Sign in to use this feature.

Years

Between: -

Subjects

remove_circle_outline
remove_circle_outline
remove_circle_outline
remove_circle_outline
remove_circle_outline
remove_circle_outline
remove_circle_outline
remove_circle_outline
remove_circle_outline

Journals

remove_circle_outline
remove_circle_outline
remove_circle_outline
remove_circle_outline
remove_circle_outline
remove_circle_outline
remove_circle_outline
remove_circle_outline
remove_circle_outline
remove_circle_outline
remove_circle_outline
remove_circle_outline
remove_circle_outline
remove_circle_outline
remove_circle_outline
remove_circle_outline
remove_circle_outline
remove_circle_outline
remove_circle_outline
remove_circle_outline
remove_circle_outline
remove_circle_outline
remove_circle_outline
remove_circle_outline
remove_circle_outline
remove_circle_outline
remove_circle_outline
remove_circle_outline
remove_circle_outline
remove_circle_outline

Article Types

Countries / Regions

remove_circle_outline
remove_circle_outline
remove_circle_outline
remove_circle_outline
remove_circle_outline
remove_circle_outline
remove_circle_outline
remove_circle_outline
remove_circle_outline

Search Results (10,474)

Search Parameters:
Keywords = physiological regulation

Order results
Result details
Results per page
Select all
Export citation of selected articles as:
19 pages, 1280 KB  
Article
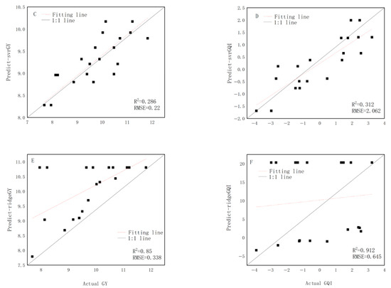
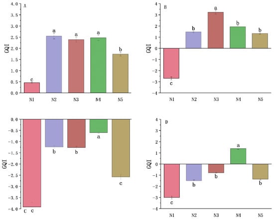
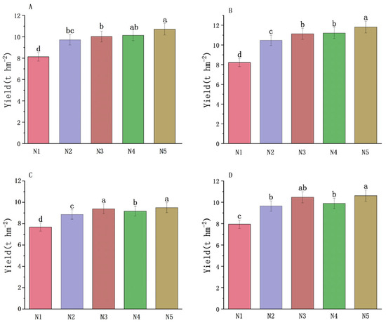
Optimization of Nitrogen Fertilizer Operation for Sustainable Production of Japonica Rice with Different Panicle Types in Liaohe Plain: Yield-Quality Synergy Mechanism and Agronomic Physiological Regulation
by Xinyi Lou, Meiling Li, Lin Zhang, Baoyan Jia, Shu Wang, Yan Wang, Yuancai Huang, Chanchan Zhou and Yun Wang
Sustainability 2025, 17(24), 11152; https://doi.org/10.3390/su172411152 - 12 Dec 2025
Abstract
Northern japonica rice holds a significant position in China’s food security. However, the traditional nitrogen fertilizer management model (nitrogen application rate > 225 kg/ha, base fertilizer proportion > 50%) has led to serious sustainability problems: the nitrogen utilization rate is only 25–30%, resulting [...] Read more.
Northern japonica rice holds a significant position in China’s food security. However, the traditional nitrogen fertilizer management model (nitrogen application rate > 225 kg/ha, base fertilizer proportion > 50%) has led to serious sustainability problems: the nitrogen utilization rate is only 25–30%, resulting in a large amount of fertilizer waste and economic losses. At the same time, it causes a decline in rice quality, manifested as a 15–20% increase in chalkiness and an 8–12% decrease in palatability value. It has also brought about environmental problems such as soil acidification and eutrophication of water bodies. As an important japonica rice production area, the Liaohe Plain has significant differences in the response of semi-upright and curved panicle varieties to nitrogen fertilizer. However, the agronomic physiological mechanism for the coordinated improvement of yield and quality of japonica rice with different panicle types is still unclear at present, which limits the sustainable development of rice production in this region. For this purpose, in this study, the typical semi-upright spike variety Shendao 47 and the curved spike variety Shendao 11 from the Liaohe Plain were used as materials, and five nitrogen fertilizer treatments were set up: N1, no nitrogen application; N2–N4, conventional nitrogen application rate of 165–225 kg/ha; and N5, and optimized nitrogen application rate of 195 kg/ha allocated in the proportion of 40% base fertilizer, 15% tillering fertilizer, 25% tillering fertilizer, 15% panicle fertilizer, and 5% grain fertilizer. The synergistic regulatory effect of nitrogen fertilizer management on yield and rice quality was systematically explored, and the key agronomic physiological mechanisms were analyzed. The research results show that: (1) The optimized nitrogen fertilizer treatment (N5) achieved a significant increase in yield while reducing the input of nitrogen fertilizer. The yields of Shendao 47 and Shendao 11 reached 10.71–11.82 t/ha and 9.50–10.62 t/ha, respectively, increasing by more than 35% compared with the treatment without nitrogen. (2) The N5 treatment simultaneously improved the processing quality (the whole polished rice rate increased by 4.11%) and the appearance quality (the chalkiness decreased by 63.8% to 77%). (3) The dry matter accumulation during the tillering stage (≥3.2 t/ha) and the net assimilation rate during the scion development stage (≥12 g/m2/d) were identified as key agronomic physiological indicators for regulating the yield-quality synergy. Optimizing nitrogen fertilizer management ensures an adequate supply of photosynthetic products through the high photosynthetic rate of flag-holding leaves and the extended lifespan of functional leaves. The phased nitrogen application strategy of “40% base fertilizer + 25% tillering fertilizer + 15% panicle fertilizer + 5% grain fertilizer” proposed in this study provides a theoretical and practical basis for the sustainable development of japonica rice production in the Liaohe Plain. This plan has achieved the coordinated realization of multiple goals including resource conservation (reducing nitrogen by 13%), environmental protection (lowering the risk of nitrogen loss), food security guarantee (stable increase in yield), and quality improvement (enhancement of rice quality), effectively promoting the development of the northern japonica rice industry towards a green, efficient and sustainable direction. Develop in the right direction. Full article
Show Figures

