Sign in to use this feature.

Years

Between: -

Subjects

remove_circle_outline
remove_circle_outline
remove_circle_outline
remove_circle_outline
remove_circle_outline
remove_circle_outline
remove_circle_outline
remove_circle_outline

Journals

Article Types

Countries / Regions

Search Results (115)

Search Parameters:
Keywords = probabilistic finite element analysis

Order results
Result details
Results per page
Select all
Export citation of selected articles as:
24 pages, 8092 KB  
Article
Seismic Performance and Fragility Assessment of a Prefabricated Shear Wall System with Keyway Interlocking and Concentrated Reinforcement Connections
by Chao Deng, Wei Sun and Xiaoyong Luo
Buildings 2026, 16(6), 1201; https://doi.org/10.3390/buildings16061201 - 18 Mar 2026
Abstract
Prefabricated reinforced concrete shear wall structures have attracted significant attention due to their advantages in industrialized construction and sustainability. However, the structural performance of prefabricated shear wall systems still requires further investigation to ensure reliable seismic behavior under earthquake loading. In this study, [...] Read more.
Prefabricated reinforced concrete shear wall structures have attracted significant attention due to their advantages in industrialized construction and sustainability. However, the structural performance of prefabricated shear wall systems still requires further investigation to ensure reliable seismic behavior under earthquake loading. In this study, a fully prefabricated shear wall system incorporating keyway interlocking joints and concentrated reinforcement connections is proposed, and its nonlinear seismic behavior is systematically investigated through finite element modeling, parametric analysis, nonlinear time history analysis, and incremental dynamic analysis. The finite element models were validated against available experimental results and reproduced the hysteretic response, stiffness degradation, and load-carrying capacity with good agreement. The relative errors in peak load were within 5%, indicating the reliability of the adopted modeling approach. Parametric analyses indicate that axial compression ratio, concrete strength, and wall thickness significantly affect structural performance, while prefabricated walls exhibit slightly lower stiffness and strength than cast-in-place walls, with mean reduction factors of 0.88 and 0.91. An eight-story prefabricated shear wall building subjected to multiple scaled ground motions exhibits stable flexure-dominated deformation without joint sliding or soft-story mechanisms. Peak roof displacements reached 19.71 mm and 32.85 mm in the X and Y directions, with maximum interstory drift ratios of 1/892 and 1/724. These values are significantly smaller than the commonly adopted collapse drift limit of 1/120 specified in seismic design guidelines, indicating a relatively large deformation safety margin under the ground motions considered. Probabilistic seismic demand models were established based on both PGA and Sa(T1, 5%) intensity measures, showing strong correlations with the maximum interstory drift ratio. Fragility analysis demonstrates a high probability of remaining in intact or slight damage states under frequent and design-level earthquakes and a low collapse probability under rare earthquakes. These findings provide valuable insights for the design of next-generation prefabricated shear wall systems with mechanical interlocking joints and concentrated reinforcement connections. Full article
(This article belongs to the Section Building Structures)
Show Figures

Figure 1

32 pages, 12219 KB  
Article
Stochastic Mechanical Response and Failure Mode Transition of Corroded Buried Pipelines Subjected to Reverse Faulting
by Tianchong Li, Kaihua Yu, Yachao Hu, Ruobing Wu, Yuchao Yang and Feng Liu
Materials 2026, 19(5), 1033; https://doi.org/10.3390/ma19051033 - 8 Mar 2026
Viewed by 169
Abstract
Buried oil and gas pipelines, the critical arteries of global energy infrastructure, are increasingly vulnerable to severe geological hazards such as reverse faulting, yet their structural integrity is often pre-compromised by stochastic corrosion damage accumulated during service. However, quantifying the coupled impact of [...] Read more.
Buried oil and gas pipelines, the critical arteries of global energy infrastructure, are increasingly vulnerable to severe geological hazards such as reverse faulting, yet their structural integrity is often pre-compromised by stochastic corrosion damage accumulated during service. However, quantifying the coupled impact of spatial corrosion heterogeneity and large ground deformation remains a formidable challenge due to the complex nonlinearities involved in soil–structure interactions and wall thinning. This study establishes a probabilistic assessment framework integrating random field theory, nonlinear finite element analysis, and a generative conditional diffusion model to characterize realistic 2D non-Gaussian corrosion morphologies. The numerical results reveal a significant geometric stiffening effect induced by internal pressure, where moderate operating levels effectively suppress cross-sectional distortion by counteracting the Brazier effect. Consequently, this mechanism facilitates a fundamental transition in failure modes from localized tensile rupture to ductile buckling, significantly extending the critical fault displacement threshold. Furthermore, probabilistic fragility analysis demonstrates that the spatial dispersion of pitting, rather than just average wall thinning, governs the initiation of premature failure. Mechanistic analysis indicates that high internal pressure, while providing pneumatic support, exacerbates tensile strain localization at corrosion pits, leading to a heightened probability of premature rupture under minor fault deformations, a critical hazard that traditional deterministic models significantly underestimate. These findings provide a quantitative theoretical foundation for the reliability-based design and maintenance of energy lifelines traversing active tectonic zones. Full article
(This article belongs to the Section Materials Simulation and Design)
Show Figures

