Sign in to use this feature.

Years

Between: -

Subjects

remove_circle_outline
remove_circle_outline
remove_circle_outline
remove_circle_outline
remove_circle_outline
remove_circle_outline
remove_circle_outline
remove_circle_outline
remove_circle_outline

Journals

remove_circle_outline
remove_circle_outline
remove_circle_outline
remove_circle_outline
remove_circle_outline
remove_circle_outline
remove_circle_outline
remove_circle_outline
remove_circle_outline
remove_circle_outline
remove_circle_outline
remove_circle_outline

Article Types

Countries / Regions

remove_circle_outline
remove_circle_outline
remove_circle_outline
remove_circle_outline
remove_circle_outline
remove_circle_outline

Search Results (629)

Search Parameters:
Keywords = potassium complexes

Order results
Result details
Results per page
Select all
Export citation of selected articles as:
39 pages, 13928 KB  
Article
Genesis of the Hadamengou Gold Deposit, Northern North China Craton: Constraints from Ore Geology, Fluid Inclusion, and Isotope Geochemistry
by Liang Wang, Liqiong Jia, Genhou Wang, Liangsheng Ge, Jiankun Kang and Bin Wang
Minerals 2026, 16(1), 99; https://doi.org/10.3390/min16010099 - 20 Jan 2026
Abstract
The Hadamengou gold deposit, hosted in the Precambrian metamorphic basement, is a super-large gold deposit occurring along the northern margin of the North China Craton. Despite extensive investigation, the genesis of the gold mineralization is poorly understood and remains highly debated. This study [...] Read more.
The Hadamengou gold deposit, hosted in the Precambrian metamorphic basement, is a super-large gold deposit occurring along the northern margin of the North China Craton. Despite extensive investigation, the genesis of the gold mineralization is poorly understood and remains highly debated. This study integrates a comprehensive dataset, including fluid inclusion microthermometry and C-H-O-S-Pb isotopes, to better constrain the genesis and ore-forming mechanism of the deposit. Hydrothermal mineralization can be divided into pyrite–potassium feldspar–quartz (Stage I), quartz–gold–pyrite–molybdenite (Stage II), quartz–gold–polymetallic sulfide (Stage III), and quartz–carbonate stages (Stage IV). Four types of primary fluid inclusions are identified, including pure CO2-type, composite CO2-H2O-type, aqueous-type, and solid-daughter mineral-bearing-type inclusions. Microthermometric and compositional data reveal that the fluids were mesothermal to hypothermal, H2O-dominated, and CO2-rich fluids containing significant N2 and low-to-moderate salinity, indicative of a magmatic–hydrothermal origin. Fluid inclusion assemblages further imply that the ore-forming fluids underwent fluid immiscibility, causing CO2 effusion and significant changes in physicochemical conditions that destabilized gold bisulfide complexes. The hydrogen–oxygen isotopic compositions, moreover, support a dominant magmatic water source, with increasing meteoric water input during later stages. The carbon–oxygen isotopes are also consistent with a magmatic carbon source. Sulfur and lead isotopes collectively imply that ore-forming materials were derived from a hybrid crust–mantle magmatic reservoir, with minor contribution from the country rocks. By synthesizing temporal–spatial relationships between magmatic activity and ore formation, and the regional tectonic evolution, we suggest that the Hadamengou is an intrusion-related magmatic–hydrothermal lode gold deposit. It is genetically associated with multi-stage magmatism induced by crust–mantle interaction, which developed within the extensional tectonic regimes. Full article
(This article belongs to the Section Mineral Deposits)
Show Figures