Figure 1

15 pages, 1430 KB  
Article
Role of Endogenous Hormone Dynamics in Regulating the Development of Suaeda salsa L. Under Salt Stress
by Jinxiu Hao, Yanyan Wang, Xinzhi Feng, Wenxuan Mai, Dong Zhang, Ke Zhang, Wentai Zhang and Ahmad Azeem
Agronomy 2025, 15(12), 2859; https://doi.org/10.3390/agronomy15122859 - 12 Dec 2025
Abstract
Soil salinization severely constrains agricultural productivity and ecosystem sustainability. Suaeda salsa L. is a representative halophyte and demonstrates strong adaptability and potential for saline–alkali land restoration. To elucidate its physiological responses to salt stress, pot experiments were conducted under four salinity levels, namely [...] Read more.
Soil salinization severely constrains agricultural productivity and ecosystem sustainability. Suaeda salsa L. is a representative halophyte and demonstrates strong adaptability and potential for saline–alkali land restoration. To elucidate its physiological responses to salt stress, pot experiments were conducted under four salinity levels, namely CK (0 mM NaCl), LS (800 mM NaCl), MS (1600 mM NaCl), and HS (2400 mM NaCl), with 20 replicates per treatment, and the dynamics of endogenous hormone were analyzed using targeted metabolomics. The soil salinity levels were prepared by adding NaCl solutions of different molarities to achieve the desired salinity treatments. Results showed that low to moderate salinity (CK-LS: 0–800 mM) promoted growth performance, whereas higher salinity (HS: 2400 mM) significantly inhibited biomass accumulation, plant height, and stem diameter (p < 0.01). Salinity markedly affected nutrient accumulation in Suaeda salsa, with Na increasing up to 222%, K decreasing by 17–33%, Ca by 7–21%, Mg by 35–46%, and S by 45–56% across growth stages, while Fe remained unchanged. Under increasing salinity, stress-related hormones such as abscisic acid, jasmonic acid, salicylic acid, and indole derivatives were upregulated, while gibberellins decreased markedly. Zeatin and its derivatives showed significant increases under MS (p < 0.01). Correlation analysis indicated positive associations of abscisic acid and zeatin with growth traits, and negative correlations for gibberellins (R > 0.6). These findings suggest that Suaeda salsa adapts to saline conditions by modulating hormone-mediated ion balance, osmotic regulation, and defense metabolism, thereby optimizing growth and biomass allocation under salt stress. Full article
17 pages, 1049 KB  
Review
Adipose-Specific Cytokines as Modulators of Reproductive Activity
by Marcelo Martinez-Barbitta, Andrea Biagini, Egidia Costanzi, Margherita Maranesi, Juan García-Díez, Cristina Saraiva, Beniamino Cenci Goga and Massimo Zerani
Biomedicines 2025, 13(12), 3067; https://doi.org/10.3390/biomedicines13123067 - 12 Dec 2025
Abstract
Adipose tissue is characterized by specialized lipid handling cells called adipocytes, which function as the primary energy reservoir. Like many other cell types, adipocytes have highly plastic properties, such as the conversion of white adipocytes into brown or beige adipocytes, which produce heat, [...] Read more.
Adipose tissue is characterized by specialized lipid handling cells called adipocytes, which function as the primary energy reservoir. Like many other cell types, adipocytes have highly plastic properties, such as the conversion of white adipocytes into brown or beige adipocytes, which produce heat, and pink adipocytes into mammary cells synthesizing and secreting milk. Highly specialized adipose tissue depots are present in various species, such as male orangutans with prominent fat-filled facial flanges indicating hierarchical status, or cetaceans with the melon, a specialized adipose tissue for echolocation. Adipose tissue is now considered a true endocrine organ that regulates various physiological mechanisms through the hormonal secretion of adipokines, which modulate systemic metabolism and physiological processes. In particular, the role of adipokines in the control of the reproductive axis and their participation in the regulation of fertility have been widely reported. This review summarizes the current state of research on the effects of adipose-specific cytokines on the male and female reproductive systems. Full article
(This article belongs to the Special Issue Recent Advances in Adipokines (3nd Edition))
Show Figures

