ATP13A2-Mediated Spermine Export Modulates Lipid Catabolism in the Endolysosomal System of SH-SY5Y Cells
Abstract
1. Introduction
2. Results
2.1. ABHD6 Expression Is Increased in ATP13A2-Expressing Cells and Spermine Treatment Favors Its Translocation Toward the Cytoplasm
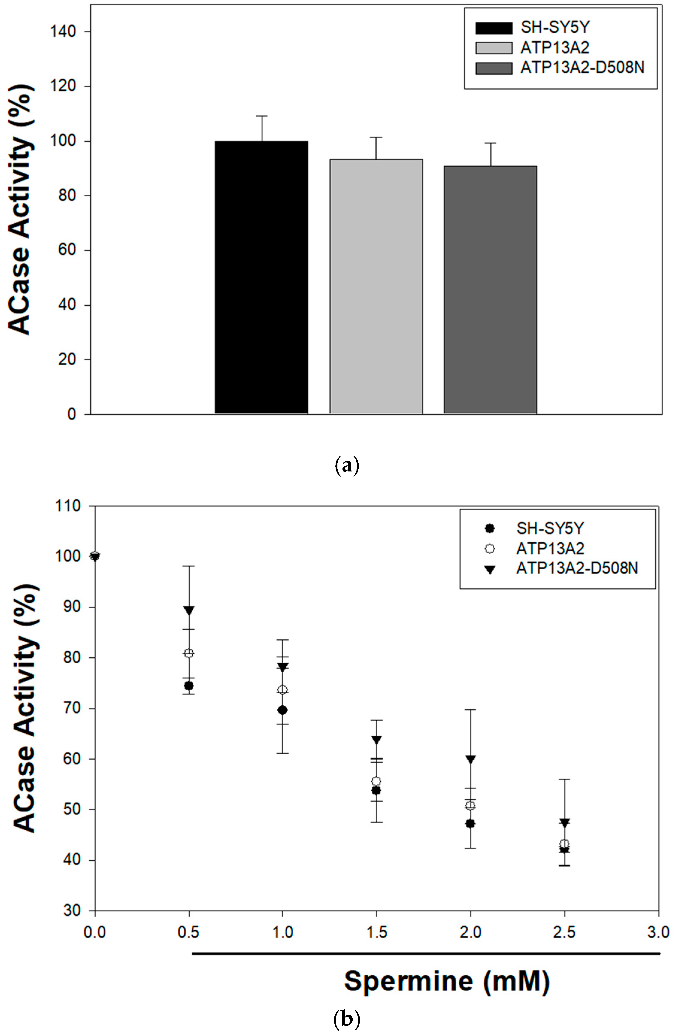
2.2. Acid Ceramidase (ACase) Activity Is Modified by ATP13A2-Mediated Spermine Transport
2.3. Glucosilcerebrosidase (GCase) Activity Is Increased by ATP13A2 Expression, and Spermine Treatment Decreases Its Activity
3. Discussion
4. Materials and Methods
4.1. Materials
4.2. Cell Culture
4.3. ABHD6 Detection by Immunofluorescence
4.4. Subcellular Fractionation
4.5. Acid Ceramidase Activity Assay
4.6. Glucocerebrosidase Activity Assay
4.7. Statistical Analysis
5. Conclusions
Supplementary Materials
Author Contributions
Funding
Institutional Review Board Statement
Informed Consent Statement
Data Availability Statement
Acknowledgments
Conflicts of Interest
Abbreviations
| SH-SY5Y | Human neuroblastoma cell line |
| PBS | Phosphate-Buffered Saline |
| BMP | bis(monoacylglycero)phosphate |
| EDTA | etilendiamintetracetic acid |
| BSA | bovine serum albumin |
| FBS | fetal bovine serum |
References
- Axelsen, K.B.; Palmgren, M.G. Evolution of substrate specificities in the P-type ATPase superfamily. J. Mol. Evol. 1998, 46, 84–101. [Google Scholar] [CrossRef]
- Schultheis, P.J.; Hagen, T.T.; O’Toole, K.K.; Tachibana, A.; Burke, C.R.; McGill, D.L.; Okunade, G.W.; Shull, G.E. Characterization of the P5 subfamily of P-type transport ATPases in mice. Biochem. Biophys. Res. Commun. 2004, 323, 731–738. [Google Scholar] [CrossRef]
- Dehay, B.; Ramirez, A.; Martinez-Vicente, M.; Perier, C.; Canron, M.H.; Doudnikoff, E.; Vital, A.; Vila, M.; Klein, C.; Bezard, E. Loss of P-type ATPase ATP13A2/PARK9 function induces general lysosomal deficiency and leads to Parkinson disease neurodegeneration. Proc. Natl. Acad. Sci. USA 2012, 109, 9611–9616. [Google Scholar] [CrossRef]
- Ramirez, A.; Heimbach, A.; Grundemann, J.; Stiller, B.; Hampshire, D.; Cid, L.P.; Goebel, I.; Mubaidin, A.F.; Wriekat, A.L.; Roeper, J.; et al. Hereditary parkinsonism with dementia is caused by mutations in ATP13A2, encoding a lysosomal type 5 P-type ATPase. Nat. Genet. 2006, 38, 1184–1191. [Google Scholar] [CrossRef] [PubMed]
- Bras, J.; Verloes, A.; Schneider, S.A.; Mole, S.E.; Guerreiro, R.J. Mutation of the parkinsonism gene ATP13A2 causes neuronal ceroid-lipofuscinosis. Hum. Mol. Genet. 2012, 21, 2646–2650. [Google Scholar] [CrossRef] [PubMed]
- Estrada-Cuzcano, A.; Martin, S.; Chamova, T.; Synofzik, M.; Timmann, D.; Holemans, T.; Andreeva, A.; Reichbauer, J.; De Rycke, R.; Chang, D.; et al. Loss-of-function mutations in the ATP13A2/PARK9 gene cause complicated hereditary spastic paraplegia (SPG78). Brain 2017, 140, 287–305. [Google Scholar] [CrossRef]
