Sign in to use this feature.

Years

Between: -

Subjects

remove_circle_outline
remove_circle_outline
remove_circle_outline
remove_circle_outline
remove_circle_outline
remove_circle_outline
remove_circle_outline
remove_circle_outline
remove_circle_outline

Journals

remove_circle_outline
remove_circle_outline
remove_circle_outline
remove_circle_outline
remove_circle_outline
remove_circle_outline
remove_circle_outline
remove_circle_outline
remove_circle_outline
remove_circle_outline
remove_circle_outline
remove_circle_outline

Article Types

Countries / Regions

remove_circle_outline
remove_circle_outline
remove_circle_outline

Search Results (772)

Search Parameters:
Keywords = phosphate transporters

Order results
Result details
Results per page
Select all
Export citation of selected articles as:
18 pages, 4722 KB  
Article
Quantitative and Comparative Assessment of Recombinant Human β-Glucocerebrosidase Uptake Bioactivity Using a Stable hMMR-Expressing CHO Cell Model
by Lyuyin Wang, Kaixin Xu, Ping Lyu, Xinyue Hu and Jing Li
Molecules 2026, 31(2), 235; https://doi.org/10.3390/molecules31020235 - 10 Jan 2026
Viewed by 150
Abstract
Inconsistent conclusions on the cellular uptake of recombinant human β-glucocerebrosidase (rhGCase) for Gaucher disease stem from a fundamental limitation of existing methods: their inability to generate complete and reliable dose–response curves. This critical flaw, stemming from susceptibility to various experimental variables, prevents accurate [...] Read more.
Inconsistent conclusions on the cellular uptake of recombinant human β-glucocerebrosidase (rhGCase) for Gaucher disease stem from a fundamental limitation of existing methods: their inability to generate complete and reliable dose–response curves. This critical flaw, stemming from susceptibility to various experimental variables, prevents accurate potency comparison across different rhGCase products. To address this, we developed a robust bioassay using CHO-K1 cells stably expressing the human macrophage mannose receptor (hMMR). Our method quantifies uptake by measuring the enzymatic activity of internalized rhGCase and consistently produces a classic sigmoidal dose–response curve. Comprehensive validation and mechanistic studies, including inhibition experiments with mannose, fucose, and mannose-6-phosphate, confirmed that uptake is specifically mediated by hMMR, with successful enzyme transport to endosomes/lysosomes. Applying this assay to three commercial products yielded results contrary to prior literature: imiglucerase demonstrated superior uptake activity to velaglucerase alfa. The proposed method represents a significant improvement over existing assays, providing a more accurate and reproducible means to evaluate cellular uptake bioactivity, which is crucial for the quality control of rhGCase therapeutics. Full article
Show Figures

Graphical abstract

20 pages, 14945 KB  
Article
Study on the Transport Law and Corrosion Behavior of Sulfate Ions of a Solution Soaking FA-PMPC Paste
by Yuying Hou, Qiang Xu, Tao Li, Sha Sa, Yante Mao, Caiqiang Xiong, Xiamin Hu, Kan Xu and Jianming Yang
Materials 2026, 19(1), 202; https://doi.org/10.3390/ma19010202 - 5 Jan 2026
Viewed by 182
Abstract
To study the sulfate corrosion behavior of potassium magnesium phosphate cement (PMPC) paste, the sulfate content, strength, and length of PMPC specimens were measured at different corrosion ages under 5% Na2SO4 solution soaking conditions, and the phase composition and microstructure [...] Read more.
To study the sulfate corrosion behavior of potassium magnesium phosphate cement (PMPC) paste, the sulfate content, strength, and length of PMPC specimens were measured at different corrosion ages under 5% Na2SO4 solution soaking conditions, and the phase composition and microstructure were analyzed. The conclusion is as follows: In PMPC specimens subjected to one-dimensional SO42− corrosion, the relation between the diffusion depth of SO42− (h) and the SO42− concentration (c (h, t)) can be referred by a polynomial very well. The sulfate diffusion coefficient (D) of PMPC specimens was one order of magnitude lower than Portland cement concrete (on the order of 10−7 mm2/s). The surface SO42− concentration c (0, t), the SO42− computed corrosion depth h00, and D of FM2 specimen containing 20% fly ash (FA) were all less than those of the FM0 specimen (reference). At 360-day immersion ages, the c (0, 360 d) and h00 in FM2 were obviously smaller than those in FM0, and the D of FM2 was 64.2% of FM0. The strengths of FM2 specimens soaked for 2 days (the benchmark strength) were greater than those of FM0 specimens. At 360-day immersion ages, the residual flexural/compressive strength ratios (360-day strength/benchmark strength) of FM0 and FM2 specimens were all larger than 95%. The volume linear expansion rates (Sn) of PMPC specimens continued to increase with the immersion age, and Sn of FM2 specimen was only 49.5% of that of the FM0 specimen at 360-day immersion ages. The results provide an experimental basis for the application of PMPC-based materials. Full article
(This article belongs to the Topic Advanced Composite Materials)
Show Figures

