Sign in to use this feature.

Years

Between: -

Subjects

remove_circle_outline
remove_circle_outline
remove_circle_outline
remove_circle_outline
remove_circle_outline
remove_circle_outline
remove_circle_outline
remove_circle_outline
remove_circle_outline

Journals

remove_circle_outline
remove_circle_outline
remove_circle_outline

Article Types

Countries / Regions

remove_circle_outline
remove_circle_outline
remove_circle_outline
remove_circle_outline
remove_circle_outline

Search Results (254)

Search Parameters:
Keywords = plume-scale

Order results
Result details
Results per page
Select all
Export citation of selected articles as:
37 pages, 1846 KB  
Review
Visualization Techniques for Spray Monitoring in Unmanned Aerial Spraying Systems: A Review
by Jungang Ma, Hua Zhuo, Peng Wang, Pengchao Chen, Xiang Li, Mei Tao and Zongyin Cui
Agronomy 2026, 16(1), 123; https://doi.org/10.3390/agronomy16010123 - 4 Jan 2026
Viewed by 168
Abstract
Unmanned Aerial Spraying Systems (UASS) has rapidly advanced precision crop protection. However, the spray performance of UASSs is influenced by nozzle atomization, rotor-induced airflow, and external environmental conditions. These factors cause strong spatiotemporal coupling and high uncertainty. As a result, visualization-based monitoring techniques [...] Read more.
Unmanned Aerial Spraying Systems (UASS) has rapidly advanced precision crop protection. However, the spray performance of UASSs is influenced by nozzle atomization, rotor-induced airflow, and external environmental conditions. These factors cause strong spatiotemporal coupling and high uncertainty. As a result, visualization-based monitoring techniques are now essential for understanding these dynamics and supporting spray modeling and drift-mitigation design. This review highlights developments in spray visualization technologies along the “droplet–airflow–target” chain mechanism in UASS spraying. We first outline the physical fundamentals of droplet formation, liquid-sheet breakup, droplet size distribution, and transport mechanisms in rotor-induced flow. Dominant processes are identified across near-field, mid-field, and far-field scales. Next, we summarize major visualization methods. These include optical imaging (PDPA/PDIA, HSI, DIH), laser-based scattering and ranging (LD, LiDAR), and flow-field visualization (PIV). We compare their spatial resolution, measurement range, 3D reconstruction capabilities, and possible sources of error. We then review wind-tunnel trials, field experiments, and point-cloud reconstruction studies. These studies show how downwash flow and tip vortices affect plume structure, canopy disturbance, and deposition patterns. Finally, we discuss emerging intelligent analysis for large-scale monitoring—such as image-based droplet recognition, multimodal data fusion, and data-driven modeling. We outline future directions, including unified feature systems, vortex-coupled models, and embedded closed-loop spray control. This review is a comprehensive reference for advancing UASS analysis, drift assessment, spray optimization, and smart support systems. Full article
(This article belongs to the Special Issue New Trends in Agricultural UAV Application—2nd Edition)
Show Figures

Figure 1

19 pages, 6978 KB  
Article
Los Angeles Wildfires 2025: Satellite-Based Emissions Monitoring and Air-Quality Impacts
by Konstantinos Michailidis, Andreas Pseftogkas, Maria-Elissavet Koukouli, Christodoulos Biskas and Dimitris Balis
Atmosphere 2026, 17(1), 50; https://doi.org/10.3390/atmos17010050 - 31 Dec 2025
Viewed by 346
Abstract
In January 2025, multiple wildfires erupted across the Los Angeles region, fueled by prolonged dry conditions and intense Santa Ana winds. Southern California has faced increasingly frequent and severe wildfires in recent years, driven by prolonged drought, high temperatures, and the expanding wildland–urban [...] Read more.
In January 2025, multiple wildfires erupted across the Los Angeles region, fueled by prolonged dry conditions and intense Santa Ana winds. Southern California has faced increasingly frequent and severe wildfires in recent years, driven by prolonged drought, high temperatures, and the expanding wildland–urban interface. These fires have caused major loss of life, extensive property damage, mass evacuations, and severe air-quality decline in this densely populated, high-risk region. This study integrates passive and active satellite observations to characterize the spatiotemporal and vertical distribution of wildfire emissions and assesses their impact on air quality. TROPOMI (Sentinel-5P) and the recently launched TEMPO geostationary instrument provide hourly high temporal-resolution mapping of trace gases, including nitrogen dioxide (NO2), carbon monoxide (CO), formaldehyde (HCHO), and aerosols. Vertical column densities of NO2 and HCHO reached 40 and 25 Pmolec/cm2, respectively, representing more than a 250% increase compared to background climatological levels in fire-affected zones. TEMPO’s unique high-frequency observations captured strong diurnal variability and secondary photochemical production, offering unprecedented insights into plume evolution on sub-daily scales. ATLID (EarthCARE) lidar profiling identified smoke layers concentrated between 1 and 3 km altitude, with optical properties characteristic of fresh biomass burning and depolarization ratios indicating mixed particle morphology. Vertical profiling capability was critical for distinguishing transported smoke from boundary-layer pollution and assessing radiative impacts. These findings highlight the value of combined passive–active satellite measurements in capturing wildfire plumes and the need for integrated monitoring as wildfire risk grows under climate change. Full article
Show Figures