- Spataro, R.; Kousi, M.; Farhan, S.M.K.; Willer, J.R.; Ross, J.P.; Dion, P.A.; Rouleau, G.A.; Daly, M.J.; Neale, B.M.; La Bella, V.; et al. Mutations in ATP13A2 (PARK9) are associated with an amyotrophic lateral sclerosis-like phenotype, implicating this locus in further phenotypic expansion. Hum. Genom. 2019, 13, 19. [Google Scholar] [CrossRef] [PubMed] [PubMed Central]
- Zhang, F.; Wu, Z.; Yu, B.; Ning, Z.; Lu, Z.; Li, L.; Long, F.; Hu, Q.; Zhong, C.; Zhang, Y.; et al. ATP13A2 activates the pentose phosphate pathway to promote colorectal cancer growth though TFEB-PGD axis. Clin. Transl. Med. 2023, 13, e1272. [Google Scholar] [CrossRef] [PubMed]
- van Veen, S.; Martin, S.; Van den Haute, C.; Benoy, V.; Lyons, J.; Vanhoutte, R.; Kahler, J.P.; Decuypere, J.P.; Gelders, G.; Lambie, E.; et al. ATP13A2 deficiency disrupts lysosomal polyamine export. Nature 2020, 578, 419–424. [Google Scholar] [CrossRef]
- Chen, X.; Zhou, M.; Zhang, S.; Yin, J.; Zhang, P.; Xuan, X.; Wang, P.; Liu, Z.; Zhou, B.; Yang, M. Cryo-EM structures and transport mechanism of human P5B type ATPase ATP13A2. Cell Discov. 2021, 7, 106. [Google Scholar] [CrossRef]
- Sim, S.I.; von Bülow, S.; Hummer, G.; Park, E. Structural basis of polyamine transport by human ATP13A2 (PARK9). Mol. Cell 2021, 81, 4635–4649.e8. [Google Scholar] [CrossRef]
- Tomita, A.; Daiho, T.; Kusakizako, T.; Yamashita, K.; Ogasawara, S.; Murata, T.; Nishizawa, T.; Nurekiy, O. Cryo-EM reveals mechanistic insights into lipid-facilitated polyamine export by human ATP13A2. Mol. Cell 2021, 81, 4799–4809.e5. [Google Scholar] [CrossRef] [PubMed]
- Tillinghast, J.; Drury, S.; Bowser, D.; Benn, A.; Lee, K.P.K. Structural mechanisms for gating and ion selectivity of the human polyamine transporter ATP13A2. Mol. Cell 2021, 81, 4650–4662.e4. [Google Scholar] [CrossRef] [PubMed]
- Li, P.; Wang, K.; Salustros, N.; Grønberg, C.; Gourdon, P. Structure and transport mechanism of P5B-ATPases. Nat. Commun. 2021, 12, 3973. [Google Scholar] [CrossRef]
- Mu, J.; Xue, C.; Fu, L.; Yu, Z.; Nie, M.; Wu, M.; Chen, X.; Liu, K.; Bu, R.; Huang, Y.; et al. Conformational cycle of human polyamine transporter ATP13A2. Nat. Commun. 2023, 14, 1978. [Google Scholar] [CrossRef] [PubMed]
- Fujii, T.; Nagamori, S.; Wiriyasermkul, P.; Zheng, S.; Yago, A.; Shimizu, T.; Tabuchi, Y.; Okumura, T.; Fujii, T.; Takeshima, H.; et al. Parkinson’s disease-associated ATP13A2/PARK9 functions as a lysosomal H+,K+-ATPase. Nat. Commun. 2023, 14, 2174. [Google Scholar] [CrossRef] [PubMed] [PubMed Central]
- Liu, J.; Li, J.; Lu, Y.; Tang, Y.; Wang, Z.; Shen, Y.; Wang, L.; Hao, H.; Chen, G.; Zhang, M. Neurodegenerative disorders reversed by ATP13A2 flipping sphingomyelin across lysosome. Res. Sq. 2025, Preprint. [Google Scholar] [CrossRef]
- Schulze, H.; Kolter, T.; Sandhoff, K. Principles of lysosomal membrane degradation: Cellular topology and biochemistry of lysosomal lipid degradation. Biochim. Biophys. Acta 2009, 1793, 674–683. [Google Scholar] [CrossRef] [PubMed]
