Sign in to use this feature.

Years

Between: -

Subjects

remove_circle_outline
remove_circle_outline
remove_circle_outline
remove_circle_outline
remove_circle_outline
remove_circle_outline
remove_circle_outline
remove_circle_outline
remove_circle_outline

Journals

remove_circle_outline
remove_circle_outline
remove_circle_outline
remove_circle_outline
remove_circle_outline
remove_circle_outline
remove_circle_outline
remove_circle_outline
remove_circle_outline
remove_circle_outline
remove_circle_outline

Article Types

Countries / Regions

remove_circle_outline
remove_circle_outline
remove_circle_outline
remove_circle_outline
remove_circle_outline

Search Results (648)

Search Parameters:
Keywords = random linear mixed model

Order results
Result details
Results per page
Select all
Export citation of selected articles as:
30 pages, 1488 KB  
Article
Beyond Quaternions: Adaptive Fixed-Time Synchronization of High-Dimensional Fractional-Order Neural Networks Under Lévy Noise Disturbances
by Essia Ben Alaia, Slim Dhahri and Omar Naifar
Fractal Fract. 2025, 9(12), 823; https://doi.org/10.3390/fractalfract9120823 - 16 Dec 2025
Abstract
This paper develops a unified synchronization framework for octonion-valued fractional-order neural networks (FOOVNNs) subject to mixed delays, Lévy disturbances, and topology switching. A fractional sliding surface is constructed by combining I1μeg with integral terms in powers of [...] Read more.
This paper develops a unified synchronization framework for octonion-valued fractional-order neural networks (FOOVNNs) subject to mixed delays, Lévy disturbances, and topology switching. A fractional sliding surface is constructed by combining I1μeg with integral terms in powers of |eg|. The controller includes a nonsingular term ρ2gsgc2sign(sg), a disturbance-compensation term θ^gsign(sg), and a delay-feedback term λgeg(tτ), while dimension-aware adaptive laws ,CDtμρg=k1gNsgc2 and ,CDtμθ^g=k2gNsg ensure scalability with network size. Fixed-time convergence is established via a fractional stochastic Lyapunov method, and predefined-time convergence follows by a time-scaling of the control channel. Markovian switching is treated through a mode-dependent Lyapunov construction and linear matrix inequality (LMI) conditions; non-Gaussian perturbations are handled using fractional Itô tools. The architecture admits observer-based variants and is implementation-friendly. Numerical results corroborate the theory: (i) Two-Node Baseline: The fixed-time design drives e(t)1 to O(104) by t0.94s, while the predefined-time variant meets a user-set Tp=0.5s with convergence at t0.42s. (ii) Eight-Node Scalability: Sliding surfaces settle in an O(1) band, and adaptive parameter means saturate well below their ceilings. (iii) Hyperspectral (Synthetic): Reconstruction under Lévy contamination achieves a competitive PSNR consistent with hypercomplex modeling and fractional learning. (iv) Switching Robustness: under four modes and twelve random switches, the error satisfies maxte(t)10.15. The results support octonion-valued, fractionally damped controllers as practical, scalable mechanisms for robust synchronization under non-Gaussian noise, delays, and time-varying topologies. Full article
(This article belongs to the Special Issue Advances in Fractional-Order Control for Nonlinear Systems)
Show Figures

Figure 1

12 pages, 1182 KB  
Article
Machine Learning Models to Identify Quantitatively Significant Covariates for Blood Pressure Among American Adolescent Girls
by Ryan J. Lowhorn, Mohammed Chowdhury, Mithun K. Acharjee, Nahida Akhter and AKM Fazlur Rahman
Adolescents 2025, 5(4), 81; https://doi.org/10.3390/adolescents5040081 - 15 Dec 2025
Viewed by 13
Abstract
Blood pressure prediction in adolescents continues to remain a major challenge for health practitioners. In classical regression, many factors are found to be statistically significant based on p-values due to large sample sizes, but they may not be equally important predictors for [...] Read more.
Blood pressure prediction in adolescents continues to remain a major challenge for health practitioners. In classical regression, many factors are found to be statistically significant based on p-values due to large sample sizes, but they may not be equally important predictors for an outcome variable. Machine learning methods provide non-linear and non-parametric approaches with superior predictive performance and a lower chance of model misspecification. Therefore, we employed a leave-one-covariate-out (LOCO) method, a novel variable importance measure, in addition to linear mixed-effects models integrated within random forest for prediction of longitudinal blood pressure. We used health markers such as BMI and dietary habits of 2379 Black and White adolescent girls, tracked yearly from ages 9 and 10 until 19 in the National Heart, Lung, and Blood Institute (NHLBI) Growth and Health Study (NGHS, USA). Age, BMI, waist circumference, and dietary cholesterol were consistently the most quantitatively important variables for prediction of systolic blood pressure (SBP). However, age, BMI and waist circumference were consistently the most quantitatively important covariates for prediction of diastolic blood pressure (DBP). The study findings demonstrate the importance of understanding how dietary habits and health markers influence blood pressure. Full article
Show Figures

