Sign in to use this feature.

Years

Between: -

Subjects

remove_circle_outline
remove_circle_outline
remove_circle_outline
remove_circle_outline
remove_circle_outline
remove_circle_outline
remove_circle_outline
remove_circle_outline
remove_circle_outline

Journals

Article Types

Countries / Regions

remove_circle_outline
remove_circle_outline
remove_circle_outline
remove_circle_outline

Search Results (227)

Search Parameters:
Keywords = plant and row spacing

Order results
Result details
Results per page
Select all
Export citation of selected articles as:
23 pages, 3879 KB  
Article
Effects of Nitrogen Application and Planting Density on the Growth and Seed Yield of Four Russian Varieties of Soybean (Glycine max L. Merr.)
by Takuji Ohyama, Hideo Hasegawa, Naoki Harada, Yoshihiko Takahashi, Norikuni Ohtake, Yuki Ono and Igor A. Borodin
Nitrogen 2026, 7(1), 2; https://doi.org/10.3390/nitrogen7010002 - 22 Dec 2025
Abstract
N is the most crucial nutrient for plant growth and yield. Soybeans require a large amount of N for growth and seed production because of their high protein content. Soybean plants fix N2 by root nodules in association with soil bacteria, rhizobia, [...] Read more.
N is the most crucial nutrient for plant growth and yield. Soybeans require a large amount of N for growth and seed production because of their high protein content. Soybean plants fix N2 by root nodules in association with soil bacteria, rhizobia, but both the fixed N and the N absorbed from roots are essential to obtain a maximum seed yield. However, excess or inappropriate N fertilizer application represses N2 fixation and reduces seed yield. A basal deep placement of lime nitrogen promoted soybean seed yield without inhibiting N2 fixation activity in Japan. This study aimed to evaluate whether this technology can be applied in the Far East of Russia. The effects of deep placement of lime N with a wide row (75 cm) on the growth and seed yield of four Russian varieties were investigated. Without N fertilization, the average seed yield in wide rows was 2.77 t/ha, which was not significantly different from that in narrow rows (2.39 t/ha). Deep placement of lime nitrogen with wide rows increased total mechanical seed yield by 38%, 53%, 17%, and 6% in Primorskaya 4, 13, 81, and 86, respectively. The effect of basal urea application in narrow rows varied among cultivars. Soil analysis and the N composition in xylem sap indicated that the Russian field is richer in soil N than that in Niigata, and the contribution of N derived from N2 fixation was lower than that in Niigata. The effects of row spacing and N fertilization on seed yield varied by variety; therefore, it is necessary to evaluate each variety to determine the optimal row spacing and N fertilization. The field experiment indicated that the deep placement of lime N promoted seed yield of Russian cultivars. This technique may be applied in soybean cultivation in a large field if the appropriate machine is available. Full article
Show Figures

Figure 1

19 pages, 1893 KB  
Article
Soil Respiration in Traditional Mediterranean Olive Groves: Seasonal Dynamics, Spatial Variability, and Controlling Factors
by Evangelina Pareja-Sánchez, Roberto García-Ruiz, Gustavo Sanchez, Xim Cerdá, Elena Angulo, Ramón C. Soriguer and Joaquín Cobos
Agriculture 2025, 15(24), 2610; https://doi.org/10.3390/agriculture15242610 - 17 Dec 2025
Viewed by 148
Abstract
Understanding soil respiration (Rs) dynamics in Mediterranean olive groves is crucial for quantifying carbon fluxes under climate change. Soil respiration represents the combined CO2 efflux from root metabolic activity and microbial decomposition of soil organic matter, processes strongly controlled by soil moisture, [...] Read more.
Understanding soil respiration (Rs) dynamics in Mediterranean olive groves is crucial for quantifying carbon fluxes under climate change. Soil respiration represents the combined CO2 efflux from root metabolic activity and microbial decomposition of soil organic matter, processes strongly controlled by soil moisture, temperature, and the quantity and quality of organic matter inputs in semi-arid Mediterranean environments. This study quantified the seasonal and spatial variability of Rs in a traditional rainfed olive orchard planted at a spacing of 11 m between rows and 9 m between trees (≈101 trees ha−1). Continuous measurements were conducted in two contrasting zones, under-canopy (UC) and inter-row (IR), using automated soil CO2 flux chambers. Annual Rs reached 3.68 Mg CO2 ha−1 y−1 in UC and 2.21 Mg CO2 ha−1 y−1 in IR, with substantially higher emissions per unit area beneath the canopy. However, due to its larger surface proportion, the IR zone contributed more to the orchard scale CO2 budget. Soil water content emerged as the dominant environmental driver of Rs, moderating or suppressing the temperature response during dry periods. These findings highlight the importance of explicitly considering microsite heterogeneity when assessing soil CO2 efflux and designing sustainable carbon-management strategies in Mediterranean olive agroecosystems. Full article
(This article belongs to the Section Agricultural Soils)
Show Figures

