Deciphering the Relationships Between Soil Enzymatic Activities and N- and P-Cycling Functional Genes Under Long-Term Fertilization
Abstract
1. Introduction
2. Materials and Methods
2.1. Experimental Site
2.2. Experimental Design
2.3. Soil Sampling
2.4. The Determinations of Soil Properties, Crop Yield, and Soil Enzyme Activities
2.5. Functional Gene Screening
2.6. Statistical Analysis
3. Results
3.1. The Effects of Long-Term Fertilization Regimes on Soil Properties and Faba Bean Yields
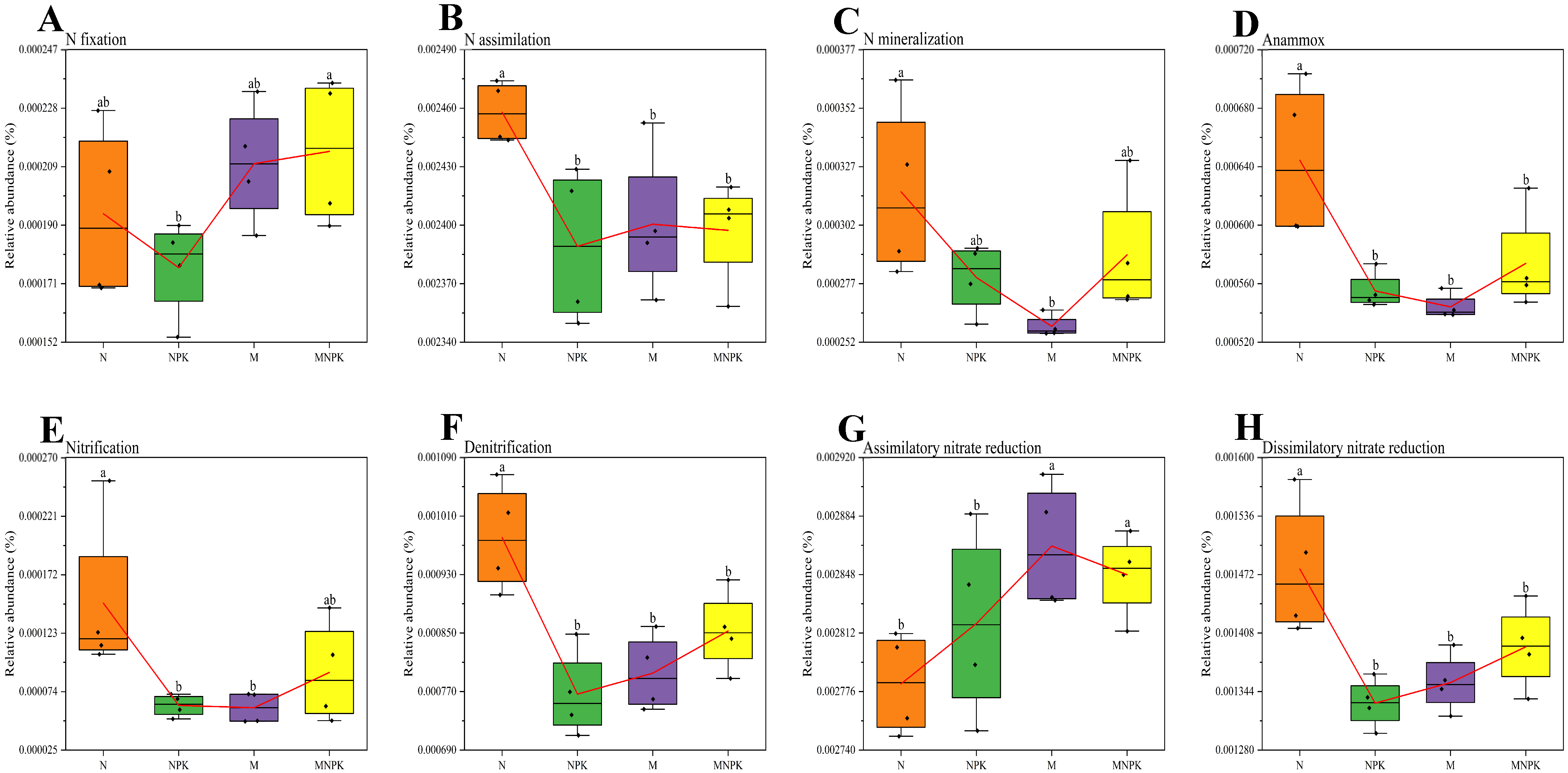
3.2. Effects of Long-Term Fertilization Treatments on Soil N-Related Enzyme Activities
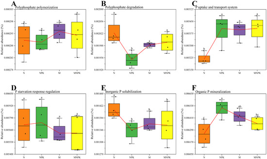
3.3. Effects of Long-Term Fertilization Regimes on Soil P-Related Enzyme Activities
3.4. Effects of Long-Term Fertilization Regimes on the Functional Diversity of Soil Bacterial Communities
3.5. Correlation Analysis of Soil Properties and Faba Bean Yield with Soil Enzyme Activities
3.6. Correlation Analysis Between Soil Properties and Faba Bean Yield with the Relative Abundance of Soil N- and P-Related Functional Genes
3.7. Correlation Analysis Between Soil Enzyme Activities and the Relative Abundance of Soil N- and P-Related Functional Genes
4. Discussion
4.1. Relationships Between Long-Term Fertilization Regimes and N- and P-Related Soil Enzyme Activities
4.2. Responses of N-Cycling Enzyme-Encoding Genes to Different Fertilization Treatments
4.3. Responses of P-Cycling Enzyme-Encoding Genes to Different Fertilization Treatments
5. Conclusions
Author Contributions
Funding
Institutional Review Board Statement
Informed Consent Statement
Data Availability Statement
Conflicts of Interest
Abbreviations
| N | nitrogen |
| P | phosphorus |
| K | potassium |
| NPK | combined N, P, and K fertilization |
| M | organic fertilizer alone |
| MNPK | NPK plus organic fertilizer |
| EC | electrical conductivity |
| TN | total nitrogen |
| TP | total phosphorus |
| TC | total carbon |
| SOM | soil organic matter |
| AP | available phosphorus |
| AK | available potassium |
| GY | grain yield |
| Urease | soil urease |
| ACPro | soil acid protease |
| NEPro | soil neutral protease |
| ALPro | soil alkaline protease |
| ACP | soil acid phosphatase |
| NEP | soil neutral phosphatase |
| ALP | soil alkaline phosphatase |
Appendix A
| Nutrient Cycle | Function | KEGG Pathway | Corresponding Gene | Description |
|---|---|---|---|---|
| Nitrogen | Anammox | K00368 | nirK | nitrite reductase (NO-forming) [EC:1.7.2.1] |
| K01428 | ureC | urease subunit alpha [EC:3.5.1.5] | ||
| K01429 | ureB | urease subunit beta [EC:3.5.1.5] | ||
| K01430 | ureA | urease subunit gamma [EC:3.5.1.5] | ||
| K10535 | hao | hydroxylamine dehydrogenase [EC:1.7.2.6] | ||
| N fixation | K00531 | anfG | nitrogenase delta subunit [EC:1.18.6.1] | |
| K02586 | nifD | nitrogenase molybdenum-iron protein alpha chain [EC:1.18.6.1] | ||
