Numerical Validation of a Multi-Dimensional Similarity Law for Scaled STOVL Aircraft Models
Abstract
1. Introduction
- (1)
- Curved Nozzle Scaling CriterionPlume deflection characteristics across 1:5–1:15-scale ratios were analyzed, focusing on concave-wall offset angles and shear layer thickness evolution. A new similarity criterion was developed using initial inclination angles and momentum flux ratios, overcoming traditional methods’ limitations in handling three-dimensional complex geometries.
- (2)
- Full-Aircraft Dynamic Similarity ValidationQuantitative evaluation of a 1:13.25-scale aircraft model demonstrated key parameter consistency with the full-scale configuration—including fountain flow morphology and intake Distortion Index (DI). This phase elucidated the dynamic similarity laws governing multi-physics coupled flow fields [30].
2. Computational Model and Setup
2.1. Scaled Curved Nozzles
2.2. Scaled Full-Configuration
3. Results and Discussion
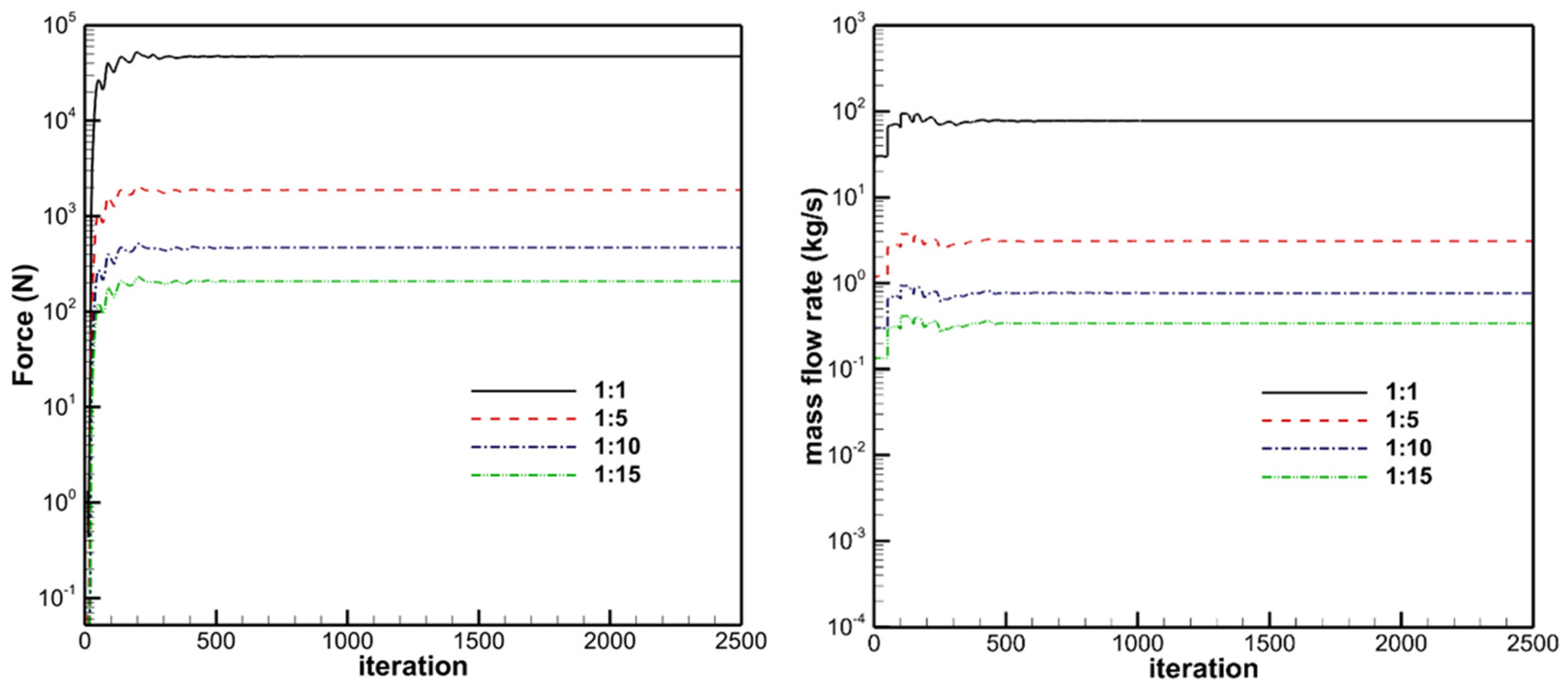
3.1. Effects of Different Scaled Curved Nozzles on Plume Characteristics
3.2. Effects of Geometric Scaling Ratios on Full-Configuration Flow Field Characteristics
- Total pressure at intake duct inlet;
- Total pressure at lift fan inlet;
- Mass flow rate at lift fan outlet;
- Mass flow rate at nozzle inlet;
- Axial force.