Figure 1

18 pages, 1055 KB  
Article
Getting an Active Start: Assessing the Impact of a Physical Literacy-Based Intervention on Preschool-Aged Children’s Fundamental Movement Skills, Motor Competency and Behavioral Self-Regulation
by Breanne C. Wilhite, Kenneth Chui, Jennifer M. Sacheck, Daniel P. Hatfield, Margaret Morris, Megan Ziembowicz, Stephanie Herrick and Erin Hennessy
Int. J. Environ. Res. Public Health 2025, 22(12), 1861; https://doi.org/10.3390/ijerph22121861 - 13 Dec 2025
Viewed by 140
Abstract
Fundamental movement skills (FMS) and behavioral self-regulation (SR) are important for lifelong physical activity (PA). While physical literacy (PL) mediates child PA, its broader developmental impact in early childhood education (ECE) remains underexplored. The Active Start feasibility study examined a 10-week PL-based intervention’s [...] Read more.
Fundamental movement skills (FMS) and behavioral self-regulation (SR) are important for lifelong physical activity (PA). While physical literacy (PL) mediates child PA, its broader developmental impact in early childhood education (ECE) remains underexplored. The Active Start feasibility study examined a 10-week PL-based intervention’s effects on FMS (stationary, locomotion, object control), total motor competency and behavioral SR, as well as sex-based differences, among 3–5-year-olds in Somerville, Massachusetts childcare centers. Children (mean age = 3.8 years, 55% boys) were randomized by childcare center (two per condition) into intervention (n = 39) or control (n = 35) groups. Outcomes were measured at baseline and final using the Peabody Developmental Motor Scales for FMS and motor competency and the Head–Toes–Knees–Shoulders task for SR. Intervention effects were assessed using linear mixed-effects and zero-inflated mixed-effects hurdle models, with interactions examining sex-based differences in program effectiveness. Stationary skills had a net average improvement of 2.3 points in the intervention group compared to the control (p < 0.01). No significant treatment effects were observed for locomotor, object control, total motor competency or behavioral SR skills (p > 0.05). The treatment effects did not significantly differ by sex. PL-based ECE interventions may enhance stability skills in motor development, but further research in larger samples is needed to determine broader impacts on early childhood development. Full article
Show Figures

Figure 1

40 pages, 1880 KB  
Article
Eyes on Prevention: An Eye-Tracking Analysis of Visual Attention Patterns in Breast Cancer Screening Ads
by Stefanos Balaskas, Ioanna Yfantidou and Dimitra Skandali
J. Eye Mov. Res. 2025, 18(6), 75; https://doi.org/10.3390/jemr18060075 - 13 Dec 2025
Viewed by 118
Abstract
Strong communication is central to the translation of breast cancer screening availability into uptake. This experiment tests the role of design features of screening advertisements in directing visual attention in screening-eligible women (≥40 years). To this end, a within-subjects eye-tracking experiment (N = [...] Read more.
Strong communication is central to the translation of breast cancer screening availability into uptake. This experiment tests the role of design features of screening advertisements in directing visual attention in screening-eligible women (≥40 years). To this end, a within-subjects eye-tracking experiment (N = 30) was conducted in which women viewed six static public service advertisements. Predefined Areas of Interest (AOIs), Text, Image/Visual, Symbol, Logo, Website/CTA, and Source/Authority—were annotated, and three standard measures were calculated: Time to First Fixation (TTFF), Fixation Count (FC), and Fixation Duration (FD). Analyses combined descriptive summaries with subgroup analyses using nonparametric methods and generalized linear mixed models (GLMMs) employing participant-level random intercepts. Within each category of stimuli, detected differences were small in magnitude yet trended towards few revisits in each category for the FC mode; TTFF and FD showed no significant differences across categories. Viewing data from the perspective of Areas of Interest (AOIs) highlighted pronounced individual differences. Narratives/efficacy text and dense icon/text callouts prolonged processing times, although institutional logos and abstract/anatomical symbols generally received brief treatment except when coupled with action-oriented communication triggers. TTFF timing also tended toward individual areas of interest aligned with the Scan-Then-Read strategy, in which smaller labels/sources/CTAs are exploited first in comparison with larger headlines/statistical text. Practically, screening messages should co-locate access and credibility information in early-attention areas and employ brief, fluent efficacy text to hold gaze. The study adds PSA-specific eye-tracking evidence for breast cancer screening and provides immediately testable design recommendations for programs in Greece and the EU. Full article
Show Figures