| K02588 | nifH | nitrogenase iron protein NifH [EC:1.18.6.1] | ||
| K02591 | nifK | nitrogenase molybdenum-iron protein beta chain [EC:1.18.6.1] | ||
| K02592 | nifN | nitrogenase molybdenum-iron protein NifN | ||
| K02593 | nifT | nitrogen fixation protein NifT | ||
| K02594 | nifV | homocitrate synthase NifV [EC:2.3.3.14] | ||
| K02595 | nifW | nitrogenase-stabilizing/protective protein | ||
| K02596 | nifX | nitrogen fixation protein NifX | ||
| N mineralization | K00260 | gudB | glutamate dehydrogenase [EC:1.4.1.2] | |
| K00261 | GLUD1_2 | glutamate dehydrogenase (NAD(P)+) [EC:1.4.1.3] | ||
| K00262 | gdhA | glutamate dehydrogenase (NADP+) [EC:1.4.1.4] | ||
| N assimilation | K00265 | gltB | glutamate synthase (NADPH/NADH) large chain [EC:1.4.1.13 1.4.1.14] | |
| K00266 | gltD | glutamate synthase (NADPH/NADH) small chain [EC:1.4.1.13 1.4.1.14] | ||
| K00284 | GLU | glutamate synthase (ferredoxin) [EC:1.4.7.1] | ||
| K00459 | nmo | nitronate monooxygenase [EC:1.13.12.16] | ||
| K01424 | ansB | L-asparaginase [EC:3.5.1.1] | ||
| K01425 | glsA | glutaminase [EC:3.5.1.2] | ||
| K01953 | asnB | asparagine synthase (glutamine-hydrolysing) [EC:6.3.5.4] | ||
| Nitrification | K10535 | hao | hydroxylamine dehydrogenase [EC:1.7.2.6] | |
| K10944 | pmoA-amoA | methane/ammonia monooxygenase subunit A [EC:1.14.18.3 1.14.99.39] | ||
| K10945 | pmoB-amoB | methane/ammonia monooxygenase subunit B | ||
| K10946 | pmoC-amoC | methane/ammonia monooxygenase subunit C | ||
| Denitrification | K00368 | nirK | nitrite reductase (NO-forming) [EC:1.7.2.1] | |
| K00370 | narG, narZ, nxrA | nitrate reductase/nitrite oxidoreductase, alpha subunit [EC:1.7.5.1 1.7.99.-] | ||
| K00371 | narH, narY, nxrB | nitrate reductase/nitrite oxidoreductase, beta subunit [EC:1.7.5.1 1.7.99.-] | ||
| K00374 | narI, narV | nitrate reductase gamma subunit [EC:1.7.5.1 1.7.99.-] | ||
| K00376 | nosZ | nitrous-oxide reductase [EC:1.7.2.4] | ||
| K02305 | norC | nitric oxide reductase subunit C | ||
| K02567 | napA | periplasmic nitrate reductase NapA [EC:1.7.99.-] | ||
| K02568 | napB | cytochrome c-type protein NapB | ||
| K04561 | norB | nitric oxide reductase subunit B [EC:1.7.2.5] | ||
| K15864 | nirS | nitrite reductase (NO-forming)/hydroxylamine reductase [EC:1.7.2.1 1.7.99.1] | ||
| Assimilatory nitrate reduction | K00265 | gltB | glutamate synthase (NADPH/NADH) large chain [EC:1.4.1.13 1.4.1.14] | |
| K00360 | nasB | assimilatory nitrate reductase electron transfer subunit [EC:1.7.99.-] | ||
| K00366 | nirA | ferredoxin-nitrite reductase [EC:1.7.7.1] | ||
| K00367 | narB | ferredoxin-nitrate reductase [EC:1.7.7.2] | ||
| K00372 | nasA | assimilatory nitrate reductase catalytic subunit [EC:1.7.99.-] | ||
| K01915 | glnA, GLUL | glutamine synthetase [EC:6.3.1.2] | ||
| K02575 | NRT2, narK, nrtP, nasA | MFS transporter, NNP family, nitrate/nitrite transporter | ||