Figure 1

14 pages, 6848 KB  
Article
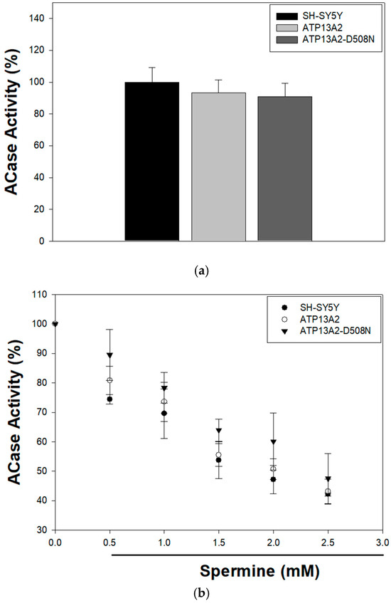
ATP13A2-Mediated Spermine Export Modulates Lipid Catabolism in the Endolysosomal System of SH-SY5Y Cells
by Alejandra L. Marcos, Mariela M. Gironacci and Felicitas de Tezanos Pinto
Int. J. Mol. Sci. 2026, 27(1), 484; https://doi.org/10.3390/ijms27010484 - 2 Jan 2026
Viewed by 264
Abstract
Dysfunction of the membrane transporter P5B-ATPase 13A2 (ATP13A2) has been linked to neurodegenerative disorders, while its overexpression has been associated with colorectal cancer. ATP13A2 localizes to lysosomes and late endosomes, where it exports polyamines such as spermine into the cytosol. We previously showed [...] Read more.
Dysfunction of the membrane transporter P5B-ATPase 13A2 (ATP13A2) has been linked to neurodegenerative disorders, while its overexpression has been associated with colorectal cancer. ATP13A2 localizes to lysosomes and late endosomes, where it exports polyamines such as spermine into the cytosol. We previously showed that ATP13A2 expression alters lipid homeostasis and reduces the levels of bis(monoacylglycero)phosphate (BMP), an anionic phospholipid essential for lipid digestion in acidic compartments, suggesting that ATP13A2-mediated spermine export may affect lysosomal lipid catabolism. α/β-hydrolase domain-containing 6 (ABHD6), the enzyme responsible for BMP catabolism, was detected by immunofluorescence and immunoblot analysis in SH-SY5Y cells overexpressing human ATP13A2 and treated with spermine. The activities of the lipid-degrading hydrolases acid ceramidase (ACase) and glucocerebrosidase (GCase) were measured using specific fluorogenic substrates. ATP13A2-expressing cells showed higher ABHD6 expression, and spermine treatment promoted its translocation to the cytoplasm. Spermine induced a transient increase in ACase activity, followed by a stronger inhibition in ATP13A2-expressing cells. Moreover, GCase activity was elevated in these cells but also showed greater spermine-induced inhibition. Altogether, these results suggest that ATP13A2-mediated spermine export modulates the lipid digestion capacity of the endolysosomal system and support a functional interplay between polyamine and lipid metabolism in these organelles. Full article
(This article belongs to the Special Issue Molecular Mechanisms Governing Lipid Metabolism in Health and Disease)
Show Figures