Figure 1

24 pages, 6374 KB  
Article
Design and Experiment of an Inter-Plant Obstacle-Avoiding Oscillating Mower for Closed-Canopy Orchards
by Juxia Wang, Weizheng Pan, Xupeng Wang, Yifang An, Nan An, Xinxin Duan, Fu Zhao and Fei Han
Agronomy 2025, 15(12), 2893; https://doi.org/10.3390/agronomy15122893 - 16 Dec 2025
Viewed by 267
Abstract
To address the challenges of narrow, confined spaces in traditional closed-canopy orchards, where complex terrain between and within rows hinders the operation of large and medium-sized mowers. A self-propelled intra-plant obstacle-avoiding oscillating mower was developed. Its core innovation is an integrated oscillating mechanism [...] Read more.
To address the challenges of narrow, confined spaces in traditional closed-canopy orchards, where complex terrain between and within rows hinders the operation of large and medium-sized mowers. A self-propelled intra-plant obstacle-avoiding oscillating mower was developed. Its core innovation is an integrated oscillating mechanism that achieves one-pass, full-coverage operation by coordinating a 110° fan-shaped cutting path for inter-row areas with an adaptive flipping contour-cutting action for intra-plant areas. The power and transmission systems were optimized according to the shear and bending forces of three common weed species. The integrated prototype was then built and subjected to field tests. The results showed that the shear and bending forces of all three weed species peaked at 30 mm from the root and stabilized beyond 50 mm. Field tests demonstrated a 100% intra-plant obstacle passage rate, 96.9% cutting width utilization rate, 92.07% stubble height stability coefficient, and a 1.66% missed-cutting rate, which meets the operational requirements of closed-canopy orchards. Full article
(This article belongs to the Section Weed Science and Weed Management)
Show Figures

Figure 1

23 pages, 4360 KB  
Article
Design and Testing of a Vision-Based, Electrically Actuated, Row-Guided Inter-Row Cultivator
by Haonan Yang, Xueguan Zhao, Cuiling Li, Haoran Liu, Zhiwei Yu, Liyan Wu and Changyuan Zhai
Agronomy 2025, 15(12), 2825; https://doi.org/10.3390/agronomy15122825 - 9 Dec 2025
Viewed by 327
Abstract
Modern weeding technologies include chemical weeding, non-contact methods such as laser weeding, and conventional mechanical inter-row cultivation characterized by soil loosening and weed uprooting. For maize, mechanical inter-row cultivation is key to cutting herbicide use and enhancing the soil–crop environment. This study [...] Read more.
Modern weeding technologies include chemical weeding, non-contact methods such as laser weeding, and conventional mechanical inter-row cultivation characterized by soil loosening and weed uprooting. For maize, mechanical inter-row cultivation is key to cutting herbicide use and enhancing the soil–crop environment. This study developed a vision-guided intelligent inter-row cultivator with electric lateral shifting—its frame fabricated from Q235 low-carbon structural steel and assembled mainly via bolted and pinned joints—that computes real-time lateral deviation between the implement and crop rows through maize plant recognition and crop row fitting and uses delay compensation to command a servo-electric cylinder for precise ±15 cm inter-row adjustments corresponding to 30% of the 50 cm row spacing. To test the system’s dynamic response, 1–15 cm-commanded lateral displacements were evaluated at 0.31, 0.42, and 0.51 m/s to characterize the time-displacement response of the servo-electric shift mechanism; field tests were conducted at 0.51 m/s with three 30 m passes per maize growth stage to collect row-guidance error and root-injury data. Field results show that at an initial offset of 5 cm, the mean absolute error is 0.76–1.03 cm, and at 15 cm, the 95th percentile error is 7.5 cm. A root damage quantification method based on geometric overlap arc length was established, with rates rising with crop growth: 0.12% at the V2 to V3 stage, 1.46% at the V4 to V5 stage, and 9.61% at the V6 to V8 stage, making the V4 to V5 stage the optimal operating window. Compared with chemical weeding, the system requires no herbicide application, avoiding issues related to residues, drift, and resistance management. Compared with laser weeding, which requires high tool power density and has limited effective width, the tractor–implement system enables full-width weeding and shallow inter-row tillage in one pass, facilitating integration with existing mechanized operations. These results, obtained at a single forward speed of 0.51 m/s in one field and implement configuration, still require validation under higher speeds and broader field conditions; within this scope they support improving the precision of maize mechanical inter-row cultivation. Full article
(This article belongs to the Section Precision and Digital Agriculture)
Show Figures