- Mass flow rates and intake port total temperature exhibit near-perfect agreement;
- Axial force prediction error remains within 1.47%;
- Total pressure error at intake port outlet is 2.2%, below the 5% tolerance threshold for STOVL aircraft design;
- Lift fan total inlet pressure shows essential equivalence.
- Spatial location of high-pressure regions;
- Thermal diffusion extents;
- Fountain flow position and structure.
- Spatial distribution of low-temperature/low-pressure/high-speed regions;
- Morphology and magnitude of characteristic zones;
- Parameter magnitudes throughout the domain.
- High-pressure regions display greater spatial extent in the 1:1 configuration;
- Low-pressure zones exhibit marginally larger coverage at full scale;
- Temperature and velocity distributions follow analogous scaling trends. Relative errors of pressure are kept at a very small level, less than 2%.
- Spatial extent of heating zones;
- Magnitude profiles of surface heat flux;
- Temperature distribution patterns.
- Thermal influence extents;
- Temperature extremal values;
- Distribution morphology.
- Key aerodynamic parameters (vertical axial force error: 1.47%; intake total pressure error: 2.2%);
- Flow structure characteristics (fountain topology, ground thermal footprints) [46].
4. Conclusions
- (1)
- A scaling criterion for complex curved nozzles was established, providing a foundation for the full-configuration similarity study. For F-35B-class 3-bearing swivel nozzles, this work confirms consistent jet-core deflection characteristics (concave-side offset: 12° ± 1°) across 1:1 to 1:15 scaling ratios. Axial thrust (F) and mass flow rate (Q) adhere to geometric scaling laws (F ∝ 1/n2; Q ∝ 1/n2) [47]. This overcomes traditional similarity limitations for complex curvature effects, validating the momentum-flux-based scaling framework for high-fidelity nozzle component testing.
- (2)
- The effectiveness and high fidelity of the full-aircraft dynamic similarity framework were systematically validated. Numerical simulations confirm that the scaled model accurately reproduces the critical dynamic flow characteristics of the prototype aircraft, with minimal errors in key parameters: total pressure at the intake outlet (<2.2%), total temperature (<0.2%), axial force (<1.5%), and lift fan mass flow rate (<0.2%). These values significantly outperform standard engineering design tolerances (e.g., the typical 5% tolerance for intake total pressure). Furthermore, the scaled model accurately reproduces- The formation, propagation, and thermal load distribution of fountain flow upon ground/wall impact;
- Fuselage thermal load profiles;
- Flow parameter distributions at intake duct inlet/outlet sections;
- Temperature field structures in the surrounding fuselage space (front/rear/left/right orientations).