Graphical abstract

16 pages, 7449 KB  
Article
Silencing of the Mycorrhiza-Inducible Phosphate Transporter TaPT3-2D in Wheat Enhances Pathogen Susceptibility and Impairs Arbuscular Mycorrhizal Symbiosis
by Yi Zhang, Danfeng Wang, Yuchen Ma, Xueqing Wang, Kedong Xu, Xiaoli Li, Xinxin Shangguan, Haohao Cao, Guozhang Kang and Chengwei Li
Plants 2026, 15(1), 118; https://doi.org/10.3390/plants15010118 - 1 Jan 2026
Viewed by 280
Abstract
The interplay between phosphate (Pi) signaling and defense pathways is crucial for plant fitness, yet its molecular basis, particularly in wheat, remains poorly understood. Here, we functionally characterized the plasma membrane-localized high-affinity phosphate transporter TaPT3-2D and demonstrated its essential roles in Pi uptake, [...] Read more.
The interplay between phosphate (Pi) signaling and defense pathways is crucial for plant fitness, yet its molecular basis, particularly in wheat, remains poorly understood. Here, we functionally characterized the plasma membrane-localized high-affinity phosphate transporter TaPT3-2D and demonstrated its essential roles in Pi uptake, arbuscular mycorrhizal (AM) symbiosis, and fungal disease resistance. Quantitative analyses showed that TaPT3-2D expression was strongly induced by AM colonization (165-fold increase) and by infection with Bipolaris sorokiniana (54-fold increase) and Gaeumannomyces tritici (15-fold increase). In contrast, virus-induced gene silencing (VIGS) of TaPT3-2D reduced Pi uptake and mycorrhizal colonization. Moreover, TaPT3-2D-silenced plants exhibited increased susceptibility to biotrophic, hemibiotrophic, and necrotrophic fungi, accompanied by reduced expression of pathogen-related genes. The simultaneous impairment of Pi uptake, AM symbiosis, and defense responses in silenced plants indicates that TaPT3-2D functionally couples these processes. Functional complementation assays in low-Pi medium further revealed that TaPT3-2D partially rescued defective Pi uptake in mutant MB192 yeast, supporting its role as a high-affinity phosphate transporter. Collectively, these results identify TaPT3-2D as both a key regulator of individual pathways and as a molecular link connecting Pi homeostasis, symbiotic signaling, and disease resistance in wheat. Full article
(This article belongs to the Special Issue Fungal–Plant Interactions: From Symbiosis to Pathogenesis)
Show Figures

Figure 1

18 pages, 7191 KB  
Article
Characterization of the PHO1 Gene Family in Vigna radiata L. and Its Expression Analysis Under Phosphate-Deficient Stress
by Lina Jiang, Ping Sun, Tingting Zhou, Yang Liu, Zihan Kong, Nan Zhang, Hongli He and Xingzheng Zhang
Genes 2026, 17(1), 25; https://doi.org/10.3390/genes17010025 - 28 Dec 2025
Viewed by 275
Abstract
Background: Phosphorus is an essential nutrient for plant growth and development, playing a multifaceted and vital role in plants. Phosphate Transporter 1 (PHO1) is a class of important functional genes involved in plant phosphorus uptake and transport. We identify PHOSPHATE 1 (PHO1 [...] Read more.
Background: Phosphorus is an essential nutrient for plant growth and development, playing a multifaceted and vital role in plants. Phosphate Transporter 1 (PHO1) is a class of important functional genes involved in plant phosphorus uptake and transport. We identify PHOSPHATE 1 (PHO1) members in mung beans and investigate their response to low phosphorus stress, thereby aiding in the development of stress-tolerant, high-yielding mung bean varieties. Methods: A bioinformatic analysis was performed, which led to the identification of the PHO1 homologue sequence in mung beans. This analysis also elucidated its gene and protein structural characteristics alongside its phylogenetic relationships. qRT-PCR was used to analyze the expression patterns of genes in roots and leaves in response to conditions of prolonged low-phosphorus and phosphorus-deprivation stress. Results: Total PHO1 homologues were identified in mung beans, which can be grouped into 3 groups (Group I-III). Phylogenetic analysis indicates that VrPHO1s shares closer evolutionary relationships with PHO1 in legumes, and exhibits 6 collinear gene pairs with Glycine max (soybean), all with Ka/Ks ratios below 1, suggesting they have undergone purifying selection. The gene promoter region contains multiple cis-acting elements capable of participating in plant growth and development, stress responses, and plant hormone responses. Expression analysis revealed that more VrPHO1 genes responded to phosphorus stress in roots than in leaves; of these, the expression of VrPHO1; H2, VrPHO1; H3, and VrPHO1; H5 genes was significantly induced by continuous phosphorus-deficient stress. Conclusions: This study provides a comprehensive genome-wide identification of the PHO1 family in mung bean and provides valuable candidate gene resources for the future study of their biological functions and regulatory roles in phosphate-deficient stress. Full article
(This article belongs to the Section Plant Genetics and Genomics)
Show Figures