Figure 1

21 pages, 9635 KB  
Article
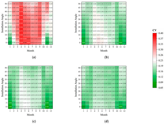
Optimization Design of Agrivoltaic Systems Based on Light Environment Simulation
by Hangwei Ding, Shida Tao, Long Zhang, Yueyue Li, Xue Wu, Jinxin Zhang, Jiguang Guo, Encai Bao and Kai Cao
Agriculture 2025, 15(23), 2437; https://doi.org/10.3390/agriculture15232437 - 26 Nov 2025
Viewed by 369
Abstract
Agrivoltaics, an emerging approach that integrates solar energy generation with agricultural production, offers an effective solution to land-use conflicts by enabling the simultaneous production of clean energy and crops. However, the shading effect of photovoltaic (PV) modules significantly alters both the quantity and [...] Read more.
Agrivoltaics, an emerging approach that integrates solar energy generation with agricultural production, offers an effective solution to land-use conflicts by enabling the simultaneous production of clean energy and crops. However, the shading effect of photovoltaic (PV) modules significantly alters both the quantity and distribution of light within crop canopies, creating challenges in balancing power output with crop light requirements. This study employs the Rhino–Grasshopper parametric modeling platform, combined with Ladybug and PVsyst, to conduct batch simulations of 44 configuration schemes for an agrivoltaic system in Lianyungang, Jiangsu Province. Annual simulations of the light environment and energy generation were performed, and model accuracy was validated through field measurements using Daily Light Integral (DLI), light uniformity (coefficient of variation, CV), and annual energy yield as key indicators to assess the effects of different module layouts and tilt angles. The results reveal pronounced seasonal variations in the system’s light environment. The tilt angle exhibits a seasonal reversal pattern: higher tilt angles in winter and spring substantially reduce DLI (up to a 44% decrease under high ground coverage ratio, GCR, conditions), whereas moderate tilt angles in summer and autumn enhance light transmission, with low-GCR layouts enabling DLI values exceeding 30.6 mol·m−2·d−1. Light uniformity was highest in the dual-row layout with 0.2 m spacing, maintaining a CV between 0.16 and 0.18. Energy yield peaked at a 30 tilt angle, showing a parabolic response pattern. Overall, this study proposes a photovoltaic module layout design method based on seasonal light distribution characteristics and the balance between agricultural and energy production goals. This method provides a scientific basis for structural layout planning and planting-model design in agrivoltaic systems and contributes to improving light-energy utilization efficiency and agricultural output, thereby achieving synergistic benefits between photovoltaic power generation and crop production. Full article
(This article belongs to the Section Agricultural Technology)
Show Figures