Figure 1

24 pages, 7327 KB  
Article
Numerical Analysis of Airflow and Temperature Distribution in Surgical Operating Rooms
by Vikas Valsala Krishnankutty, Chandrasekharan Muraleedharan and Arun Palatel
Buildings 2026, 16(1), 171; https://doi.org/10.3390/buildings16010171 - 30 Dec 2025
Viewed by 172
Abstract
This study provides a comprehensive three-dimensional Computational Fluid Dynamics analysis of airflow distribution in a surgical operating room under realistic occupancy and equipment conditions. Using integrated modelling in SolidWorks and a subsequent analysis in ANSYS Fluent, a full-scale Operating Room geometry was simulated [...] Read more.
This study provides a comprehensive three-dimensional Computational Fluid Dynamics analysis of airflow distribution in a surgical operating room under realistic occupancy and equipment conditions. Using integrated modelling in SolidWorks and a subsequent analysis in ANSYS Fluent, a full-scale Operating Room geometry was simulated to assess the effectiveness of a laminar airflow system. The model includes surgical staff mannequins, thermal loads from surgical lights, and medical equipment that commonly disrupt unidirectional flow patterns. A polyhedral mesh with over 2.8 million nodes was employed, and a grid independence study confirmed solution reliability. The realisable k–ε turbulence model with enhanced wall treatment was used to simulate steady-state airflow, thermal stratification, and pressure variation due to door opening. Results highlight significant flow disturbances and recirculation zones caused by the shear zone created by supply air, overhead lights and heat plumes, particularly outside the core laminar air flow zone. The most important area, 10 cm above the surgical site, shows a maximum velocity gradient of 0.09 s−1 while the temperature gradient shows 6.7 K.m−1 and the pressure gradient, 0.0167 Pa.m−1. Streamline analysis reveals potential re-entrainment of contaminated air into the sterile field. Full article
(This article belongs to the Section Building Energy, Physics, Environment, and Systems)
Show Figures

Figure 1

16 pages, 6567 KB  
Article
Influence of the Hainan Plume on the Deep Thermal Structure and Shallow Geothermal Field of Southeastern Coastal China
by Huihui Zhang, Lijuan He and Yaqi Wang
J. Mar. Sci. Eng. 2026, 14(1), 19; https://doi.org/10.3390/jmse14010019 - 22 Dec 2025
Viewed by 264
Abstract
Thermal anomalies within the lithosphere are an important manifestation of mantle plume–lithosphere interaction. Early studies primarily concentrated on the presence of the Hainan plume and its surface responses, with comparatively little research devoted to its hotspot track and lithospheric-scale thermal responses. Based on [...] Read more.
Thermal anomalies within the lithosphere are an important manifestation of mantle plume–lithosphere interaction. Early studies primarily concentrated on the presence of the Hainan plume and its surface responses, with comparatively little research devoted to its hotspot track and lithospheric-scale thermal responses. Based on high-resolution seismic data, we reveal that, although a low-velocity anomaly caused by the plume exists in the asthenospheric mantle beneath Hainan Island (>70 km), no such anomaly is observed in the lithospheric mantle (40~70 km). In comparison, within the same depth slice, a low-velocity body in the lithospheric mantle (40~70 km) is observed beneath the Jiangxi–Fujian boundary, accompanied by high-surface heat flow, and its location is shifted approximately 1300 km to the northeast relative to the low-velocity anomaly in the asthenosphere located under Hainan Island. To explain the spatial offset of the low-velocity anomalies, we constructed a three-dimensional geodynamic model aimed at investigating the lithospheric thermal evolution during interaction between the stationary Hainan plume and the moving South China Plate. The findings indicate that the lithospheric low-velocity zone beneath the Jiangxi-Fujian region may be a consequence of the migration of the lithospheric thermal anomaly caused by the Hainan plume with the South China Plate. Full article
(This article belongs to the Special Issue Advances in Ocean Plate Motion and Seismic Research)
Show Figures