Figure 1

22 pages, 907 KB  
Review
High-Fidelity Numerical Models and Reduced-Order Models in the Thermal and Thermomechanical Analyses of Timber Beams Under Fire—A Review
by Ezequiel Menegaz Meneghetti, Victor Almeida De Araujo, Fernando Júnior Resende Mascarenhas, Sérgio Neves Monteiro, Afonso Rangel Garcez de Azevedo and André Luis Christoforo
Buildings 2026, 16(5), 1067; https://doi.org/10.3390/buildings16051067 - 8 Mar 2026
Viewed by 196
Abstract
Timber beams have assumed a prominent role in contemporary structural engineering, driven by sustainability requirements and the advancement of engineered wood products. Despite the evident environmental and building advantages, the performance of timber beam elements under fire conditions remains one of the main [...] Read more.
Timber beams have assumed a prominent role in contemporary structural engineering, driven by sustainability requirements and the advancement of engineered wood products. Despite the evident environmental and building advantages, the performance of timber beam elements under fire conditions remains one of the main design challenges, due to the strong nonlinearity of thermal behavior, progressive charring, and degradation of mechanical properties. In this context, numerical simulations have become a central tool for the thermal and thermomechanical assessment of timber beams exposed to fire. This study presents a technical and critical review of numerical approaches applied to timber beam elements, with emphasis on finite element–based models, thermal modeling strategies, representation of charring, thermomechanical coupling, and the use of reduced-order and surrogate models. The distinctive contribution of this work lies in an integrated and critical analysis of these approaches, explicitly articulating high-fidelity numerical models with reduced-order and symbolic models, aiming at their use as complementary tools in structural design. The analysis was conducted thematically, based on literature selected from major international databases, emphasizing modeling assumptions, levels of numerical complexity, and methodological limitations. The results indicate a predominance of transient finite element (FEM) models, widespread use of two-dimensional cross-sectional analyses, increasing adoption of enthalpy-based formulations for charring, and a prevalence of sequential thermomechanical coupling strategies. In contrast, the literature reveals strong heterogeneity in thermal parameters, limited standardization of validation procedures, restricted use of probabilistic approaches, and still incipient integration of reduced-order and symbolic models. It is concluded that future advances in the field depend on the standardization of modeling strategies, the expansion of thermal property databases, and, above all, the integration of high-fidelity models with interpretable reduced-order models, capable of supporting parametric analyses and performance-based structural design methodologies. Full article
Show Figures