Graphical abstract

16 pages, 1179 KB  
Study Protocol
Effectiveness of Telerehabilitation-Based Therapeutic Exercise on Functional Capacity in Chronic Stroke: Study Protocol for a Multicenter Randomized Controlled Trial
by Yaiza Casas-Rodríguez, Carlos López-de-Celis, Gala Inglés-Martínez, Lidia González-Tova, María Benilde Martínez-González, Izaskun Barayazarra-López and Anna Escribà-Salvans
Life 2025, 15(12), 1905; https://doi.org/10.3390/life15121905 - 12 Dec 2025
Viewed by 208
Abstract
Background: Stroke is the leading cause of physical disability in adults in Catalonia. Despite this, there is a lack of evidence of physiotherapy interventions on functional capacity during the chronic phase of the pathology. This multicenter clinical trial will be conducted with [...] Read more.
Background: Stroke is the leading cause of physical disability in adults in Catalonia. Despite this, there is a lack of evidence of physiotherapy interventions on functional capacity during the chronic phase of the pathology. This multicenter clinical trial will be conducted with a sample size of 75 participants. Objectives: The objective of the study is to evaluate the effectiveness of a therapeutic exercise program in physiotherapy using telerehabilitation to optimize functional recovery and quality of life in people with chronic stroke, and to determine its impact on adherence to the exercise program. Methods: This is a multicenter randomized controlled trial. Three parallel groups will be compared, and two will undergo the same type of therapy. A control group (CG) will perform conventional intervention in primary care. There will be two experimental groups; (EG1) will perform document-guided therapeutic exercises at home and (EG2) will perform therapeutic exercises at home guided by a telerehabilitation program. The outcomes to be measured are degree of independence of a person in their activities of daily living, assessed by the Barthel Index, motor function, muscle tone of the affected limbs, muscle strength of the affected limbs, balance, gait efficiency, perception of musculoskeletal pain, perception of fatigue, risk of falls, perception of quality of life, and the perception of perceived subjective change after treatment. These outcomes will be evaluated at baseline (T0), at ten weeks (T1) (end of the intervention), and at 18 weeks (T2). The study duration per patient will be 18 weeks (a ten-week intervention, followed by an eight-week intervention follow-up). The analysis will be performed using a mixed linear model (ANOVA 3X3) and significance level p < 0.05. Full article
Show Figures

Figure 1

26 pages, 8893 KB  
Article
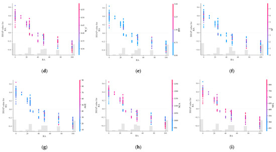
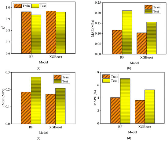
Tensile Strength of RA Concrete Containing Supplementary Cementitious Materials and Polypropylene Fibers Utilizing Machine Learning with GUI
by Mohammed K. Alkharisi and Hany A. Dahish
Buildings 2025, 15(24), 4473; https://doi.org/10.3390/buildings15244473 - 11 Dec 2025
Viewed by 182
Abstract
This study develops advanced machine learning (ML) algorithms to predict the tensile strength (Ft) of sustainable recycled aggregate (RA) concrete incorporating supplementary cementitious materials (SCMs—silica fume and fly ash) and polypropylene fibers (PPF). A dataset of 375 Ft results from the literature, characterized [...] Read more.
This study develops advanced machine learning (ML) algorithms to predict the tensile strength (Ft) of sustainable recycled aggregate (RA) concrete incorporating supplementary cementitious materials (SCMs—silica fume and fly ash) and polypropylene fibers (PPF). A dataset of 375 Ft results from the literature, characterized by ten input parameters (including cement content, natural and RA contents, SCM dosages, PPF percentage, water–cement ratio, superplasticizer content, and curing period), was used to train and validate two ML algorithms: Random Forest (RF) and Extreme Gradient Boosting (XGBoost). All models demonstrated high predictive accuracy, with results consistently aligning with experimental values, though the XGBoost model outperformed the RF model, achieving superior performance with R2 values of 0.9689 and 0.9632 for the training and testing datasets and lower RMSE and MAE values. To interpret the model decisions and uncover black-box insights. SHapley additive explanations (SHAP) analysis was employed, quantifying the global and local importance of each input variable on tensile strength prediction, revealing complex non-linear relationships and interactions. The findings highlight XGBoost as a robust tool for optimizing the mix design of complex sustainable concrete, while SHAP analysis revealed that curing period has the highest positive impact on predicting Ft, and W/C and RA adversely impact Ft, bridging the gap between data-driven predictions and practical engineering applications. The developed XGBoost model outperformed DNN, OGPR, and GEP in predicting. A graphical user interface (GUI) was developed to be used as a tool for predicting Ft of RA concrete containing SCMs and PPF. This approach facilitates the efficient development of high-performance, eco-friendly concrete with reduced experimental effort. Full article
(This article belongs to the Section Building Structures)
Show Figures