Figure 1

19 pages, 2218 KB  
Article
Analyzing the Specificity of KAWLR Genetic Resources in Afghan Landrace Wheat for Ca-Rich High pH Soil Tolerance Using Proteomics
by Emdadul Haque, Farid Niazi, Xiaojian Yin, Yuso Kobara, Setsuko Komatsu and Tomohiro Ban
Int. J. Mol. Sci. 2026, 27(1), 239; https://doi.org/10.3390/ijms27010239 - 25 Dec 2025
Viewed by 186
Abstract
Breeding wheat varieties that are resilient to arid climates, which impart a complex combination of stresses, including excessive Ca, high pH, nutrient deficiency, and aridity, is important. Afghan landrace wheat is assumed to have evolved with a specific prototypical pattern of traits to [...] Read more.
Breeding wheat varieties that are resilient to arid climates, which impart a complex combination of stresses, including excessive Ca, high pH, nutrient deficiency, and aridity, is important. Afghan landrace wheat is assumed to have evolved with a specific prototypical pattern of traits to adapt to its challenging, composite stress environment. Here, a useful semi-hydroponic double cup screen aiding proteomic analysis was exploited to reconstruct the combined excessive Ca2+ (100 ppm) and extreme pH (11.0) of the soils and to dissect specific morpho-physiological characteristics and adaptation strategies in Kihara Afghan wheat landrace (KAWLR). When compared to other cultivars and growth habits, several winter-type KAWLR showed lower unused N-K-P and greater rhizosphere pH stability in the bottom cup and higher tolerance in terms of greater root allocation shift, and most of their above ground traits (shoot biomass, chlorophyll content, and stomatal conductance) were strongly correlated with root length and biomass under stress conditions. Quantitative proteomics on the roots of a tolerant winter-type KAWLR, Herat-740 (KU-7449), showed a strong decreasing trend in changed proteins (12 increased/816 decreased). The proteins (such as mitochondrial phosphate carrier protein, cytoskeleton-related α-, and β-tubulin) that increased in abundance were associated with energy transport and cell growth. A metabolism overview revealed that most proteins that were mapped to glycolysis, fermentation, and the TCA cycle decreased in abundance. However, proteins related to cell wall and lipid metabolism pathways remained unchanged. Our results suggest that winter-type KAWLR adopts a homeostatic stress adaptation strategy that globally downshifts metabolic activity, while selectively maintaining root growth machinery. Root allocation shift, rhizosphere pH stabilization (nutrient solubilization), and a selective proteome response maintaining the root growth machinery in winter-type KAWLR could be breeding selection markers for early-stage screening in calcareous-alkaline arid land. Full article
Show Figures

Figure 1

34 pages, 21175 KB  
Review
Critical Progress of Mn, Cu, Co, and V-MOFs and Their Derivatives as Promising Electrodes for Aqueous Zn-Ion Batteries
by Ramanadha Mangiri and Joonho Bae
Nanomaterials 2026, 16(1), 33; https://doi.org/10.3390/nano16010033 - 25 Dec 2025
Viewed by 350
Abstract
Metal–organic frameworks (MOFs) have emerged as versatile precursors and templates for developing high-performance electrode materials for aqueous zinc-ion batteries (ZIBs), owing to their adjustable porosity, abundant metal-coordination sites, and structural flexibility. Among the diverse array of MOFs investigated, those based on manganese, copper, [...] Read more.
Metal–organic frameworks (MOFs) have emerged as versatile precursors and templates for developing high-performance electrode materials for aqueous zinc-ion batteries (ZIBs), owing to their adjustable porosity, abundant metal-coordination sites, and structural flexibility. Among the diverse array of MOFs investigated, those based on manganese, copper, and cobalt, as well as their derivatives, have shown exceptional potential, exhibiting enhanced redox activity, structural integrity, and advantageous zinc-ion storage kinetics compared with many other MOF systems. This study emphasizes the synthesis methodologies, structural characteristics, and electrochemical benefits of these three significant MOF families. After a succinct overview of MOF chemistry, synthesis methodologies, and fundamental design principles for ZIB electrode materials, the article presents a systematic, comparative evaluation of Mn-MOFs, Cu-MOFs, Co-MOFs and V-MOFs, along with their corresponding metal oxides, sulfides, phosphates, carbon composites, and multidimensional hybrid structures. Recent publications for each MOF type are detailed in separate tables, including synthesis methods, morphological development, electrochemical behavior, and performance metrics. The discourse highlights the distinct properties of each metal center, Mn’s multivalent redox chemistry, Cu’s superior electron transport and coordination adaptability, and Co’s elevated activity and stable structures, which together facilitate improved ion diffusion, substantial reversible capacity, and prolonged cycling durability. Ultimately, existing obstacles and potential research avenues are delineated to advance MOF-based materials for next-generation aqueous ZIB systems. Full article
Show Figures