| K15577 | nrtB, nasE, cynB | nitrate/nitrite transport system permease protein | ||
| K15578 | nrtC, nasD | nitrate/nitrite transport system ATP-binding protein [EC:3.6.3.-] | ||
| K15579 | narC | nitrate/nitrite transport system ATP-binding protein | ||
| Dissimilatory nitrate reduction | K00362 | nirB | nitrite reductase (NADH) large subunit [EC:1.7.1.15] | |
| K00363 | nirD | nitrite reductase (NADH) small subunit [EC:1.7.1.15] | ||
| K00370 | narG, narZ, nxrA | nitrate reductase/nitrite oxidoreductase, alpha subunit [EC:1.7.5.1 1.7.99.-] | ||
| K00371 | narH, narY, nxrB | nitrate reductase/nitrite oxidoreductase, beta subunit [EC:1.7.5.1 1.7.99.-] | ||
| K00373 | narJ, narW | nitrate reductase molybdenum cofactor assembly chaperone NarJ/NarW | ||
| K00374 | narI, narV | nitrate reductase gamma subunit [EC:1.7.5.1 1.7.99.-] | ||
| K02567 | napA | periplasmic nitrate reductase NapA [EC:1.7.99.-] | ||
| K02568 | napB | cytochrome c-type protein NapB | ||
| K02569 | napC | cytochrome c-type protein NapC | ||
| K03385 | nrfA | nitrite reductase (cytochrome c-552) [EC:1.7.2.2] | ||
| K04013 | nrfB | cytochrome c-type protein NrfB | ||
| K04014 | nrfC | protein NrfC | ||
| K04015 | nrfD | protein NrfD | ||
| K15576 | nrtA, nasF, cynA | nitrate/nitrite transport system substrate-binding protein | ||
| K15876 | nrfH | cytochrome c nitrite reductase small subunit | ||
| Phosphorus | Polyphosphate polymerization | K00937 | ppk1 | polyphosphate kinase [EC:2.7.4.1] |
| K15986 | ppaC | manganese-dependent inorganic pyrophosphatase [EC:3.6.1.1] | ||
| Polyphosphate degradation | K00858 | ppnK, NADK | NAD+ kinase [EC:2.7.1.23] | |
| K00873 | PK, pyk | pyruvate kinase [EC:2.7.1.40] | ||
| K00886 | ppgK | polyphosphate glucokinase [EC:2.7.1.63] | ||
| K00940 | ndk, NME | nucleoside-diphosphate kinase [EC:2.7.4.6] | ||
| K00951 | relA | GTP pyrophosphokinase [EC:2.7.6.5] | ||
| K01139 | spoT | GTP diphosphokinase/guanosine-3,5-bis(diphosphate) 3-diphosphatase [EC:2.7.6.5 3.1.7.2] | ||
| K03787 | surE | 5-nucleotidase [EC:3.1.3.5] | ||
| K21138 | HDDC3 | guanosine-3,5-bis(diphosphate) 3-pyrophosphohydrolase [EC:3.1.7.2] | ||
| K22468 | ppk2 | polyphosphate kinase [EC:2.7.4.1] | ||
| P starvation response regulation | K02039 | phoU | phosphate transport system protein | |
| K07636 | phoR | two-component system, OmpR family, phosphate regulon sensor histidine kinase PhoR [EC:2.7.13.3] | ||
| K07657 | phoB | two-component system, OmpR family, phosphate regulon response regulator PhoB | ||
| K07658 | phoP | two-component system, OmpR family, alkaline phosphatase synthesis response regulator PhoP | ||
| K10916 | cqsS | two-component system, CAI-1 autoinducer sensor kinase/phosphatase CqsS [EC:2.7.13.3 3.1.3.-] | ||
| P uptake and transport system | K02036 | pstB | phosphate transport system ATP-binding protein [EC:3.6.3.27] | |
| K02037 | pstB | phosphate transport system permease protein | ||