Figure 1

16 pages, 549 KB  
Article
Effect of mHealth on Postpartum Family Planning and Its Associated Factors Among Women in South Ethiopia: A Cluster-Randomized Controlled Trial
by Girma Gilano, Andre Dekker and Rianne Fijten
J. Clin. Med. 2025, 14(24), 8703; https://doi.org/10.3390/jcm14248703 - 9 Dec 2025
Viewed by 110
Abstract
Introduction: Postpartum family planning (PPFP) is a critical strategy for improving maternal and child health by preventing unintended pregnancies and optimizing birth spacing. However, PPFP uptake remains suboptimal in Ethiopia, where sociocultural barriers, limited health information, and inadequate counseling impede progress. Mobile [...] Read more.
Introduction: Postpartum family planning (PPFP) is a critical strategy for improving maternal and child health by preventing unintended pregnancies and optimizing birth spacing. However, PPFP uptake remains suboptimal in Ethiopia, where sociocultural barriers, limited health information, and inadequate counseling impede progress. Mobile health (mHealth) interventions have shown promise in overcoming these challenges by delivering targeted health information directly to individuals. This study aimed to evaluate the effect of an mHealth intervention on uptake and the intention to use PPFP among postpartum women in South Ethiopia. Methods: We conducted a cluster-randomized controlled trial in randomly selected health facilities in South Ethiopia. Pregnant women from primary hospitals and health centers were selected from registers and family folders. Data were collected using face-to-face and mobile interviews and analyzed using a generalized linear mixed model (GLMM) to account for the clustering. Results: The mHealth intervention significantly increased PPFP uptake (OR = 2.89, 95% CI: 1.55–5.37) and the intention to use PPFP (AOR = 2.05, 95% CI: 1.24–3.46) compared to standard care. The predicted probability of using PPFP was 85% in the intervention group. Women who discussed family planning with their partners (AOR = 2.10, 95% CI: 1.30–3.35) had a higher probability of using PPFP, and those exposed to media (AOR = 1.58, 95% CI: 1.07–2.32) had an increased likelihood of planning to use PPFP. Conversely, limited autonomy in decision-making and delays in postnatal care attendance were associated with reduced uptake and intention to use PPFP. Conclusions: The mHealth intervention improved uptake of PPFP and increased intention to use PPFP among postpartum women in South Ethiopia. PPFP uptake was higher in the intervention group (85%) than in the control group (68%). Partner involvement, decision-making autonomy, and media exposure emerged as significant facilitators of PPFP adoption. Scaling up mHealth interventions could address unmet family planning needs, but integration with broader strategies that address sociocultural barriers and enhanced counseling is essential. Interventions must be contextually tailored and grounded in behavioral theory (HBM, TPB, and TAM) to maximize effectiveness. Future research should examine the long-term sustainability and adaptability of mHealth approaches across diverse contexts. Full article
(This article belongs to the Section Obstetrics & Gynecology)
Show Figures