Figure 1

20 pages, 6564 KB  
Article
The Kovdozero and Pados-Tundra Complexes, Kola Peninsula, Russia: Comparable Geochemistry and Age
by Andrei Y. Barkov, Pavel A. Serov, Robert F. Martin, Tamara B. Bayanova and Tatyana V. Kaulina
Minerals 2026, 16(1), 8; https://doi.org/10.3390/min16010008 - 21 Dec 2025
Viewed by 301
Abstract
Geochemical whole-rock variations in the Kovdozero complex in the Lapland–Belomorian Belt (LBB) are compared with those observed in the Pados-Tundra layered complex in the Serpentinite Belt (SB) in the complementary structure in the Fennoscandian Shield. A great variety of coronitic associations exists in [...] Read more.
Geochemical whole-rock variations in the Kovdozero complex in the Lapland–Belomorian Belt (LBB) are compared with those observed in the Pados-Tundra layered complex in the Serpentinite Belt (SB) in the complementary structure in the Fennoscandian Shield. A great variety of coronitic associations exists in the entire LBB–SB system. The Kovdozero complex largely consists of more evolved products of crystallization. Our results of U–Pb dating (zircon and baddeleyite) give the dates of 2514 ± 5 and 2478 ± 6 Ma, leading to the revised age ~2.5 Ga for the Kovdozero complex. It is thus considered to be coeval with Pados-Tundra, Perchatka, and gabbro–anorthosite associations of the Belomorian province in the White Sea region. The variation trends are generally extensive, continuous and close to linear at Kovdozero, which point to crystallization of chonolithic bodies of the complex from a single portion of melt, in separate reservoirs that likely communicated to develop as a whole in the connected system. The extreme degree of differentiation of derivatives of the initial komatiitic magma occurred in the large-scale plume. It led to the development of shallowly emplaced complexes grading from dunitic rocks and associated chromitites with Ru–Os–Ir mineralization at Pados-Tundra (the center) to leucocratic gabbroic rocks at Kovdozero, and likely to gabbro–anorthosite rocks of the Belomorian province (the periphery); these are considered the final products in the megastructure. The εNd(T) values are slightly negative at Kovdozero: −0.43 and −0.60. They imply some degree of crustal contamination of the initial magma. The generalized date of 2.5 Ga likely represents the age of the coronitic complexes of ultrabasic–basic rocks that crystallized from portions of komatiite-derived melts in hypabyssal settings of the LBB–SB megastructure in the eastern Fennoscandian Shield. Full article
Show Figures

Figure 1

16 pages, 5835 KB  
Article
Case Study of Dense Hazardous Gas Dispersion in Large Indoor Spaces: Ventilation Layout Analysis with Modeling
by Jacek Hendiger, Marta Chludzińska and Piotr Ziętek
Sustainability 2025, 17(24), 11367; https://doi.org/10.3390/su172411367 - 18 Dec 2025
Viewed by 240
Abstract
The safety of large indoor workspaces hinges on ventilation layout and airflow organization, particularly for dense contaminants that pool near the floor. This qualitative, full-scale case study evaluates chlorine (Cl2) capture using supporting CFD and visualization experiments in a 20 × [...] Read more.
The safety of large indoor workspaces hinges on ventilation layout and airflow organization, particularly for dense contaminants that pool near the floor. This qualitative, full-scale case study evaluates chlorine (Cl2) capture using supporting CFD and visualization experiments in a 20 × 13 × 9 m hall. Four exhaust arrangements—low, mid, high, and all levels combined—were tested under two modes: a single grille at 12,000 m3/h and three co-located grilles at 4000 m3/h each (total 12,000 m3/h), with and without an auxiliary supply (2000 m3/h). Removal performance was sensitive to exhaust elevation: low-level extraction consistently confined the plume near the floor, while distributing the same total flow across three levels achieved comparable or improved capture; mid/high extraction was less effective. A practical extraction radius of ≈5 m was identified, and the auxiliary supply improved outcomes only when steering the plume toward the low grille. CFD results showed that, regardless of the lower grille’s duty, the inlet concentration at the low grille was about twice that at the middle grille and more than four times that at the upper grille; in the three-grille configuration, the upper grille received negligible contaminant. These full-scale findings provide geometry-first guidance for dense-gas control in high-ceiling, large-volume spaces. Full article
Show Figures

