Sign in to use this feature.

Years

Between: -

Subjects

remove_circle_outline
remove_circle_outline
remove_circle_outline
remove_circle_outline
remove_circle_outline
remove_circle_outline
remove_circle_outline
remove_circle_outline
remove_circle_outline

Journals

remove_circle_outline
remove_circle_outline
remove_circle_outline
remove_circle_outline
remove_circle_outline
remove_circle_outline
remove_circle_outline
remove_circle_outline
remove_circle_outline
remove_circle_outline
remove_circle_outline
remove_circle_outline

Article Types

Countries / Regions

remove_circle_outline
remove_circle_outline
remove_circle_outline
remove_circle_outline
remove_circle_outline
remove_circle_outline

Search Results (1,124)

Search Parameters:
Keywords = precipitable water content

Order results
Result details
Results per page
Select all
Export citation of selected articles as:
21 pages, 10897 KB  
Article
Vertically Resolved Supercooled Liquid Water over the North China Plain Revealed by Ground-Based Synergetic Measurements
by Yuxiang Lu, Qiang Li, Hongrong Shi, Jiwei Xu, Zhipeng Yang, Yongheng Bi, Xiaoqiong Zhen, Yunjie Xia, Jiujiang Sheng, Ping Tian, Disong Fu, Jinqiang Zhang, Shuzhen Hu, Fa Tao, Jiefan Yang, Xuehua Fan, Hongbin Chen and Xiang’ao Xia
Remote Sens. 2026, 18(1), 160; https://doi.org/10.3390/rs18010160 - 4 Jan 2026
Viewed by 206
Abstract
Supercooled liquid water (SLW) in mixed-phase clouds significantly influences precipitation efficiency and aviation safety. However, a comprehensive understanding of its vertical structure has been hampered by a lack of sustained, vertically resolved observations over the North China Plain. This study presents the first [...] Read more.
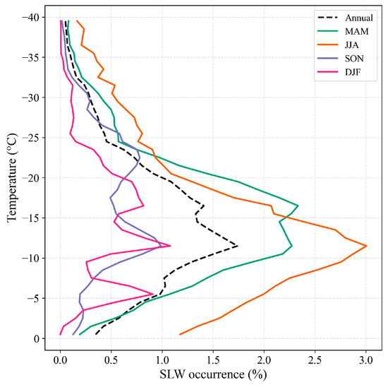
Supercooled liquid water (SLW) in mixed-phase clouds significantly influences precipitation efficiency and aviation safety. However, a comprehensive understanding of its vertical structure has been hampered by a lack of sustained, vertically resolved observations over the North China Plain. This study presents the first systematic analysis of SLW vertical distribution and microphysics in this region, utilizing a year-long dataset (2022) from synergistic ground-based instruments in Beijing. Our retrieval approach integrates Ka-band cloud radar, microwave radiometer, ceilometer, and radiosonde data, combining fuzzy-logic phase classification with a liquid water content inversion constrained by column liquid water path. Key findings reveal a distinct bimodal seasonality: SLW primarily occurs at mid-to-upper levels (4–7.5 km) during spring and summer, driven by convective lofting, while winter SLW is confined to lower altitudes (1–2 km) under stable atmospheric conditions. The temperature-dependent occurrence probability of SLW clouds has an annual maximum at −12 °C. The diurnal variation in SLW in summer shows peaks in the afternoon and at night, corresponding to convective cloud activity. Spring, autumn, and winter do not exhibit strong diurnal variations. Retrieved microphysical properties, including liquid water content and droplet effective radius, are consistent with in situ aircraft measurements, validating our methodology. This analysis provides a critical observational benchmark and offers actionable insights for improving cloud microphysics parameterizations in models and optimizing weather modification strategies, such as seeding altitude and timing, in this water-stressed region. Full article
Show Figures