Figure 1

26 pages, 924 KB  
Review
Cadmium Tolerance in Tea Plants (Camellia sinensis): Physiological, Biochemical, and Molecular Insights
by Waqar Khan, Binmei Sun, Peng Zheng, Yaxin Deng, Hongbo Zhao and Shaoqun Liu
Horticulturae 2025, 11(12), 1508; https://doi.org/10.3390/horticulturae11121508 - 12 Dec 2025
Abstract
Cadmium (Cd), a toxic and mobile heavy metal, poses significant risks to agricultural systems due to industrial pollution. Tea plants (Camellia sinensis L.) efficiently absorb and accumulate Cd from soil, leading to contamination in leaves. Chronic consumption of Cd-laden tea can cause [...] Read more.
Cadmium (Cd), a toxic and mobile heavy metal, poses significant risks to agricultural systems due to industrial pollution. Tea plants (Camellia sinensis L.) efficiently absorb and accumulate Cd from soil, leading to contamination in leaves. Chronic consumption of Cd-laden tea can cause severe health issues, including neurological, reproductive, and immunological disorders, as well as increased cancer risk. Despite growing concerns, the molecular mechanisms of Cd stress response in tea plants remain poorly understood. Current research highlights key physiological adaptations, including activation of antioxidant defenses and modulation of secondary metabolite pathways, which influence tea quality. Cd disrupts photosynthesis, induces oxidative stress, and alters the biosynthesis of flavor-related compounds. Several critical genes involved in Cd transport (e.g., CsNRAMP5, CsHMA3, CsZIP1), sequestration (CsPCS1), and stress regulation (CsMYB73, CsWRKY53, CsbHLH001) have been identified, offering insights into molecular responses. This review systematically examines Cd dynamics in the soil-tea plant system, its effects on growth, photosynthesis, and quality, and the physiological and biochemical mechanisms underlying Cd tolerance. By consolidating recent findings on Cd-responsive genes and regulatory pathways, this study provides a theoretical foundation for breeding Cd-resistant tea varieties and ensuring production safety. Furthermore, it identifies future research directions, emphasizing the need for deeper mechanistic insights and practical mitigation strategies. These advancements will contribute to safer tea consumption and sustainable cultivation practices in Cd-contaminated regions. Full article
(This article belongs to the Section Biotic and Abiotic Stress)
14 pages, 709 KB  
Systematic Review
The Impact of Mindfulness Interventions upon Visual Attention and Attentional Bias Towards Food Cues: A Systematic Review
by Ryan Duffy and Tuki Attuquayefio
Nutrients 2025, 17(24), 3885; https://doi.org/10.3390/nu17243885 - 12 Dec 2025
Abstract
Background/Objectives: The so-called ‘Western diet’ characterised by the frequent consumption of high energy-dense (HED) food is linked with overeating, obesity, and an array of physiological and weight-related health complications. Attentional biases to HED food, which have been identified as a key mechanism promoting [...] Read more.
Background/Objectives: The so-called ‘Western diet’ characterised by the frequent consumption of high energy-dense (HED) food is linked with overeating, obesity, and an array of physiological and weight-related health complications. Attentional biases to HED food, which have been identified as a key mechanism promoting overeating, arise when reward-driven automatic processes impair the internal states responsible for regulating hunger and satiety. Emerging mindfulness-based interventions show promise in attenuating attentional biases by training controlled processes and enhancing the self-regulatory mechanisms required to override reward-driven automatic processing. Methods: Following PRISMA 2020 guidelines and PICOS strategy, this systematic review collates and synthesises current research on the impact of mindfulness interventions on visual attention and attentional bias to food cues in adults. Searches were conducted in Web of Science, PubMed, Scopus, Springer Nature, MEDLINE, Embase, and CINAHL in September 2025. Results: Findings obtained from six eligible studies were mixed indicating that mindfulness interventions significantly reduced attentional bias to HED, whereas other interventions indirectly enhanced self-regulatory systems such as hedonic hunger and craving without directly modifying attention. Additional findings highlight reductions in physiological reactivity, increased interoceptive awareness, and savouring. Conclusions: Overall findings suggest that mindfulness-based practices hold preliminary but promising potential to subdue attentional biases to HED food and disrupt unhealthy eating habits influenced by the Western diet. However, the limited number of studies, small sample sizes, methodological heterogeneity, and lack of mechanistic clarity indicate that such conclusions should be interpreted with caution. More robust and standardised research is warranted to determine whether mindfulness can produce durable, real-world behavioural change. Full article
(This article belongs to the Section Nutrition and Neuro Sciences)
Show Figures