Figure 1

24 pages, 9499 KB  
Article
Stability Assessment of an Underground Powerhouse Cavern Under Pseudo-Static and Dynamic Earthquake Loading
by Sailesh Adhikari and Krishna Kanta Panthi
Appl. Sci. 2026, 16(5), 2506; https://doi.org/10.3390/app16052506 - 5 Mar 2026
Viewed by 161
Abstract
This study examines the seismic stability of an underground powerhouse cavern located in the Lesser Himalayan region of Nepal. Both static and seismic loading conditions are analyzed using the finite element method (FEM) and the distinct element method (DEM). Rock mass properties are [...] Read more.
This study examines the seismic stability of an underground powerhouse cavern located in the Lesser Himalayan region of Nepal. Both static and seismic loading conditions are analyzed using the finite element method (FEM) and the distinct element method (DEM). Rock mass properties are derived from field investigations and laboratory testing, while empirical correlations are applied to estimate rock mass strength and deformation modulus. Pseudo-static analyses are performed using the FEM-based software Rock and Soil-2-Dimensionsl (RS2) Version 11.027, and dynamic analyses are conducted using the DEM-based software Universal Distinct Element Code (UDEC) Version 5.0 to evaluate deformation and stress redistribution around the cavern. Seismic fragility curves are developed to quantify the probability of damage under varying seismic intensities. Results indicate that a peak ground acceleration (PGA) of 0.25 g increases cavern wall deformation by approximately 15–20 mm compared to static conditions. Fragility analysis shows a probability exceeding 68% for slight damage, while the probability of collapse remains low at approximately 1.7%. Seismic loading also significantly alters stress redistribution along the cavern boundary. Overall, the combined use of numerical modeling and fragility analysis provides a probabilistic framework for assessing seismic risk in underground caverns, offering valuable insights for the design and safety evaluation of hydropower projects in seismically active Himalayan regions. Full article
(This article belongs to the Special Issue Advances in Rock Mechanics: Theory, Method, and Application)
Show Figures

Figure 1

26 pages, 6496 KB  
Article
Finite Element Modeling of Different Autonomous Truck Combinations, Tire Types and Lateral Wander Modes
by Mohammad Fahad
Appl. Sci. 2026, 16(5), 2498; https://doi.org/10.3390/app16052498 - 5 Mar 2026
Viewed by 186
Abstract
Autonomous trucks can be used in different loading combinations, including different axle configurations, tire types, and lateral wander mode scenarios. In this research, four different truck types have been selected with varying gross weights and axle configurations. The four different truck types include [...] Read more.
Autonomous trucks can be used in different loading combinations, including different axle configurations, tire types, and lateral wander mode scenarios. In this research, four different truck types have been selected with varying gross weights and axle configurations. The four different truck types include a 5-axle long-haul semi-truck, a 6-axle electric autonomous truck, a 6-axle autonomous truck platoon leader, and a 5-axle autonomous truck platoon follower. Furthermore, three different tire footprint scenarios, consisting of a conventional dual wheel assembly, a wide base tire, and a new generation wide base tire, have been used. In order to utilize the possibility of lateral wander programmed into the autonomous trucks, three different lateral wander models, including zero lateral wander, a human-driven probabilistic lateral wander, and an optimum uniform wander mode, have been used. Finite element analysis has been employed to incorporate the effects of various scenarios on a conventional pavement section. Results showed improved pavement life with the use of uniform wander mode, where trucks T1 and T2 improved the pavement life by 47% and 56%, respectively, when compared to truck T3. Furthermore, the use of uniform wander mode decreases rutting and fatigue damage by 36% and 28%, respectively, on average for all scenarios. The use of new generation wide-base tires is recommended, since it reduces damaging strains by 38% when compared to the dual tire configuration. Full article
Show Figures

Figure 1

25 pages, 4721 KB  
Article
Vulnerability Analysis of the Distribution Pole-Tower Conductor System Under Typhoon and Heavy Rainfall Disasters
by Haijun Yu, Jinjin Ding, Yuanzhi Li, Lijun Wang, Weibo Yuan and Xunting Wang
Energies 2026, 19(5), 1236; https://doi.org/10.3390/en19051236 - 2 Mar 2026
Viewed by 218
Abstract
A vulnerability surface modeling method based on dual intensity metrics is proposed to assess the impact of typhoons and heavy rainfall disasters on the distribution pole-tower conductor system. A three-dimensional finite-element model is developed for a typical “three-pole four-conductor” distribution line, considering the [...] Read more.
A vulnerability surface modeling method based on dual intensity metrics is proposed to assess the impact of typhoons and heavy rainfall disasters on the distribution pole-tower conductor system. A three-dimensional finite-element model is developed for a typical “three-pole four-conductor” distribution line, considering the uncertainties in both load-side and structural-side parameters. A spatially coherent turbulent wind field is generated using the Davenport spectrum and harmonic superposition method, while an equivalent rain load is derived based on raindrop spectrum integration. Nonlinear dynamic time-history analysis is then conducted under multiple combinations of basic wind speeds and rainfall intensities, extracting engineering demand parameters such as conductor axial tension and pole-base bending moments. Based on probabilistic demand analysis, the relationship between engineering demand parameters and dual intensity measures is regressed in the logarithmic domain to construct bivariate fragility surfaces for both the conductors and the poles. Critical failure curves are obtained by intersecting the fragility surfaces with the 10% exceedance probability level, enabling rapid classification of structural risk under the joint effects of wind and rain. The results show that the regression model provides a high fit, effectively revealing that wind speed is the dominant control factor, while rainfall intensity serves as a secondary amplifying factor. The resulting critical failure curves can be directly used as operation and maintenance warning thresholds and can be coupled with observed and forecast meteorological data for time-varying risk assessment. These findings provide methodological support and engineering guidance for risk assessment, operation and maintenance decision-making, and resilience enhancement of distribution networks under multi-hazard coupling. Full article
Show Figures