Figure 1

13 pages, 2181 KB  
Article
Association Between Stride Parameters and Racetrack Curvature for Thoroughbred Chuckwagon Horses
by Matthijs van den Broek, Zoe Y. S. Chan, Charlotte De Bruyne, Karelhia Garcia-Alamo, Sara Skotarek Loch and Thilo Pfau
Sensors 2025, 25(23), 7376; https://doi.org/10.3390/s25237376 - 4 Dec 2025
Viewed by 314
Abstract
Increased risk of musculoskeletal injury in galloping racehorses has been linked to decreased stride length and reduced speed over consecutive races prior to the injury. As racetrack curvature influences horses’ maximal speed, we hypothesized it also affects stride parameters. During training sessions, twenty-eight [...] Read more.
Increased risk of musculoskeletal injury in galloping racehorses has been linked to decreased stride length and reduced speed over consecutive races prior to the injury. As racetrack curvature influences horses’ maximal speed, we hypothesized it also affects stride parameters. During training sessions, twenty-eight wagon-pulling Thoroughbred Chuckwagon horses were equipped with Global Navigation Satellite System (GNSS) loggers, allowing for identification of speed, stride length (SL) and stride frequency (SF), and average speed, SL and SF were calculated for consecutive 100 m sections. Effects of curvature on speed were investigated with a linear mixed model with speed as output variable, curvature as fixed factor, and horse as random factor. Effects of curvature and speed on stride parameters were investigated with linear mixed models with output variables SL and SF, continuous covariates speed, curvature, and the two-way interaction between curvature and speed as fixed factors, and horse as random factor. Curvature was associated with a significant increase in speed (p = 0.004), decrease in SL (p < 0.001) and increase in SF (p < 0.001), and for SL and SF the magnitude of these effects was dependent on speed (p < 0.001). At a curvature of 60° per 100 m, an increase in speed of 0.264 m/s was found compared to the straight, although this effect is likely confounded by fatigue. At the median speed of 14.5 m/s and a curvature of 60° per 100 m, a SF increase of 0.053 Hz (+2.4%) and a SL reduction of 0.137 m (−2.1%) was found compared to the straight. This is in the same order of magnitude as the 0.10 m SL reduction over consecutive races previously associated with increased injury risk. We conclude that, in Chuckwagon horses, interactions between speed and curvature are affecting stride parameters that have previously been identified as predictors of musculoskeletal injuries. Full article
(This article belongs to the Section Navigation and Positioning)
Show Figures

Figure 1

34 pages, 2582 KB  
Article
Integrating UAV Multi-Temporal Imagery and Machine Learning to Assess Biophysical Parameters of Douro Grapevines
by Pedro Marques, Leilson Ferreira, Telmo Adão, Joaquim J. Sousa, Raul Morais, Emanuel Peres and Luís Pádua
Remote Sens. 2025, 17(23), 3915; https://doi.org/10.3390/rs17233915 - 3 Dec 2025
Viewed by 333
Abstract
The accurate estimation of grapevine biophysical parameters is important for decision support in precision viticulture. This study addresses the use of unmanned aerial vehicle (UAV) multispectral data and machine learning (ML) techniques to estimate leaf area index (LAI), pruning wood biomass, and yield, [...] Read more.
The accurate estimation of grapevine biophysical parameters is important for decision support in precision viticulture. This study addresses the use of unmanned aerial vehicle (UAV) multispectral data and machine learning (ML) techniques to estimate leaf area index (LAI), pruning wood biomass, and yield, across mixed-variety vineyards in the Douro Region of Portugal. Data were collected at three phenological stages, from veraison to maturation and two modeling approaches were tested: one using only spectral features, and another combining spectral and geometric features derived from photogrammetric elevation data. Multiple linear regression (MLR) and five ML algorithms were applied, with feature selection performed using both forward and backward selection procedures. Logarithmic transformations were used to mitigate data skewness. Overall, ML algorithms provided better predictive performance than MLR, particularly when geometric features were included. At harvest-ready, Random Forest achieved the highest accuracy for LAI (R2 = 0.83) and yield (R2 = 0.75), while MLR produced the most accurate estimates for pruning wood biomass (R2 = 0.83). Among geometric variables, canopy area was the most informative. For spectral data, the Modified Soil-Adjusted Vegetation Index (MSAVI) and the Soil-Adjusted Vegetation Index (SAVI) were the most relevant. The models performed well across grapevine varieties, indicating that UAV-based monitoring can serve as a practical, non-invasive, and scalable approach for vineyard management in heterogeneous vineyards. Full article
(This article belongs to the Special Issue Retrieving Leaf Area Index Using Remote Sensing)
Show Figures