Figure 1

19 pages, 1159 KB  
Review
The Genetic Landscape and Precision Medicine in Neonatal Diabetes Mellitus: From Molecular Mechanisms to Clinical Management
by Yuanyuan Meng, Lina Zhu, Guanping Dong and Chao Tang
Curr. Issues Mol. Biol. 2026, 48(1), 104; https://doi.org/10.3390/cimb48010104 - 19 Jan 2026
Abstract
Neonatal Diabetes Mellitus (NDM) is a rare, heterogeneous monogenic disorder typically presenting within the first six months of life. Unlike type 1 or type 2 diabetes, NDM is caused by single-gene mutations that disrupt pancreatic β-cell function or development. With the advent of [...] Read more.
Neonatal Diabetes Mellitus (NDM) is a rare, heterogeneous monogenic disorder typically presenting within the first six months of life. Unlike type 1 or type 2 diabetes, NDM is caused by single-gene mutations that disrupt pancreatic β-cell function or development. With the advent of next-generation sequencing, the genetic spectrum of NDM has expanded significantly, necessitating a shift from symptomatic management to precision medicine. This narrative review summarizes the genetic basis and pathogenic mechanisms of NDM, categorizing them into three major pathways: (1) ATP-sensitive potassium (KATP) channelopathies (e.g., ABCC8, KCNJ11), where gain-of-function mutations inhibit insulin secretion; (2) Transcription factor defects (e.g., GLIS3, PAX6, GATA6), which impair pancreatic development and often present with syndromic features; and (3) Endoplasmic reticulum (ER) stress-mediated β-cell apoptosis, exemplified by WFS1 mutations. Furthermore, we highlight the clinical complexity of these mutations, including the “biphasic phenotype” observed in ABCC8 and HNF1A variants. Understanding these molecular mechanisms is critical for clinical decision-making. We discuss the transformative impact of genetic diagnosis in treatment, particularly the successful transition from insulin to oral sulfonylureas in patients with KATP channel mutations, and emphasize the importance of early genetic testing to optimize glycemic control and prevent complications. Full article
(This article belongs to the Section Molecular Medicine)
Show Figures

Figure 1

19 pages, 14753 KB  
Article
Detection of Melatonin with Sensors Modified Using Different Graphene-Based Materials
by Andra Georgiana Trifan and Constantin Apetrei
Appl. Sci. 2026, 16(2), 924; https://doi.org/10.3390/app16020924 - 16 Jan 2026
Viewed by 91
Abstract
This study includes a comparative analysis of four graphene-based electrochemical sensors used for the detection of melatonin, an endogenous hormone involved in circadian rhythm regulation and associated with various neurological pathologies. The sensors were based on screen-printed electrodes (SPE) modified with graphene (G), [...] Read more.
This study includes a comparative analysis of four graphene-based electrochemical sensors used for the detection of melatonin, an endogenous hormone involved in circadian rhythm regulation and associated with various neurological pathologies. The sensors were based on screen-printed electrodes (SPE) modified with graphene (G), graphene modified with gold nanoparticles (AuNPs/G), graphene oxide (GO), and reduced graphene oxide (rGO). Melatonin was extracted from commercially available pharmaceutical products, purified, and characterized using UV-Vis spectroscopy, FTIR spectrometry, and HPLC. The performance of the electrodes was evaluated via cyclic voltammetry, using potassium ferrocyanide and standard melatonin solutions to determine the kinetic characteristics, while square-wave voltammetry was employed to determine the detection and quantification limits. G/SPE showed the best performance, with a detection limit of 0.3424 μM, followed by AuNPs/G/SPE with an LOD of 1.2768 μM. GO/SPE had the poorest performance (LOD 23.1056 μM), and rGO/SPE had an LOD of 5.8503 μM. Testing of sensors on pharmaceuticals showed accurate quantification of melatonin in a complex environment. The results highlight the potential of G/SPE and AuNPs/G/SPE sensors for use in the rapid and accurate detection of melatonin in pharmaceutical and biomedical applications. Full article
Show Figures