Figure 1

26 pages, 910 KB  
Review
Inflammatory and Redox Mediators in Rat and Human Ovulation
by Dorottya Varga, Péter Szatmári and Eszter Ducza
Int. J. Mol. Sci. 2025, 26(24), 11979; https://doi.org/10.3390/ijms262411979 - 12 Dec 2025
Abstract
Ovulation is a critical event in mammalian reproduction, a complex process that involves the release of a mature oocyte from the ovaries for fertilization. Hormonal shifts are the driving force of the ovulation cycle; however, several other factors are able to fine-tune the [...] Read more.
Ovulation is a critical event in mammalian reproduction, a complex process that involves the release of a mature oocyte from the ovaries for fertilization. Hormonal shifts are the driving force of the ovulation cycle; however, several other factors are able to fine-tune the occurrence of follicular rupture. Prior to the follicular rupture, the pre-ovulatory luteinizing hormone (LH) surge triggers a self-generating local inflammatory and redox cascade, which is responsible for the release of several inflammatory and redox signaling mediators. Eicosanoids are one of the key regulators of the initiation of the local inflammation within the follicle, while the balance of reactive oxygen species and antioxidants is fundamental to maintaining the physiologically coordinated redox state during the ovulation process. In this review, we aim to provide a summary of the human menstrual and rat estrus cycles and demonstrate the LH-induced inflammatory and redox cascade involved in follicle rupture through the details of lipid-derived and redox signaling mediators. Full article
(This article belongs to the Section Molecular Immunology)
Show Figures

Figure 1

12 pages, 719 KB  
Review
Clinical Strategies for Counteracting Human Ovarian Aging: Molecular Background, Update, and Outlook
by Jan Tesarik and Raquel Mendoza Tesarik
Int. J. Mol. Sci. 2025, 26(24), 11973; https://doi.org/10.3390/ijms262411973 - 12 Dec 2025
Abstract
Ovarian aging (OA) results from the senescence of different cell types present in the ovary, decreasing female fertility and quality of life and augmenting the risk of a variety of fertility-unrelated pathological conditions. The changes observed in the ovarian cells are accompanied by [...] Read more.
Ovarian aging (OA) results from the senescence of different cell types present in the ovary, decreasing female fertility and quality of life and augmenting the risk of a variety of fertility-unrelated pathological conditions. The changes observed in the ovarian cells are accompanied by changes occurring in various elements of the hypothalamic–pituitary–ovarian (HPO) axis, the complex endocrine system that regulates the female reproductive cycle. Issues pertaining to the HPO axis have been addressed in animal models via hormonal treatments with preparations inhibiting ovarian follicular recruitment at the level of the receptors of gonadotropin-releasing hormone (GnRH)-secreting neurons, mainly acting on glutamate- and gamma-aminobutyric acid (GABA)-driven signaling. GnRH agonists and antagonists have also been used in women exposed to chemotherapeutics. HPO-independent OA can be delayed through the administration of different antioxidants and mitochondria-protecting agents, among which melatonin has been shown to be particularly useful. Other therapeutic approaches used with success in women include hormonal and growth factor (GF) modulators, such as growth hormone (GH), insulin-like growth factor 1 (IGF-1), vascular endothelial growth factors (VEGF), and dehydroepiandrosterone (DHEA), and the development of patient-tailored combination-based therapies (IGF-1 + VEGF + DHEA) has also been suggested. Intraovarian injection of autologous platelet-rich plasma (PRP), mitochondrial donation through pronuclear transfer, and ovarian tissue cryopreservation and autotransplantation have also yielded promising results in women, and their use can preserve not only fertility but also the ovarian endocrine function. Personalized mixtures of specific agents (desatinib, quercetin, rapamycin, metformin, resveratrol, melatonin, and coenzyme Q10) targeting different cell types in the ovary are currently under investigation. Overall, this review aims to present a global view of the subject, uniting the physiological and molecular background of this pathology with the history and development of potential treatment strategies and new perspectives in this domain. As such, this study may be helpful both to clinicians facing problems resulting from OA and to researchers pursuing further developments in this field. Full article
(This article belongs to the Special Issue Molecular Research on Embryo Developmental Potential: 2nd Edition)
Show Figures