| K02038 | pstA | phosphate transport system permease protein | ||
| K02040 | pstS | phosphate transport system substrate-binding protein | ||
| K02041 | phnC | phosphonate transport system ATP-binding protein [EC:3.6.3.28] | ||
| K02042 | phnE | phosphonate transport system permease protein | ||
| K02043 | phnF | GntR family transcriptional regulator, phosphonate transport system regulatory protein | ||
| K02044 | phnD | phosphonate transport system substrate-binding protein | ||
| K02440 | GLPF | glycerol uptake facilitator protein | ||
| K02443 | glpP | glycerol uptake operon antiterminator | ||
| K02444 | glpR | DeoR family transcriptional regulator, glycerol-3-phosphate regulon repressor | ||
| K02445 | glpT | MFS transporter, OPA family, glycerol-3-phosphate transporter | ||
| K02757 | bglF | PTS system, beta-glucoside-specific IIC component | ||
| K03306 | pit | inorganic phosphate transporter, PiT family | ||
| K03324 | yjbB | phosphate:Na+ symporter | ||
| K05781 | phnK | putative phosphonate transport system ATP-binding protein | ||
| K05813 | ugpB | sn-glycerol 3-phosphate transport system substrate-binding protein | ||
| K05814 | ugpA | sn-glycerol 3-phosphate transport system permease protein | ||
| K05815 | ugpE | sn-glycerol 3-phosphate transport system permease protein | ||
| K05833 | K05833 | putative ABC transport system ATP-binding protein | ||
| K07220 | K07220 | uncharacterized protein | ||
| K07221 | oprO_P | phosphate-selective porin OprO and OprP | ||
| K11082 | phnV | 2-aminoethylphosphonate transport system permease protein | ||
| K16322 | pit | low-affinity inorganic phosphate transporter | ||
| Inorganic P solubilization | K00112 | glpB | glycerol-3-phosphate dehydrogenase subunit B [EC:1.1.5.3] | |
| K00113 | glpC | glycerol-3-phosphate dehydrogenase subunit C [EC:1.1.5.3] | ||
| K00117 | gcd | quinoprotein glucose dehydrogenase [EC:1.1.5.2] | ||
| K01507 | ppa | inorganic pyrophosphatase [EC:3.6.1.1] | ||
| K01524 | ppx | exopolyphosphatase/guanosine-5-triphosphate,3-diphosphate pyrophosphatase [EC:3.6.1.11 3.6.1.40] | ||
| K06136 | pqqB | pyrroloquinoline quinone biosynthesis protein B | ||
| K06137 | pqqC | pyrroloquinoline-quinone synthase [EC:1.3.3.11] | ||
| K06138 | pqqD | pyrroloquinoline quinone biosynthesis protein D | ||
| K06139 | pqqE | pyrroloquinoline quinone biosynthesis protein E | ||
| Organic P mineralization | K00105 | E1.1.3.21 | alpha-glycerophosphate oxidase [EC:1.1.3.21] | |
| K00864 | glpK | glycerol kinase [EC:2.7.1.30] | ||
| K00906 | aceK | isocitrate dehydrogenase kinase/phosphatase [EC:2.7.11.5 3.1.3.-] | ||
| K01077 | E3.1.3.1, phoA, phoB | alkaline phosphatase [EC:3.1.3.1] | ||
| K01079 | serB | phosphoserine phosphatase [EC:3.1.3.3] | ||
| K01083 | E3.1.3.8 | 3-phytase [EC:3.1.3.8] | ||
| K01091 | gph | phosphoglycolate phosphatase [EC:3.1.3.18] | ||
| K01092 | IMPA | myo-inositol-1(or 4)-monophosphatase [EC:3.1.3.25] | ||