Figure 1

25 pages, 1850 KB  
Article
Recovery, Identification, and Presumptive Agricultural Application of Soil Bacteria
by Guadalupe Steele, Andrew K. Rindsberg and Hung King Tiong
Appl. Microbiol. 2026, 6(1), 11; https://doi.org/10.3390/applmicrobiol6010011 - 9 Jan 2026
Viewed by 182
Abstract
Conventional and organic agriculture can both cause soil microbial community structure (SMCS) destruction, infertility, and abandonment. The application of soil productivity-improving biofertilizers is a sustainable practice that requires holistic knowledge, including complex biointeractions, diverse microbial metabolism, and culture requirements, the last of which [...] Read more.
Conventional and organic agriculture can both cause soil microbial community structure (SMCS) destruction, infertility, and abandonment. The application of soil productivity-improving biofertilizers is a sustainable practice that requires holistic knowledge, including complex biointeractions, diverse microbial metabolism, and culture requirements, the last of which rely on methodology and technology. In this study, a holistic culture-based and meta-analysis approach was employed to explore pristine and domesticated soils for presumptive plant growth-promoting (PGP) bacteria. Various soil samples were logistically acquired and processed using enrichment and heat alternatives. Morphologically diverse isolates were streak-purified and analyzed for 16S rRNA bacterial identification. Meta-analysis of PGP bacteria in domesticated environments was conducted using Google Search and NCBI PubMed. Soil fertility was analyzed for the pH and nitrogen/phosphorus/potassium (NPK) contents using biochemical tests. Notably, 7 genera and 15 species were differentially recovered, with Bacillus being the most prevalent and diverse in species. Conversely, Aeromonas, Lactobacillus, Lelliottia, Pseudomonas, and Staphylococcus were found only in pristine soil. While soil pH was consistent in all pristine soil samples, NPK contents ranged widely across the pristine (i.e., P/K) and domesticated samples (i.e., N/P/K). These findings could enhance biofertilizer SMCS, function, and effectiveness in the agricultural productivity needed to feed the expanding population. Full article
Show Figures

Figure 1

26 pages, 6395 KB  
Review
In Situ Characterization of Anode Materials for Rechargeable Li-, Na- and K-Ion Batteries: A Review
by Jinqi Gui, Shuaiju Meng, Xijun Liu and Zhifeng Wang
Materials 2026, 19(2), 280; https://doi.org/10.3390/ma19020280 - 9 Jan 2026
Viewed by 242
Abstract
Rechargeable lithium-, sodium-, and potassium-ion batteries are utilized as essential energy storage devices for portable electronics, electric vehicles, and large-scale energy storage systems. In these systems, anode materials play a vital role in determining energy density, cycling stability, and safety of various batteries. [...] Read more.
Rechargeable lithium-, sodium-, and potassium-ion batteries are utilized as essential energy storage devices for portable electronics, electric vehicles, and large-scale energy storage systems. In these systems, anode materials play a vital role in determining energy density, cycling stability, and safety of various batteries. However, the complex electrochemical reactions and dynamic changes that occur in anode materials during charge–discharge cycles generate major challenges for performance optimization and understanding failure mechanisms. In situ characterization techniques, capable of real-time tracking of microstructures, composition, and interface dynamics under operating conditions, provide critical insights that bridge macroscopic performance and microscopic mechanisms of anodes. This review systematically summarizes the applications of such techniques in studying anodes for lithium-, sodium-, and potassium-ion batteries, with a focus on their contributions across different anode types. It also indicates current challenges and future directions of these techniques, aiming to offer valuable references for relevant applications and the design of high-performance anodes. Full article
(This article belongs to the Special Issue Technology in Lithium-Ion Batteries: Prospects and Challenges)
Show Figures

