scholar] [CrossRef]
- Zhang, D.; Du, X.; Song, X.; Wang, H.; Li, X.; Jiang, Y.; Wang, M. Application of the marangoni effect in nanoemulsion on improving waterflooding technology for heavy-oil reservoirs. SPE J. 2018, 23, 831–840. [Google Scholar] [CrossRef]
- Kumar, N.; Pal, N.; Mandal, A. Nanoemulsion flooding for enhanced oil recovery: Theoretical concepts, numerical simulation and history match. J. Pet. Sci. Eng. 2021, 202, 108579. [Google Scholar] [CrossRef]
- Jalilian, M.; Tabzar, A.; Ghasemi, V.; Mohammadzadeh, O.; Pourafshary, P.; Rezaei, N.; Zendehboudi, S. An experimental investigation of nanoemulsion enhanced oil recovery: Use of unconsolidated porous systems. Fuel 2019, 251, 754–762. [Google Scholar] [CrossRef]
- Kumar, N.; Mandal, A. Wettability alteration of sandstone rock by surfactant stabilized nanoemulsion for enhanced oil recovery—A mechanistic study. Colloid Surf. A 2020, 601, 125043. [Google Scholar] [CrossRef]
- James, P.; Harry, F.; Joe, B.; Steve, C.; Jim, M.; Chang, K.; Dennis, W.; James, G. Field Application of a New In-Depth Waterflood Conformance Improvement Tool. In Proceedings of the SPE International Improved Oil Recovery Conference in Asia Pacific, Kuala Lumpur, Malaysia, 20–21 October 2003. [Google Scholar] [CrossRef]
- Shagymgereyeva, S.; Sarsenbekuly, B.; Kang, W.; Turtabayev, S. Performance Evaluation of Fluorescent Polymer Gel Microspheres as a Reservoir Conformance Control Agent. Gels 2025, 11, 85. [Google Scholar] [CrossRef]
- Shagymgereyeva, S.; Sarsenbekuly, B.; Kang, W.; Yang, H.; Turtabayev, S. Advances of polymer microspheres and its applications for enhanced oil recovery. Colloid Surf. B 2024, 233, 113622. [Google Scholar] [CrossRef]
- Zhou, B.; Kang, W.; Jiang, H.; Yang, H.; Li, Z.; Lv, Z.; Xu, Z.; Ning, C.; Wang, H.; Xie, S. Preparation and crosslinking mechanism of delayed swelling double-crosslinking nano polymer gel microsphere for anti-CO2 gas channeling. J. Pet. Sci. Eng. 2022, 219, 111122. [Google Scholar] [CrossRef]
- Goyal, G.; Hwang, J.; Aviral, J.; Seo, Y.; Jo, Y.; Son, J.; Choi, J. Green synthesis of silver nanoparticles using β-glucan, and their incorporation into doxorubicin-loaded water-in-oil nanoemulsions for antitumor and antibacterial applications. J. Ind. Eng. Chem. 2017, 47, 179–186. [Google Scholar] [CrossRef]
- Mason, T.G.; Wilking, J.N.; Meleson, K.; Chang, C.B.; Graves, S.M. Nanoemulsions: Formation, Structure, and Physical Properties. J. Phys.-Condens. Mat. 2006, 18, R635. [Google Scholar] [CrossRef]
- Nguele, R.; Sasaki, K.; Sugai, Y.; Al-Salim, H.S.; Ueda, R. Mobilization and displacement of heavy oil by cationic microemulsions in different sandstone formations. J. Pet. Sci. Eng. 2017, 157, 1115–1129. [Google Scholar] [CrossRef]
- Klaus, A.; Tiddy, G.J.; Solans, C.; Harrar, A.; Touraud, D.; Kunz, W. Effect of salts on the phase behavior and the stability of nano-emulsions with rapeseed oil and an extended surfactant. Langmuir 2012, 28, 8318–8328. [Google Scholar] [CrossRef]
- Kumar, A.; Saw, R.K.; Mandal, A. RSM optimization of oil-in-water microemulsion stabilized by synthesized zwitterionic surfactant and its properties evaluation for application in enhanced oil recovery. Chem. Eng. Res. Des. 2019, 147, 399–411. [Google Scholar] [CrossRef]
- Yu, H.; Su, Y.; Shen, B.; Zhang, Y.; Wang, B.; Zhou, Y. Effect of direct methanol injection based on low-flow injector on knock of gasoline engine under heavy load condition. Fuel 2024, 357, 129899. [Google Scholar] [CrossRef]
- Satea, A.; Tian, Y.; Kou, Z.; Kang, B.; Zhao, Y.; Zhang, L. A technical review of chemical reactions during CCUS-EOR in different reservoirs. Nat. Gas Ind. B 2025, 12, 264–278. [Google Scholar] [CrossRef]
- Zhao, J.; Peng, M.; Qi, X.; Wen, Q.; Yang, J. Low-carbon and high-efficiency nanosheet-enhanced CO2 huff-n-puff (HnP) for heavy oil recovery. Chem. Eng. J. 2024, 500, 156875. [Google Scholar] [CrossRef]
- Zhao, J.; Torabi, F.; Yang, J. The role of emulsification and IFT reduction in recovering heavy oil during alkaline-surfactant-assisted CO2 foam flooding: An experimental study. Fuel 2022, 313, 122942. [Google Scholar] [CrossRef]
- Zhao, J.; Torabi, F.; Yang, J. Role of viscous forces in foam flow in porous media at the pore level. Ind. Eng. Chem. Res. 2021, 60, 3156–3173. [Google Scholar] [CrossRef]
Disclaimer/Publisher’s Note: The statements, opinions and data contained in all publications are solely those of the individual author(s) and contributor(s) and not of MDPI and/or the editor(s). MDPI and/or the editor(s) disclaim responsibility for any injury to people or property resulting from any ideas, methods, instructions or products referred to in the content. |
© 2025 by the authors. Licensee MDPI, Basel, Switzerland. This article is an open access article distributed under the terms and conditions of the Creative Commons Attribution (CC BY) license (https://creativecommons.org/licenses/by/4.0/).



















































