Figure 1

30 pages, 3621 KB  
Article
Agrivoltaics for Sustainable Energy and Food Production in West Africa: Profitability Assessment of Configurations Variation (Case of Burkina Faso)
by Aminata Sarr, Y. M. Soro, Lamine Diop, Alain K. Tossa and P. Romaric Christian Samayouga
Sustainability 2025, 17(23), 10468; https://doi.org/10.3390/su172310468 - 22 Nov 2025
Viewed by 474
Abstract
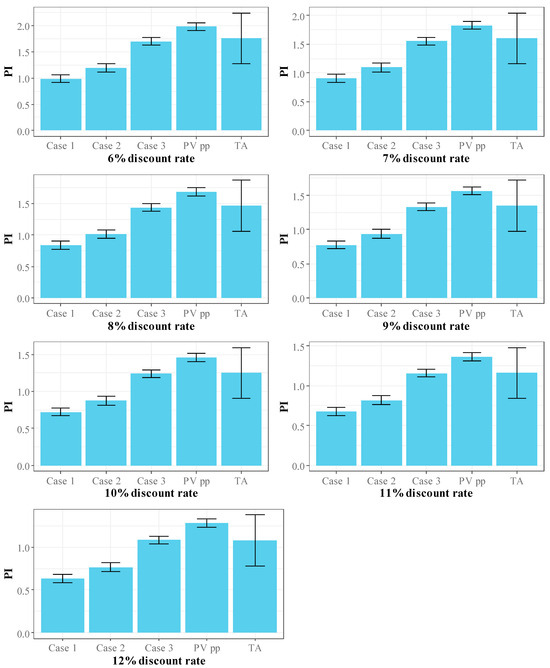
Agrivoltaics is a sustainable way to produce both energy and food in developing countries facing rising demand for energy and food and limited access to and availability of land resources. However, in agrivoltaics systems, energy production, crop yield, and the amount of equipment [...] Read more.
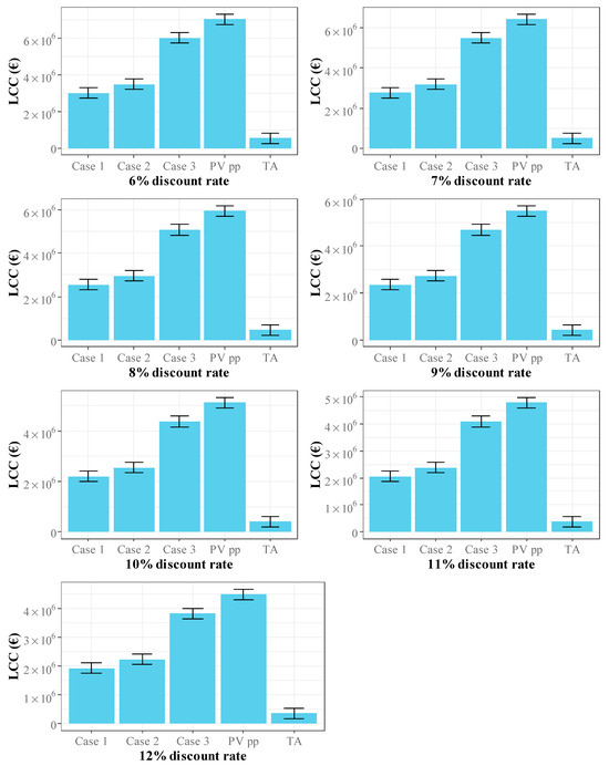
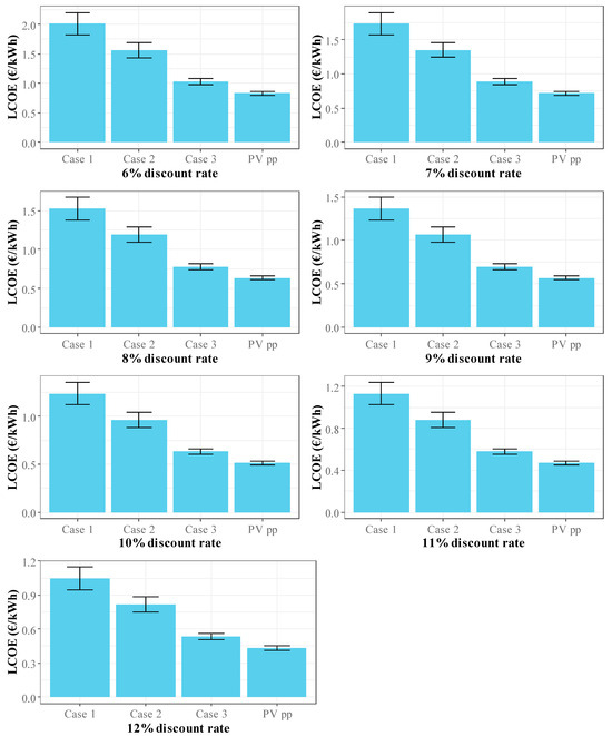
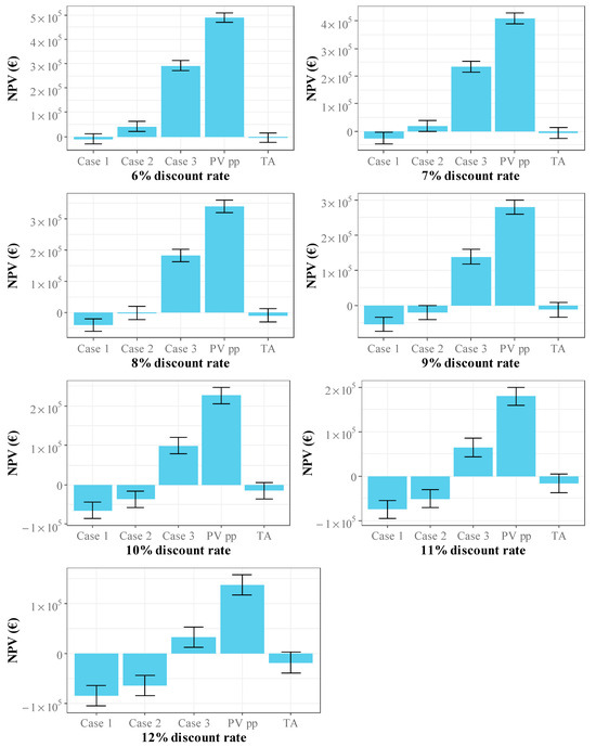
Agrivoltaics is a sustainable way to produce both energy and food in developing countries facing rising demand for energy and food and limited access to and availability of land resources. However, in agrivoltaics systems, energy production, crop yield, and the amount of equipment used vary considerably depending on the configuration, which can significantly affect the economic profitability of the system. In addition, there are few studies, especially in West Africa, that assess the economic profitability of switching from agricultural systems or PV power plants to agrivoltaics systems. This study addresses these issues. It assesses the profitability of agrivoltaics system configurations and compares them with traditional agricultural systems and PV power plants, using discount rates ranging from 6% to 12% and considering six indicators: the Net Present Value (NPV), Life Cycle Cost, Levelized Cost of Energy, Profitability Index, Internal Rate of Return, and Payback Period. The results show that high-density agrivoltaics systems with limited spacing between panel tables and rows of tables are more profitable than low-density systems. For the most profitable case, the NPV was EUR 9401.24 at a 12% discount rate, whereas this value is negative when the discount rate reaches 7% for case 1, which is the lowest-density agrivoltaic system. Case 3, which is the highest-density agrivoltaic system and the PV power plant, achieved an NPV of EUR 60,411.88 and EUR 164,732.64, respectively, at a 12% discount rate. Full article
Show Figures