Figure 1

22 pages, 4815 KB  
Article
Supernatants from Water Extraction—Ethanol Precipitation of Fagopyrum tararicum Seeds Enhance T2DM Management in Mice by Regulating Intestinal Microbial Communities
by Xiaodong Ge, Xiaoxuan Du, Yaolin Wang, Yang Yang, Xiaoyu Gao, Yuchang Zhou, Yuting Jiang, Shiqi Xiao, Ligen Chen, Rong Shao, Wei Xu, Kyung-Min Kim and Na Wu
Foods 2026, 15(1), 143; https://doi.org/10.3390/foods15010143 - 2 Jan 2026
Viewed by 307
Abstract
Type 2 diabetes mellitus (T2DM) is an endocrine–metabolic disorder characterized by pancreatic islet dysfunction-induced hyperglycemia, which triggers hepatic injury, intestinal microbiota dysbiosis, and systemic complications. Fagopyrum tararicum seeds exhibit various biological activities, including antioxidant, hypolipidemic, and antihypertensive effects. However, there is limited research [...] Read more.
Type 2 diabetes mellitus (T2DM) is an endocrine–metabolic disorder characterized by pancreatic islet dysfunction-induced hyperglycemia, which triggers hepatic injury, intestinal microbiota dysbiosis, and systemic complications. Fagopyrum tararicum seeds exhibit various biological activities, including antioxidant, hypolipidemic, and antihypertensive effects. However, there is limited research exploring how supernatants derived from the water extraction–ethanol precipitation of Fagopyrum tararicum seeds (SWEPFT) modulate the intestinal microbiota and their potential link to T2DM. This study evaluates SWEPFT’s effects on hyperglycemia and intestinal microbiota in T2DM mice. After a 4-week therapeutic period, SWEPFT markedly ameliorated hyperglycemia, as evidenced by reduced body weight (BW), fasting blood glucose (FBG), and glycated serum protein (GSP) and improved insulin sensitivity/resistance indicators (HOMA-IS/IR) and β-cell function (HOMA-β). Furthermore, the levels of both Akt1 and Slc2a2 transcription displayed notable enhancement. SWEPFT-H (high-dose SWEPFT) exhibited superior effects to SWEPFT-L (low-dose SWEPFT) in improving BW, FBG, and HOMA-IS. Moreover, SWEPFT modulated the intestinal microbiota by decreasing the Firmicutes/Bacteroidetes ratio, augmenting the proportion of Intestinimonas and Ruminiclostridium, and increasing the short-chain fatty acid content. A correlation analysis identified Candidatus_Arthromitus, Anaeroplasma, Candidatus_Stoquefichus, and Harryflintia as potential T2DM biomarkers linked to glycemic regulation. These findings elucidate SWEPFT’s critical role in microbiota modulation and hyperglycemia alleviation, providing a novel perspective for T2DM pathogenesis research and therapeutic development. Full article
Show Figures

Graphical abstract

19 pages, 3509 KB  
Article
Determining Water Resource Formation at the “Delegen” Nuclear Test Site Using Stable Isotope Analysis
by Almira Aidarkhanova, Ainur Mamyrbayeva, Anastassiya Nadeyeva, Alibek Iskenov, Assan Aidarkhanov, Natalya Larionova and Rinata Yermakova
Water 2026, 18(1), 99; https://doi.org/10.3390/w18010099 - 31 Dec 2025
Viewed by 358
Abstract
Despite the closure of the Semipalatinsk nuclear test site (STS) more than 30 years ago, water continues to transport radioactive contamination beyond the boundaries of the “Degelen” test site. Therefore, assessing the formation of water resources at this test site is highly relevant, [...] Read more.
Despite the closure of the Semipalatinsk nuclear test site (STS) more than 30 years ago, water continues to transport radioactive contamination beyond the boundaries of the “Degelen” test site. Therefore, assessing the formation of water resources at this test site is highly relevant, particularly in terms of forecasting the development of radioactive contamination at the STS. In this case, isotope hydrology is the most promising method for understanding these processes. The aquatic environment at the “Degelen” test site consists of radioactively contaminated tunnel water, streams, and groundwater. This paper presents the research results regarding the determination of stable isotopes of hydrogen and oxygen for the aquatic environment of the “Degelen” test site. 3H concentrations and the chemical composition of water at the site were also determined. Analysis of the water’s isotopic composition (δ2H and δ18O) showed that the tunnel and stream water are formed by precipitation (snowmelt and rain). In summer, when precipitation is low, atmospheric condensation contributes significantly to recharge at the “Degelen” test site. The high radionuclide content of tunnel water leads to the contamination of stream water, and, to a lesser extent, groundwater. The 3H content of tunnel water can reach 260 kBq/L, and that of stream water can reach 58 kBq/L, both of which exceed the established standards in the Republic of Kazakhstan. Full article
(This article belongs to the Section Hydrology)
Show Figures

