Influence of Nesquehonite on the Early-Stage Hydration of Portland Cement
Highlights
- An innovative strategy of in-situ carbon sequestration was proposed.
- For the first time, nesquehonite (NQ) was used as a CO2 carrier to modulate cement hydration.
- Our research elucidates the role of NQ in promoting the directed growth of hydration products in cement.
- CO2 and its carrier NQ serve as functional components in cement hydration.
- A quantitative relationship between NQ content and hydration product properties was established.
- A new crystal measurement method demonstrates NQ’s impact on cement hydration.
Abstract
1. Introduction
2. Materials and Methods
2.1. Raw Materials
2.1.1. Portland Cement
2.1.2. Nesquehonite
2.1.3. Ground Granulated Blast Furnace Slag (GGBS)
2.2. Experimental Methods
2.2.1. Penetration Resistance Test
2.2.2. Compressive Strength Test
2.2.3. Hydration Test with High Water-to-Solid Ratio
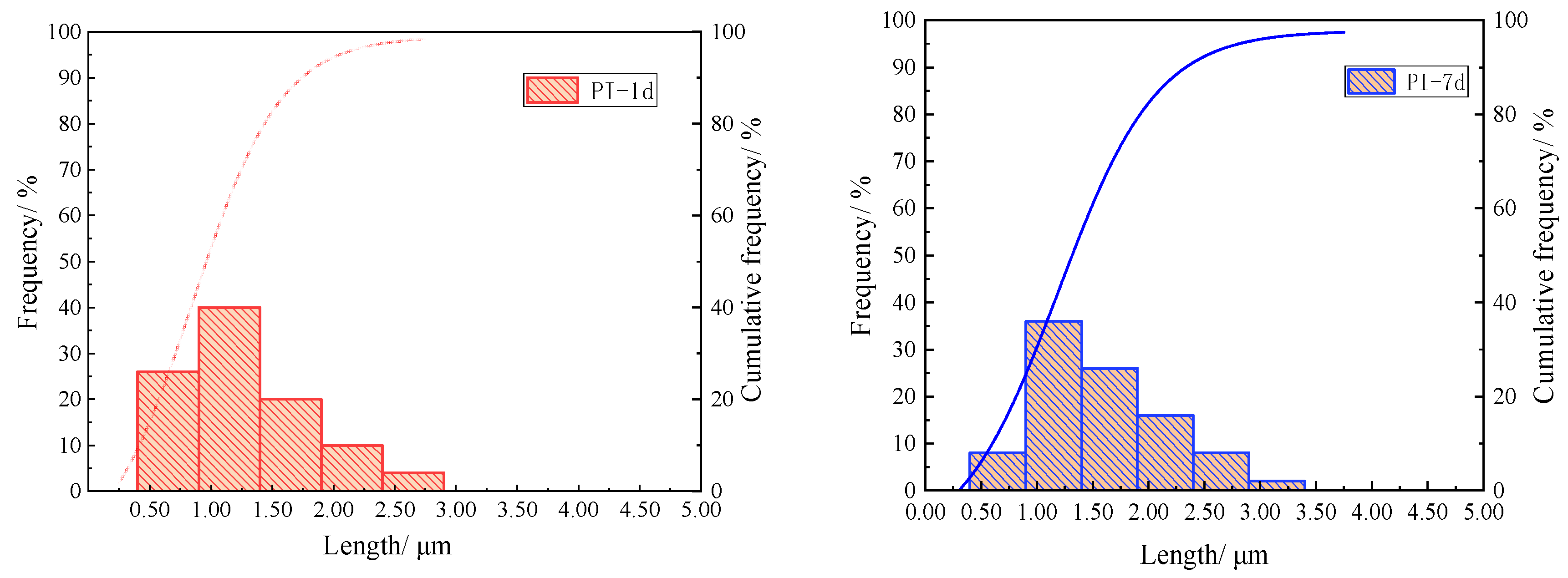
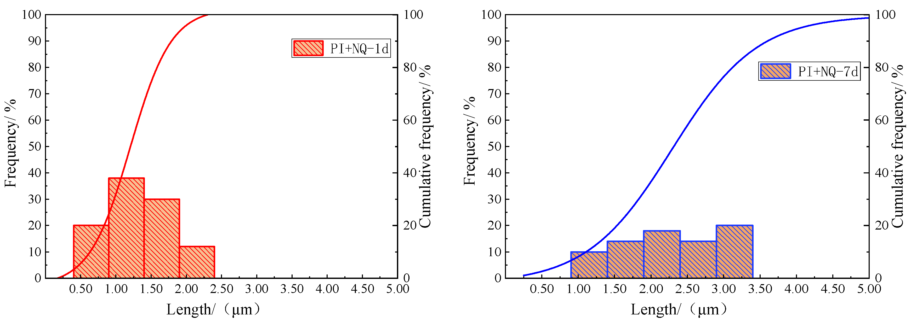
2.2.4. Measurement of Ettringite Crystal Dimensions
2.2.5. X-Ray Diffraction (XRD) Analysis
2.2.6. Scanning Electron Microscopy (SEM) Analysis
3. Results
3.1. Early-Strength Effect of NQ
3.2. Reaction Between P.I Cement and NQ Powder at High Water-to-Solid Ratio
3.2.1. Analysis of Filtrate After Hydration Product Filtration
3.2.2. SEM Analysis of the Filtered Solid Residue
3.2.3. XRD Analysis of the Filtered Solid Residue
4. Discussion
Analysis of the Hydration Mechanism of P.I Cement with NQ
→ 3CaO·Al2O3·3(CaSO4,CaCO3)·32H2O
5. Conclusions
Author Contributions
Funding
Institutional Review Board Statement
Informed Consent Statement
Data Availability Statement
Conflicts of Interest
References
- Khalil, E.; AbouZeid, M. A global assessment tool for cement plants improvement measures for the reduction of CO2 emissions. Results Eng. 2025, 26, 104767. [Google Scholar] [CrossRef]
- Desport, L.; Andrade, C.; Corral, D.; Selosse, S. Feasibility, conditions, and opportunities for achieving net-negative emissions in the global cement industry. Int. J. Greenh. Gas Control 2025, 141, 104280. [Google Scholar] [CrossRef]
- Xie, F.; Zhou, D.; Zhang, M. Research progress on carbon dioxide curing of cementitious materials: A review. Can. J. Civ. Eng. 2025, 52, 1045–1059. [Google Scholar] [CrossRef]
- Chen, J.; Zhang, Z.; Shen, Y.; Li, H.; Lin, X. A novel insight into CO2-cured cement modified by ultrasonic carbonated waste incineration fly ash: Mechanical properties, carbon sequestration, and heavy metals immobilization. Carbon Capture Sci. Technol. 2025, 14, 100368. [Google Scholar] [CrossRef]