Graphical abstract

23 pages, 4022 KB  
Article
Machine Learning—Driven Analysis of Agricultural Nonpoint Source Pollution Losses Under Variable Meteorological Conditions: Insights from 5 Year Site-Specific Tracking
by Ran Jing, Yinghui Xie, Zheng Hu, Xingjian Yang, Xueming Lin, Wenbin Duan, Feifan Zeng, Tianyi Chen, Xin Wu, Xiaoming He and Zhen Zhang
Sustainability 2026, 18(2), 590; https://doi.org/10.3390/su18020590 - 7 Jan 2026
Viewed by 180
Abstract
Agricultural nonpoint source pollution is emerging as one of the increasingly serious environmental concerns all over the world. This study conducted field experiments in Zengcheng District, Guangzhou City, from 2019 to 2023 to explore the mechanisms by which different crop types, fertilization modes, [...] Read more.
Agricultural nonpoint source pollution is emerging as one of the increasingly serious environmental concerns all over the world. This study conducted field experiments in Zengcheng District, Guangzhou City, from 2019 to 2023 to explore the mechanisms by which different crop types, fertilization modes, and meteorological conditions affect the loss of nitrogen and phosphorus in agricultural nonpoint source pollution. In rice and corn, the CK and PK treatment groups showed significant fitting advantages, such as the R2 of rice-CK reaching 0.309. MAE was 0.395, and the R2 of corn-PK was as high as 0.415. For compound fertilization groups such as NPK and OF, the model fitting ability decreased, such as the R2 of rice-NPK dropping to 0.193 and the R2 of corn-OF being only 0.168. In addition, the overall performance of the model was limited in the modeling of total phosphorus. A relatively good fit was achieved in corn (such as NPK group R2 = 0.272) and in vegetables and citrus. R2 was mostly below 0.25. The results indicated that fertilization management, crop types, and meteorological conditions affected nitrogen and phosphorus losses in agricultural runoff. Cornfields under conventional nitrogen, phosphorus, and potassium fertilizer (NPK) and conventional nitrogen and potassium fertilizer treatment without phosphorus fertilizer (NK) treatments exhibited the highest nitrogen losses, while citrus fields showed elevated phosphorus concentrations under NPK and PK treatments. Organic fertilizer treatments led to moderate nutrient losses but greater variability. Organic fertilizer treatments resulted in moderate nutrient losses but showed greater interannual variability. Meteorological drivers differed among crop types. Nitrogen enrichment was mainly associated with high temperature and precipitation, whereas phosphorus loss was primarily triggered by short-term extreme weather events. Linear regression models performed well under simple fertilization scenarios but struggled with complex nutrient dynamics. Crop-specific traits such as flooding in rice fields, irrigation in corn, and canopy coverage in citrus significantly influenced nutrient migration. The findings of this study highlight that nutrient losses are jointly regulated by crop systems, fertilization practices, and meteorological variability, particularly under extreme weather conditions. These findings underscore the necessity of crop-specific and climate-adaptive nutrient management strategies to reduce agricultural nonpoint source pollution. By integrating long-term field observations with machine learning–based analysis, this study provides scientific evidence to support sustainable fertilizer management, protection of water resources, and environmentally responsible agricultural development in subtropical regions. The proposed approaches contribute to sustainable land and water resource utilization and climate-resilient agricultural systems, aligning with the goals of sustainable development in rapidly urbanizing river basins. Full article
Show Figures

Figure 1

23 pages, 6686 KB  
Article
Venom Proteins of the Firefly Pyrocoelia analis Revealed by Transcriptome Analysis
by Guohao Liu, Chengquan Cao, Liang Chen, Rui Huang, Long Li, Er Meng, Changjun Liu and Canwei Du
Toxins 2026, 18(1), 18; https://doi.org/10.3390/toxins18010018 - 27 Dec 2025
Viewed by 314
Abstract
Fireflies, which predominantly prey on various mollusks such as small snails and slugs, are renowned for their unique bioluminescence. Firefly toxins—particularly Lucibufagins (LBGs), which target the α-subunit of the sodium–potassium pump protein (ATPα)—play a crucial role in their survival strategies. However, the types [...] Read more.
Fireflies, which predominantly prey on various mollusks such as small snails and slugs, are renowned for their unique bioluminescence. Firefly toxins—particularly Lucibufagins (LBGs), which target the α-subunit of the sodium–potassium pump protein (ATPα)—play a crucial role in their survival strategies. However, the types and functions of venom proteins in fireflies remain to be elucidated. In this study, transcriptome sequencing was employed on the larval head of Pyrocoelia analis larvae, through which transcripts encoding several putative venom proteins were identified, including phospholipase A1/A2, 5′-nucleotidase, cysteine-rich secretory proteins (CRISPs), and insulin-like peptides. Structural comparison revealed that venom proteins in fireflies exhibited high sequence and structural similarity with venom proteins from various venomous animals (e.g., snakes, scorpions, spiders, and cone snails). These venom proteins may exert synergistic effects through multiple mechanisms, such as neurotoxicity, metabolic interference, and cytotoxicity, thereby playing an essential role in mollusk predation and defense against predators. Our study not only analyzes the complexity and uniqueness of Py. analis venom proteins but also provides a robust foundation for further exploration of the ecological adaptability and evolutionary mechanisms of these venom proteins. Full article
(This article belongs to the Section Animal Venoms)
Show Figures