- Kolter, T.; Sandhoff, K. Principles of lysosomal membrane digestion: Stimulation of sphingolipid degradation by sphingolipid activator proteins and anionic lysosomal lipids. Annu. Rev. Cell Dev. Biol. 2005, 21, 81–103. [Google Scholar] [CrossRef]
- Gallala, H.D.; Sandhoff, K. Biological function of the cellular lipid BMP-BMP as a key activator for cholesterol sorting and membrane digestion. Neurochem. Res. 2011, 36, 1594–1600. [Google Scholar] [CrossRef]
- Pribasnig, M.A.; Mrak, I.; Grabner, G.F.; Taschler, U.; Knittelfelder, O.; Scherz, B.; Eichmann, T.O.; Heier, C.; Grumet, L.; Kowaliuk, J.; et al. α/β Hydrolase Domain-containing 6 (ABHD6) Degrades the Late Endosomal/Lysosomal Lipid Bis(monoacylglycero)phosphate. J. Biol. Chem. 2015, 290, 29869–29881. [Google Scholar] [CrossRef] [PubMed]
- Subra, C.; Laulagnier, K.; Perret, B.; Record, M. Exosome lipidomics unravels lipid sorting at the level of multivesicular bodies. Biochimie 2007, 89, 205–212. [Google Scholar] [CrossRef] [PubMed]
- Tsunemi, T.; Krainc, D. Zn2+ dyshomeostasis caused by loss of ATP13A2/PARK9 leads to lysosomal dysfunction and alpha-synuclein accumulation. Hum. Mol. Genet. 2013, 23, 2791–2801. [Google Scholar] [CrossRef]
- Kong, S.M.; Chan, B.K.; Park, J.S.; Hill, K.J.; Aitken, J.B.; Cottle, L.; Farghaian, H.; Cole, A.R.; Lay, P.A.; Sue, C.M.; et al. Parkinson’s disease-linked human PARK9/ATP13A2 maintains zinc homeostasis and promotes α-Synuclein externalization via exosomes. Hum. Mol. Genet. 2014, 23, 2816–2833. [Google Scholar] [CrossRef]
- Marcos, A.L.; Corradi, G.R.; Mazzitelli, L.R.; Casali, C.I.; Fernández Tome, M.C.; Adamo, H.P.; de Tezanos Pinto, F. The Parkinson-associated human P5B-ATPase ATP13A2 modifies lipid homeostasis. Biochim. Biophys. Acta Biomembr. 2019, 1861, 182993. [Google Scholar] [CrossRef]
- Chevallier, J.; Chamoun, Z.; Jiang, G.; Prestwich, G.; Sakai, N.; Matile, S.; Parton, R.G.; Gruenberg, J. Lysobisphosphatidic acid controls endosomal cholesterol levels. J. Biol. Chem. 2008, 283, 27871–27880. [Google Scholar] [CrossRef]
- Pusch, L.M.; Riegler-Berket, L.; Oberer, M.; Zimmermann, R.; Taschler, U. α/β-Hydrolase Domain-Containing 6 (ABHD6)—A Multifunctional Lipid Hydrolase. Metabolites 2022, 12, 761. [Google Scholar] [CrossRef] [PubMed] [PubMed Central]
- Wang, R.; Zhuang, A.; Wu, Y.; Shen, J.; Zhang, Y.; Liu, P.; Rabata, A.; Pavithra, N.; Yu, S.; Peng, J.; et al. S-palmitoylation: A novel player in cancer and its emerging therapeutic implications. Cell Investig. 2025, 1, 100032. [Google Scholar] [CrossRef]
- Zhang, H.; Li, X.; Liao, D.; Luo, P.; Jiang, X. Alpha/Beta-Hydrolase Domain-Containing 6: Signaling and Function in the Central Nervous System. Front. Pharmacol. 2021, 12, 784202. [Google Scholar] [CrossRef] [PubMed] [PubMed Central]