Figure 1

25 pages, 6641 KB  
Article
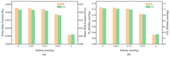
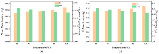
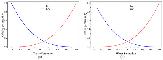
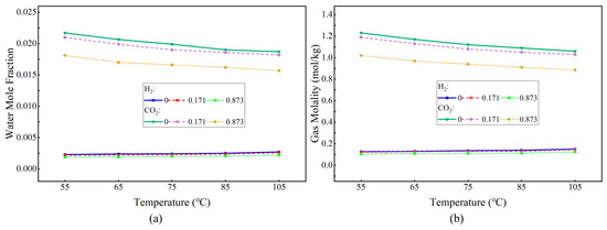
A Multi-Factor Comparative Study on H2 and CO2 Migration Behaviors in Saline Aquifers
by Zihao Shi, Jiayu Qin, Nengxiong Xu, Yan Qin, Bin Zhang, Shuangxi Feng, Liuping Chen and Hao Wang
Appl. Sci. 2025, 15(24), 13107; https://doi.org/10.3390/app152413107 - 12 Dec 2025
Viewed by 329
Abstract
In contrast to CCUS/CCS, research on UHS in saline aquifers remains limited. Comparative analysis of H2 and CO2 migration offers a basis for transferring CCUS/CCS insights to UHS. Thus, to investigate how multiple factors affect H2 and CO2 migration [...] Read more.
In contrast to CCUS/CCS, research on UHS in saline aquifers remains limited. Comparative analysis of H2 and CO2 migration offers a basis for transferring CCUS/CCS insights to UHS. Thus, to investigate how multiple factors affect H2 and CO2 migration in saline aquifers, this paper constructs various 3D models considering porosity, permeability, pressure, temperature, salinity, and capillary pressure. Numerical simulation results show that (1) H2 exhibits strong fingering and wide plume spread, with low solubility and weak residual retention. CO2 shows compact, stable plumes with high solubility and strong residual retention. (2) Low porosity enhances lateral migration and residual retention, especially for CO2. (3) Reduced vertical permeability (Kv) significantly suppresses the upward migration of CO2 and strengthens residual retention, whereas its effect on the H2 migration range is less than 5%. Low horizontal permeability (Kh) mainly restricts lateral spreading and only slightly increases residual retention, but the sensitivity of H2 is lower than that of CO2. (4) Increased pressure promotes the dissolution of H2 and CO2. The dissolved amount of H2 increased by approximately 16.15%, and CO2 by about 7.49%. The temperature rise increases the solubility of H2 and decreases that of CO2. H2 increased by approximately 15.56%, and CO2 decreased by about 13.82%. The increase in salinity inhibited the dissolution of the two gases. H2 and CO2 decreased by approximately 17.5% and 16.6%, respectively. Additionally, high salinity weakens the temperature sensitivity of gas solubility. (5) Ignoring capillary pressure underestimates residual retention. However, it is mainly reflected in an increase in the retention scale and does not change the trend of residual retention controlled by different variables. These insights provide a basis for applying CCUS/CCS experiences to UHS. Full article
Show Figures