Figure 1

27 pages, 4682 KB  
Article
A Computational Approach to Preliminary Tunnel Design: Integrating Kirsch Equations and the Generalized Hoek–Brown Criterion
by Josip Vincek, Ivan Vujević, Vinko Škrlec and Karolina Herceg
Appl. Sci. 2026, 16(5), 2347; https://doi.org/10.3390/app16052347 - 28 Feb 2026
Viewed by 207
Abstract
Reliable preliminary assessment of stress redistribution and rock mass stability is a critical step in tunnel design, providing guidance before detailed numerical modeling and support design are undertaken. This study presents RockStressCalc, a Python-based computational framework that integrates classical elastic stress–displacement analysis with [...] Read more.
Reliable preliminary assessment of stress redistribution and rock mass stability is a critical step in tunnel design, providing guidance before detailed numerical modeling and support design are undertaken. This study presents RockStressCalc, a Python-based computational framework that integrates classical elastic stress–displacement analysis with empirical rock mass strength evaluation for circular tunnels within a transparent analytical workflow. The tool combines Kirsch’s closed-form solution for stress redistribution around a circular opening under anisotropic in situ stress conditions with the generalized Hoek–Brown criterion to enable spatially resolved evaluation of elastic strength reserve. The framework assumes a homogeneous, isotropic, linear–elastic rock mass under plane strain conditions and introduces a Stability Factor as a stress-based indicator of proximity to initial yield. The analytical implementation is verified against finite-element simulations performed in Plaxis2D under equivalent elastic assumptions. The maximum stress difference at the excavation boundary remained below 10%, while displacement deviations were below approximately 4%. In addition, comparison between the analytical far-field Stability Factor and the numerical strength reduction multiplier demonstrated close agreement, confirming consistency between the analytical and finite-element formulations under uniform stress conditions. The results show that RockStressCalc provides a computationally efficient analytical baseline suitable for rapid parametric evaluation, sensitivity studies, educational use, and independent verification of numerical models in early-stage tunnel design. By emphasizing explicit coupling of stress redistribution and strength evaluation within a reproducible framework, rather than introducing new constitutive models, the proposed approach offers practical engineering value as a screening and benchmarking tool and provides a foundation for future probabilistic or extended tunnel stability analyses. Full article
Show Figures

Figure 1

16 pages, 3856 KB  
Article
Probabilistic Structural Design of Detachable Mooring Apparatus for 10 MW Floating Offshore Wind Turbine Using Reliability-Based Robust Optimization
by Min-Seok Cheong and Chang-Yong Song
J. Mar. Sci. Eng. 2026, 14(5), 437; https://doi.org/10.3390/jmse14050437 - 26 Feb 2026
Viewed by 215
Abstract
This paper applies the reliability-based robust optimization (RBRO) technique to investigate the probabilistic structural design characteristics of the Fairlead Chain Stopper (FCS), a newly developed detachable mooring apparatus for installation on a 10 MW floating offshore wind turbine. The thickness dimensions of the [...] Read more.
This paper applies the reliability-based robust optimization (RBRO) technique to investigate the probabilistic structural design characteristics of the Fairlead Chain Stopper (FCS), a newly developed detachable mooring apparatus for installation on a 10 MW floating offshore wind turbine. The thickness dimensions of the FCS’s major structural members were considered as random design variables, including uncertainties such as manufacturing tolerances. The structural strength performance was defined as a probabilistic constraint function based on the allowable stresses specified by DNV classification rule. The structural strength performance of the FCS was evaluated through finite element analysis (FEA) using design load conditions for moored (LC1, LC2) and towed (LC3) conditions based on DNV classification rules. The RBRO design problem was formulated with weight minimization as the objective function, with probabilistic constraints on strength performance and 3-sigma robustness applied as side constraints. To evaluate reliability analysis methods suitable for probabilistic optimal design, the Mean Value Reliability Method (MVRM) and the Adaptive Importance Sampling Method (AISM) were applied during the RBRO process, and the results were compared and analyzed. The probabilistic optimal design using RBRO exhibited conservative design characteristics compared to the deterministic optimal design, ensuring robustness and reliability. After comprehensively considering the weight reduction rate and numerical computational cost (number of function evaluations), the RBRO method using MVRM was confirmed to be the most reasonable method for the probabilistic optimal structural design of the FCS. Full article
(This article belongs to the Section Ocean Engineering)
Show Figures