| K01093 | appA | 4-phytase/acid phosphatase [EC:3.1.3.26 3.1.3.2] | ||
| K01113 | phoD | alkaline phosphatase D [EC:3.1.3.1] | ||
| K01126 | E3.1.4.46, glpQ, ugpQ | glycerophosphoryl diester phosphodiesterase [EC:3.1.4.46] | ||
| K01841 | pepM | phosphoenolpyruvate phosphomutase [EC:5.4.2.9] | ||
| K02043 | phnF | GntR family transcriptional regulator, phosphonate transport system regulatory protein | ||
| K02203 | thrH | phosphoserine/homoserine phosphotransferase [EC:3.1.3.3 2.7.1.39] | ||
| K03270 | kdsC | 3-deoxy-D-manno-octulosonate 8-phosphate phosphatase (KDO 8-P phosphatase) [EC:3.1.3.45] | ||
| K03430 | phnW | 2-aminoethylphosphonate-pyruvate transaminase [EC:2.6.1.37] | ||
| K03788 | aphA | acid phosphatase (class B) [EC:3.1.3.2] | ||
| K05306 | phnX | phosphonoacetaldehyde hydrolase [EC:3.11.1.1] | ||
| K05518 | rsbX | phosphoserine phosphatase RsbX [EC:3.1.3.3] | ||
| K05774 | phnN | ribose 1,5-bisphosphokinase [EC:2.7.4.23] | ||
| K05780 | phnL | alpha-D-ribose 1-methylphosphonate 5-triphosphate synthase subunit PhnL [EC:2.7.8.37] | ||
| K05816 | ugpC | sn-glycerol 3-phosphate transport system ATP-binding protein [EC:3.6.3.20] | ||
| K06162 | phnM | alpha-D-ribose 1-methylphosphonate 5-triphosphate diphosphatase [EC:3.6.1.63] | ||
| K06163 | phnJ | alpha-D-ribose 1-methylphosphonate 5-phosphate C-P lyase [EC:4.7.1.1] | ||
| K06164 | phnI | alpha-D-ribose 1-methylphosphonate 5-triphosphate synthase subunit PhnI [EC:2.7.8.37] | ||
| K06165 | phnH | alpha-D-ribose 1-methylphosphonate 5-triphosphate synthase subunit PhnH [EC:2.7.8.37] | ||
| K06166 | phnG | alpha-D-ribose 1-methylphosphonate 5-triphosphate synthase subunit PhnG [EC:2.7.8.37] | ||
| K06167 | phnP | phosphoribosyl 1,2-cyclic phosphate phosphodiesterase [EC:3.1.4.55] | ||
| K06193 | phnA | protein PhnA | ||
| K07048 | aceK | phosphotriesterase-related protein | ||
| K07175 | PhoH2 | PhoH-like ATPase | ||
| K07315 | rsbU_P | phosphoserine phosphatase RsbU/P [EC:3.1.3.3] | ||
| K08483 | ptsI | phosphotransferase system, enzyme I, PtsI [EC:2.7.3.9] | ||
| K08484 | ptsP | phosphotransferase system, enzyme I, PtsP [EC:2.7.3.9] | ||
| K09474 | phoN | acid phosphatase (class A) [EC:3.1.3.2] | ||
| K09994 | phnO | aminoalkylphosphonate N-acetyltransferase [EC:2.3.1.-] | ||
| K15781 | serB-plsC | putative phosphoserine phosphatase/1-acylglycerol-3-phosphate O-acyltransferase [EC:3.1.3.3 2.3.1.51] | ||
| K16055 | TPS | trehalose 6-phosphate synthase/phosphatase [EC:2.4.1.15 3.1.3.12] |
References
- Zhang, X.Y.; Dong, W.Y.; Dai, X.Q.; Schaeffer, S.; Yang, F.T.; Radosevich, M.; Xu, L.L.; Liu, X.Y.; Sun, X.M. Responses of absolute and specific soil enzyme activities to long term additions of organic and mineral fertilizer. Sci. Total Environ. 2015, 536, 59–67. [Google Scholar] [CrossRef]