 
Author Contributions
Funding
Data Availability Statement
Conflicts of Interest
References
- Yang, X.; Collins, K.B.; Mello, A.W. Mission-Specific Preliminary Design and Weight Optimization for High-Speed Vertical Takeoff and Landing (HSVTOL) Aircraft. In Proceedings of the AIAA SCITECH 2024 Forum, Orlando, FL, USA, 8–12 January 2024. [Google Scholar]
- McCarthy, K. The JSF STOVL Performance Process from Small-Scale Database to Flight Test Demonstration. In Proceedings of the 2002 Biennial International Powered Lift Conference and Exhibit, Williamsburg, VA, USA, 5–7 November 2002. [Google Scholar]
- Vanoverbeke, T.; Holdeman, J. A numerical study of the hot gas environment around a STOVL aircraftin ground proximity. In Proceedings of the 24th Joint Propulsion Conference, Boston, MA, USA, 11–13 July 1988. [Google Scholar]
- Richardson, G.A.; Dawes, W.N.; Savill, A.M. An unsteady, moving mesh CFD simulation for Harrier hot-gas ingestion control analysis. Aeronaut. J. 2007, 111, 133–144. [Google Scholar] [CrossRef]
- Zhu, H.; He, X.; Zhang, Y.; Cheng, D.; Wang, Z.; Huang, Y.; Tan, H. Investigation of the Internal Flow Characteristics of a Tiltrotor Aircraft Engine Inlet in a Gust Environment. Aerospace 2024, 11, 342. [Google Scholar] [CrossRef]
- Fricker, D.M.; Holdeman, J.D.; Vanka, S.P. Calculations of hot gas ingestion for a STOVL aircraft model. J. Aircr. 1994, 31, 236–242. [Google Scholar] [CrossRef]
- Parsons, D.G.; Levin, D.E.; Panteny, D.J.; Wilson, P.N.; Rask, M.R.; Morris, B.L. F-35 STOVL Performance Requirements Verification. In The F-35 Lightning II: From Concept to Cockpit; American Institute of Aeronautics and Astronautics: Reston, VA, USA, 2019; pp. 641–680. [Google Scholar]
- Kaemming, T.; Smith, K. Techniques to reduce exhaust gas ingestion for vectored-thrust V/STOVL aircraft. In Proceedings of the Aircraft Design Systems and Operations Meeting, San Diego, CA, USA, 31 October–2 November 1984. [Google Scholar]
- Saddington, A.; Cabrita, P.; Knowles, K. Unsteady Features of Twin-jet STOVL Ground Effects. In Proceedings of the 2002 Biennial International Powered Lift Conference and Exhibit, Williamsburg, VA, USA, 5–7 November 2002. [Google Scholar]
- Padureanu, I.-L.; Pepelea, D.; Stoican, G.; Marini, M.; Viola, N.; Clay, M. Numerical Investigation of Model Support, Closed Engine Nacelle and Scale Effect on a Wind Tunnel Test Model. Aerospace 2024, 11, 464. [Google Scholar] [CrossRef]
- Tai, S.; Wang, L.; Wang, Y.; Lu, S.; Bu, C.; Yue, T. Identification of Lateral-Directional Aerodynamic Parameters for Aircraft Based on a Wind Tunnel Virtual Flight Test. Aerospace 2023, 10, 350. [Google Scholar] [CrossRef]
- Denham, C.L.; Patil, M.; Roy, C.J.; Alexandrov, N. Framework for Estimating Performance and Associated Uncertainty for Modified Aircraft Configurations. Aerospace 2022, 9, 490. [Google Scholar] [CrossRef]
- Ohlandt, C.; Light, T.; Osburg, J.; Kallimani, J. Comparison of Wind-Tunnel Pricing Models for Government Facilities. In Proceedings of the 50th AIAA Aerospace Sciences Meeting Including the New Horizons Forum and Aerospace Exposition, Nashville, TN, USA, 9–12 January 2012. [Google Scholar]
- Wurth, S.P. F-35 Propulsion System Integration, Development & Verification. In Proceedings of the 2018 Aviation Technology, Integration, and Operations Conference, Atlanta, GA, USA, 25–29 June 2018. [Google Scholar]