Figure 1

17 pages, 7231 KB  
Article
Feasibility Study for Determination of Trace Iron in Red Sandstone via O-Phenanthroline Spectrophotometry
by Dajuan Wang, Genlan Yang, Wenbing Shi and Yong Wang
Appl. Sci. 2026, 16(1), 243; https://doi.org/10.3390/app16010243 - 25 Dec 2025
Viewed by 290
Abstract
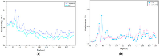
Fe3+ and Fe2+ are widely present in red sandstone. However, systematic studies on the establishment of a quantitative relationship between the Fe3+/Fe2+ ratio and weathering degree of rock are scarce. In this study, on the basis of the [...] Read more.
Fe3+ and Fe2+ are widely present in red sandstone. However, systematic studies on the establishment of a quantitative relationship between the Fe3+/Fe2+ ratio and weathering degree of rock are scarce. In this study, on the basis of the coexistence characteristics of Fe2+ and Fe3+, as well as the ability of Fe2+ to form a stable orange–red complex with o-phenanthroline, an optimized o-phenanthroline spectrophotometric method for the multitarget determination of total iron, Fe2+, and Fe3+ was proposed and used to measure trace iron in the vertical profile of red sandstone. The effectiveness and reliability of the proposed method were validated via X-ray fluorescence spectroscopy (XRFS) and potassium dichromate titration. The results demonstrate that o-phenanthroline spectrophotometry offers advantages such as a low detection limit, high precision, and simple operation for the determination of trace iron in red sandstone. The vertical distribution pattern of the Fe2+/Fe3+ ratio is generally consistent with the macroscopic weathering intervals indicated by traditional chemical weathering indices. These findings suggest that the Fe2+/Fe3+ ratio has the potential to characterize vertical weathering zones and can serve as a simple auxiliary indicator for the rapid preliminary identification and classification of the relative weathering zones of red sandstone. Full article
Show Figures

Figure 1

17 pages, 1974 KB  
Article
Quantitative Stability Evaluation of Reconstituted Azacitidine Under Clinical Storage Conditions
by Stefano Ruga, Renato Lombardi, Tonia Bocci, Michelangelo Armenise, Mara Masullo, Chiara Lamesta, Roberto Bava, Fabio Castagna, Elisa Matarese, Maria Pia Di Viesti, Annalucia Biancofiore, Giovanna Liguori and Ernesto Palma
Pharmaceuticals 2026, 19(1), 39; https://doi.org/10.3390/ph19010039 - 23 Dec 2025
Viewed by 347
Abstract
Objectives: The aim of this study was to evaluate the stability of azacitidine (AZA) under clinical storage conditions (room temperature vs. refrigeration) to identify practical protocols that minimize waste and improve cost-effectiveness. Methods: AZA solutions (1 mg/mL) were stored at 23 [...] Read more.
Objectives: The aim of this study was to evaluate the stability of azacitidine (AZA) under clinical storage conditions (room temperature vs. refrigeration) to identify practical protocols that minimize waste and improve cost-effectiveness. Methods: AZA solutions (1 mg/mL) were stored at 23 ± 2 °C or 4 °C. Stability was assessed using a validated high-performance liquid chromatography (HPLC) method. Chromatographic separation was achieved on a Hypersil ODS C18 column (250 mm × 4.6 mm, 5 μm) using an isocratic mobile phase of 50 mM potassium phosphate buffer (pH 7.0)-acetonitrile (98:2, v/v) at a flow rate of 1.0 mL/min, with UV detection at 245 nm and a 20 μL injection volume. The method demonstrated specificity for AZA and its main degradation product (DP), with LOD and LOQ of 12.56 μg/mL and 62.8 μg/mL, respectively. Linearity (R2 = 0.9928), precision (RSD% < 5 for mid/high levels), and accuracy (mean recovery 96%) were established. Results: Azacitidine degraded rapidly at room temperature, with >85% loss within 24 h. In contrast, refrigeration at 4 °C significantly delayed degradation, with only ~26% loss observed over the same 24 h period. Chromatographic analysis confirmed the formation of a primary degradation product (tentatively identified as the open-ring hydrolytic species N-(formylamidino)-N′-β-D-ribofuranosylurea based on its chromatographic behavior and literature data), consistent with the known hydrolytic pathway. The applied HPLC-UV method offered an optimal balance of specificity and practicality for monitoring this main degradation trend under clinical storage conditions, distinguishing it from more complex techniques used primarily for structural elucidation. Conclusions: The pronounced instability of reconstituted AZA underscores the critical importance of strict adherence to immediate-use protocols. Refrigeration provides only a limited stability window. Based on our kinetic data, maintaining the reconstituted solution within an acceptable degradation limit (e.g., ≤10% loss) at 4 °C would require administration within a very short timeframe, supporting current handling guidelines to ensure therapeutic efficacy and minimize economic waste. Full article
Show Figures