Figure 1

27 pages, 7755 KB  
Article
Characterization of a Multi-Diffuser Fine-Bubble Aeration Reactor: Influence of Local Parameters and Hydrodynamics on Oxygen Transfer
by Oscar Prades-Mateu, Guillem Monrós-Andreu, Delia Trifi, Jaume Luis-Gómez, Salvador Torró, Raúl Martínez-Cuenca and Sergio Chiva
Water 2025, 17(24), 3448; https://doi.org/10.3390/w17243448 - 5 Dec 2025
Viewed by 593
Abstract
Fine-bubble aeration is a core process in wastewater treatment plants (WWTPs). However, the physical mechanisms linking bubble plume hydrodynamics to oxygen transfer performance remain insufficiently quantified under configurations representative of full-scale installations. This study presents a local multi-sensor experimental characterization of a multiple [...] Read more.
Fine-bubble aeration is a core process in wastewater treatment plants (WWTPs). However, the physical mechanisms linking bubble plume hydrodynamics to oxygen transfer performance remain insufficiently quantified under configurations representative of full-scale installations. This study presents a local multi-sensor experimental characterization of a multiple bubble plume system using a 4 × 4 array of commercial membrane diffusers in a pilot-scale aeration tank (2 m3), emulating WWTP diffuser density and geometry. Airflow rate was varied to analyze its effects on mixing and oxygen transfer efficiency. The experimental methodology combines three complementary measurement approaches. Oxygen transfer performance is quantified using a dissolved oxygen probe. Liquid-phase velocity fields are then mapped using Acoustic Doppler Velocimetry (ADV). Finally, local two-phase measurements are obtained using dual-tip Conductivity Probe (CP) arrays, which provide bubble size, bubble velocity, void fraction, and Interfacial Area Concentration (IAC). Based on these observations, a zonal hydrodynamic model is proposed to describe plume interaction, wall-driven recirculation, and the formation of a collective plume core at higher airflows. Quantitatively, the results reveal a 29% reduction in Standard Oxygen Transfer Efficiency (SOTE) between 10 and 40 m3/h, driven by a 41% increase in bubble size and an 18% rise in bubble velocity. Bubble chord length also increased with height, by 33%, 19%, and 15% over 0.8 m for 10, 20, and 40 m3/h, respectively. These trends indicate that increasing airflow enhances turbulent mixing but simultaneously enlarges bubbles and accelerates their ascent, thereby reducing residence time and negatively affecting oxygen transfer. Overall, the validated multiphase datasets and mechanistic insights demonstrate the dominant role of diffuser interaction in dense layouts, supporting improved parameterization and experimental benchmarking of fine-bubble aeration systems in WWTPs. Full article
(This article belongs to the Special Issue Hydrodynamics Science Experiments and Simulations, 2nd Edition)
Show Figures

Figure 1

18 pages, 10815 KB  
Article
Kinetic Simulation of Gas-Particle Injection into the Molten Lead
by Victor Hugo Gutiérrez Pérez, Seydy Lizbeth Olvera Vázquez, Alejandro Cruz Ramírez, Ricardo Gerardo Sánchez Alvarado, Jorge Enrique Rivera Salinas, Mario Cesar Ordoñez Gutiérrez and Mercedes Paulina Chávez Diaz
Metals 2025, 15(12), 1334; https://doi.org/10.3390/met15121334 - 3 Dec 2025
Viewed by 343
Abstract
Powder addition onto a molten-lead surface followed by stirring is widely used for desilvering during lead bullion refining operations. We model submerged zinc particle injection by coupling (i) a transient particle–metal reaction following Ohguchi with a time-dependent reaction efficiency E, (ii) a Stefan-type [...] Read more.
Powder addition onto a molten-lead surface followed by stirring is widely used for desilvering during lead bullion refining operations. We model submerged zinc particle injection by coupling (i) a transient particle–metal reaction following Ohguchi with a time-dependent reaction efficiency E, (ii) a Stefan-type estimate of the zinc melting time Tf, and (iii) hydrodynamic descriptors of residence (τres) and mixing (τmix) times. The model is validated against experiments under a benchmark condition (gas velocity U = 3.32 m/s, 70% submergence), achieving a mean absolute percentage error of 1.13% for the experimental desilvering curve. A parametric study over lance submergence (30–90% of bath depth), injection velocity (3.32–9.79 m/s), and geometric scalings of lance and kettle identifies conditions where the hydrodynamic residence time τres approaches the Stefan melting time, maximizing liquid-Zn contact with molten Pb. Specifically, the proposed optimum balances the competing effects of plume buoyancy at high velocities—which tends to reduce residence time—against the deeper injection depth, ensuring that particles remain submerged long enough to fully melt and react. Within 16 simulated scenarios, the pair “90% submergence + U = 9.79 m/s” provides the best multi-criteria performance (desilvering fraction, E, and residence time) under realistic constraints. A parametric sensitivity analysis ranks injection velocity and submergence as the dominant levers, with geometry playing a secondary role over the tested ranges. The coupled hydrodynamic–kinetic framework provides quantitative guidance for optimizing industrial desilvering by particle injection and is extensible to other powder-injection refining operations. Full article
(This article belongs to the Special Issue Metal Extraction and Smelting Technology)
Show Figures