Figure 1

21 pages, 6782 KB  
Article
Probabilistic Assessment of Rock Slopes at Mount Uhud, Madinah, Saudi Arabia
by Wael R. Abdellah, Hassan A. M. Abdelkader, Atef M. Abu Khatita and Mahrous A. M. Ali
Geosciences 2026, 16(2), 86; https://doi.org/10.3390/geosciences16020086 - 19 Feb 2026
Viewed by 381
Abstract
This study evaluates the stability and failure probability of rock slopes at Mount Uhud, Madinah, Saudi Arabia, with particular attention to a representative slope in the densely populated southern part. A combined deterministic–probabilistic approach was adopted using a two-dimensional, nonlinear elastoplastic finite element [...] Read more.
This study evaluates the stability and failure probability of rock slopes at Mount Uhud, Madinah, Saudi Arabia, with particular attention to a representative slope in the densely populated southern part. A combined deterministic–probabilistic approach was adopted using a two-dimensional, nonlinear elastoplastic finite element model to capture realistic slope behavior. Uncertainty in key geomechanical parameters—slope angle, cohesion, and internal friction angle—was quantified through Li’s Point Estimate Method, resulting in n3 probabilistic simulations. Slope performance was assessed in terms of both factor of safety (FoS) and probability of failure (Pf). Deterministic analysis yielded a factor of safety of 0.813, while probabilistic simulations produced a factor of safety range between 0.468 and 1.052, with a mean value of approximately 0.73. The corresponding probability of failure was estimated at about 5.16%. Sensitivity analysis indicates that cohesion and internal friction angle exert the strongest influence on stability outcomes. Although the slope shows noticeable sensitivity to reductions in these parameters, the overall probability of failure remains relatively low under current conditions. The results demonstrate that integrating deterministic and probabilistic analyses provides a robust basis for evaluating rock slope reliability in complex geological environments, particularly in rapidly urbanizing mountainous areas such as Mount Uhud. Full article
(This article belongs to the Topic Advanced Risk Assessment in Geotechnical Engineering)
Show Figures