Figure 1

12 pages, 797 KB  
Article
Comparison of Intraneural FacilitationTM Therapy and Exercise on Patients with Type 2 Diabetes: A Single-Blind Randomized Trial
by Kyan Sahba, Christopher G. Wilson, Evelen Gonzales, Jamie Hankins, Hailey Jahromi, Mark Ghamsary and Mark Bussell
Biomedicines 2025, 13(12), 2968; https://doi.org/10.3390/biomedicines13122968 - 3 Dec 2025
Viewed by 446
Abstract
Background: Diabetic peripheral neuropathy (DPN) is a prevalent complication of type 2 diabetes (T2D), associated with microvascular dysfunction and significant morbidity. Exercise is a cornerstone of diabetes care and has demonstrated benefits for neuropathic pain, whereas Intraneural FacilitationTM (INF®) therapy [...] Read more.
Background: Diabetic peripheral neuropathy (DPN) is a prevalent complication of type 2 diabetes (T2D), associated with microvascular dysfunction and significant morbidity. Exercise is a cornerstone of diabetes care and has demonstrated benefits for neuropathic pain, whereas Intraneural FacilitationTM (INF®) therapy is a manual technique designed to enhance intraneural perfusion. This study compared the effects of INF® therapy and exercise on neuropathic pain qualities in adults with DPN. Methods: In this single-blinded randomized controlled trial, 38 adults with T2D and moderate to severe DPN were randomized to INF® therapy (n = 20) or standardized exercise (n = 18). Participants completed nine 60-min sessions over a period of six weeks. Neuropathic pain qualities were assessed using the Pain Quality Assessment Scale (PQAS) at baseline and post-treatment. Paired t tests, independent t tests, and linear mixed models adjusted for age and body-mass index (BMI) evaluated within- and between-group changes. Results: Both treatment groups demonstrated significant reductions in total PQAS scores (p = 0.001). INF® therapy produced improvements across paroxysmal, superficial, and deep pain domains, with reductions in descriptors such as shooting, sharp, electrical, numb, and unpleasant pain. Exercise led to selective improvements, including sharp, electrical, numb, sensitive, and unpleasant sensations associated with pain. Between-group analyses and mixed-effects models revealed no significant differences after adjusting for confounding factors. Conclusions: Both INF® therapy and exercise improved neuropathic pain qualities in adults with DPN. INF® therapy demonstrated broader within-group effects, suggesting its potential as a passive adjunct or alternative for patients unable to tolerate active exercise. Full article
(This article belongs to the Special Issue Molecular and Histopathological Background of Diabetic Neuropathy)
Show Figures

Figure 1

17 pages, 1201 KB  
Review
Application of Plastic Waste as a Sustainable Bitumen Mixture—A Review
by Nuha S. Mashaan and Thakur Chamlagai
Appl. Sci. 2025, 15(23), 12761; https://doi.org/10.3390/app152312761 - 2 Dec 2025
Viewed by 356
Abstract
Plastic waste is growing rapidly, while asphalt binders remain heavily reliant on petroleum bitumen. Incorporating recycled plastics into bitumen can divert waste and enhance pavement performance. This review compiles 251 experimental records from 56 studies to evaluate how plastic type, dosage, and processing [...] Read more.
Plastic waste is growing rapidly, while asphalt binders remain heavily reliant on petroleum bitumen. Incorporating recycled plastics into bitumen can divert waste and enhance pavement performance. This review compiles 251 experimental records from 56 studies to evaluate how plastic type, dosage, and processing conditions affect softening point, penetration, and viscosity. Across studies, plastics (PET, LDPE/HDPE/LLDPE, PP, and hybrids) consistently stiffen binders, reducing penetration and increasing softening point and viscosity, thereby improving rutting resistance while potentially raising mixing/compaction demands. Using grouped cross-validated machine-learning models (median baseline, ridge, random forest, XGBoost), we quantify the predictability of binder properties and show that nonlinear methods outperform linear baselines for softening point. Prediction of penetration and viscosity shows larger scatter, reflecting study-to-study variability and incomplete reporting of key processing variables. We identify research needs in standardized testing, compatibility/dispersion characterization, and life-cycle assessment. The curated dataset and modeling workflow provide a data-driven foundation for designing durable, higher-performance plastic-modified binders. Full article
Show Figures