- Montserrat-Torres, P.; Winnefeld, F.; Lothenbach, B. Impact of nesquehonite on hydration and strength properties of MgO-based cements. Cem. Concr. Res. 2025, 189, 107772. [Google Scholar] [CrossRef]
- Zhou, Z.; Bernard, E.; Lothenbach, B. Effect of nesquehonite and silica on magnesia-silicate-carbonate cements. Cem. Concr. Res. 2025, 194, 107892. [Google Scholar] [CrossRef]
- Ge, W.; Zhang, Z.; Ashour, A.; Li, W.; Jiang, H.; Hu, Y.; Shuai, H.; Sun, C.; Li, S.; Liu, Y.; et al. Hydration characteristics, hydration products and microstructure of reactive powder concrete. J. Build. Eng. 2023, 69, 106306. [Google Scholar] [CrossRef]
- Jia, R.; Ran, B.; Lv, T.; Yu, Y.; Hu, X.; Xu, L. Synergistic effect of waste concrete powder and traditional SCMs in preparing clinker-free cement: Hydration and microstructure evolution. Constr. Build. Mater. 2025, 491, 142798. [Google Scholar] [CrossRef]
- Yao, Y.; Xu, G.; Wu, M.; Zhao, M. Exploring the influence of cement and cement hydration products on strength and interfacial adhesion in emulsified cold recycled mixture: A molecular dynamics and experimental investigation. Constr. Build. Mater. 2023, 409, 134050. [Google Scholar] [CrossRef]
- Bullard, J.W.; Jennings, H.M.; Livingston, R.A.; Nonat, A.; Scherer, G.W.; Schweitzer, J.S.; Scrivener, K.L.; Thomas, J.J. Mechanisms of cement hydration. Cem. Concr. Res. 2011, 41, 1208–1223. [Google Scholar] [CrossRef]
- Guermech, S.; Boucif, N.; Diliberto, C.; Lecomte-Nana, G. A study of hydromagnesite and nesquehonite precipitation in indirect aqueous carbonation of thermally-activated serpentine in a batch mode. J. Cryst. Growth 2022, 584, 126540. [Google Scholar] [CrossRef]
- Wang, F.; Dreisinger, D.B.; Jarvis, M.; Hitchins, T. The technology of CO2 sequestration by mineral carbonation: Current status and future prospects. Can. Metall. Q. 2018, 57, 46–58. [Google Scholar] [CrossRef]
- John, E.; Lothenbach, B. Cement hydration mechanisms through time—A review. J. Mater. Sci. 2023, 58, 9805–9833. [Google Scholar] [CrossRef]
- Botan-Neto, B.D.; Santamaría-PérezS, D. A comprehensive review of the chemical and structural behavior of MgCO3·3H2O nesquehonite: Insights into its stability and functionality. CrystEngComm 2025, 27, 6865–6883. [Google Scholar] [CrossRef]
- Pu, L.; Unluer, C. Investigation of carbonation depth and its influence on the performance and microstructure of MgO cement and PC mixes. Constr. Build. Mater. 2016, 120, 349–363. [Google Scholar] [CrossRef]