Graphical abstract

21 pages, 3017 KB  
Article
Post Drought Legacy of Experimentally Imposed Antecedent Precipitation on Four Mojave Desert Shrubs
by Tamara Wynne Sison, Dale A. Devitt, Stanley D. Smith and Marilin E. Lopez-Bermudez
Land 2026, 15(1), 27; https://doi.org/10.3390/land15010027 - 22 Dec 2025
Viewed by 257
Abstract
Extended droughts are predicted for southwestern North America, including the arid Mojave Desert, which has plant communities dominated by desert scrub vegetation. We conducted a multi-year study in which supplemental water was provided to four native shrub species: the evergreen Larrea tridentata and [...] Read more.
Extended droughts are predicted for southwestern North America, including the arid Mojave Desert, which has plant communities dominated by desert scrub vegetation. We conducted a multi-year study in which supplemental water was provided to four native shrub species: the evergreen Larrea tridentata and deciduous Ambrosia dumosa, Ambrosia salsola, and Encelia farinosa. Water treatments included −25% of precipitation (by temporarily deploying large tarps over wooden support structures), actual precipitation, and 100% and 200% of actual precipitation. Water applied occurred within 24 h of actual precipitation events. At the end of a two-year period, we allowed the plots to remain intact, receiving no supplemental water for 3.8 years, which was anomalously dry. During the initial two-year experiment, we examined growth and other physiological responses to the treatments. We also measured soil volumetric water content with depth and calculated a plant water stress index. After the 3.8-year dry period we measured stem elongation, canopy volume, leaf xylem water potential and harvested roots and shoots for biomass estimates. Supplemental water led to higher soil water content and water use, leading to increased aspects of growth which were species dependent, whereas the −25% treatment resulted in greater stress and reduced growth, but only in some species. After the 3.8-year dry period, survival in all treatments was between 97 and 100%. However, a distinct legacy effect was observed, as plants growing under the wetter treatments during the 2-year supplemental water period had more negative leaf xylem water potentials after the 3.8-year dry period than plants that were grown under the drier treatments. In addition, canopy volumes were shown to decrease if plants were grown under the wetter treatment imposed during the supplemental water period but increased if grown under the drier treatments. Our results would suggest that the impact of climate change on Mojave Desert shrubs will be linked to how they respond to wet/dry cycles, which will be linked to drought severity and the time between wet periods. The four shrub species studied have unique morphological and physiological characteristics that allow them to grow and not just survive under arid conditions, but if extended drought events occur on a more frequent basis, these shrub species may not be able to adapt and thus avoid higher mortality rates. Full article
Show Figures

Figure 1

22 pages, 4558 KB  
Article
Geochemical Features of Ultramafic Rocks and Formation of Magnesium–Bicarbonate Groundwaters in the Kraka Massif Area (Southern Urals)
by Timur D. Shabutdinov, Rafil F. Abdrakhmanov, Dmitry E. Saveliev, Alexandra O. Poleva, Elena A. Mashkova, Alexander V. Snachev, Ruslan A. Gataullin, Vera N. Durnaeva and Aidar A. Samigullin
Geosciences 2026, 16(1), 8; https://doi.org/10.3390/geosciences16010008 - 22 Dec 2025
Viewed by 275
Abstract
The observed shortage of water resources in the western and southern regions of the Russian Federation may soon affect the territory of the Republic of Bashkortostan. An increase in the share of groundwaters can help to solve this problem. To provide the population [...] Read more.
The observed shortage of water resources in the western and southern regions of the Russian Federation may soon affect the territory of the Republic of Bashkortostan. An increase in the share of groundwaters can help to solve this problem. To provide the population of the republic with water resources, the groundwater of magnesium–bicarbonate-type from the Kraka ophiolite massifs can be used. The massifs occur on the western slope of the Southers Urals. In this work we studied ultramafic rocks and their influence on the formation of the chemical composition of water. The research area is located in the northern part of the Zilair synclinorium, which occurs within the Central Ural megazone. In terms of hydrogeology, of particular importance to the territory of the synclinorium is the Zilair basin of fracture waters of the second order, which is part of the Uralian hydrogeologic folded zone. The ultramafic rocks from the studied area have consistently high CaO/Al2O3 ratios (0.4–1.6), which indicates the widespread development of parageneses with participation of clinopyroxene and a low degree of depletion of the primitive mantle source. Because of the complex geological structure of the area, water samples collected from both water points in the Kraka massifs, and the surrounding Early–Middle Paleozoic rocks were analyzed for major ions using a laboratory method to identify possible hydro-geochemical zoning. A statistical analysis was then conducted based on the obtained anion–cation composition data. From the viewpoint of the hydrolytic concept, the formation of the chemical composition of groundwater takes place due to the removal of Mg2+ from the rock-forming minerals of ultramafic rocks (olivine and pyroxene) and the supply of Na+, K+, Ca2+, and SO42− Cl from atmospheric precipitations. The bicarbonate anion has a complex nature, where both biochemical processes in the soil and atmospheric precipitation play a significant role. Magnesium–bicarbonate-type of waters, due to low mineralization (to 1 g/L) and the majority of other geochemical parameters (pH of the medium, and content of Na, K, Ca, SO4, and Cl), whose values that are within the limits set by the World Health Organization (WHO), can be used as drinking water. The increased values of total hardness (0.20–3.39 mmol/L) in accordance with the regulatory document SanPiN 1.2.3685–21, adopted by the Russian Federation, do not exceed the maximum permissible concentrations (up to 7.00 (10.00) mEq/L or 3.50 (5.00) mmol/L). The high magnesium content, in accordance with GOST (state standard) R 54316–2020, allows the magnesium–bicarbonate waters of the Kraka massifs to be classified as table mineral waters for the treatment of various diseases (including hypomagnesemia). Full article
(This article belongs to the Section Hydrogeology)
Show Figures