Figure 1

23 pages, 1375 KB  
Review
Integrated Pest Management of Sclerotinia Stem Rot in Soybean: Current Strategies and Future Prospects
by Vivek Hemant Khambhati and Zhi-Yuan Chen
J. Fungi 2025, 11(12), 823; https://doi.org/10.3390/jof11120823 - 21 Nov 2025
Viewed by 821
Abstract
Sclerotinia sclerotiorum (Lib.) de Bary, the causal agent of Sclerotinia stem rot (SSR) or white mold, is a soil-borne hemibiotrophic fungus that causes substantial soybean yield losses worldwide. This pathogen infects over 400 plant species and persists in soil for extended periods through [...] Read more.
Sclerotinia sclerotiorum (Lib.) de Bary, the causal agent of Sclerotinia stem rot (SSR) or white mold, is a soil-borne hemibiotrophic fungus that causes substantial soybean yield losses worldwide. This pathogen infects over 400 plant species and persists in soil for extended periods through melanized sclerotia, which can survive under extreme environmental conditions. The wide host range, environmental adaptability, and longevity of sclerotia make SSR a persistent challenge in soybean production. No single management tactic provides reliable control, which underscores the importance of integrated pest management (IPM). Cultural practices such as crop rotation with non-hosts, optimized row spacing, adjusted seeding rates, and targeted irrigation are fundamental to reducing inoculum and modifying canopy microclimates to slow infection. Although genetic resistance remains partial, the deployment of cultivars with stable performance across environments contributes to disease suppression, particularly when combined with fungicide applications. However, fungicide efficacy is inconsistent and limited due to environmental concerns and potential resistance. Advances in disease modeling have improved the timing and precision of chemical control, while biological control agents and RNA interference approaches offer promising future options. This review synthesizes current IPM strategies for SSR and explores emerging alternatives to support sustainable soybean production. Full article
(This article belongs to the Special Issue Integrated Management of Plant Fungal Diseases)
Show Figures

Figure 1

22 pages, 13813 KB  
Article
A Visual Intelligent Approach to Recognize Corn Row and Spacing for Precise Spraying
by Yuting Zhang, Zihang Liu, Xiangdong Guo and Guifa Teng
Agriculture 2025, 15(22), 2389; https://doi.org/10.3390/agriculture15222389 - 19 Nov 2025
Viewed by 338
Abstract
Precision spraying is a crucial goal for modern agriculture to achieve water and fertilizer conservation, reduced pesticide use, high yield, and green and sustainable development. This relies on the accurate identification of crop positions, high-precision path planning, and the positioning and control of [...] Read more.
Precision spraying is a crucial goal for modern agriculture to achieve water and fertilizer conservation, reduced pesticide use, high yield, and green and sustainable development. This relies on the accurate identification of crop positions, high-precision path planning, and the positioning and control of intelligent agricultural machinery. For the precision production of corn, this paper proposes a new row detection method based on histogram peak detection and sliding window search, avoiding the issues of deep learning methods that are not conducive to lightweight deployment and large-scale promotion. Firstly, green channel segmentation and morphological operations are performed on high-resolution drone images to extract regions of interest (ROIs). Then, the ROIs are converted to a top-view image using perspective transformation, and a histogram analysis is performed using the find_peaks function to detect multiple peaks corresponding to row positions. Furthermore, a sliding window centered around the peak is constructed to search for complete single-row crop pixels in the vertical direction. Finally, the least squares method is used to fit the row curve, estimating the average row spacing (RowGap) and plant spacing (PlantGap) separately. The experimental results show that the accuracy of row detection reaches 93.8% ± 2.1% (n = 60), with a recall rate of 91.5% ± 1.8% and an F1 score of 0.925 ± 0.018. Under different growth stages, row numbers (6–8 rows), and weed interference conditions, the average row spacing measurement error is better than ±2.5 cm, and the plant spacing error is less than ±3.0 cm. Through field verification, this method reduces pesticide use by 23.6% and water consumption by 21.4% compared to traditional uniform spraying, providing important parameter support for field precision planting quality assessment and the dynamic monitoring of planting density, achieving variable irrigation and fertilization and water resource conservation. Full article
(This article belongs to the Section Artificial Intelligence and Digital Agriculture)
Show Figures