Graphical abstract

25 pages, 2567 KB  
Article
Unravelling the Molecular Responses of the Yeast Schwanniomyces etchellsii to Hyperosmotic Stress in Seawater Medium Using Omic Approaches
by Cecilia Andreu, Èlia Obis and Marcel·lí del Olmo
Int. J. Mol. Sci. 2026, 27(1), 183; https://doi.org/10.3390/ijms27010183 - 23 Dec 2025
Viewed by 280
Abstract
Schwanniomyces etchellsii is an unconventional, halotolerant microorganism. Like some other yeasts, it can efficiently perform various biocatalytic transformations of organic compounds in seawater more effectively than in freshwater. In seawater, conversion rates are higher, by-product production is minimized, greater substrate loading is possible, [...] Read more.
Schwanniomyces etchellsii is an unconventional, halotolerant microorganism. Like some other yeasts, it can efficiently perform various biocatalytic transformations of organic compounds in seawater more effectively than in freshwater. In seawater, conversion rates are higher, by-product production is minimized, greater substrate loading is possible, and cells can be recycled for further use. To identify the molecular features that explain this behavior, comparative proteomic and lipidomic studies were conducted on cells grown in seawater and freshwater at various growth stages. The results showed higher expression of proteins involved in the stress response, such as glycerol-3-phosphate dehydrogenase, the glycerol transporter Stl1 and the P-type ATPase sodium pump Ena1, and several phospholipid biosynthesis proteins, including inositol-3-phosphate synthase and phosphatidate cytidylyltransferase, in seawater. Changes in metabolic enzymes and other proteins involved in responding to stimuli were also observed between the two conditions. Overall, cells grown in a freshwater medium exhibited higher levels of enzymes involved in biosynthetic processes. Differences in lipid profiles were also observed between cells grown in the two media. Higher levels of monoacyl and diacylglycerols were found in seawater, while higher levels of phospholipids containing serine and ethanolamine were found in freshwater. Consistent with more permeable membranes, cells grown in seawater exhibited lower levels of ergosterol. Full article
Show Figures

Graphical abstract

38 pages, 12212 KB  
Article
Distribution and Levels of Insulin-like Growth Factor 2 Receptor Across Mouse Brain Cell Types
by Jessica R. Gaunt, Gokul Manoj and Cristina M. Alberini
Receptors 2026, 5(1), 1; https://doi.org/10.3390/receptors5010001 - 23 Dec 2025
Viewed by 257
Abstract
Background: The insulin-like growth factor 2 receptor (IGF-2R), also known as the cation-independent mannose 6-phosphate receptor (CI-M6PR), is emerging as a critical receptor for brain function and disease. IGF-2R, in fact, plays a key role in long-term memory, and its activation by several [...] Read more.
Background: The insulin-like growth factor 2 receptor (IGF-2R), also known as the cation-independent mannose 6-phosphate receptor (CI-M6PR), is emerging as a critical receptor for brain function and disease. IGF-2R, in fact, plays a key role in long-term memory, and its activation by several ligands shows beneficial effects in multiple neurodevelopmental and neurodegenerative disease models. Thus, its targeting is very promising for neuropsychiatric therapeutic interventions. IGF-2R’s main known functions are transport of lysosomal enzymes and regulation of developmental tissue growth, but in the brain, it also controls learning-dependent protein synthesis underlying long-term memory. However, little is known about this receptor in brain cells, including its cell-type-specific and subcellular expression. Methods: We conducted a comprehensive investigation to comparatively assess IGF-2R protein levels in different brain cell types across various brain regions in adult male C57BL/6J mice using dual and multiplex immunofluorescent staining with cell-type-specific markers. The IGF-2R protein distribution was also compared with Igf2r mRNA expression in publicly available single-cell RNA sequencing databases. Results: A ranking of IGF-2R levels in the soma of various cell types in the hippocampus and cortical regions revealed that the highest enrichment is, by far, in excitatory and inhibitory neurons, followed by vascular mural cells and subpopulations of oligodendrocyte lineage cells, with low to undetectable levels in astrocytes, microglia, vascular endothelial cells, and perivascular fibroblasts. High levels of IGF-2R were also found in ependymal cells, choroid plexus epithelial cells, and a subpopulation of meningeal fibroblast-like cells. IGF-2R was found in dendritic and putative axonal compartments throughout the brain, with particularly high levels in the stratum lucidum. The receptor’s protein distribution aligned with that of the mRNA in mouse brain databases. Conclusions: These results suggest that IGF-2R-mediated functions in the brain vary across different cell types and subcellular compartments, with the most active roles in specific subpopulations of neurons, mural cells, ependymal cells, meningeal cells, and cells of the oligodendrocyte lineage. This study advances our understanding of IGF-2R’s distribution in the brain, which is essential for formulating new hypotheses about its functions and therapeutic targeting. Full article
Show Figures