Figure 1

22 pages, 12259 KB  
Article
Drought-Tolerance Characteristics and Water-Use Efficiency of Three Typical Sandy Shrubs
by EZhen Zhang, Limin Yuan, Zhongju Meng, Zhenbang Shi, Ping Zhang and Nari Wulan
Agronomy 2025, 15(12), 2873; https://doi.org/10.3390/agronomy15122873 - 14 Dec 2025
Viewed by 360
Abstract
Elucidating shrub ecohydrological adaptation is critical for optimizing vegetation-restoration strategies in arid regions and maintaining regional ecological stability. This study examined typical desert shrubs at the northern edge of the Mu Us Sand Land. During the growth peak season (July–September), we measured understory-soil [...] Read more.
Elucidating shrub ecohydrological adaptation is critical for optimizing vegetation-restoration strategies in arid regions and maintaining regional ecological stability. This study examined typical desert shrubs at the northern edge of the Mu Us Sand Land. During the growth peak season (July–September), we measured understory-soil δ18O, soil water content (SWC), leaf δ13Cp, stem δ18O, and gas-exchange rates, and evaluated shrub drought resistance and water-use efficiency using Mantel tests and principal component analysis (PCA). Based on the VPDB standard, the δ13Cp values of leaves ranked as follows: Caragana microphylla (−27.21‰) > Salix psammophila (−27.80‰) > Artemisia ordosica (−28.48‰). The results indicate that leaf δ13Cp and water δ18O are effective indicators of shrub water-use efficiency, reflecting Cᵢ/Cₐ dynamics and water-transport pathways, respectively. The three shrubs exhibit distinct water-use strategies: Caragana microphylla follows a conservative strategy that relies on deep-water sources and tight stomatal regulation; Salix psammophila shows an opportunistic strategy, responding to precipitation pulses and drawing from multiple soil layers; Artemisia ordosica displays a vulnerable, shallow-water-dependent strategy with high drought susceptibility. SWC was the primary driver of higher Long Water Use Efficiency (WUE), whereas Mean Air Temperature (MMAT) and Mean Relative Humidity (MMRH) exerted short-term regulation by modulating the vapor-pressure deficit (VPD). We conclude that desert-shrub water-use strategies form a complementary functional portfolio at the community scale. Vegetation restoration should prioritize high-WUE conservative species, complement them with opportunistic species, and use vulnerable species cautiously to optimize community water-use efficiency and ecosystem stability. Full article
(This article belongs to the Section Water Use and Irrigation)
Show Figures

Figure 1

26 pages, 2339 KB  
Article
Assessment of AquaCrop Inputs from ERA5-Land and Sentinel-2 for Soil Water Content Estimation and Durum Wheat Yield Prediction: A Case Study in a Tunisian Field
by Hiba Ghazouani, Dario De Caro, Matteo Ippolito, Fulvio Capodici and Giuseppe Ciraolo
Water 2025, 17(24), 3522; https://doi.org/10.3390/w17243522 - 12 Dec 2025
Viewed by 433
Abstract
Climate change and water scarcity are major threats to the sustainability of wheat production in Mediterranean regions. Thus, timely and reliable water demand assessments are crucial to drive decisions on crop management strategies that are useful for agricultural adaptation to climate change challenges. [...] Read more.
Climate change and water scarcity are major threats to the sustainability of wheat production in Mediterranean regions. Thus, timely and reliable water demand assessments are crucial to drive decisions on crop management strategies that are useful for agricultural adaptation to climate change challenges. Although the AquaCrop model is widely used to infer crop yields, it requires continuous field-based observations (mainly soil water content and crop coverage). Often, these areas suffer from a scarcity of in situ data, suggesting the need for remote sensing and model-based decision support. In this framework, this research intends to compare the performance of the AquaCrop model using four different input combinations, with one employing ERA5-Land and crop cover retrieved by satellite images exclusively. A field experiment was conducted on durum wheat (highly sensitive to water stress and playing a strategic role in national food security) in northwest Tunisia during the growing season of 2024–2025, where meteorological variables, green Canopy Cover (gCC), Soil Water Content (SWC), and final yields (biological and grain) were monitored. The AquaCrop model was applied. Four model input combinations were evaluated. In situ meteorological data or ERA5-Land (E5L) reanalysis were combined with either measured-gCC (measured-gCC) or Sentinel-2 NDVI-derived gCC (NDVI-gCC). The results showed that E5L reproduced temperature with RMSE < 2.4 °C (NSE > 0.72) and ETo with RMSE equal to 0.57 mm d−1 (NSE = 0.79), while precipitation presented larger discrepancies (RMSE = 4.14 mm d−1, NSE = 0.58). Sentinel-2 effectively captured gCC dynamics (RMSE = 15.65%, NSE = 0.73) and improved AquaCrop perfomance (RMSE = 5.29%, NSE = 0.93). Across all combinations, AquaCrop reproduced yields within acceptable deviations. The simulated biological yield ranged from 9.7 to 11.0 t ha−1 compared to the observed 10.3 t ha−1, while grain yield ranged from 3.0 to 3.5 t ha−1 against the observed 3.3 t ha−1. As expected, the best agreement with measured yield data was obtained using in situ meteorological data and measured-gCC, even if the use of in situ meteorological data coupled with NDVI-gCC, or E5L-based meteorological data coupled with NDVI-gCC, produced realistic estimates. These results highlight that the application of AquaCrop employing E5L and Sentinel-2 inputs is a feasible alternative for crop monitoring in data-scarce environments. Full article
(This article belongs to the Section Water, Agriculture and Aquaculture)
Show Figures