Graphical abstract

30 pages, 1235 KB  
Review
Molecular Perspective on Proteases: Regulation of Programmed Cell Death Signaling, Inflammation and Pathological Outcomes
by Aafreen Ansari, Kishu Ranjan, Ashish Kumar and Chandramani Pathak
J. Mol. Pathol. 2025, 6(4), 32; https://doi.org/10.3390/jmp6040032 - 12 Dec 2025
Abstract
Proteases are essential enzymes that regulate numerous physiological processes and cellular signaling networks to maintain homeostasis and cellular fate. This regulation is mediated by a group of proteases with the primary function of cleaving peptide bonds, thereby modulating the activity of proteins for [...] Read more.
Proteases are essential enzymes that regulate numerous physiological processes and cellular signaling networks to maintain homeostasis and cellular fate. This regulation is mediated by a group of proteases with the primary function of cleaving peptide bonds, thereby modulating the activity of proteins for vital functions and influencing various cellular and physiological functions including digestion, absorption, cellular signaling, apoptosis, inflammation, immune response, cell growth, differentiation, cell death, and reproduction. Proteases define the fate of cells by modulating the downstream signal transduction pathways for modalities of cell death known as apoptosis, necroptosis, pyroptosis, and autophagy. Similarly, during inflammatory stimulation, proteases orchestrate a cascade of pathways that optimize the immune response to pathogens. Proteases play a crucial role in the pathogenesis of various human diseases, including cancer, metabolic, inflammatory, and neurological disorders. The activation of specific proteases determines the outcomes of different forms of cell death inflammation and imbalance may cause various pathological manifestations highlighted in this review. Understanding protease-mediated signaling mechanisms is therefore vital for elucidating disease pathogenesis and identifying potential therapeutic targets. Full article
Show Figures

Figure 1

31 pages, 836 KB  
Review
Core Circadian Protein BMAL1: Implication for Nervous System Functioning and Its Diseases
by Kristina V. Smirnova, Liudmila P. Smirnova and Tamara G. Amstislavskaya
Brain Sci. 2025, 15(12), 1321; https://doi.org/10.3390/brainsci15121321 - 11 Dec 2025
Abstract
The brain and muscle ARNT-like 1 protein, also known as BMAL1 or ARNTL1, is one of the key transcriptional regulators of circadian rhythms that controls the diurnal dynamics of a wide range of behavioral, hormonal, and biochemical factors in most living creatures around [...] Read more.
The brain and muscle ARNT-like 1 protein, also known as BMAL1 or ARNTL1, is one of the key transcriptional regulators of circadian rhythms that controls the diurnal dynamics of a wide range of behavioral, hormonal, and biochemical factors in most living creatures around the Earth. This protein also regulates many physiological processes, and its disruption leads to pathological conditions in organisms, including nervous system disorders. The high evolutionary conservativity of BMAL1 allows for the construction of in vitro and in vivo models using experimental animals and the investigation of BMAL1-dependent molecular mechanisms of these diseases. In this review, we have collected data from human and animal studies concerning the roles of BMAL1 in processes such as neuroinflammation, trauma and neurodegeneration, neurodevelopment and myelinization, mood disorders, addictions, cognitive functions, and neurosignaling. Additionally, we provide information about the biochemical regulation of BMAL1 and pharmacological approaches to change its activity. Here, we conclude that BMAL1 functions in the nervous system go far beyond circadian rhythm regulation in most cell types, including neurons, glial cells, and microglial cells. Under pathological conditions, lack or overexpression of this protein can exert both protective and destructive effects. Thus, proper therapeutic modulation of BMAL1 activity is a promising approach for improving nervous system disorders. Full article
Show Figures