Figure 1

21 pages, 29248 KB  
Article
Role of Lee Wave Turbulence in the Dispersion of Sediment Plumes
by Alban Souche, Ebbe H. Hartz, Lars H. Rüpke and Daniel W. Schmid
Oceans 2025, 6(4), 77; https://doi.org/10.3390/oceans6040077 - 12 Nov 2025
Viewed by 559
Abstract
Sediment plumes threatening benthic ecosystems are one of the environmental hazards associated with seafloor interventions such as bottom trawling, cabling, dredging, and marine mining operations. This study focuses on sediment plume release from hypothetical future deep-sea mining activities, emphasizing its interaction with turbulent [...] Read more.
Sediment plumes threatening benthic ecosystems are one of the environmental hazards associated with seafloor interventions such as bottom trawling, cabling, dredging, and marine mining operations. This study focuses on sediment plume release from hypothetical future deep-sea mining activities, emphasizing its interaction with turbulent ocean currents in regions characterized by complex seafloor topography. In such environments, turbulent lee waves may significantly enhance the scattering of released sediments, pointing to the clear need for appropriate impact assessment frameworks. Global-scale models are limited in their ability to resolve sufficiently high Reynolds numbers to accurately represent turbulence generated by seafloor topography. To overcome these limitations and effectively assess lee wave dynamics, models must incorporate the full physics of turbulence without simplifying the Navier–Stokes equations and must operate with significantly finer spatial discretization while maintaining a domain large enough to capture the full topographic signal. Considering a seamount in the Lofoten Basin of the Norwegian Sea as an example, we present a novel numerical analysis that explores the interplay between lee wave turbulence and sediment plume dispersion using a high-resolution Large Eddy Simulation (LES) framework. We show that the turbulence occurs within semi-horizontal channels that emerge beyond the topographic highs and extend into sheet-like tails close to the seafloor. In scenarios simulating sediment release from various sites on the seamount, our model predicts distinct behavior patterns for different particle sizes. Particles with larger settling velocities tend to deposit onto the seafloor within 50–200 m of release sites. Conversely, particles with lower settling velocities are more susceptible to turbulent transport, potentially traveling greater distances while experiencing faster dilution. Based on our scenarios, we estimate that the plume concentration may dilute below 1 ppm at about 2 km distance from the release site. Although our analysis shows that mixing with ambient seawater results in rapid dilution to low concentrations, it appears crucial to account for the effects of topographic lee wave turbulence in impact assessments related to man-made sediment plumes. Our high-resolution numerical simulations enable the identification of sediment particle size groups that are most likely affected by turbulence, providing valuable insights for developing targeted mitigation strategies. Full article
Show Figures

Figure 1

19 pages, 3621 KB  
Article
CFD Analysis of Natural Convection Performance of a MMRTG Model Under Martian Atmospheric Conditions
by Rafael Bardera-Mora, Ángel Rodríguez-Sevillano, Juan Carlos Matías-García, Estela Barroso-Barderas and Jaime Fernández-Antón
Appl. Sci. 2025, 15(21), 11825; https://doi.org/10.3390/app152111825 - 6 Nov 2025
Viewed by 499
Abstract
Understanding the thermal behaviour of radioisotope generators under Martian conditions is essential for the safe and efficient operation of planetary exploration rovers. This study investigates the heat transfer and flow mechanisms around a simplified full-scale model of the Multi-Mission Radioisotope Thermoelectric Generator (MMRTG) [...] Read more.
Understanding the thermal behaviour of radioisotope generators under Martian conditions is essential for the safe and efficient operation of planetary exploration rovers. This study investigates the heat transfer and flow mechanisms around a simplified full-scale model of the Multi-Mission Radioisotope Thermoelectric Generator (MMRTG) by means of Computational Fluid Dynamics (CFD) simulations performed with ANSYS Fluent 2023 R1. The model consists of a central cylindrical core and eight radial fins, operating under pure CO2 at a pressure of approximately 600 Pa, representative of the Martian atmosphere. Four cases were simulated, varying both the reactor surface temperature (373–453 K) and the ambient temperature (248 to 173 K) to reproduce typical diurnal and seasonal scenarios on Mars. The results show the formation of a buoyancy-driven plume rising above the generator, with peak velocities between 1 and 3.5 m/s depending on the thermal load. Temperature fields reveal that the fins generate multiple localized hot spots that merge into a single vertical plume at higher elevations. The calculated dimensionless numbers (Grashof ≈ 105, Rayleigh ≈ 105, Reynolds ≈ 102, Prandtl ≈ 0.7, Nusselt ≈ 4) satisfy the expected range for natural convection in low-density CO2 atmospheres, confirming the laminar regime. These results contribute to a better understanding of heat dissipation processes in Martian environments and may guide future design improvements of thermoelectric generators and passive thermal management systems for space missions. Full article
Show Figures