- Shi, R.; Hao, Y.; Chen, D.; Liu, W. Effect of low nesquehonite addition on the hydration product and pore structure of reactive magnesia paste. Materials 2023, 16, 2445. [Google Scholar] [CrossRef]
- Ma, S.; Li, S.; Du, W.; Chen, J.; Xue, Y.; Han, Y.; Zhang, Z.; Liu, X.; Han, F. Synergistic valorization of waste MgO-C bricks, steel slag and blast furnace slag to prepare composite phosphate cements: Hydration mechanism, mechanical performance and sustainability assessment. Constr. Build. Mater. 2025, 489, 142458. [Google Scholar] [CrossRef]
- Zhang, R.; Panesar, D.K. Investigation on Mg content in calcite when magnesium calcite and nesquehonite co-precipitate in hardened cement paste. Thermochim. Acta 2017, 654, 203–215. [Google Scholar] [CrossRef]
- Lin, L.; Xie, M.; Li, X.; Zheng, K.; Wang, J.; Yu, K.; Wang, Y.; Xing, F.; Bai, Y. Carbonation of cement-based materials under different conditions: From multi-characterizations to mechanism exploration. Constr. Build. Mater. 2025, 491, 142764. [Google Scholar] [CrossRef]
- Li, Y.; Li, B.; Lv, Y.; Zhou, J.; Qiao, H.; Chang, C.; Dong, J.; Wen, J.; Wang, Q.; Zheng, W. Improved CO2 retention performance of magnesium oxychloride cement through the synergistic effect of solid waste MgO. Constr. Build. Mater. 2025, 474, 141173. [Google Scholar] [CrossRef]
- Liu, P.; Liu, C.; Tang, K.; Guan, S.; Luo, X.; Zhang, L.; Liu, L. Exploring new pre-curing methods for carbonation curing of cement-based materials. J. Build. Eng. 2025, 105, 112434. [Google Scholar] [CrossRef]
- Wang, Y.; Meng, W.; Wang, H.; Cui, S.; Pei, T. Mechanism and effect of carbonation on the hydration of silicate cement during mixing. J. Build. Eng. 2025, 101, 111859. [Google Scholar] [CrossRef]
- Wang, Z.; Kimura, K.; Yamashita, K.; Kanazawa, Y.; Quy, N.X.; Kim, J.; Hama, Y. Effect of CO2-absorbed CaCO3 on the strength of blast furnace slag cement mortar. Constr. Build. Mater. 2025, 496, 143744. [Google Scholar] [CrossRef]
- Fan, Y.; Wang, L.; Zhou, X. Carbon sequestration technology in cement-based materials: A review of mechanisms and applications. In Proceedings of the C3 Symposium 2025, Chicago, IL, USA, 2–5 October 2025. [Google Scholar] [CrossRef]
- Li, J.; Hitch, M. Economic analysis on the application of mechanical activation in an integrated mineral carbonation process. Int. Biodeterior. Biodegrad. 2018, 128, 63–71. [Google Scholar] [CrossRef]