- Jiao, Y.; Li, W.; Ji, Y.; Hou, P.; Yuan, Y.; Xue, L.; Cheng, K.; Wang, C. Shear Stress Distribution of the Separation Region on a Plate in Supersonic Jet Flow. Aerospace 2025, 12, 179. [Google Scholar] [CrossRef]
- Yuan, H.; Guo, J.; Yu, W.; Zhao, L. Wind Tunnel Process Mach Number Prediction Based on Modal, Stage, and Intra-Stages Three-Layer Partitioning. Aerospace 2025, 12, 439. [Google Scholar] [CrossRef]
- Zhao, L.; Wang, C. Physical Information-Based Mach Number Prediction and Model Migration in Continuous Wind Tunnels. Aerospace 2025, 12, 701. [Google Scholar] [CrossRef]
- Meyer, B.; Re, R.; Yetter, J. Scale model test results of several STOVL ventral nozzle concepts. In Proceedings of the 27th Joint Propulsion Conference, Sacramento, CA, USA, 24–26 June 1991. [Google Scholar]
- Zhang, X.; Shan, Y.; Zhang, J. Influence of Vertical/Spanwise Offsets on Aerodynamic Performance of Double Serpentine Nozzles. Aerospace 2025, 12, 171. [Google Scholar] [CrossRef]
- Liu, B.; Gao, Y.; Gao, L.; Zhang, J.; Zhu, Y.; Zang, X.; Zhao, J. Design and Experimental Study of a Turbojet VTOL Aircraft with One-Dimensional Thrust Vectoring Nozzles. Aerospace 2022, 9, 678. [Google Scholar] [CrossRef]
- Curtis, P.; Kuhn, R.E.; Margason, R.J. Hot-Gas Ingestion. In Jet Induced Effects; American Institute of Aeronautics and Astronautics: Reston, VA, USA, 2007; pp. 115–142. [Google Scholar]
- Ockfen, A.E.; Matveev, K.I. Numerical Modeling of a Planar Unconfined Oblique Jet Moving Along the Ground Surface. Eng. Appl. Comput. Fluid Mech. 2009, 3, 242–257. [Google Scholar] [CrossRef]
- Chaderjian, N.; Ahmad, J.; Pandya, S.; Murman, S. Progress Toward Generation of a Navier-Stokes Database for a Harrier in Ground Effect. In Proceedings of the 2002 Biennial International Powered Lift Conference and Exhibit, Williamsburg, VA, USA, 5–7 November 2002. [Google Scholar]
- Catucci, M.; Kramer, M.; Heller, V.; Briganti, R. Analytical and numerical study of novel scaling laws for air-water flows. J. Hydraul. Res. 2023, 61, 145–161. [Google Scholar] [CrossRef]
- Bartels, R.E. Adaptive Mesh Refinement for the Integrated Adaptive Wing Technology Maturation Aeroelastic Wind-Tunnel Model. In Proceedings of the AIAA AVIATION 2023 Forum, San Diego, CA, USA, 12–16 June 2023. [Google Scholar]
- Mange, R.; Lockley, G.; Palmer, P. An Overview of the Lockheed Martin JSF PWSC STOVL Aerodynamic Improvement Program. In Proceedings of the 2002 Biennial International Powered Lift Conference and Exhibit, Williamsburg, VA, USA, 5–7 November 2002. [Google Scholar]
- Shah, K.; Garaud, P.; Chini, G.P.; Cope, L.; Caulfield, C.P. Numerical validation of scaling laws for stratified turbulence. J. Fluid Mech. 2024, 911, R1. [Google Scholar] [CrossRef]
- Chuang, S.-H.; Nieh, T.-J. Numerical simulation and analysis of three-dimensional turbulent impinging square twin-jet flow field with no-crossflow. Int. J. Numer. Methods Fluids 2000, 33, 475–498. [Google Scholar] [CrossRef]
- Ma, T.; Wang, X.; Fu, J.; Hao, S.; Xue, P. Three-Dimensional Flight Envelope for V/STOL Aircraft with Multiple Flight Modes. Aerospace 2022, 9, 691. [Google Scholar] [CrossRef]
- Kumar, M.; Kumar, A.; Kumar, R.; Shankar, V. Aerodynamic Performance and Numerical Validation Study of a Scaled-Down and Full-Scale Wind Turbine Models. Energies 2024, 17, 5449. [Google Scholar] [CrossRef]