- Kong, Y.; Liu, Y.; Li, X.; Rao, M.; Li, D.; Ruan, X.; Li, S.; Jiang, Z.; Zhang, Q. Palmitoylation landscapes across human cancers reveal a role of palmitoylation in tumorigenesis. J. Transl. Med. 2023, 21, 826. [Google Scholar] [CrossRef] [PubMed]
- Kolter, T.; Sandhoff, K. Lysosomal degradation of membrane lipids. FEBS Lett. 2010, 584, 1700–1712. [Google Scholar] [CrossRef] [PubMed]
- Thomas, T.; Thomas, T.J. Polyamine metabolism and cancer. J. Cell. Mol. Med. 2003, 7, 113–126. [Google Scholar] [CrossRef] [PubMed] [PubMed Central]
- de La Hera, D.P.; Corradi, G.R.; Adamo, H.P.; de Tezanos Pinto, F. Parkinson’s disease-associated human P5B-ATPase ATP13A2 increases spermidine uptake. Biochem. J. 2013, 450, 47–53. [Google Scholar] [CrossRef] [PubMed]
- Kleynerman, A.; Rybova, J.; McKillop, W.M.; Dlugi, T.A.; Faber, M.L.; Fuller, M.; O’Meara, C.C.; Medin, J.A. Cardiac dysfunction and altered gene expression in acid ceramidase deficient mice. Am. J. Physiol. Heart Circ. Physiol. 2025, 328, H141–H156. [Google Scholar] [CrossRef] [PubMed]
- Paciotti, S.; Albi, E.; Parnetti, L.; Beccari, T. Lysosomal Ceramide Metabolism Disorders: Implications in Parkinson’s Disease. J. Clin. Med. 2020, 9, 594. [Google Scholar] [CrossRef] [PubMed] [PubMed Central]








Disclaimer/Publisher’s Note: The statements, opinions and data contained in all publications are solely those of the individual author(s) and contributor(s) and not of MDPI and/or the editor(s). MDPI and/or the editor(s) disclaim responsibility for any injury to people or property resulting from any ideas, methods, instructions or products referred to in the content. |
© 2026 by the authors. Licensee MDPI, Basel, Switzerland. This article is an open access article distributed under the terms and conditions of the Creative Commons Attribution (CC BY) license.
Share and Cite
Marcos, A.L.; Gironacci, M.M.; de Tezanos Pinto, F. ATP13A2-Mediated Spermine Export Modulates Lipid Catabolism in the Endolysosomal System of SH-SY5Y Cells. Int. J. Mol. Sci. 2026, 27, 484. https://doi.org/10.3390/ijms27010484
Marcos AL, Gironacci MM, de Tezanos Pinto F. ATP13A2-Mediated Spermine Export Modulates Lipid Catabolism in the Endolysosomal System of SH-SY5Y Cells. International Journal of Molecular Sciences. 2026; 27(1):484. https://doi.org/10.3390/ijms27010484
Chicago/Turabian StyleMarcos, Alejandra L., Mariela M. Gironacci, and Felicitas de Tezanos Pinto. 2026. "ATP13A2-Mediated Spermine Export Modulates Lipid Catabolism in the Endolysosomal System of SH-SY5Y Cells" International Journal of Molecular Sciences 27, no. 1: 484. https://doi.org/10.3390/ijms27010484
APA StyleMarcos, A. L., Gironacci, M. M., & de Tezanos Pinto, F. (2026). ATP13A2-Mediated Spermine Export Modulates Lipid Catabolism in the Endolysosomal System of SH-SY5Y Cells. International Journal of Molecular Sciences, 27(1), 484. https://doi.org/10.3390/ijms27010484