Figure 1

27 pages, 10413 KB  
Article
Structural Optimization of Windbreak and Sand-Fixing Forests: A Wind Tunnel Study
by Feng Li, Jianjun Yang, Rui Chen, Peng Hou, Zhixi Wang, Yao Qin, Miao He and Qinghong Luo
Forests 2025, 16(11), 1710; https://doi.org/10.3390/f16111710 - 10 Nov 2025
Viewed by 372
Abstract
This study examined the windbreak effects of different tree–shrub configurations through wind tunnel experiments. Using Populus euphratica Oliv. and Tamarix chinensis Lour. as model species, six rows of front-tree–back-shrub arrangements in a triangular layout were tested under varying spacing patterns. Four [...] Read more.
This study examined the windbreak effects of different tree–shrub configurations through wind tunnel experiments. Using Populus euphratica Oliv. and Tamarix chinensis Lour. as model species, six rows of front-tree–back-shrub arrangements in a triangular layout were tested under varying spacing patterns. Four spacings of P e (7.5 cm × 7.5 cm, 7.5 cm × 10 cm, 7.5 cm × 12.5 cm, 10 cm × 10 cm) and four spacings of T cs (5 cm × 5 cm, 5 cm × 7.5 cm, 5 cm × 10 cm, 7.5 cm × 7.5 cm) were analyzed. Tree–shrub combinations significantly outperformed pure stands. The configuration of P e (7.5 cm × 10 cm) with T c (5 cm × 10 cm) achieved the highest efficiency, with an average of 27.1% and a peak of 47.13% at 7 H. This configuration was effective up to 15 H and showed slower efficiency decline at higher wind speeds. Vertically, most combinations reached maximum efficiency at 20 cm height, while pure T c peaked at 51.96% at 3 cm and pure P e at 36.33% at 20 cm. Overall, the optimal configuration was P e spaced at 7.5 cm × 10 cm and T c at 5 cm × 10 cm, which not only enhanced protective performance but also reduced planting density. These findings provide valuable scientific references for designing windbreak and sand-fixing forests in arid regions, supporting ecological restoration and sustainable land management in desert–oasis transition zones. Full article
(This article belongs to the Section Forest Ecology and Management)
Show Figures

Figure 1

24 pages, 5142 KB  
Article
A Collaborative Optimization Strategy for Photovoltaic Array Layout Based on the Lemur Optimization Algorithm
by Guanhong Dai, Qianhan Chen, Yangyu Chen, Yu Wang, Zhan Shen and Xiaoqiang Li
Symmetry 2025, 17(11), 1870; https://doi.org/10.3390/sym17111870 - 5 Nov 2025
Viewed by 528
Abstract
The performance of large-scale photovoltaic (PV) power plants is strongly influenced by array layout parameters including module tilt angle, azimuth angle, and row spacing. These geometric variables jointly determine solar irradiance geometry, shading losses, and land-use efficiency, affecting annual energy yield and levelized [...] Read more.
The performance of large-scale photovoltaic (PV) power plants is strongly influenced by array layout parameters including module tilt angle, azimuth angle, and row spacing. These geometric variables jointly determine solar irradiance geometry, shading losses, and land-use efficiency, affecting annual energy yield and levelized cost of electricity. To achieve multi-objective comprehensive optimization of array layout parameters for a PV power generation system, a collaborative optimization strategy for PV array layout based on the lemur optimization (LO) algorithm is proposed in this paper. The method couples the Perez anisotropic irradiance model with a dynamic shading irradiance geometric model to simulate the effective insolation, incorporating land availability, shading thresholds, and maintenance access requirements. In addition, the LO algorithm is employed to solve resulting nonlinear and constrained problems, enabling an efficient global search across large parameter spaces. The case studies in Lianyungang, Dalian, and Fuzhou City show that the proposed scheme based on the LO algorithm improves annual energy yield compared with the existing optimization schemes, providing new theoretical methods and engineering application paths for the optimal layout of PV arrays. Full article
(This article belongs to the Special Issue Symmetry in Digitalisation of Distribution Power System)
Show Figures

Figure 1

14 pages, 3667 KB  
Article
Interactive Effects of Planting Density and Row Spacing on Maize Root Distribution and Yield
by Junhao Wang, Zhong Chen, Zhengyuan Liang, Yulong Yin, Shoubing Huang, Qingfeng Meng, Zhenling Cui and Pu Wang
Agronomy 2025, 15(11), 2552; https://doi.org/10.3390/agronomy15112552 - 3 Nov 2025
Viewed by 896
Abstract
Effective spatial arrangement in maize population can reduce inter-plant competition, promote root development, and enhance nutrient uptake. This study aimed to clarify how planting density and row spacing affect maize growth and yield. A four-year field experiment (2011–2014) was conducted using three planting [...] Read more.
Effective spatial arrangement in maize population can reduce inter-plant competition, promote root development, and enhance nutrient uptake. This study aimed to clarify how planting density and row spacing affect maize growth and yield. A four-year field experiment (2011–2014) was conducted using three planting densities (50,025, 67,500, and 100,050 plants ha−1) combined with two row spacings. Grain yield increased with higher planting density, whereas plant dry weight and nutrient (N, P, K) contents declined. Higher density restricted root growth both vertically and horizontally, particularly in the 0–10 cm soil layer and inner root zone. Narrower row spacing increased grain yield, plant dry weight, and shoot nutrient contents and improved vertical and inner-zone root growth while reducing growth in the outer root zone. At the highest density, these effects were most pronounced in fine roots (<2 mm diameter), with significant increases in root length and surface area in the 0–10 cm layer in both vertical and inner horizontal zones. Overall, higher density intensified root competition and inhibited root development, whereas narrower row spacing alleviated such competition, enhanced nutrient acquisition, and improved crop yield. These results highlight the central role of fine roots in mediating maize responses to planting density and row spacing, suggesting that a moderate planting density (~67,500 plants ha−1) combined with narrower row spacing is optimal for balancing root development and yield. Full article
Show Figures