Figure 1

16 pages, 10175 KB  
Article
Upwellings and Mantle Ponding Zones in the Lower Mantle Transition Zone (660–1000 km)
by Jean-Paul Montagner, Barbara Romanowicz, Mathurin Wamba and Gael Burgos
Geosciences 2025, 15(11), 413; https://doi.org/10.3390/geosciences15110413 - 30 Oct 2025
Viewed by 876
Abstract
Convective instabilities at various boundary layers in the earth’s mantle—including the core–mantle boundary, mantle transition zone and lithosphere-asthenosphere boundary— result in upwellings (mantle plumes) and downwellings (subducting slabs). While hotspot volcanism is traditionally linked to mantle plumes, their structure, origins, evolution, and death [...] Read more.
Convective instabilities at various boundary layers in the earth’s mantle—including the core–mantle boundary, mantle transition zone and lithosphere-asthenosphere boundary— result in upwellings (mantle plumes) and downwellings (subducting slabs). While hotspot volcanism is traditionally linked to mantle plumes, their structure, origins, evolution, and death remain subjects of ongoing debate. Recent progress in seismic tomography has revealed a complex plumbing system connecting the core–mantle boundary and the surface. In particular, recent seismic imaging results suggest the presence of large-scale ponding zones between 660 km and ∼1000 km, associated with several mantle plumes around the globe. The broad upwellings originating from the CMB spread laterally beneath the 660 km seismic discontinuity, forming extensive ponding zones several thousand kilometers wide and extending up from an approximately 1000 km depth. Similar ponding zones are also observed for downwellings, with stagnant subducting slabs, within the 660–1000 km depth range. Here, we review evidence for wide ponding zones characterized by low seismic velocities and anomalous radial and azimuthal anisotropies in light of recent high-resolution regional studies below La Réunion Island in the Indian Ocean and below St Helena/Ascension in the southern Atlantic Ocean. We review and discuss possible interpretations of these structures, as well as possible mineralogical, geodynamic implications and outlook for further investigations aiming to improve our understanding of the mantle plumbing system. Full article
(This article belongs to the Special Issue Seismology of the Dynamic Deep Earth)
Show Figures

Figure 1

13 pages, 1426 KB  
Article
Bayesian Neural Networks for Quantifying Uncertainty in Solute Transport Through Saturated Porous Media
by Seyed Kourosh Mahjour
Processes 2025, 13(10), 3324; https://doi.org/10.3390/pr13103324 - 17 Oct 2025
Viewed by 1039
Abstract
Uncertainty quantification (UQ) is critical for predicting solute transport in heterogeneous porous media, with applications in groundwater management and contaminant remediation. Traditional UQ methods, such as Monte Carlo (MC) simulations, are computationally expensive and impractical for real-time decision-making. This study introduces a novel [...] Read more.
Uncertainty quantification (UQ) is critical for predicting solute transport in heterogeneous porous media, with applications in groundwater management and contaminant remediation. Traditional UQ methods, such as Monte Carlo (MC) simulations, are computationally expensive and impractical for real-time decision-making. This study introduces a novel machine learning framework to address these limitations. We developed a surrogate model for a 2D advection-dispersion solute transport model using a Bayesian Neural Network (BNN). The BNN was trained on a synthetic dataset generated by simulating solute transport across various stochastic permeability and dispersivity fields. Uncertainty was quantified through variational inference, capturing both data-related (aleatoric) and model-related (epistemic) uncertainties. We evaluated the framework’s performance against traditional MC simulations. Our BNN model accurately predicts solute concentration distributions with a mean squared error (MSE) of 9.8 × 105, significantly outperforming other machine learning surrogates. The framework successfully quantifies uncertainty, providing calibrated confidence intervals that align closely with the spread of the MC results. The proposed approach achieved a 98.5% reduction in computational time compared to a standard Monte Carlo simulation with 1000 realizations, representing a 65-fold speed-up. A sensitivity analysis revealed that permeability field heterogeneity is the dominant source of uncertainty in plume migration. The developed machine learning framework offers a computationally efficient and robust alternative for quantifying uncertainty in solute transport models. By accurately predicting solute concentrations and their associated uncertainties, our approach can inform risk-based decision-making in environmental and hydrogeological applications. The method shows promise for scaling to more complex, three-dimensional systems. Full article
(This article belongs to the Section Chemical Processes and Systems)
Show Figures