Figure 1

33 pages, 5134 KB  
Article
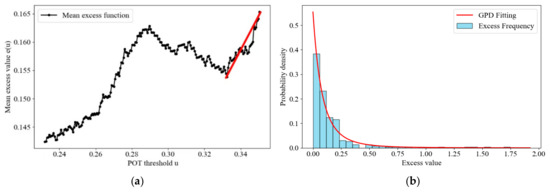
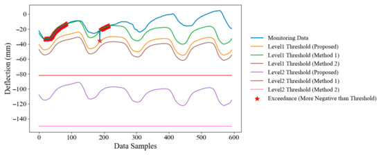
Dynamic Structural Early Warning for Bridge Based on Deep Learning: Methodology and Engineering Application
by Fentao Guo, Yufeng Xu, Qingzhong Quan and Zhantao Zhang
Buildings 2026, 16(4), 823; https://doi.org/10.3390/buildings16040823 - 18 Feb 2026
Viewed by 197
Abstract
In bridge health monitoring, structural responses are strongly coupled with temperature effects and vehicle load effects, making it difficult for conventional fixed thresholds and single data-driven approaches to simultaneously achieve environmental adaptability and quantitative reliability assessment. To address this issue, this study proposes [...] Read more.
In bridge health monitoring, structural responses are strongly coupled with temperature effects and vehicle load effects, making it difficult for conventional fixed thresholds and single data-driven approaches to simultaneously achieve environmental adaptability and quantitative reliability assessment. To address this issue, this study proposes a deep-learning-based dynamic early-warning method for bridge structures, using health-monitoring data from an in-service long-span cable-stayed bridge as the research background. First, a two-month mid-span deflection time series is processed using variational mode decomposition optimized by the Porcupine Optimization Algorithm to separate temperature-induced effects. Subsequently, a hybrid prediction model integrating Informer and SEnet is constructed. Temperature and temperature-induced deflection components are used as input features, and a sliding-window strategy is adopted to achieve high-accuracy prediction of the temperature-induced deflection trend, which serves as the time-varying baseline of the dynamic threshold. On this basis, vehicle load effects are modeled by combining Pareto extreme value theory with finite element analysis and superimposed to establish a two-level dynamic early-warning threshold system that satisfies code requirements. Furthermore, a stochastic finite element Monte Carlo method is introduced to probabilistically model uncertainties associated with material parameters, load effects, and model prediction errors. The threshold failure probability at each time instant is taken as the evaluation metric, enabling quantitative characterization of threshold reliability. The results indicate that under combined multiple working conditions, the proposed method reduces the maximum failure probability of the first-level warning by 32.68% and that of the second-level warning by 93.48%, with more stable and consistent probabilistic responses. In engineering applications, simulation experiments based on stochastic traffic loading show that the warning accuracy is improved by up to 19.27%, while the error rate is reduced by up to 16.16%. The study demonstrates that the proposed method possesses a clear physical and statistical foundation as well as good engineering feasibility and provides a viable pathway for transforming bridge early-warning systems from experience-based schemes toward data-driven and risk-oriented frameworks. Full article
(This article belongs to the Special Issue Building Structure Health Monitoring and Damage Detection)
Show Figures

Figure 1

28 pages, 12687 KB  
Article
Fatigue Analysis and Numerical Simulation of Loess Reinforced with Permeable Polyurethane Polymer Grouting
by Lisha Yue, Xiaodong Yang, Shuo Liu, Chengchao Guo, Zhihua Guo, Loukai Du and Lina Wang
Polymers 2026, 18(2), 242; https://doi.org/10.3390/polym18020242 - 16 Jan 2026
Viewed by 314
Abstract
Loess subgrades are prone to significant strength reduction and deformation under cyclic traffic loads and moisture ingress. Permeable polyurethane polymer grouting has emerged as a promising non-excavation technique for rapid subgrade reinforcement. This study systematically investigated the fatigue behavior of polymer-grouted loess using [...] Read more.
Loess subgrades are prone to significant strength reduction and deformation under cyclic traffic loads and moisture ingress. Permeable polyurethane polymer grouting has emerged as a promising non-excavation technique for rapid subgrade reinforcement. This study systematically investigated the fatigue behavior of polymer-grouted loess using laboratory fatigue tests and numerical simulations. A series of stress-controlled cyclic tests were conducted on grouted loess specimens under varying moisture contents and stress levels, revealing that fatigue life decreased with increasing moisture and stress levels, with a maximum life of 200,000 cycles achieved under optimal conditions. The failure process was categorized into three distinct stages, culminating in a “multiple-crack” mode, indicating improved stress distribution and ductility. Statistical analysis confirmed that fatigue life followed a two-parameter Weibull distribution, enabling the development of a probabilistic fatigue life prediction model. Furthermore, a 3D finite element model of the road structure was established in Abaqus and integrated with Fe-safe for fatigue life assessment. The results demonstrated that polymer grouting reduced subgrade stress by nearly one order of magnitude and increased fatigue life by approximately tenfold. The consistency between the simulation outcomes and experimentally derived fatigue equations underscores the reliability of the proposed numerical approach. This research provides a theoretical and practical foundation for the fatigue-resistant design and maintenance of loess subgrades reinforced with permeable polyurethane polymer grouting, contributing to the development of sustainable infrastructure in loess-rich regions. Full article
(This article belongs to the Section Polymer Applications)
Show Figures