Figure 1

38 pages, 8524 KB  
Article
Prediction of Compressive Strength of Carbon Nanotube Reinforced Concrete Based on Multi-Dimensional Database
by Ao Yan, Shengdong Zhang, Zhuoxuan Li, Peng Zhu and Yuching Wu
Buildings 2025, 15(23), 4349; https://doi.org/10.3390/buildings15234349 - 1 Dec 2025
Viewed by 302
Abstract
The incorporation of carbon nanotubes (CNTs) enhances the mechanical properties of cement-based materials by inhibiting micro-crack propagation. Machine learning provides an efficient approach for predicting the compressive strength of CNT-reinforced concrete, yet existing studies often lack important features and rely on less adaptive [...] Read more.
The incorporation of carbon nanotubes (CNTs) enhances the mechanical properties of cement-based materials by inhibiting micro-crack propagation. Machine learning provides an efficient approach for predicting the compressive strength of CNT-reinforced concrete, yet existing studies often lack important features and rely on less adaptive models. To address these issues, a multi-dimensional database (429 experimental data points) covering 11 factors (including cement mix ratio, CNT morphology, and dispersion process) was constructed. A hierarchical model verification and optimization was conducted: traditional regression models (Multiple Linear Regression, Multiple Polynomial Regression (MPR), Multivariate Adaptive Regression Splines), mainstream model (Support Vector Regression (SVR)), and ensemble learning models (Random Forest, eXtreme Gradient Boosting (XGB), Light Gradient Boosting Machine optimized by Particle Swarm Optimization (PSO)/Bayesian Optimization (BO)) are trained, compared, and evaluated. MPR performs best (test set R2 = 0.856) among traditional regression models, while SVR (test set R2 = 0.824) is less accurate. The highest accuracy in ensemble models is achieved by the PSO-optimized XGB model, with R2 = 0.910 (test set). PSO outperforms BO in optimization precision, while BO is much more efficient. Water–cement ratio, age, and sand–cement ratio are the primary influencing factors for strength. Among CNT parameters, the inner diameter has greater impact than the length and outer diameter. Optimal CNT parameters are CNT–cement mass ratio 0.1–0.3%, inner diameter ≥ 7.132 nm, and length 1–15 μm. Surfactant polycarboxylate can increase strength, while OH functional groups can decrease it. These findings, integrated into the high-precision PSO-XGB model, provide a powerful tool for optimizing the mix design of CNT-reinforced concrete, accelerating its development and application in the industry. Full article
(This article belongs to the Section Building Materials, and Repair & Renovation)
Show Figures

Figure 1

11 pages, 931 KB  
Article
A Novel, Drinkable Food Supplement Formulation Reduces Hair Shedding and Increases the Percentage of Anagen Scalp Hair Follicles in Females with Hair Loss
by Manuel Sáez Moya, Gillian E. Westgate, Ralf Paus and Daniela Grohmann
J. Clin. Med. 2025, 14(23), 8471; https://doi.org/10.3390/jcm14238471 - 28 Nov 2025
Viewed by 952
Abstract
Background/Objectives: Telogen effluvium (TE) is a common, non-scarring hair loss condition characterized by excessive shedding due to disruptions in the hair growth cycle. It is often triggered by stress, hormonal changes, or nutritional deficiencies and is often associated with impaired quality of [...] Read more.
Background/Objectives: Telogen effluvium (TE) is a common, non-scarring hair loss condition characterized by excessive shedding due to disruptions in the hair growth cycle. It is often triggered by stress, hormonal changes, or nutritional deficiencies and is often associated with impaired quality of life. The objective of this study was to evaluate the efficacy and safety of a novel once-a-day drinkable food supplement in women experiencing TE. Methods: A monocentric, open-label, single-arm pilot study was conducted, enrolling 37 female subjects aged 20 to 45 years with self-perceived hair shedding and diagnosed with TE. Subjects refrained from using products with similar effects throughout the study. Evaluations included hair density, hair shedding, anagen to catagen/telogen (A:C/T) ratio, and self-perception after 1, 3, and 6 months. Statistical analyses were performed using Linear Mixed-effects Models (LMMs) and Wilcoxon signed-rank tests. Results: At 1, 3, and 6 months, a statistically significant increase in hair density compared to baseline was observed under the regimen of the tested product. After 6 months, this translated into a 12% increase vs. baseline (p < 0.001). Hair shedding decreased significantly from baseline to each subsequent visit, with a 28% reduction in shedding after 6 months (p < 0.05). The A:C/T ratio significantly increased after both 3 and 6 months, from 3.39:1 to 6.96:1 (p < 0.001). Self-perception questionnaires indicated high satisfaction with hair improvements. Conclusions: This single-arm pilot study suggests that the novel, drinkable food supplement improves hair density and hair shedding in women experiencing TE and underscores the potential of supplement intervention for managing female hair thinning, mainly by reducing TE through increased density of growing hairs. Whilst these preliminary results are encouraging, we recognize that a larger, placebo-controlled, blinded, randomized trial using the product is necessary to corroborate these findings and further explore the underlying hair cycle effects. Full article
Show Figures