- Zarandi, A.E.; Larachi, F.; Beaudoin, G.; Plante, B.; Sciortino, M. Nesquehonite as a carbon sink in ambient mineral carbonation of ultramafic mining wastes. Chem. Eng. J. 2017, 314, 160–168. [Google Scholar] [CrossRef]
- Li, Z.; Zhang, Z.; Qin, J.; Yue, Y.; Qian, J. Influence of nesquehonite seeds on hydration and carbonation of reactive magnesia cement. Constr. Build. Mater. 2023, 409, 134034. [Google Scholar] [CrossRef]
- Forero, J.; Pacheco, J.; Sequeira, L.; Bravo, M.; de Brito, J.; Evangelista, L. A comprehensive study on the impact of reactive magnesium oxide (MgO) on concrete properties: Mechanical and durability assessment. J. Sustain. Cem.-Based Mater. 2025, 14, 2693–2712. [Google Scholar] [CrossRef]
- GB 175-2023; Common Portland Cement. Chinese National Standard: Beijing, China, 2024.
- GB/T 18046-2017; Ground Granulated Blast Furnace Slag Used for Cement, Mortar and Concrete. Chinese Standard Press: Beijing, China, 2018.
- GB/T 35159-2017; Flash Setting Admixtures for Shotcrete. Chinese National Standard: Beijing, China, 2018.
- Morrison, J.; Jauffret, G.; Galvez-Martos, J.L.; Glasser, F.P. Magnesium-based cements for CO2, capture and utilization. Cem. Concr. Res. 2016, 85, 183–191. [Google Scholar] [CrossRef]
- Mook, W.G. Environmental Isotopes in the Hydrological Cycle: Principles and Applications; IAEA: Vienna, Austria; UNESCO: Paris, France, 2000; pp. 143–165. [Google Scholar]






















| Chemical Composition | SiO2 | Al2O3 | Fe2O3 | CaO | MgO | SO3 | Na2Oeq | f-CaO | |||||
|---|---|---|---|---|---|---|---|---|---|---|---|---|---|
| Fraction (%) | 20.94 | 4.31 | 3.28 | 63.46 | 2.76 | 2.23 | 0.56 | 0.80 | |||||
| Properties | Fineness 0.08/% | Specific surface area, m2/kg | Density, g/cm3 | Standard consistency, % | Setting Time, min | Flexural Strength, MPa | Compressive Strength, MPa | ||||||
| Initial | Final | 3 d | 7 d | 28 d | 3 d | 7 d | 28 d | ||||||
| Measured value | 1.2 | 358 | 3.16 | 26.60 | 142 | 206 | 5.4 | 6.6 | 8.5 | 25.9 | 35.8 | 50.5 | |
| Chemical Composition | SiO2 | Al2O3 | Fe2O3 | CaO | MgO | SO3 | K2O | LOI | |
|---|---|---|---|---|---|---|---|---|---|
| Fraction (%) | 24.25 | 8.15 | 3.14 | 54.22 | 4.90 | 3.74 | 1.31 | 1.42 | |
| Properties | Specific surface area, m2/kg | Density, g/cm3 | Initial Setting Time, min | Final Setting Time, min | Water requirement for normal consistency, g | Flexural Strength, MPa | Compressive Strength, MPa | ||
| Measured value | 358 | 3.14 | 192 | 298 | 146 | 3 d | 28 d | 3 d | 28 d |