Figure 1

18 pages, 6012 KB  
Article
Combination of Functional Complementary Salt-Tolerant PGPR and Organic Amendments Modulates the Soil Micro-Environment and Promotes Wheat Growth
by Yanxia He, Zhifang Ning, Yushuang Cui, Xin Yue, Yali Huang and Changxiong Zhu
Agriculture 2025, 15(24), 2558; https://doi.org/10.3390/agriculture15242558 - 10 Dec 2025
Viewed by 373
Abstract
The individual application of salt-tolerant plant growth-promoting rhizobacteria (ST-PGPR) or organic amendments exhibits certain limitations in remediating saline-alkali soils. This study developed a co-application treatment by combining a functionally complementary ST-PGPR consortium (Bacillus velezensis and Bacillus marisflavi) with optimized organic amendments [...] Read more.
The individual application of salt-tolerant plant growth-promoting rhizobacteria (ST-PGPR) or organic amendments exhibits certain limitations in remediating saline-alkali soils. This study developed a co-application treatment by combining a functionally complementary ST-PGPR consortium (Bacillus velezensis and Bacillus marisflavi) with optimized organic amendments (biochar at 22.5 t·ha−1 and sheep-manure organic fertilizer at 7.5 t·ha−1) to enhance soil quality and wheat growth. Compared with the control, the combination of the ST-PGPR consortium with organic amendments significantly reduced soil electrical conductivity by 52.69%. while soil organic matter, alkaline nitrogen, available phosphorus, and available potassium increased by 54.37%, 7.68%, 11.85%, and 39.57%, respectively (p < 0.05). The activities of sucrase, urease, and catalase also increased by 147.69%, 28.56%, and 30.26%, respectively (p < 0.05). Furthermore, the combined treatment significantly promoted wheat growth, increasing plant height, root length, and fresh weight by 12.11%, 26.60%, and 35.00%, respectively (p < 0.05), while alleviating osmotic and oxidative stress. β-diversity analysis revealed distinct microbial community compositions across treatments, and microbial composition indicated that Actinobacteriota and Starmerella were enriched under the co-application. Additionally, the co-application significantly enhanced the complexity and interconnectivity of the bacterial network, while reducing the stability of the fungal network. Partial least squares path and random forest models identified soil chemical properties as the key factors driving wheat growth. This synergistic system presents a promising and sustainable strategy for remediating saline-alkali soils and enhancing crop productivity. Full article
(This article belongs to the Section Agricultural Soils)
Show Figures

Figure 1

15 pages, 3004 KB  
Article
Trivalent Chromium Electroplating Baths—The Inner-Sphere Complex Hypothesis
by Julio C. Avalos, Axel S. Martínez, Eugenia Aldeco-Pérez, Julieta Torres-González and German Orozco
Reactions 2025, 6(4), 71; https://doi.org/10.3390/reactions6040071 - 8 Dec 2025
Viewed by 320
Abstract
There are 880 studies focused on trivalent chrome baths, and several studies suggest the formation of Cr(III)L(H2O)52+, where L is an additive such as oxalate. The literature [...] Read more.
There are 880 studies focused on trivalent chrome baths, and several studies suggest the formation of Cr(III)L(H2O)52+, where L is an additive such as oxalate. The literature suggests that this compound decreases the energy needed in the electrodeposition process. We call this approach the inner-sphere complex hypothesis because these complexes are suggested, such as principal intermediate compounds. There are several disadvantages of this postulate, which are numbered in our study. This hypothesis was tested via Fourier transform infrared spectroscopy performed in attenuated total reflectance (ATR) mode. In addition, the potassium bis(oxalato) diaqua chromate (III) dihydrate (K[CrC2O42OH22]·2H2O) compound was selected as a probe molecule because it contains bridging COCr bonds, which are supposedly the largest number of bonds in the inner-sphere complexes in bath solutions. There is strong evidence of numerous bridging COCr bonds in the solid sample; conversely, in solution, Cr(III) prefers to form terminal bonds (CrO). These results suggest that the concentration of the inner-sphere complex is lower in solution. In solutions containing chromium (III) sulfate and oxalate anions, the concentrations of these complexes are much lower. Although some inner-sphere complexes are formed, their concentration does not seem to be relevant to the electrodeposition process. Otherwise, at high ionic strengths, the formation of ion pairs and hydrogen bonds between Cr(III) and additives is probable. Our research highlights the importance of vibrational spectroscopy in resolving the mechanics of the trivalent chrome electrodeposition process. This is the first study reporting a band of CrO bonds in trivalent chrome baths. Full article
(This article belongs to the Special Issue Feature Papers in Reactions in 2025)
Show Figures