Figure 1

19 pages, 18673 KB  
Article
Unexpected Long-Term Forest Experiments: A Case on the Island of Porto Santo, Madeira
by Leónia Nunes, Natália Nunes, Sara Freitas and Francisco Castro Rego
Forests 2025, 16(10), 1605; https://doi.org/10.3390/f16101605 - 20 Oct 2025
Viewed by 559
Abstract
The aim of this study was to assess the long-term adaptation and growth performance of 50 species introduced in 1991 on the island of Porto Santo, Madeira Archipelago, in order to guide afforestation and soil restoration under the island’s arid conditions, especially in [...] Read more.
The aim of this study was to assess the long-term adaptation and growth performance of 50 species introduced in 1991 on the island of Porto Santo, Madeira Archipelago, in order to guide afforestation and soil restoration under the island’s arid conditions, especially in biosphere reserves. The experiment was conducted in Alentejo, Pico Juliana and Matinho, three sites with different types of elevation, soil and exposure. A total of 502 experimental units (five plants each) were established with a completely randomized design in the three sites in 1991 to test the adaptation of 50 species from Mediterranean, African, Australian and American dry climates. Plants were grown in local nursery conditions and planted in rows with 1 × 4 m spacing. Soil properties were analyzed, and survival and growth (height and stem diameter) were monitored in 1991, 1992 and 2025. An analysis of variance was performed for the whole experiment, with the three sites showing significant differences in survival and height among species and sites thirty-four years after the planting. Some species showed high survival and growth, such as Pinus halepensis, Eucalyptus sideroxylon and Casuarina cunninghamiana. Others, like Schinus terebinthifolius and Thevetia neriifolia, showed good adaptation, and invasive behavior at the best sites, but their performance was strongly dependent on site conditions, with Alentejo being the most limiting site. This study demonstrates the long-term value of forest experiments and of long-term monitoring, providing rare data on species adaptation under semi-arid insular conditions. The findings support future afforestation strategies focusing on ecological suitability and invasiveness risk. Full article
Show Figures

Figure 1

26 pages, 1490 KB  
Review
A Framework for Understanding Crop–Weed Competition in Agroecosystems
by Aleksandra Savić, Aleksandar Popović, Sanja Đurović, Boris Pisinov, Milan Ugrinović and Marijana Jovanović Todorović
Agronomy 2025, 15(10), 2366; https://doi.org/10.3390/agronomy15102366 - 9 Oct 2025
Viewed by 2593
Abstract
Competition is a fundamental ecological interaction among plants, arising when species utilise the same limited resources such as light, water, nutrients, and space. Resource limitations reduce the growth and survival of less competitive species, altering ecosystem structure. In agroecosystems, weed–crop competition is a [...] Read more.
Competition is a fundamental ecological interaction among plants, arising when species utilise the same limited resources such as light, water, nutrients, and space. Resource limitations reduce the growth and survival of less competitive species, altering ecosystem structure. In agroecosystems, weed–crop competition is a major challenge, reducing yield and quality. Weeds often exhibit greater adaptability and resource efficiency, enabling them to outcompete crops. Competition intensity is influenced by population density, morphology, phenology and survival strategies. Understanding plant competitive interactions is crucial for ecologists and agronomists to develop sustainable weed management and resource optimization strategies. Climate change further alters competitive dynamics, favoring resilient and plastic species. Mechanisms like allelopathy, aboveground and belowground competition and adaptive growth responses shape community structure. Strategies to reduce weed pressure include breeding competitive crops and integrating cultural practices such as optimal sowing density, narrow row spacing, and cover cropping. Future research should address plant responses to multiple simultaneous stressors, the ecological role of allelochemicals under varying conditions, and the genetic mechanisms of competitive adaptability. A comprehensive understanding of these interactions is essential for designing resilient, high-performing agroecosystems in changing environmental conditions. Full article
(This article belongs to the Section Weed Science and Weed Management)
Show Figures