Figure 1

15 pages, 3538 KB  
Article
Carbon Dots Synergizing with Phosphate Starch to Construct Dual Conduction Pathways for High-Performance Smart Packaging Films
by Xiaoxu Zhang, Chengguo Liu, Xiaoqin Yang, Qian Jiang, Can Liu, Ping Zhao and Jingyan Liu
Materials 2025, 18(24), 5644; https://doi.org/10.3390/ma18245644 - 16 Dec 2025
Viewed by 278
Abstract
The advancement of smart packaging technology demands high-performance and sustainable sensing materials. While starch is a biodegradable natural polymer, its inherent high crystallinity restricts charge transport capability. This study developed a novel smart sensing film by incorporating ellagic acid-derived blue, fluorescent carbon dots [...] Read more.
The advancement of smart packaging technology demands high-performance and sustainable sensing materials. While starch is a biodegradable natural polymer, its inherent high crystallinity restricts charge transport capability. This study developed a novel smart sensing film by incorporating ellagic acid-derived blue, fluorescent carbon dots (CDs) into phosphate starch (PS), which is rich in phosphorus. The effects of silver ions (Ag+), sodium carboxymethyl cellulose (CMC), and CDs on the film properties were systematically investigated. Results indicate that CDs act as flexible nano-crosslinkers, forming hydrogen bonds with PS molecular chains and effectively balancing strength and toughness—achieving a tensile strength of 5.1 MPa and an elongation at break of 24.1%. Phosphorus, in synergy with CDs, facilitates an efficient dual conduction pathway for ions and electrons: phosphate groups enable ion transport, while the conjugated carbon cores of the CDs provide electron transport channels. This synergistic effect significantly reduces the film’s electrical impedance from 6.93 × 106 Ω to 1.12 × 106 Ω (a reduction of 84%) and enhances thermal stability, increasing the char residue from 1.1% to 18.3%. The PS/CDs composite film exhibits a strong linear current response to pH in the range of 2–7 (R2 = 0.9450), and shows enhanced discrimination between fresh orange juice (pH = 3.38) and spoiled orange juice (pH = 2.68), with a current change of 0.62 × 10−5 A. Moreover, the film exhibits strong blue fluorescence at 427 nm, with an intensity that shows a pronounced pH-dependent response. This study elucidates the mechanism by which phosphorus and CDs synergistically enhance the sensing performance of starch-based films, offering a new strategy for developing high-performance starch-based materials for smart packaging. Full article
Show Figures

Graphical abstract

16 pages, 5102 KB  
Article
Thermal Performance Assessment of Lithium-Ion Battery Packs Under Air-Cooling Conditions
by Sumol Sae-Heng Pisitsungkakarn, Supanut Chankerd, Supawit Chankerd, Thansita Thomrungpiyathan and Anusak Bilsalam
World Electr. Veh. J. 2025, 16(12), 667; https://doi.org/10.3390/wevj16120667 - 11 Dec 2025
Viewed by 402
Abstract
Electric vehicles (EVs) have garnered significant attention in recent years due to their near-zero carbon dioxide emissions and compatibility with sustainable transportation systems. However, the lack of high-performance batteries remains a major barrier to widespread EV adoption. This study examines the variations in [...] Read more.
Electric vehicles (EVs) have garnered significant attention in recent years due to their near-zero carbon dioxide emissions and compatibility with sustainable transportation systems. However, the lack of high-performance batteries remains a major barrier to widespread EV adoption. This study examines the variations in heat transfer coefficient and surface temperature of prismatic lithium iron phosphate (LiFePO4) battery packs during discharge operations. Experiments were conducted using both forced air convection and natural convection. A wind tunnel was constructed to maintain an ambient temperature of 25 °C. The air flow rates were set at 0, 40, 80, and 120 g/s, while the battery pack spacings were 5, 10, and 15 mm. Discharge rates of 0.50, 0.75, and 1.00 C-rate were also examined. The results reveal that increasing the discharge rate led to a significant and uniform rise in surface temperature across the battery pack. Additionally, the voltage decreased gradually until an approximately 90% depth of discharge, after which it declined rapidly until the battery pack was depleted. Under forced convection, the voltage drop occurred slightly faster than that under natural convection. Greater spacing between battery packs enhanced cooling efficiency. Higher air flow rates increased the convection coefficient, whereas an increased discharge rate elevated the heat generation but reduced the heat convection coefficient. The highest heat dissipation was observed at a battery pack spacing of 15 mm, a discharge rate of 1.00 C, and an air flow rate of 120 g/s. The highest convection coefficient was achieved under the same spacing and air flow rate, but with a discharge rate of 0.50 C-rate. Full article
Show Figures