- Tabatabai, M.A.; Fu, M. Extraction of enzymes from soils. In Soil Biochemistry; Strotzky, G., Bollag, J.M., Eds.; CRC Press: New York, NY, USA, 1992; Volume 7, pp. 197–227. [Google Scholar] [CrossRef]
- Pausch, J.; Kuzyakov, Y. Carbon input by roots into the soil: Quantification of rhizodeposition from root to ecosystem scale. Glob. Change Biol. 2018, 24, 1–12. [Google Scholar] [CrossRef]
- Burns, R.G. Enzyme activity in soil: Location and a possible role in microbial ecology. Soil Biol. Biochem. 1982, 14, 423–427. [Google Scholar] [CrossRef]
- Sun, X.D.; Ye, Y.Q.; Ma, Q.X.; Guan, Q.W.; Jones, D.L. Variation in enzyme activities involved in carbon and nitrogen cycling in rhizosphere and bulk soil after organic mulching. Rhizosphere 2021, 19, 100376. [Google Scholar] [CrossRef]
- Neemisha; Sharma, S. Soil enzymes and their role in nutrient cycling. In Structure and Functions of Pedosphere, 1st ed.; Giri, B., Kapoor, R., Eds.; Springer Nature: Singapore, 2022; pp. 173–188. [Google Scholar] [CrossRef]
- Roldán, A.; Salinas-García, J.R.; Alguacil, M.M.; Díaz, E.; Caravaca, F. Soil enzyme activities suggest advantages of conservation tillage practices in sorghum cultivation under subtropical conditions. Geoderma 2005, 129, 178–185. [Google Scholar] [CrossRef]
- Jat, M.L.; Chakraborty, D.; Ladha, J.K.; Rana, D.S.; Gathala, M.K.; McDonald, A.; Gerard, B. Conservation agriculture for sustainable intensification in South Asia. Nat. Sustain. 2020, 3, 336–343. [Google Scholar] [CrossRef]
- Jin, K.; Sleutel, S.; Buchan, D.; De Neve, S.; Cai, D.X.; Gabriels, D.; Jin, J.Y. Changes of soil enzyme activities under different tillage practices in the Chinese Loess Plateau. Soil Tillage Res. 2009, 104, 115–120. [Google Scholar] [CrossRef]
- He, L.Y.; Lu, S.X.; Wang, C.G.; Mu, J.; Zhang, Y.L.; Wang, X.D. Changes in soil organic carbon fractions and enzyme activities in response to tillage practices in the Loess Plateau of China. Soil Tillage Res. 2021, 209, 104940. [Google Scholar] [CrossRef]
- Yang, L.; Wang, L.H.; Chu, J.C.; Zhao, H.L.; Zhao, J.; Zang, H.D.; Yang, Y.D.; Zeng, Z.H. Improving soil quality and wheat yield through diversified crop rotations in the North China Plain. Soil Tillage Res. 2024, 244, 106231. [Google Scholar] [CrossRef]
- Li, M.H.; Guo, J.J.; Ren, T.; Luo, G.W.; Shen, Q.R.; Lu, J.W.; Guo, S.W.; Ling, N. Crop rotation history constrains soil biodiversity and multifunctionality relationships. Agric. Ecosyst. Environ. 2021, 319, 107550. [Google Scholar] [CrossRef]
- Muhammad, I.; Yang, L.; Ahmad, S.; Zeeshan, M.; Farooq, S.; Ali, I.; Khan, A.; Zhou, X.B. Irrigation and nitrogen fertilization alter soil bacterial communities, soil enzyme activities, and nutrient availability in maize crop. Front. Microbiol. 2022, 13, 833758. [Google Scholar] [CrossRef]