Graphical abstract

14 pages, 5394 KB  
Article
Study on Time-Varying Mechanism of Reservoir Properties During Long-Term Water Flooding
by Xiaoping An, Yufen Zhu, Xiqun Tan, Jingyi Bi and Chengqian Tan
Energies 2025, 18(24), 6488; https://doi.org/10.3390/en18246488 - 11 Dec 2025
Viewed by 277
Abstract
Long-term water flooding is a primary development method for oilfields, yet the heterogeneous evolution mechanism of reservoir properties during prolonged water injection remains poorly understood—particularly in the medium-high water cut stage, where the impact of pore-throat network changes on seepage capacity remains controversial. [...] Read more.
Long-term water flooding is a primary development method for oilfields, yet the heterogeneous evolution mechanism of reservoir properties during prolonged water injection remains poorly understood—particularly in the medium-high water cut stage, where the impact of pore-throat network changes on seepage capacity remains controversial. Its reservoir property evolution is highly representative of and provides a valuable reference for similar oilfields. Focusing on the 16-year developed WU Oilfield (long-term water flooding, middle-high water cut stage), its reservoir property evolution exhibits typical reference value for similar oilfields. To reveal the time-varying laws and microscopic mechanism of reservoir properties during long-term water flooding, this study systematically investigated the changes in porosity, permeability, pore throat characteristics, clay content, and oil recovery of high-permeability and low-permeability cores under different injected water volumes (up to 500 pore volumes) through laboratory core displacement experiments. The experimental results showed that with increasing injected water volume, the permeability of high-permeability cores increased by 27.3%, with an overall 21.6% porosity increase in both high and low-permeability cores, and the oil recovery rate of high-permeability cores increased to 15%. In contrast, the permeability of low-permeability cores decreased by 22.2%, with porosity showing a synchronous overall increasing trend, and the oil recovery rate decreased by 10%. Microscopic analysis revealed an overall 7.34% decrease in clay content, and this property difference mainly resulted from the polarization of pore throat network connectivity: large pores in high-permeability cores further expanded due to clay migration and particle transport, while small pores in low-permeability cores gradually became occluded due to clay plugging and authigenic mineral precipitation. This study clarifies the evolution mechanism of reservoir heterogeneity during long-term water flooding and provides a theoretical basis for optimizing water flooding development plans and improving oil and gas recovery. Full article
(This article belongs to the Special Issue New Advances in Oil, Gas and Geothermal Reservoirs—3rd Edition)
Show Figures

Figure 1

15 pages, 4196 KB  
Article
Precipitation Microphysics Evolution of Typhoon During the Sharp Turn: A Case Study of Vongfong (2014)
by Guiling Ye, Wentao Zhang, Jeremy Cheuk-Hin Leung, Fengyi Wang, Banglin Zhang and Wenjie Dong
Remote Sens. 2025, 17(24), 3984; https://doi.org/10.3390/rs17243984 - 10 Dec 2025
Viewed by 315
Abstract
The sudden turn of tropical cyclones (TCs) can rapidly alter the affected disaster-prone regions and associated rainfall distributions, posing severe threats to coastal areas and creating major challenges for operational forecasting. However, most of these events occur over the open ocean, where the [...] Read more.
The sudden turn of tropical cyclones (TCs) can rapidly alter the affected disaster-prone regions and associated rainfall distributions, posing severe threats to coastal areas and creating major challenges for operational forecasting. However, most of these events occur over the open ocean, where the scarcity of in situ observations limits our understanding of how precipitation and cloud microphysical processes evolve during the sudden turning. In this study, we analyzed the precipitation evolution and associated microphysical characteristics during the sudden turn of Super Typhoon Vongfong (2014) using the latest GPM satellite observations. The main findings are as follows: (1) During the sudden-turning period, the precipitation coverage expanded significantly. Strong convective precipitation was distributed from the inner eyewall to the outer eyewall and spiral rainbands and weakened in intensity, whereas stratiform precipitation broadened in coverage and intensified. (2) The increase in stratiform precipitation was attributed primarily to increased cloud water content, which strengthened collision–coalescence processes, promoted the formation of larger and more numerous raindrops, and consequently increased precipitation efficiency and intensity. (3) The weakening of convective precipitation was related to the reduction in eyewall updrafts, which suppressed ice-phase processes and limited the development of deep convection. Full article
(This article belongs to the Special Issue Remote Sensing of High Winds and High Seas)
Show Figures