Figure 1

22 pages, 2186 KB  
Article
Role of Apyrase in Mobilization of Phosphate from Extracellular Nucleotides and in Regulating Phosphate Uptake in Arabidopsis
by Robert D. Slocum, Huan Wang, Xingbo Cai, Alexandra A. Tomasevich, Kameron L. Kubecka, Greg Clark and Stanley J. Roux
Int. J. Mol. Sci. 2025, 26(24), 11857; https://doi.org/10.3390/ijms262411857 - 9 Dec 2025
Viewed by 270
Abstract
Apyrase (nucleotide triphosphate diphosphohydrolase, NTPDase; EC 3.6.1.5) functions in a variety of plant growth and developmental processes, as well as responses to pathogens, in part, by regulating extracellular ATP (eATP) concentrations. In this study, we investigated potential roles of apyrase in the recruitment [...] Read more.
Apyrase (nucleotide triphosphate diphosphohydrolase, NTPDase; EC 3.6.1.5) functions in a variety of plant growth and developmental processes, as well as responses to pathogens, in part, by regulating extracellular ATP (eATP) concentrations. In this study, we investigated potential roles of apyrase in the recruitment of phosphate (Pi) from extracellular nucleotides in Arabidopsis thaliana seedlings that constitutively overexpress apyrase 1 (APY1). Under Pi limitation, both WT and APY1 seedlings had decreased Pi contents and a characteristic remodeling of root system architecture (RSA). This phosphate starvation response (PSR) was prevented by the uptake of Pi released through the metabolism of extracellular NTP, which occurred at a higher rate in APY1 seedlings. APY1 seedlings had higher Pi contents than WT seedlings on Pi-sufficient media supplemented with NTP and exhibited markedly increased LR and root hair (RH) formation. Genome-wide expression profiling revealed that this expanded RSA of APY1 seedlings was correlated with the induction of >100 genes involved in regulation of auxin homeostasis, signaling, and transport, which previous studies have shown to be increased when APY1 is overexpressed. APY1 regulation of [eNTP] and purinergic signaling may thus contribute to modulation of auxin responses, resulting in enhanced uptake of Pi from the medium, including Pi released via eNTP metabolism. Full article
(This article belongs to the Section Molecular Plant Sciences)
Show Figures

Figure 1

24 pages, 3857 KB  
Article
Soil Ca2SiO4 Supplying Increases Drought Tolerance of Young Arabica Coffee Plants
by Miroslava Rakocevic and Rafael Vasconcelos Ribeiro
Plants 2025, 14(23), 3666; https://doi.org/10.3390/plants14233666 - 2 Dec 2025
Viewed by 474
Abstract
Silicon (Si) may benefit the growth and physiology of various cultivated species, especially under stress conditions. Here, we hypothesized that soil Si supplying as Ca2SiO4 would increase the drought tolerance and water use efficiency of young Coffea arabica L. (Arabica [...] Read more.
Silicon (Si) may benefit the growth and physiology of various cultivated species, especially under stress conditions. Here, we hypothesized that soil Si supplying as Ca2SiO4 would increase the drought tolerance and water use efficiency of young Coffea arabica L. (Arabica coffee) plants, by maintaining shoot water status and photosynthesis under low water availability. To test such a hypothesis, morphological and physiological (leaf water potential, leaf gas exchange, photochemical activity, chlorophyll content) traits of coffee plants were evaluated under varying soil Ca2SiO4 applications (0, 3000, 6000 kg ha−1) and water availability. The chemical composition of plant tissues was evaluated under well-watered conditions after six months of Ca2SiO4 application, with fertilized plants showing higher concentrations of Ca (leaves and roots) and B (all plant organs) as compared to plants not supplied with Ca2SiO4 (control treatment). As there were no changes in Si concentration in plant organs under Ca2SiO4 application, our data indicate that the coffee species is a Si non-accumulator, or at least the cultivar ‘Catuaí Vermelho’ evaluated herein. Additionally, the photosynthetic capacity of coffee plants increased with 6000 kg Ca2SiO4 ha−1 compared to the control under well-watered conditions, as given by increases in gross and net photosynthesis under light saturation, light saturation point, maximum RuBisCO carboxylation rate, maximum electron transport-dependent RuBP regeneration, and maximum rate of triose phosphate use. Such photosynthetic improvements underlined high leaf CO2 assimilation, transpiration, carboxylation efficiency, and chlorophyll content in plants grown under Si supplying and well-watered conditions. The negative impact of water deficit on leaf gas exchange was alleviated by Ca2SiO4 application, but the instantaneous water use efficiency was maintained as similar in both water regimes, as expected for Si non-accumulator species. Morphologically, coffee stem diameter was increased under Ca2SiO4 application, regardless of water regime. In conclusion, our data revealed that high Ca2SiO4 doses benefit coffee performance and also suggest that the use of steel slag—an industrial byproduct rich in Ca2SiO4—can be considered as a sustainable practice for residue recycling in agriculture while improving C. arabica growth and physiology under varying water availability. Full article
Show Figures