- Liu, B.; Xia, H.; Jiang, C.C.; Riaz, M.; Yang, L.; Chen, Y.F.; Fan, X.P.; Xia, X.G. 14 year applications of chemical fertilizers and crop straw effects on soil labile organic carbon fractions, enzyme activities and microbial community in rice-wheat rotation of middle China. Sci. Total Environ. 2022, 841, 156608. [Google Scholar] [CrossRef]
- Miao, Y.X.; Stewart, B.A.; Zhang, F.S. Long-term experiments for sustainable nutrient management in China. A review. Agron. Sustain. Dev. 2011, 31, 397–414. [Google Scholar] [CrossRef]
- Bai, Y.C.; Chang, Y.Y.; Hussain, M.; Lu, B.; Zhang, J.P.; Song, X.B.; Lei, X.S.; Pei, D. Soil chemical and microbiological properties are changed by long-term chemical fertilizers that limit ecosystem functioning. Microorganisms 2020, 8, 694. [Google Scholar] [CrossRef]
- Fan, T.L.; Stewart, B.A.; Wang, Y.; Luo, J.J.; Zhou, G.Y. Long-term fertilization effects on grain yield, water-use efficiency and soil fertility in the dryland of Loess Plateau in China. Agric. Ecosyst. Environ. 2005, 106, 313–329. [Google Scholar] [CrossRef]
- Wang, S.X.; Liang, X.Q.; Chen, Y.X.; Luo, Q.X.; Liang, W.S.; Li, S.; Huang, C.L.; Li, Z.Z.; Wan, L.L.; Li, W.; et al. Phosphorus loss potential and phosphatase activity under phosphorus fertilization in long-term paddy wetland agroecosystems. Soil Sci. Soc. Am. J. 2012, 7, 161–167. [Google Scholar] [CrossRef]
- Wang, J.; Fu, X.; Ghimire, R.; Sainju, U.M.; Jia, Y.; Zhao, F.Z. Responses of soil bacterial community and enzyme activity to organic matter components under long-term fertilization on the loess plateau of China. Appl. Soil Ecol. 2021, 166, 103992. [Google Scholar] [CrossRef]
- Ren, J.H.; Liu, X.L.; Yang, W.P.; Yang, X.X.; Li, W.G.; Xia, Q.; Li, J.H.; Gao, Z.Q.; Yang, Z.P. Rhizosphere soil properties, microbial community, and enzyme activities: Short-term responses to partial substitution of chemical fertilizer with organic manure. J. Environ. Manag. 2021, 299, 113650. [Google Scholar] [CrossRef]
- Han, J.Q.; Dong, Y.Y.; Zhang, M. Chemical fertilizer reduction with organic fertilizer effectively improve soil fertility and microbial community from newly cultivated land in the Loess Plateau of China. Appl. Soil Ecol. 2021, 165, 103966. [Google Scholar] [CrossRef]
- Gianfreda, L.; Rao, M.A. Interactions between xenobiotics and microbial and enzymatic soil activity. Crit. Rev. Environ. Sci. Technol. 2008, 38, 269–310. [Google Scholar] [CrossRef]
- Wang, H.X.; Xu, J.L.; Liu, X.J.; Zhang, D.; Li, L.W.; Li, W.; Sheng, L.X. Effects of long-term application of organic fertilizer on improving organic matter content and retarding acidity in red soil from China. Soil Tillage Res. 2019, 195, 104382. [Google Scholar] [CrossRef]
- Wei, W.L.; Yan, Y.; Cao, J.; Christie, P.; Zhang, F.S.; Fan, M.S. Effects of combined application of organic amendments and fertilizers on crop yield and soil organic matter: An integrated analysis of long-term experiments. Agric. Ecosyst. Environ. 2016, 225, 86–92. [Google Scholar] [CrossRef]