Figure 1

19 pages, 14381 KB  
Article
Towards Explainable Computational Toxicology: Linking Antitargets to Rodent Acute Toxicity
by Ilia Nikitin, Igor Morgunov, Victor Safronov, Anna Kalyuzhnaya and Maxim Fedorov
Pharmaceutics 2025, 17(12), 1573; https://doi.org/10.3390/pharmaceutics17121573 - 5 Dec 2025
Viewed by 731
Abstract
Objectives: One of the major trends in modern computational toxicology is the development of explainable predictive tools. However, the complex nature of the mechanistic representation of biological organisms and the lack of relevant data remain limiting factors. Methods: This work provides a publicly [...] Read more.
Objectives: One of the major trends in modern computational toxicology is the development of explainable predictive tools. However, the complex nature of the mechanistic representation of biological organisms and the lack of relevant data remain limiting factors. Methods: This work provides a publicly available dataset of 12,654 compounds with mouse intravenous LD50 values, as well as docking scores (Vina-GPU 2.0) against 44 toxicity-associated proteins. NIH and Brenk filters were applied to refine the chemical space. Results: Across the entire protein panel, the human ether-a-go-go–related gene channel (hERG/KCNH2), vasopressin receptor 1A (AVPR1A), the L-type voltage-gated calcium channel Cav1.2 (CACNA1C), the potassium voltage-gated channel subfamily KQT member 1 (KCNQ1) and endothelin receptor A (EDNRA) showed the strongest association with acute toxicity. Statistically significant differences were found in the distribution of LD50 values for compounds that bind antitargets compared with non-binders. Using known bioactive molecules such as anisodamine, butaperazine, soman, and several cannabinoids as examples confirmed the effectiveness of inverse docking for elucidating mechanism of action. Conclusions: The dataset offers a resource to advance transparent, mechanism-aware toxicity modeling. The data is openly available. Full article
Show Figures

Figure 1

14 pages, 1930 KB  
Article
Ex-Post Evaluation of Computational Forecast Accuracy: The Potassium Ion Coordination in a Catecholic Compound
by Giuseppe M. Lombardo and Francesco Punzo
Inorganics 2025, 13(12), 385; https://doi.org/10.3390/inorganics13120385 - 24 Nov 2025
Viewed by 461
Abstract
In the present work we report a detailed description of the structural features of the protocatechuic potassium salt. The X-ray data collection evidenced a complex structure where there is a struggle between the catecholic and carboxylic functions to coordinate the potassium ion. The [...] Read more.
In the present work we report a detailed description of the structural features of the protocatechuic potassium salt. The X-ray data collection evidenced a complex structure where there is a struggle between the catecholic and carboxylic functions to coordinate the potassium ion. The experimental data have been analyzed on the basis of various different Molecular Dynamics approaches, and they were compared to previous structural experimental and computational data on similar compounds. An improvement for the Dreiding Force Field for what concerns the K+ ion has been implemented to achieve the computational results. Full article
(This article belongs to the Special Issue State-of-the-Art Inorganic Chemistry in Italy)
Show Figures