Figure 1

24 pages, 1274 KB  
Review
The Non-Coding RNome Landscape in Erythropoiesis: Pathophysiological Implications
by Emma Brisot, Laurent Metzinger and Valérie Metzinger-Le Meuth
Cells 2025, 14(24), 1971; https://doi.org/10.3390/cells14241971 - 11 Dec 2025
Abstract
Erythropoiesis is a multistage process critical for red blood cell production and systemic oxygen transport. It is tightly regulated, and recent advances have highlighted the pivotal regulatory roles of non-coding RNAs (ncRNAs), particularly microRNAs (miRNAs) and long non-coding RNAs (lncRNAs), in governing both [...] Read more.
Erythropoiesis is a multistage process critical for red blood cell production and systemic oxygen transport. It is tightly regulated, and recent advances have highlighted the pivotal regulatory roles of non-coding RNAs (ncRNAs), particularly microRNAs (miRNAs) and long non-coding RNAs (lncRNAs), in governing both physiological and pathological erythropoiesis. These ncRNAs have roles in the fine-tuning of the classical transcriptional and post-transcriptional control. This review explores the complex landscape of the non-coding RNome in erythroid differentiation, maturation, and function. We summarize how specific miRNAs influence erythroid lineage commitment, hemoglobin switching, iron metabolism, and cellular morphology, as well as their modulation by environmental and pathological cues. We also discuss emerging evidence on lncRNAs regulating chromatin remodeling, alternative splicing, apoptosis, enucleation, and erythroid-specific gene expression. These insights suggest that ncRNAs are instrumental orchestrators of erythropoiesis and accordingly, potential biomarkers and therapeutic targets in anemia and related hematologic disorders. Full article
Show Figures

Figure 1

17 pages, 1387 KB  
Review
The Mechanisms of Bacillus subtilis as a Plant-Beneficial Rhizobacterium in Plant–Microbe Interactions
by Mark Owusu Adjei, Ruohan Yu, Xianming Cao and Ben Fan
Microorganisms 2025, 13(12), 2823; https://doi.org/10.3390/microorganisms13122823 - 11 Dec 2025
Abstract
The rhizosphere is a dynamic microenvironment where plants interact with diverse native microbial communities that significantly influence growth, health, and resilience. Among plant-growth-promoting rhizobacteria, Bacillus subtilis stands out as a multifunctional species with exceptional ability to colonize plant roots, form robust biofilm, and [...] Read more.
The rhizosphere is a dynamic microenvironment where plants interact with diverse native microbial communities that significantly influence growth, health, and resilience. Among plant-growth-promoting rhizobacteria, Bacillus subtilis stands out as a multifunctional species with exceptional ability to colonize plant roots, form robust biofilm, and confer protection against diseases. Its resilience as a spore-former, genetic ability to produce active compounds such as antibiotics, and phytohormones make it a valuable species for agriculture and forest sustainability. This review reveals the molecular and physiological mechanisms underlying B. subtilis interactions with plants, focusing on biofilm formation, root colonization, biocontrol and disease suppression, and promotion of plant growth. We further examine its role in root colonization, which triggers extensive reprogramming of plant gene expression, thereby integrating growth promotion with enhanced immune competence through a network that regulates plant-beneficial traits. Its genomic regulation supports colonization, stress tolerance, and immune support, while synergistic interactions with other microbes highlight its adaptability. As a versatile bio-fertilizer and biocontrol agent, further study of its strain-specific traits and rhizosphere interactions is key to maximizing its role in sustainable agriculture and forest control under environmental changes. Full article
(This article belongs to the Collection Feature Papers in Plant Microbe Interactions)
Show Figures