Figure 1

23 pages, 2560 KB  
Article
Climate-Driven Variability in the Chemical Composition and Antioxidant Activity of Allium ursinum L.
by Jolita Radušienė, Birutė Karpavičienė, Kristina Zymone, Mindaugas Marksa and Lina Raudone
Antioxidants 2025, 14(12), 1477; https://doi.org/10.3390/antiox14121477 - 9 Dec 2025
Viewed by 262
Abstract
Allium ursinum L. (wild garlic) is a valuable medicinal and culinary plant, rich in bioactive compounds with antioxidant properties. This study evaluated the chemical composition and antioxidant activity of A. ursinum populations growing across eleven distinct sites in Lithuania, representing their different habitats. [...] Read more.
Allium ursinum L. (wild garlic) is a valuable medicinal and culinary plant, rich in bioactive compounds with antioxidant properties. This study evaluated the chemical composition and antioxidant activity of A. ursinum populations growing across eleven distinct sites in Lithuania, representing their different habitats. Leaves and flowers were extracted using solvent systems optimized for different compound groups, 70% methanol for phenolics, purified water for sulfur compounds, and methanol for carotenoids, assisted by ultrasonic extraction. Using HPLC-PDA and spectrophotometric assays, major flavonol glycosides, sulfur compounds and carotenoids were quantified in leaves and flowers. Significant variability in compound concentrations was observed between populations and plant organs. Flowers accumulated allicin (622–1442 μg/g DM) and higher levels of flavonol derivatives (up to 5949 μg/g DM), whereas leaves contained more carotenoids (384–656 μg/g DM). Antioxidant activity ranged from 473 to 719 μmol TE/g DM and showed positive correlation with the total content of identified phenolics in flowers. However, no significant correlation was observed between total phenolics and total antioxidant capacity in leaves. Multivariate analysis revealed clear clustering of populations based on climatic parameters, with higher precipitation and moderate spring temperatures favoring higher phenolic content. These findings suggest that local environmental factors significantly influence phytochemical profiles and antioxidant potential in A. ursinum. The results emphasize the importance of habitat conditions for optimal yield of bioactive compounds and support the development of site-adapted cultivation strategies for high-quality production of A. ursinum raw material. Full article
Show Figures

Figure 1

18 pages, 10939 KB  
Article
The Response of Cloud Dynamic Structure and Microphysical Processes to Glaciogenic Seeding: A Numerical Study
by Zhuo Liu, Yan Yin, Qian Chen, Zeyong Zou and Xuran Liang
Atmosphere 2025, 16(12), 1381; https://doi.org/10.3390/atmos16121381 - 5 Dec 2025
Viewed by 301
Abstract
Stratocumulus clouds are cloud systems composed of stratiform clouds with embedded convective clouds, possessing strong catalytic potential and serving as key target cloud systems for weather modification operations. In this study, the parameterization of ice nucleation for silver iodide (AgI) particles was applied [...] Read more.
Stratocumulus clouds are cloud systems composed of stratiform clouds with embedded convective clouds, possessing strong catalytic potential and serving as key target cloud systems for weather modification operations. In this study, the parameterization of ice nucleation for silver iodide (AgI) particles was applied to the Thompson microphysics scheme in the WRF model. Numerical experiments were designed for a stratocumulus cloud that occurred over the Hulunbuir region, northeastern China, on 31 May 2021, to investigate how the structure and evolution of cloud macro- and microphysical properties and precipitation formation respond to glaciogenic seeding. The simulation results indicate that AgI nucleation increased ice concentrations at 4–5 km altitude, enhancing ice crystal formation through condensation–freezing and deposition nucleation and the growth of ice particles through auto-conversion and riming, leading to increased precipitation. The results also show that owing to the non-uniform distribution of supercooled water within this stratocumulus cloud system, the consumption of AgI and the enhanced ice nucleation release latent heat more strongly in regions with higher supercooled water content. This leads to more pronounced isolated updrafts, altering the structure of shear lines and subsequently influencing regional precipitation distribution after silver iodide seeding concludes. These findings reveal that seeding influences both the microphysical and dynamic structures within clouds and highlight the non-uniform seeding effects within cloud systems. This study contributes to a deeper understanding of the effects of artificial seeding on stratocumulus clouds in high-latitude regions and holds significant reference value for artificial weather modification efforts in mixed-phase stratiform clouds. Full article
Show Figures