- Karman, S.; Wooden, P. CFD Modeling of F-35 Using Hybrid Unstructured Meshes. In Proceedings of the 19th AIAA Computational Fluid Dynamics, San Antonio, TX, USA, 22–25 June 2009. [Google Scholar]
- Ashley, A.S.; Wooden, P.; Smith, B. Validation and Performance of the Lockheed Martin Falcon CFD Solver on the F-35. In Proceedings of the AIAA Aviation Forum and Ascend 2024, Las Vegas, NV, USA, 29 July–2 August 2024. [Google Scholar]
- Nicoletti, R.; Margani, F.; Armani, L.; Ingenito, A.; Fujio, C.; Ogawa, H.; Han, S.; Lee, B.J. Numerical Investigation of a Supersonic Wind Tunnel Diffuser Optimization. Aerospace 2025, 12, 366. [Google Scholar] [CrossRef]
- Wang, B.; Wang, Q. Numerical Optimization of Electromagnetic Performance and Aerodynamic Performance for Subsonic S-Duct Intake. Aerospace 2022, 9, 665. [Google Scholar] [CrossRef]
- Jamei, S.; Maimun, A.; Azwadi, N. Ground boundary layers effect on aerodynamic coefficients of a compound wing with respect to design parameters. Ocean Eng. 2018, 164, 228–237. [Google Scholar] [CrossRef]
- Sivrioglu, S. Modelling and Simulation of Vertical Landing Dynamics of an Aircraft Based on a Model System. In New Achievements in Unmanned Systems; Sustainable Aviation; Springer: Cham, Switzerland, 2023; pp. 67–74. [Google Scholar]
- Holdhusen, J.; Lamb, O. Scale model studies of exhaust nozzle performance. In Proceedings of the 2nd Propulsion Joint Specialist Conference, Colorado Springs, CO, USA, 13–17 June 1966. [Google Scholar]
- Behrouzi, P.; McGuirk, J. Computational fluid dynamics prediction of intake ingestion relevant to short take-off and vertical landing aircraft. Proc. Inst. Mech. Eng. Part G J. Aerosp. Eng. 1999, 213, 131–142. [Google Scholar] [CrossRef]
- Wooden, P.; Smith, B.; Azevedo, J. CFD Predictions of Wing Pressure Distributions on the F-35 at Angles-of-Attack for Transonic Maneuvers. In Proceedings of the 25th AIAA Applied Aerodynamics Conference, Miami, FL, USA, 25–28 June 2007. [Google Scholar]
- Wick, A.; Hooker, J.; Barberie, F.; Zeune, C. Powered Lift CFD Predictions of a Transonic Cruising STOL Military Transport. In Proceedings of the 51st AIAA Aerospace Sciences Meeting Including the New Horizons Forum and Aerospace Exposition, Grapevine, TX, USA, 7–10 January 2013. [Google Scholar]
- Flugstad, T.; Romine, B.; Whittaker, R. High Mach exhaust system concept scale model test results. In Proceedings of the 26th Joint Propulsion Conference, Orlando, FL, USA, 16–18 July 1990. [Google Scholar]
- Favaro, L.; Rylko, A.; Quaranta, G. Building Credible VTOL Flight Models for Handling Quality Certification by Simulation. Aerospace 2025, 12, 559. [Google Scholar] [CrossRef]
- Bravo-Mosquera, P.D.; Cerón-Muñoz, H.D.; Catalano, F.M. Potential Propulsive and Aerodynamic Benefits of a New Aircraft Concept: A Low-Speed Experimental Study. Aerospace 2023, 10, 651. [Google Scholar] [CrossRef]
- Moore, M.D.; Hirschberg, M.J. Sub-Scale eVSTOL Aviation Prize to Foster Electric Concepts and Technologies. In Proceedings of the 12th AIAA Aviation Technology, Integration, and Operations (ATIO) Conference and 14th AIAA/ISSMO Multidisciplinary Analysis and Optimization Conference, Indianapolis, IN, USA, 17–19 September 2012. [Google Scholar]
- Sylvester, T.; Sylvester, T.; Brown, R.; O’Connor, C. F-35B Lift Fan Inlet Development. In Proceedings of the AIAA Centennial of Naval Aviation Forum “100 Years of Achievement and Progress”, Virginia Beach, VA, USA, 21–22 September 2011. [Google Scholar]