Figure 1

14 pages, 2538 KB  
Article
Integrated Role of Arginine Vasotocin in the Control of Spermatogenesis in Zebrafish
by Maya Zanardini and Hamid R. Habibi
Int. J. Mol. Sci. 2025, 26(24), 11938; https://doi.org/10.3390/ijms262411938 - 11 Dec 2025
Abstract
Arginine vasotocin (AVT) has recently emerged as a local regulator of testicular function in fish. Using ex vivo culture system, it was demonstrated that AVT directly stimulates androgen-dependent basal spermatogenesis in zebrafish. In the presence of gonadotropins, AVT enhanced FSH-induced development of early [...] Read more.
Arginine vasotocin (AVT) has recently emerged as a local regulator of testicular function in fish. Using ex vivo culture system, it was demonstrated that AVT directly stimulates androgen-dependent basal spermatogenesis in zebrafish. In the presence of gonadotropins, AVT enhanced FSH-induced development of early phases of spermatogonial proliferation while blocking FSH-mediated spermiogenesis. However, AVT promoted proliferation of LH-induced pre-meiotic and meiotic germ cell populations without affecting the final stages of spermiogenesis. These findings led to the hypothesis that AVT plays a role by promoting early germ cell proliferation and differentiation while simultaneously inhibiting premature progression through spermiogenesis. To test this hypothesis, we investigated the chronic effects of AVT on adult zebrafish testes, in vivo. Prolonged AVT treatment for 21 days led to dose-dependent accumulation of undifferentiated type A spermatogonia and reduced post-meiotic germ cells and spermatozoa. We also observed decreased plasma 11-ketotestosterone (11-KT) levels and downregulation of fshr. This was accompanied by a basal suppression of avt and its receptors, avpr1aa, avpr1ab, avpr2aa, avpr2ab, avpr2l, in both brain and testis during the pre-spawning phase. The present findings, along with those of previously published studies, collectively demonstrate that AVT presence during the early stages of testicular development promotes spermatogonia proliferation while diminishing FSH-induced premature progress toward spermatogenesis. This occurs until later stages, when AVT expression is diminished, allowing for optimal LH-induced spermiogenesis in zebrafish. Full article
(This article belongs to the Special Issue Molecular Mechanisms of Reproduction and Reproductive Diseases)
Show Figures

Figure 1

26 pages, 1189 KB  
Systematic Review
Color in Urban Public Spaces: A Systematic Review for Evidence-Based Design
by Xiaoting Cheng, Guiling Zhao and Meng Xie
Buildings 2025, 15(24), 4474; https://doi.org/10.3390/buildings15244474 - 11 Dec 2025
Abstract
Color in urban public spaces is often approached as an aesthetic issue, yet it also governs psychological responses, legibility and safety, place identity, and environmental performance. Despite three decades of research, planners and designers still lack measurable, audit-ready guidance that links color decisions [...] Read more.
Color in urban public spaces is often approached as an aesthetic issue, yet it also governs psychological responses, legibility and safety, place identity, and environmental performance. Despite three decades of research, planners and designers still lack measurable, audit-ready guidance that links color decisions to verifiable outcomes. This paper presents a systematic review that consolidates evidence from environmental psychology, architecture and urban design, cultural studies, and building and urban physics. Studies were screened for outdoor or outward-facing settings and for explicitly reported color variables and performance indicators. The findings are organized into four domains in which color operates as a system variable: psychological and physiological effects; cultural expression and place identity; functional zoning and wayfinding; and sustainability and environmental adaptation. Across these domains, the review identifies robust patterns—such as the central role of luminance and saturation in shaping affect, attention, and visibility—while highlighting where outcomes are strongly conditioned by cultural, climatic, and material context. On this basis, the paper proposes an Objective–Strategy–Metric–Validation (OSMV) framework that connects design objectives to color strategies, quantitative metrics (e.g., color difference, contrast, and reflectance measures), and procedures for simulation or field validation. Framed in this way, color emerges not as a decorative accessory but as a measurable design variable that can be integrated into performance-based planning, regulation, and multi-objective optimization of urban public spaces. Full article
(This article belongs to the Section Architectural Design, Urban Science, and Real Estate)
Show Figures