| 24.5 | 49.2 | 4.3 | 8.5 | ||||||
| Chemical Composition | CaO | MgO | SiO2 | Al2O3 | SO3 | TiO | Fe2O3 | Na2O |
|---|---|---|---|---|---|---|---|---|
| Content (%) | 33.8 | 10.8 | 31.1 | 18.3 | 2.3 | 1.9 | 0.4 | 0.6 |
| Sample | Curing Time | Mean/MPa | Standard Deviation/MPa |
|---|---|---|---|
| PI | 1d | 20.44 | 1.45 |
| 28d | 50.66 | 4.89 | |
| PI + 3%NQ | 1d | 22.15 | 1.69 |
| 28d | 50.96 | 3.63 |
| Object Phase | Phases in Type P.I Cement | Hydration Products | |||||||
|---|---|---|---|---|---|---|---|---|---|
| C3S | β-C2S | C3A | C4AF | Gypsum | AFt | Ca(OH)2 | |||
| Annotation | A | L | T | B | G | E | P | ||
| JCPDS# | 13-0272/ 49-0442 | 33- 0302 | 38- 1429 | 30- 0226 | 33- 0311 | 41-1451 | 44-1481 | ||
| Crystal surfacr | (620), (040) | (021) | (440) | (141) | (021) | (100) | (110) | (114) | (001) |
| 2θ /(º) | 51.720, 51.878 | 31.06 | 33.17 | 33.88 | 20.72 | 9.09 | 15.78 | 22.94 | 18.01 |
| d/Å | 1.766, 1.761 | 2.877 | 2.698 | 2.644 | 4.283 | 9.720 | 5.610 | 3.873 | 4.922 |
| If (Strength grade number) | 40(7),40(7) | 21(9) | 100(1) | 100(1) | 100(1) | 100(1) | 76(2) | 31(3) | 74(2) |
Disclaimer/Publisher’s Note: The statements, opinions and data contained in all publications are solely those of the individual author(s) and contributor(s) and not of MDPI and/or the editor(s). MDPI and/or the editor(s) disclaim responsibility for any injury to people or property resulting from any ideas, methods, instructions or products referred to in the content. |
© 2025 by the authors. Licensee MDPI, Basel, Switzerland. This article is an open access article distributed under the terms and conditions of the Creative Commons Attribution (CC BY) license (https://creativecommons.org/licenses/by/4.0/).
Share and Cite
Li, Z.; Chen, D.; Teng, T.; Liu, W. Influence of Nesquehonite on the Early-Stage Hydration of Portland Cement. Materials 2025, 18, 5271. https://doi.org/10.3390/ma18235271
Li Z, Chen D, Teng T, Liu W. Influence of Nesquehonite on the Early-Stage Hydration of Portland Cement. Materials. 2025; 18(23):5271. https://doi.org/10.3390/ma18235271
Chicago/Turabian StyleLi, Zihan, Deping Chen, Teng Teng, and Wenxin Liu. 2025. "Influence of Nesquehonite on the Early-Stage Hydration of Portland Cement" Materials 18, no. 23: 5271. https://doi.org/10.3390/ma18235271
APA StyleLi, Z., Chen, D., Teng, T., & Liu, W. (2025). Influence of Nesquehonite on the Early-Stage Hydration of Portland Cement. Materials, 18(23), 5271. https://doi.org/10.3390/ma18235271