Graphical abstract

23 pages, 8753 KB  
Article
Deciphering the Relationships Between Soil Enzymatic Activities and N- and P-Cycling Functional Genes Under Long-Term Fertilization
by Dong Xue, Shumiao Jiang, Na Zhao, Mengnan Yao, Enqiang Zhou, Yongqiang Wang, Furong Dong, Xue Gao, Xuejun Wang, Yamei Miao, Libin Wei, Kaihua Wang and Anyong Hu
Microorganisms 2025, 13(12), 2719; https://doi.org/10.3390/microorganisms13122719 - 28 Nov 2025
Viewed by 416
Abstract
Long-term fertilization profoundly influences soil biochemical processes and microbial functionality, yet the coupling mechanisms between soil enzyme activities and functional genes in nutrient cycling remain unclear. This study investigated the effects of different fertilization regimes—nitrogen alone (N), nitrogen–phosphorus–potassium fertilizer (NPK), organic fertilizer (M), [...] Read more.
Long-term fertilization profoundly influences soil biochemical processes and microbial functionality, yet the coupling mechanisms between soil enzyme activities and functional genes in nutrient cycling remain unclear. This study investigated the effects of different fertilization regimes—nitrogen alone (N), nitrogen–phosphorus–potassium fertilizer (NPK), organic fertilizer (M), and combined organic–inorganic fertilizer (MNPK)—on soil properties, enzyme activities, N- and P-cycling-related functional gene abundances, and faba bean (Vicia faba L.) yield in a 45-year ongoing field experiment in subtropical eastern China. Results showed that long-term fertilization significantly affected soil pH, electrical conductivity, nutrient contents, and crop yield. Organic fertilizer addition (M and MNPK) markedly improved soil organic matter, total and available nutrients, and enhanced faba bean grain yield by 75.07–92.79% compared with NPK, whereas NPK had limited benefits on total and available soil nutrients compared with N-only application. Soil enzyme activity analysis revealed that the MNPK treatment achieved the highest urease and neutral protease activities, while acid and alkaline protease activities responded inconsistently. Phosphorus-related enzymes (acid, neutral, and alkaline phosphatases) were strongly stimulated by organic inputs, reflecting enhanced P mineralization potential. Functional gene analysis showed that N-fixation and assimilatory nitrate reduction genes increased under M and MNPK, while N assimilation, N mineralization, anammox, nitrification, denitrification, and dissimilatory nitrate reduction genes were enriched under N treatment. Phosphate uptake and transport genes were upregulated under NPK, M, and MNPK, whereas inorganic P solubilization genes were highest under N. Significant positive correlations were observed among soil enzyme activities, nutrient contents, and faba bean yield, whereas acid and alkaline protease activities showed opposite trends. The relative abundances of N- and P-cycling functional genes exhibited distinct yet coordinated relationships with soil fertility indicators and enzyme activities. These findings provide mechanistic insights into the long-term regulation of soil–microbe interactions and nutrient cycling, offering a scientific basis for sustainable fertilization strategies in agroecosystems. Full article
(This article belongs to the Special Issue Exploring the Diversity of Microbial Applications)
Show Figures

Figure 1

16 pages, 3306 KB  
Article
Porous LiFePO4 Cathode Synthesized via Spray Drying for Enhanced Electrochemical Performance
by Jimin Kim and Seongki Ahn
Energies 2025, 18(23), 6228; https://doi.org/10.3390/en18236228 - 27 Nov 2025
Viewed by 656
Abstract
In this study, a rough-surfaced LiFePO4 (RS-LFP) cathode material with a well-defined porous architecture was successfully synthesized via a scalable, template-assisted spray drying method. The resulting RS-LFP exhibited a high specific surface area of 41.2 m2 g−1, significantly enhancing [...] Read more.
In this study, a rough-surfaced LiFePO4 (RS-LFP) cathode material with a well-defined porous architecture was successfully synthesized via a scalable, template-assisted spray drying method. The resulting RS-LFP exhibited a high specific surface area of 41.2 m2 g−1, significantly enhancing electrode–electrolyte contact. This tailored microstructure, combined with an in-situ-formed carbon network, reduced the charge-transfer resistance and facilitated efficient ion/electron transport. Consequently, the RS-LFP demonstrated outstanding electrochemical performance, including a high initial capacity of ~140 mAh g−1 at 0.2 C, excellent cycling stability with over 95% capacity retention after 30 cycles, and superior rate capability. The RS-LFP also exhibited a remarkable capacity recovery of ~99% when the current returned to 0.2 C. These findings highlight that engineering porous architectures through template-assisted spray drying is a promising and scalable strategy for developing high-performance phosphate-based cathodes for advanced energy storage applications. Full article
Show Figures

Figure 1

Back to TopTop