Figure 1

23 pages, 6525 KB  
Article
Assessing the Environmental Impact of Deep-Sea Mining Plumes: A Study on the Influence of Particle Size on Dispersion and Settlement Using CFD and Experiments
by Xueming Wang, Zekun Chen and Jianxin Xia
J. Mar. Sci. Eng. 2025, 13(10), 1987; https://doi.org/10.3390/jmse13101987 - 16 Oct 2025
Cited by 1 | Viewed by 1240
Abstract
It is widely recognized that benthic sediment plumes generated by deep-sea mining may pose significant potential risks to ecosystems, yet their dispersion behavior remains difficult to predict with accuracy. In this study, we combined laboratory experiments with three-dimensional numerical simulations using the Environmental [...] Read more.
It is widely recognized that benthic sediment plumes generated by deep-sea mining may pose significant potential risks to ecosystems, yet their dispersion behavior remains difficult to predict with accuracy. In this study, we combined laboratory experiments with three-dimensional numerical simulations using the Environmental Fluid Dynamics Code (EFDC) to investigate the dispersion of sediment plumes composed of particles of different sizes. Laboratory experiments were conducted with deep-sea clay samples from the western Pacific under varying conditions for plume dispersion. Experimental data were used to capture horizontal diffusion and vertical entrainment through a Gaussian plume model, and the results served for parameter calibration in large-scale plume simulations. The results show that ambient current velocity and discharge height are the primary factors regulating plume dispersion distance, particularly for fine particles, while discharge rate and sediment concentration mainly control plume duration and the extent of dispersion in the horizontal direction. Although the duration of a single-source release is short, continuous mining activities may sustain broad dispersion and result in thicker sediment deposits, thereby intensifying ecological risks. This study provides the first comprehensive numerical assessment of deep-sea mining plumes across a range of particle sizes with clay from the western Pacific. The findings establish a mechanistic framework for predicting plume behavior under different operational scenarios and contribute to defining threshold values for discharge-induced plumes based on scientific evidence. By integrating experimental, theoretical, and numerical approaches, this work offers quantitative thresholds that can inform environmentally responsible strategies for deep-sea resource exploitation. Full article
Show Figures

Figure 1

28 pages, 17187 KB  
Article
Numerical Validation of a Multi-Dimensional Similarity Law for Scaled STOVL Aircraft Models
by Shengguan Xu, Mingyu Li, Xiance Wang, Yanting Song, Bingbing Tang, Lianhe Zhang, Shuai Yin and Jianfeng Tan
Aerospace 2025, 12(10), 908; https://doi.org/10.3390/aerospace12100908 - 9 Oct 2025
Viewed by 556
Abstract
The complex jet-ground interactions of Short Take-off and Vertical Landing (STOVL) aircraft are critical to flight safety and performance, yet studying them with traditional full-scale wind tunnel tests is prohibitively expensive and time-consuming, hindering design optimization. This study addresses this challenge by developing [...] Read more.
The complex jet-ground interactions of Short Take-off and Vertical Landing (STOVL) aircraft are critical to flight safety and performance, yet studying them with traditional full-scale wind tunnel tests is prohibitively expensive and time-consuming, hindering design optimization. This study addresses this challenge by developing and numerically verifying a “pressure ratio–momentum–geometry” multi-dimensional similarity framework, enabling accurate and efficient scaled-model analysis. Systematic simulations of an F-35B-like configuration demonstrate the framework’s high fidelity. For a representative curved nozzle configuration (e.g., the F-35B three-bearing swivel duct nozzle, 3BSD), across scale factors ranging from 1:1 to 1:15, the plume deflection angle remains stable at 12° ± 1°. Concurrently, axial force (F) and mass flow rate (Q) strictly follow the square scaling relationship (F1/n2, Q1/n2), with deviations from theory remaining below 0.15% and 0.58%, respectively, even at the 1:15 scale, confirming high-fidelity momentum similarity, particularly in the near-field flow direction. Second, a 1:13.25 scale aircraft model, constructed using Froude similarity principles, exhibits critical parameter agreement (intake total pressure and total temperature) of the prototype-including vertical axial force, lift fan mass flow, and intake total temperature—all less than 1.5%, while the critical intake total pressure error is only 2.2%. Fountain flow structures and ground temperature distributions show high consistency with the full-scale aircraft, validating the reliability of the proposed “pressure ratio–momentum–geometry” multi-dimensional similarity criterion. The framework developed herein has the potential to reduce wind tunnel testing costs and shorten development cycles, offering an efficient experimental strategy for STOVL aircraft research and development. Full article
(This article belongs to the Section Air Traffic and Transportation)
Show Figures

Figure 1

Back to TopTop