- Kuhn, R.; Hange, C.; Wardwell, D. The hot gas environment of jet STOVL aircraft hovering in ground effect. In Proceedings of the International Powered Lift Conference, Santa Clara, CA, USA, 1–3 December 1993. [Google Scholar]
- Elliott, D.; Simmons, J. Impact of engine technology on supersonic STOVL. In Proceedings of the 23rd Joint Propulsion Conference, San Diego, CA, USA, 29 June–2 July 1987. [Google Scholar]





























| Property | Value | 
|---|---|
| Density (kg/m3) | 1.184 | 
| Specific heat at constant pressure (kJ/kg·K) | 1.005 | 
| Dynamic viscosity (Pa·s) | 1.85 × 10−5 | 
| Thermal conductivity (W/m·K) | 0.026 | 
| Model | Ground Height (m) | Main Engine Pressure Ratio | Main Transmission Temperature (K) | Lift Fan Pressure Ratio | Lift Fan Flow Rate (kg/s) | Lift Fan Nozzle Temperature (K) | Inlet Flow Rate (kg/s) | 
|---|---|---|---|---|---|---|---|
| 1:1 | 1 | 2.7 | 800 | 1.5 | 200 | 330 | 125 | 
| 1:13.25 | 1 | 2.7 | 800 | 1.5 | 1.1392 | 330 | 0.711997152 | 
| Scale | Axial Thrust (KN) | Inlet Mass Flow Rate (kg/s) | 1:1 Model and Its Ratio | |
|---|---|---|---|---|
| Axial Thrust | Mass Flow | |||
| 1:1 | 47.061 | 77.4414 | 1.00 | 1.00 | 
| 1:5 | 1.882 | 3.0942 | 25.00 | 25.03 | 
| 1:10 | 0.470 | 0.7729 | 100.13 | 100.20 | 
| 1:15 | 0.209 | 0.3433 | 225.15 | 225.58 | 
| Model | Vertical Axial Force (KN) | Nozzle Inlet Mass Flow Rate (kg/s) | Lift Fan Outlet Mass Flow Rate (kg/s) | Inlet Outlet Total Pressure (atm) | Inlet Outlet Total Temperature (K) | Lift Fan Inlet Total Pressure (atm) | 
|---|---|---|---|---|---|---|
| 1:1 | 31.94 | 77.44 | 133.59 | 0.91 | 300.45 | 0.77 | 
| 1:13.25 | 32.41 | 77.28 | 133.34 | 0.89 | 300.08 | 0.77 | 
| Error | 1.47% | 0.21% | 0.19% | 2.20% | 0.12% | 0.00% | 
| Disclaimer/Publisher’s Note: The statements, opinions and data contained in all publications are solely those of the individual author(s) and contributor(s) and not of MDPI and/or the editor(s). MDPI and/or the editor(s) disclaim responsibility for any injury to people or property resulting from any ideas, methods, instructions or products referred to in the content. | 
© 2025 by the authors. Licensee MDPI, Basel, Switzerland. This article is an open access article distributed under the terms and conditions of the Creative Commons Attribution (CC BY) license (https://creativecommons.org/licenses/by/4.0/).
Share and Cite
Xu, S.; Li, M.; Wang, X.; Song, Y.; Tang, B.; Zhang, L.; Yin, S.; Tan, J. Numerical Validation of a Multi-Dimensional Similarity Law for Scaled STOVL Aircraft Models. Aerospace 2025, 12, 908. https://doi.org/10.3390/aerospace12100908
Xu S, Li M, Wang X, Song Y, Tang B, Zhang L, Yin S, Tan J. Numerical Validation of a Multi-Dimensional Similarity Law for Scaled STOVL Aircraft Models. Aerospace. 2025; 12(10):908. https://doi.org/10.3390/aerospace12100908
Chicago/Turabian StyleXu, Shengguan, Mingyu Li, Xiance Wang, Yanting Song, Bingbing Tang, Lianhe Zhang, Shuai Yin, and Jianfeng Tan. 2025. "Numerical Validation of a Multi-Dimensional Similarity Law for Scaled STOVL Aircraft Models" Aerospace 12, no. 10: 908. https://doi.org/10.3390/aerospace12100908
APA StyleXu, S., Li, M., Wang, X., Song, Y., Tang, B., Zhang, L., Yin, S., & Tan, J. (2025). Numerical Validation of a Multi-Dimensional Similarity Law for Scaled STOVL Aircraft Models. Aerospace, 12(10), 908. https://doi.org/10.3390/aerospace12100908
 
        


 
       