Figure 1

15 pages, 688 KB  
Article
Effectiveness of HEPA/Carbon Filter Air Purifier in Reducing Indoor NO2 and PM2.5 in Homes with Gas Stove Use in Lowell, Massachusetts
by Khafayat Kadiri, David Turcotte, Rebecca Gore, Anila Bello, Serena Rajabiun, Karyn Heavner and Susan R. Woskie
Toxics 2025, 13(12), 1030; https://doi.org/10.3390/toxics13121030 - 28 Nov 2025
Viewed by 1531
Abstract
Nitrogen dioxide (NO2) and particulate matter of 2.5 microns (PM2.5) impact health outcomes. This study utilized a pre- to post-test study design to evaluate the impact of air purifiers fitted with a high-efficiency particulate air (HEPA) and carbon filters [...] Read more.
Nitrogen dioxide (NO2) and particulate matter of 2.5 microns (PM2.5) impact health outcomes. This study utilized a pre- to post-test study design to evaluate the impact of air purifiers fitted with a high-efficiency particulate air (HEPA) and carbon filters in reducing indoor NO2 and PM2.5. Sixty-seven low-income homes in Lowell, Massachusetts, were included in this study. Home visits were conducted every four months for 12 months. At each visit, we conducted environmental sampling, measuring indoor NO2, PM2.5, stove use, temperature, and humidity over 5–7 days. We collected environmental exposure data using questionnaires. Air purifiers were introduced after the 4th month. Linear mixed models were used to predict changes in NO2 and PM2.5, with independent predictors as fixed effects and homes as random effects. The geometric mean (GM) for NO2 decreased by 36% from 20.16 to 12.79 ppb (p < 0.001). GM for PM2.5 decreased by 45% from 17.12 to 9.16 µg/m3 (p < 0.001). We found that an increase in air purifier use resulted in a significant decrease in NO2 and PM2.5, and an increase in stove usage increased NO2. HEPA/carbon filters have the potential to improve indoor air quality by reducing NO2 and PM2.5, enabling the tailoring of interventions to mitigate these air pollutants. Full article
Show Figures

Figure 1

18 pages, 2446 KB  
Article
Hematological Biomarkers of the Obstructive Sleep Apnea Syndrome: A Machine Learning-Based Diagnostic and Prognostic Model
by Aynur Aliyeva, Ramil Hashimli and Bayram Yılmaz
J. Clin. Med. 2025, 14(23), 8437; https://doi.org/10.3390/jcm14238437 - 28 Nov 2025
Viewed by 492
Abstract
Objectives: To investigate the diagnostic and prognostic utility of systemic inflammatory biomarkers—including C-reactive protein (CRP), systemic immune-inflammation index (SII), and Fibrinogen—in patients with obstructive sleep apnea syndrome (OSAS), and to develop a machine learning-based stratification model for disease severity and treatment [...] Read more.
Objectives: To investigate the diagnostic and prognostic utility of systemic inflammatory biomarkers—including C-reactive protein (CRP), systemic immune-inflammation index (SII), and Fibrinogen—in patients with obstructive sleep apnea syndrome (OSAS), and to develop a machine learning-based stratification model for disease severity and treatment response. Study Design: Prospective observational cohort study. Setting: Single tertiary referral sleep and otolaryngology center. Methods: Adult OSAS patients (n = 195) diagnosed via polysomnography were treated with either CPAP or surgery and reassessed after ~4 months (16–20 weeks). Hematologic biomarkers were measured pre- and post-treatment. OSAS severity was staged using a composite polysomnography (PSG)-based index. Statistical analyses included mixed linear modeling, ROC analysis, unsupervised clustering, and machine learning (Random Forest) to evaluate biomarker utility. Results: CRP demonstrated the highest diagnostic accuracy for severe OSAS (AUC = 0.91, sensitivity = 88.2%, specificity = 85.7%). Fibrinogen showed the strongest correlation with disease severity (ρ = 0.81) and the largest post-treatment reduction (Cohen’s d = 1.41). SII also correlated with PSG stage and declined significantly after treatment. Machine learning confirmed CRP, SII, and Fibrinogen as top predictors of severity. Clustering analysis revealed three distinct inflammatory phenotypes of OSAS with differential biomarker responsiveness. Conclusions: CRP, SII, and fibrinogen may support risk stratification and follow-up in OSAS but require prospective validation before clinical use. These findings should be viewed as exploratory and hypothesis-generating. Larger multicenter studies with external validation are needed before these biomarkers or the machine-learning model are applied in routine practice. Full article
Show Figures

Figure 1

Back to TopTop