Figure 1

18 pages, 3564 KB  
Article
Influence of Air-Jet Configuration on Spray Deposit and Drift in a Blackcurrant Plantation
by Ryszard Hołownicki, Grzegorz Doruchowski, Waldemar Świechowski, Andrzej Bartosik, Paweł Konopacki and Artur Godyń
Agronomy 2025, 15(10), 2360; https://doi.org/10.3390/agronomy15102360 - 9 Oct 2025
Cited by 1 | Viewed by 458
Abstract
The subject of the research was a prototype two-row sprayer, equipped with a centrifugal fan and directed air-jet emission system, dedicated to the chemical protection of berry plantations, and, in particular, blackcurrants. The prototype was set up with two configurations: “offset”, in which [...] Read more.
The subject of the research was a prototype two-row sprayer, equipped with a centrifugal fan and directed air-jet emission system, dedicated to the chemical protection of berry plantations, and, in particular, blackcurrants. The prototype was set up with two configurations: “offset”, in which the opposing air streams were “offset” by 0.5 m, and “face-to-face”, when they were positioned opposite each other. The field experiments were carried out on a blackcurrant plantation (Tisel cv.; bush spacing of 4.0 × 0.5 m; height 1.2 m; width 2.5 m). The spray deposition within the crop canopies as well as spray drift to the air and to the ground were assessed using the fluorescence method in order to compare the quality of treatments performed with the two-row sprayer and a conventional axial fan sprayer with radial air discharge system. Spray applications were performed at spray volume 300 L∙ha−1 and working speed 6 km h−1 by both sprayers. The plantation was sprayed with 0.25% water solution of a fluorescent tracer BF7G. The in-canopy spray deposit and spray drift were evaluated using artificial targets made of filter paper. Although directed air-jet sprayer in two configurations (“offset” and “face-to-face”) and conventional one produced similar deposits within the bushes, the spray loss from the directed air-jet sprayer was considerably lower (25.1–32.2%) than that from the conventional sprayer (76.9–81.8%) generating considerably greater airflow volume. Lower PPP losses mean lower environmental impact, which is in line with integrated plant protection. The research responds to numerous inquiries from sprayer manufacturers and blackcurrant growers regarding the most appropriate configuration of the air flow outlet planes. The results obtained will contribute to increasing the efficiency of spraying and facilitate the implementation of the European Green Deal and the achievement of the target of a 50% reduction in the use of plant protection products after 2030 in the EU. Full article
(This article belongs to the Section Agricultural Biosystem and Biological Engineering)
Show Figures

Figure 1

21 pages, 2625 KB  
Article
Effects of Ridge and Furrow Planting Patterns on Crop Yield and Grain Quality in Dryland Maize–Wheat Double Cropping System
by Qihui Zhou, Ming Huang, Chuan Hu, Aohan Liu, Shiyan Dong, Kaiming Ren, Wenzhong Tian, Junhong Li, Fang Li, Guozhan Fu, Jinzhi Wu and Youjun Li
Plants 2025, 14(19), 3030; https://doi.org/10.3390/plants14193030 - 30 Sep 2025
Viewed by 691
Abstract
Ridge and furrow planting is a prevalent drought-resistant cultivation technique in dryland regions. Notably, the effects of this technology on crop grain yield and quality in dryland maize–wheat double-cropping systems remain limited. This study utilized a long-term positioning experiment initiated in 2004, which [...] Read more.
Ridge and furrow planting is a prevalent drought-resistant cultivation technique in dryland regions. Notably, the effects of this technology on crop grain yield and quality in dryland maize–wheat double-cropping systems remain limited. This study utilized a long-term positioning experiment initiated in 2004, which included five treatments: a permanent ridge and furrow with a border ridge of 133 cm row space (PRFBR); a ridge and furrow created each year with a border ridge of 133 cm row space (EYRFBR); a permanent ridge with a normal ridge of 100 cm row space (PRFNR); a ridge and furrow created each year with a normal ridge of 100 cm row space (EYRFNR), and a conventional flat planting pattern according to the local farmer (CF). The crop grain yield in 2015–2021, as well as the protein and phosphorus (P) and potassium (K) content in maize and wheat grains, and the protein components in winter wheat grains in 2020–2021 were investigated. The results showed that, compared to CF, all four ridge and furrow planting patterns significantly enhanced crop yield in dry and normal years, and the effects varied depending on crop species, with increases of 45.3–97.8% for wheat and 11.0–33.8% increases annually in dry years; and 24.5–51.6% increases for maize and 12.2–37.5% increases annually in the normal years. EYRFBR treatment increased wheat grain P and K content by 24.3% and 13.7%, as well as increasing the total protein, albumin, gliadin, soluble protein, and storage protein content by 9.7%, 22.3%, 9.6%, 14.5%, and 5.6%, whereas PRFNR reduced the glutenin content and glutenin/gliadin ratio in winter wheat grains by 5.1% and 10.9%, respectively. The yield achieved with a permanent ridge and furrow (PRF) surpassed that achieved when the ridge and furrow was created anew each year (EYRF), yet the normal ridge width (NR) outperformed the border ridge width (BR). However, the P, K, protein, and protein component content in wheat grains under EYRF was superior to that under PRF. Comprehensive evaluations through principal component analysis (PCA) and TOPSIS analysis consistently demonstrated that the EYRFBR treatment delivered optimal performance in yield and quality for winter and annual, while PRFNR achieved superior yield for summer maize. Consequently, in dryland maize–wheat double-cropping systems, an EYRFBR planting pattern should be recommended for high-yield and high-quality wheat production; however, the PRFNR planting pattern is more suitable for summer maize production. Full article
(This article belongs to the Special Issue Nutrient Management for Crop Production and Quality)
Show Figures

Figure 1

Back to TopTop