Figure 1

18 pages, 5812 KB  
Article
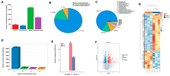
Phosphoproteomic Analysis Reveals Differences in Intercellular Spread Among Feline Herpesvirus Type 1 Mutants
by Weiwei Lin, Xianglin Zhang, Qian Jiang, Hongtao Kang, Yijing Li, Honglin Jia and Jiasen Liu
Vet. Sci. 2025, 12(12), 1185; https://doi.org/10.3390/vetsci12121185 - 11 Dec 2025
Abstract
Feline herpesvirus-1 (FHV-1) is taxonomically classified within the family Herpesviridae, subfamily Alphaherpesvirinae, genus Varicellovirus, and species Felid alphaherpesvirus 1. The genome of FHV-1 is 135,797 bp in length and encodes 74 proteins. Among these proteins, serine/threonine protein kinase (pK) and thymidine kinase (TK) [...] Read more.
Feline herpesvirus-1 (FHV-1) is taxonomically classified within the family Herpesviridae, subfamily Alphaherpesvirinae, genus Varicellovirus, and species Felid alphaherpesvirus 1. The genome of FHV-1 is 135,797 bp in length and encodes 74 proteins. Among these proteins, serine/threonine protein kinase (pK) and thymidine kinase (TK) have been identified as potential virulence factors in alphaherpesviruses, although these kinases are dispensable for viral replication. As kinases, regulating phosphorylation modification is one of their functions, while the mechanism by which phosphorylation modification affects cell physiological functions and thereby influences viral replication remains unclear. In this study, we generated pK- and TK-deficient FHV-1 mutants by CRISPR/Cas9-mediated homologous recombination. The pK-deficient virus produced significantly smaller plaques than the TK-deficient virus. The replication kinetics of the pK-deficient virus were attenuated in multistep growth compared to the TK-deficient virus. These results indicate that deletion of the pK gene markedly reduces the replicative capacity of FHV-1. We applied data-independent acquisition (DIA) quantitative proteomics to profile changes in global protein expression and phosphorylation in F81 cells upon infection with TK, pK−, and wild-type FHV-1 strain. The pK-deficient virus exhibited 3632 differentially phosphorylated proteins containing 11,936 modification sites; the TK-deficient virus showed 4529 differentially phosphorylated proteins with 19,225 phosphorylation sites. Functional characterization through Gene Ontology (GO) and Kyoto Encyclopedia of Genes and Genomes (KEGG) enrichment analyses identified significant involvement of phosphoproteins in spliceosome pathways in pK-deficient virus and ATP-dependent chromatin remodeling pathway in TK-deficient virus. Notably, several splicing regulators—including Ess-2 and CDK13, which modulate host spliceosomal function—displayed significantly reduced phosphorylation levels in pK-deficient viruses. A significant enrichment of ATP-dependent factors, such as SMARCA5 and RSF1, was observed in the TK-deficient virus. To our knowledge, this is the first investigation into the effects of FHV-1 infection on the host cell phosphoproteome. These data offer new insights into the phosphoregulatory circuits and signaling networks triggered by FHV-1 and may enhance our understanding of the FHV-1 replication mechanism. Full article
(This article belongs to the Special Issue Advanced Therapy in Companion Animals—2nd Edition)
Show Figures

Figure 1

24 pages, 13046 KB  
Article
Integrated Transcriptomic and Physiological Data Offer Novel Insights into Viability Changes in Paeonia lactiflora Seeds After Cryopreservation
by Ruifen Ren, Zhe Ji, Qinlu Zhu, Bairu Zhang and Xiuyun Yang
Horticulturae 2025, 11(12), 1494; https://doi.org/10.3390/horticulturae11121494 - 10 Dec 2025
Abstract
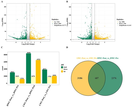
While water content is a critical factor affecting the outcome of cryopreservation, the mechanism by which it influences seed viability after cryopreservation remains unclear. In this study, Paeonia lactiflora seeds with different water content as experimental materials, analyzed the seed viability, oxidative stress [...] Read more.
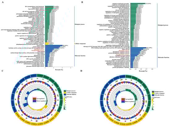
While water content is a critical factor affecting the outcome of cryopreservation, the mechanism by which it influences seed viability after cryopreservation remains unclear. In this study, Paeonia lactiflora seeds with different water content as experimental materials, analyzed the seed viability, oxidative stress indicators, and transcriptomics before and after cryopreservation, to explore the mechanism of the seed viability changes. The results demonstrated that after cryopreservation, seeds with high water content displayed reduced viability, along with abnormal accumulation of reactive oxygen species (ROS) content, which subsequently triggered ROS-mediated oxidative damage. In contrast, seeds with low water exhibited enhanced following cryopreservation, their ROS levels remained relatively stable, while notable alterations were detected in multiple antioxidant system parameters. At the transcriptional level, 1224 differentially expressed genes (DEGs) up-regulated and 1839 DEGs were down-regulated in seeds with high water content after cryopreservation, but 2090 DEGs up-regulated and 1783 DEGs down-regulated in the seeds with low water content. Among them, 687 DEGs were common to both the high- and low-water content seed groups. Gene Ontology (GO) functional analysis indicated that these DEGs are primarily involved physiological metabolic processes including osmotic response, glucosidase activity, protein kinase binding, and response to hydrogen peroxide. Kyoto Encyclopedia of Genes and Genomes (KEGG) pathway enrichment analysis confirmed that the Mitogen-Activated Protein Kinase (MAKP) plant signaling pathway and the starch and sucrose metabolism pathway are the key pathways governing the response of seeds with varying water contents to cryopreservation. Finally, through weighted gene co-expression network pinpointed DHN1 and LEA34 as the core genes regulating changes in seed viability after cryopreservation. These findings offer a broader perspective for in-depth exploration of the molecular regulatory mechanisms underlying the differences in seed viability changes after cryopreservation and are crucial for comprehensively clarifying the precise pathways via which these key genes regulate seed viability changes after cryopreservation. Full article
(This article belongs to the Section Propagation and Seeds)
Show Figures

Figure 1

Back to TopTop