Figure 1

24 pages, 3734 KB  
Article
Probabilistic Analysis of Rainfall-Induced Slope Stability Using KL Expansion and Polynomial Chaos Kriging Surrogate Model
by Binghao Zhou, Kepeng Hou, Huafen Sun, Qunzhi Cheng and Honglin Wang
Geosciences 2026, 16(1), 36; https://doi.org/10.3390/geosciences16010036 - 9 Jan 2026
Viewed by 555
Abstract
Rainfall infiltration is one of the main factors inducing slope instability, while the spatial heterogeneity and uncertainty of soil parameters have profound impacts on slope response characteristics and stability evolution. Traditional deterministic analysis methods struggle to reveal the dynamic risk evolution process of [...] Read more.
Rainfall infiltration is one of the main factors inducing slope instability, while the spatial heterogeneity and uncertainty of soil parameters have profound impacts on slope response characteristics and stability evolution. Traditional deterministic analysis methods struggle to reveal the dynamic risk evolution process of the system under heavy rainfall. Therefore, this paper proposes an uncertainty analysis framework combining Karhunen–Loève Expansion (KLE) random field theory, Polynomial Chaos Kriging (PCK) surrogate modeling, and Monte Carlo simulation to efficiently quantify the probabilistic characteristics and spatial risks of rainfall-induced slope instability. First, for key strength parameters such as cohesion and internal friction angle, a two-dimensional random field with spatial correlation is constructed to realistically depict the regional variability of soil mechanical properties. Second, a PCK surrogate model optimized by the LARS algorithm is developed to achieve high-precision replacement of finite element calculation results. Then, large-scale Monte Carlo simulations are conducted based on the surrogate model to obtain the probability distribution characteristics of slope safety factors and potential instability areas at different times. The research results show that the slope enters the most unstable stage during the middle of rainfall (36–54 h), with severe system response fluctuations and highly concentrated instability risks. Deterministic analysis generally overestimates slope safety and ignores extreme responses in tail samples. The proposed method can effectively identify the multi-source uncertainty effects of slope systems, providing theoretical support and technical pathways for risk early warning, zoning design, and protection optimization of slope engineering during rainfall periods. Full article
(This article belongs to the Special Issue New Advances in Landslide Mechanisms and Prediction Models)
Show Figures

Figure 1

22 pages, 4330 KB  
Article
Fatigue Life Prediction and Reliability Analysis of Reinforced Concrete Bridge Decks Based on an XFEM–ANN–Monte Carlo Hybrid Framework
by Huating Chen, Peng Li and Yifan Zhuo
Appl. Sci. 2026, 16(1), 209; https://doi.org/10.3390/app16010209 - 24 Dec 2025
Viewed by 493
Abstract
This study proposes a hybrid computational framework that integrates the Extended Finite Element Method (XFEM), Artificial Neural Network (ANN), and Monte Carlo simulation to evaluate the fatigue crack propagation and reliability of reinforced concrete (RC) bridge decks. First, XFEM was employed to simulate [...] Read more.
This study proposes a hybrid computational framework that integrates the Extended Finite Element Method (XFEM), Artificial Neural Network (ANN), and Monte Carlo simulation to evaluate the fatigue crack propagation and reliability of reinforced concrete (RC) bridge decks. First, XFEM was employed to simulate crack initiation and propagation under cyclic loading based on the statistical distributions of the Paris law parameters C and m. The fatigue life data generated from these simulations were used to train a multilayer feedforward ANN optimized with the Adam algorithm and the ReLU activation function. The trained network achieved a high prediction accuracy (R2 = 0.99, MAPE = 0.977%) and demonstrated strong generalization capability for predicting the XFEM-derived fatigue life. Subsequently, 10,000 Monte Carlo samples of C and m were analyzed using the trained ANN to perform probabilistic fatigue life assessment. The results revealed a nonlinear degradation pattern in reliability: the structural reliability remained high at low fatigue cycles but decreased sharply once a critical threshold of approximately 1.45 × 109 cycles was reached. When actual bridge traffic was considered, the deck maintained a reliability of 0.99 after 23 years and 0.95 after 67 years of service. Compared with the XFEM, the ANN-based prediction improved computational efficiency by more than 104 times while maintaining satisfactory accuracy. The proposed hybrid framework effectively combines deterministic simulation, probabilistic analysis, and data-driven modeling, providing a rapid and reliable approach for predicting fatigue life and evaluating the reliability of concrete bridge structures. Full article
(This article belongs to the Special Issue Application of Fracture Mechanics in Structures)
Show Figures