Figure 1

18 pages, 501 KB  
Article
Adaptive Serum Biochemistry Responses to Ethanol Administration in a Mouse Model: Implications for Metabolic Regulation Under Analgesia
by Bożena Witek, Krzysztof Wróbel, Grażyna Świderska-Kołacz, Szymon Zmorzyński, Anna Wojciechowska and Joanna Czerwik-Marcinkowska
Molecules 2025, 30(22), 4488; https://doi.org/10.3390/molecules30224488 - 20 Nov 2025
Viewed by 469
Abstract
Analgesia, or reduced pain sensitivity, can result from pharmacological or stress-induced mechanisms, but human studies are limited by complex physiological and psychological variables. This study aimed to evaluate the impact of ethanol consumption on key metabolic markers in two genetically distinct mouse lines [...] Read more.
Analgesia, or reduced pain sensitivity, can result from pharmacological or stress-induced mechanisms, but human studies are limited by complex physiological and psychological variables. This study aimed to evaluate the impact of ethanol consumption on key metabolic markers in two genetically distinct mouse lines selectively bred for pain sensitivity: high analgesia (HA) and low analgesia (LA). Forty-eight male Swiss-Webster mice were randomly assigned to four groups: HA and LA with or without heavy alcohol (ethanol) exposure. Blood serum was analyzed for its lipid profile, enzymatic activity, electrolyte levels and regulatory/energetic compounds. In HA mice, ALAT and AspAT activities and, albumin, creatinine, iron, and potassium levels were elevated, whereas glucose and sodium levels were decreased. LA mice presented increased bilirubin, cholesterol, LDL, HDL, and lipase activity. ChE, LDH, and CK activities differed significantly between the HA and LA groups. Ethanol intake influenced potassium, magnesium, and sodium serum concentrations. Discriminant analysis highlighted distinct biochemical profiles depending on the LA and HA groups. HA mice predominantly exhibit cytolytic liver damage, altered muscle metabolism, and increased iron levels, indicating oxidative stress. HA and LA display distinct adaptive metabolic strategies: protein/muscle and lipid/electrolyte metabolism, respectively. Genetic differences between HA and LA mice determine different metabolic responses to ethanol. Full article
Show Figures

Figure 1

31 pages, 9364 KB  
Article
Inducing Interconnected Fractures in Granite via Pulsed Power Plasma Using Nanoparticles: A Waterless Stimulation Approach for Enhanced Geothermal Systems
by Son T. Nguyen, Mohamed Y. Soliman, Mohamed Adel Gabry, Mohamed E.-S. El-Tayeb, Michael Myers, Yanming Chen, Gabriel Unomah and Lori Hathon
Processes 2025, 13(11), 3721; https://doi.org/10.3390/pr13113721 - 18 Nov 2025
Viewed by 636
Abstract
This study introduces nanoparticle-enhanced pulsed power plasma stimulation (NP-3PS) as a waterless fracturing technology for enhanced geothermal systems (EGS), employing ultrafast high-pressure plasma discharges from a 20 kJ capacitor charged to 40 kV to initiate and propagate complex fractures in 8-inch (20.32 cm) [...] Read more.
This study introduces nanoparticle-enhanced pulsed power plasma stimulation (NP-3PS) as a waterless fracturing technology for enhanced geothermal systems (EGS), employing ultrafast high-pressure plasma discharges from a 20 kJ capacitor charged to 40 kV to initiate and propagate complex fractures in 8-inch (20.32 cm) granite cubes via single pulses of 10, 12, and 16 kJ and a staged 4 + 6 kJ sequence. A 2-inch (5.03 cm) borehole was filled with nanofluid containing 0.3 wt % aluminum NP (60–80 nm) suspended in 7 wt % potassium chloride (KCl) + 0.18 wt % guar gum to sustain thermite reactions and multi-cycle shockwaves, generating peak pressures exceeding 100,000 psi (690 MPa) within microseconds. Post-stimulation diagnostics using 13 µm micro-CT, thin-section microscopy, and acoustic velocity analysis revealed dense branched fractures, porosity increase from 1.3% to 4.6% (~250%), and thermal conductivity reduction of 9–16%, indicating enhanced permeability and convective heat-transfer potential. The NP-driven multi-pulse mechanism reactivated existing fractures at lower energy without wire replacement, establishing a quantitative framework linking plasma dynamics, rock damage evolution, and thermal response, thus confirming NP-3PS as a scalable and sustainable alternative to hydraulic fracturing for geothermal reservoir stimulation. Full article
Show Figures

Figure 1

Back to TopTop