Figure 1

15 pages, 3193 KB  
Article
Mechanical and Self-Healing Performance of Cement Composites Containing Bacteria Extracted from Waste Concrete
by Se-Jin Choi, Jeong-Yeon Park, Jung-Mi Kim, Ha-Yeon Song and Jae-In Lee
Materials 2025, 18(24), 5483; https://doi.org/10.3390/ma18245483 - 5 Dec 2025
Viewed by 467
Abstract
Cracks can reduce the durability of concrete structures. To mitigate the damage caused, self-healing technologies using bacteria and cement-based materials can be utilized. For self-healing, bacteria contained within the matrix are advantageous because they can heal cracks upon introducing oxygen and water under [...] Read more.
Cracks can reduce the durability of concrete structures. To mitigate the damage caused, self-healing technologies using bacteria and cement-based materials can be utilized. For self-healing, bacteria contained within the matrix are advantageous because they can heal cracks upon introducing oxygen and water under favorable conditions. To our knowledge, this is the first study showing that Lysinibacillus fusiformis isolated from waste concrete induces calcite precipitation in a cement-based material. Replacing 5–20% of the mixing water with the bacterial solution increased mortar flow, and the initial compressive strength increased with the bacterial content. After long-term aging, the compressive strength of the sample with 20% bacterial solution was ~45.6 MPa, the highest among all samples. In terms of durability, the bacterial solution reduced the carbonation depth compared with that of a control sample without added bacteria, and the 20% sample showed 53% higher carbonation resistance than the control. In terms of the self-healing performance, the bacteria-loaded samples showed higher compressive strength recovery rates than the control sample, with the 20% sample showing the highest rate of approximately 131%. Therefore, L. fusiformis derived from waste concrete is a promising candidate bacterium for enhancing the durability and self-healing efficiency of cement composites. Full article
(This article belongs to the Section Construction and Building Materials)
Show Figures

Graphical abstract

17 pages, 4844 KB  
Article
Coal Gasification Slag-Derived Ceramsite for High-Efficiency Phosphorus Removal from Wastewater
by Yu Li, Ruifeng Wang, Kexuan Shen, Yi Ye, Hui Liu, Zhanfeng Yang and Shengli An
Nanomaterials 2025, 15(23), 1822; https://doi.org/10.3390/nano15231822 - 1 Dec 2025
Viewed by 346
Abstract
Coal gasification slag (CGS), an industrial solid waste produced during high-temperature (1200–1600 °C) coal gasification, was utilized as the primary raw material, combined with minor additions of coal gangue and calcium oxide, to synthesize ceramsite filter via high-temperature sintering (900–1160 °C) for phosphorus-containing [...] Read more.
Coal gasification slag (CGS), an industrial solid waste produced during high-temperature (1200–1600 °C) coal gasification, was utilized as the primary raw material, combined with minor additions of coal gangue and calcium oxide, to synthesize ceramsite filter via high-temperature sintering (900–1160 °C) for phosphorus-containing wastewater treatment. The resulting ceramsite was evaluated for compressive strength, apparent porosity, water absorption, mineral phase composition, hydrolysis properties, and phosphorus removal performance. Experimental results revealed that increasing sintering temperature and calcium oxide content shifted the dominant crystalline phases from anorthite and hematite to gehlenite, anorthite, wollastonite, and esseneite, promoting the formation of porous structures. This transition increased apparent porosity while reducing compressive strength. Under optimal conditions (1130 °C, 20 wt.% CaO, 1 h sintering), the ceramsite (CM-20-1130) exhibited an apparent porosity of 43.12%, compressive strength of 3.88 MPa, apparent density of 1.084 g/cm3, and water absorption of 33.20%. The high porosity and abundant gehlenite and wollastonite phases endowed CM-20-1130 with enhanced hydrolysis capacity. Static phosphorus removal experiments demonstrated a maximum phosphorus removal capacity of 2.77 mg/g, driven by the release of calcium and hydroxide ions from gehlenite and wollastonite, which form calcium-phosphate precipitates on the ceramsite surface, enabling efficient phosphorus removal from simulated wastewater. Full article
Show Figures