Figure 1

26 pages, 6616 KB  
Article
Numerical Analysis of Seismic Vulnerability and Dynamic Response of Underground Interchange Structures Under Traveling Wave Effects
by Zhiwei Wang, Haibing Cai, Yonggang Zhang, Shi Hu, Gaoyang Hong, Jinfeng Xu, Zhihong Yu and Zhonghe Sun
Appl. Sci. 2025, 15(22), 12264; https://doi.org/10.3390/app152212264 - 19 Nov 2025
Viewed by 592
Abstract
The underground interchange structure is a crucial component of urban underground construction facilities. Its seismic performance in soft ground under the influence of traveling-wave effects has not yet been studied. If not addressed in a timely manner, it will pose serious construction safety [...] Read more.
The underground interchange structure is a crucial component of urban underground construction facilities. Its seismic performance in soft ground under the influence of traveling-wave effects has not yet been studied. If not addressed in a timely manner, it will pose serious construction safety risks. This study develops a two-dimensional finite element model of a representative underground interchange, employing the multi-linear kinematic–dynamic interaction model to capture nonlinear material behavior. Incremental dynamic analysis is integrated with probabilistic fragility assessment to examine damage evolution, deformation, internal forces, and stress responses under both uniform and non-uniform seismic inputs. Results indicate that the overall seismic performance is satisfactory, with a low probability of exceeding moderate damage. Plastic damage is concentrated in the central frame and the base of the right-hand wall. Compared with traveling-wave excitations, uniform inputs generally produce larger displacements, particularly in the lower structure. Although axial and shear forces show limited sensitivity to wave type or propagation velocity, they increase significantly under non-uniform input, with axial forces reaching up to 16.9 times those under uniform excitation. Non-uniform input also doubles stress extremes and intensifies stress concentrations at frame nodes. These findings underscore the need to incorporate traveling-wave effects into seismic evaluation and offer methodological insights for the design and reinforcement of underground interchanges in weak soils. Full article
(This article belongs to the Special Issue Advances in Tunnel Excavation and Underground Construction)
Show Figures

Figure 1

29 pages, 3863 KB  
Article
Stochastic Finite Element-Based Reliability Analysis of Construction Disturbance Induced by Boom-Type Roadheaders in Karst Tunnels
by Wenyun Ding, Yude Shen, Wenqi Ding, Yongfa Guo, Yafei Qiao and Jixiang Tang
Appl. Sci. 2025, 15(21), 11789; https://doi.org/10.3390/app152111789 - 5 Nov 2025
Cited by 1 | Viewed by 493
Abstract
Tunnel construction in karst formations faces significant geological uncertainties, which pose challenges for quantifying construction risks using traditional deterministic methods. This paper proposes a probabilistic reliability analysis framework that integrates the Stochastic Finite Element Method (SFEM), a Radial Basis Function Neural Network (RBFNN) [...] Read more.
Tunnel construction in karst formations faces significant geological uncertainties, which pose challenges for quantifying construction risks using traditional deterministic methods. This paper proposes a probabilistic reliability analysis framework that integrates the Stochastic Finite Element Method (SFEM), a Radial Basis Function Neural Network (RBFNN) surrogate model, and Monte Carlo Simulation (MCS) method. The probability distributions of rock mass mechanical parameters and karst geometric parameters were established based on field investigation and geophysical prospecting data. The accuracy of the finite element model was verified through existing physical model tests, with the lateral karst condition identified as the most unfavorable scenario. Limit state functions with control indices, including tunnel crown settlement, invert uplift, ground surface settlement and convergence, were defined. A high-precision surrogate model was constructed using RBFNN (average R2 > 0.98), and the failure probabilities of displacement indices were quantitatively evaluated via MCS (10,000 samples). Results demonstrate that the overall failure probability of tunnel construction is 3.31%, with the highest failure probability observed for crown settlement (3.26%). Sensitivity analysis indicates that the elastic modulus of the disturbed rock mass and the clear distance between the karst cavity and the tunnel are the key parameters influencing deformation. This study provides a probabilistic risk assessment tool and a quantitative decision-making basis for tunnel construction in karst areas. Full article
Show Figures

Figure 1

Back to TopTop