Figure 1

22 pages, 6192 KB  
Article
Influence of Nesquehonite on the Early-Stage Hydration of Portland Cement
by Zihan Li, Deping Chen, Teng Teng and Wenxin Liu
Materials 2025, 18(23), 5271; https://doi.org/10.3390/ma18235271 - 21 Nov 2025
Viewed by 446
Abstract
Addressing the significant pressure for carbon emission reduction in the cement industry, the development of novel cement materials capable of achieving “in situ carbon sequestration” has become an important research focus. This study introduces nesquehonite (MgCO3·3H2O, NQ) as a [...] Read more.
Addressing the significant pressure for carbon emission reduction in the cement industry, the development of novel cement materials capable of achieving “in situ carbon sequestration” has become an important research focus. This study introduces nesquehonite (MgCO3·3H2O, NQ) as a functional admixture into the Portland cement system, systematically investigating its effects on the cement hydration process, the evolution of hydration products, and its carbon sequestration efficiency. Through designed penetration resistance tests and hydration tests with a high water-to-solid ratio, this research utilized X-ray diffraction analysis to determine the phase composition and content of hydration products at different ages. This was combined with scanning electron microscopy to observe microstructural evolution and Nano Measure software 1.2.5 for ettringite crystal size measurement, analyzing the impact of NQ on the early hydration process of P.I cement. The results indicate that the incorporation of NQ significantly alters the early hydration of P.I cement. The Mg2+ and CO32− ions released upon its dissolution interact with Ca2+ and OH in the pore solution, effectively promoting the early precipitation of carbon sequestration products such as calcium carbonate and minor magnesium-containing carbonates. The addition of 10% NQ hindered the crystallization of Ca(OH)2 before 6 h but promoted its formation after 24 h. Mechanical property tests revealed that a sample with an optimal 3% NQ dosage not only increased the paste’s penetration resistance but also enhanced the compressive strength of the 1-day hardened sample by 8.37% compared to the plain sample, without a decrease and even a slight increase at 28 days. This enhancement is closely related to the microstructural strengthening effect induced by the carbonation products. This study confirms the feasibility of using NQ to steer the cement hydration pathway towards a low-carbon direction, revealing its dual functionality in regulating hydration and sequestering carbon within cement-based materials. The findings provide a new theoretical basis and technical pathway for developing high-performance, low-carbon cement. Full article
Show Figures

Figure 1

25 pages, 21144 KB  
Article
Study on Improving the Stability of Steel Slag Fine Aggregate by Boiling Pretreatment Combined with Microbial Mineralization
by Zhe Wang, Haihe Yi, Whenyu Du, Dachao Jiang, Yonghua Jiao, Hongyi Zhao and Tian Su
Coatings 2025, 15(11), 1358; https://doi.org/10.3390/coatings15111358 - 20 Nov 2025
Viewed by 578
Abstract
The volume stability of steel slag fine aggregate (SSFA) is poor due to the hydration expansion of f-CaO/f-MgO, which limits its resource utilization. In this paper, a green modification route combining simple boiling water pretreatment with carbonic anhydrase (CA) -mediated microbial mineralization (MICP) [...] Read more.
The volume stability of steel slag fine aggregate (SSFA) is poor due to the hydration expansion of f-CaO/f-MgO, which limits its resource utilization. In this paper, a green modification route combining simple boiling water pretreatment with carbonic anhydrase (CA) -mediated microbial mineralization (MICP) was proposed and evaluated from macro–micro multi-scale. Compared with direct carbonization, CA-MICP accelerated CO2 hydration and carbonate precipitation. Boiling water pretreatment enhanced ion release and pore accessibility, and the two synergistically improved the reaction kinetics. At 0.3 MPa, 100 h boiling pretreatment combined with 12 h microbial mineralization (K8 group) performed best: CO2 absorption rate reached 4.98%, carbonization rate reached 3.93%; the content of f-CaO and f-MgO decreased to 0.16% and 0.12% (conversion rate 91.82% and 87.43%), respectively. The linear expansion of SSFA mortar decreased to 0.0176% after 55 h of water bath. XRD/FTIR showed that the carbonate peak was enhanced and the O-H characteristics were weakened. The weight loss of TG-DTG at 600–800 °C increased. SEM/BET observed that flake/cluster carbonates filled the pores and increased the interface density. Innovations: For the first time, the synergistic effect of boiling water pretreatment and CA-MICP was verified in the steel slag fine aggregate system, and a feasible process window was given to efficiently convert expansive oxides into stable carbonates, significantly improve volume stability, and provide a feasible path for the high-value utilization of SSFA. Full article
(This article belongs to the Section Environmental Aspects in Colloid and Interface Science)
Show Figures

Figure 1

Back to TopTop