- Liu, J.A.; Shu, A.P.; Song, W.F.; Shi, W.C.; Li, M.C.; Zhang, W.X.; Li, Z.Z.; Liu, G.R.; Yuan, F.S.; Zhang, S.X.; et al. Long-term organic fertilizer substitution increases rice yield by improving soil properties and regulating soil bacteria. Geoderma 2021, 404, 115287. [Google Scholar] [CrossRef]
- Geisseler, D.; Horwath, W.R. Regulation of extracellular protease activity in soil in response to different sources and concentrations of nitrogen and carbon. Soil Biol. Biochem. 2008, 40, 3040–3048. [Google Scholar] [CrossRef]
- Xu, H.W.; Qu, Q.; Chen, Y.H.; Liu, G.B.; Xue, S. Responses of soil enzyme activity and soil organic carbon stability over time after cropland abandonment in different vegetation zones of the Loess Plateau of China. Catena 2021, 196, 104812. [Google Scholar] [CrossRef]
- Bhattacharyya, S.S.; Ros, G.H.; Furtak, K.; Iqbal, H.M.N.; Parra-Saldívar, R. Soil carbon sequestration–An interplay between soil microbial community and soil organic matter dynamics. Sci. Total Environ. 2022, 815, 152928. [Google Scholar] [CrossRef] [PubMed]
- Jiang, Y.L.; Zhang, R.Q.; Zhang, C.Q.; Su, J.E.; Cong, W.F.; Deng, X.P. Long-term organic fertilizer additions elevate soil extracellular enzyme activities and tobacco quality in a tobacco-maize rotation. Front. Plant Sci. 2022, 13, 973639. [Google Scholar] [CrossRef] [PubMed]
- Yang, Y.H.; Liu, H.; Wu, J.C.; Zhang, S.S.; Gao, C.M.; Zhang, S.Q.; Tang, D.W.S. Soil enzyme activities, soil physical properties, photosynthetic physical characteristics and water use of winter wheat after long-term straw mulch and organic fertilizer application. Front. Plant Sci. 2023, 14, 1186376. [Google Scholar] [CrossRef]
- Bernard, L.; Basile-Doelsch, I.; Derrien, D.; Fanin, N.; Fontaine, S.; Guenet, B.; Karimi, B.; Marsden, C.; Maron, P.A. Advancing the mechanistic understanding of the priming effect on soil organic matter mineralisation. Funct. Ecol. 2022, 36, 1355–1377. [Google Scholar] [CrossRef]
- Tian, P.; Razavi, B.S.; Zhang, X.C.; Wang, Q.K.; Blagodatskaya, E. Microbial growth and enzyme kinetics in rhizosphere hotspots are modulated by soil organics and nutrient availability. Soil Biol. Biochem. 2020, 141, 107662. [Google Scholar] [CrossRef]
- Xiao, H.; Yang, H.L.; Zhao, M.L.; Monaco, T.A.; Rong, Y.P.; Huang, D.; Song, Q.; Zhao, K.; Wang, D.P. Soil extracellular enzyme activities and the abundance of nitrogen-cycling functional genes responded more to N addition than P addition in an Inner Mongolian meadow steppe. Sci. Total Environ. 2021, 759, 143541. [Google Scholar] [CrossRef] [PubMed]
- Chubukov, V.; Gerosa, L.; Kochanowski, K.; Sauer, U. Coordination of microbial metabolism. Nat. Rev. Microbiol. 2014, 12, 327–340. [Google Scholar] [CrossRef]
- Reeve, J.R.; Schadt, C.W.; Carpenter-Boggs, L.; Kang, S.; Zhou, J.Z.; Reganold, J.P. Effects of soil type and farm management on soil ecological functional genes and microbial activities. ISME J. 2010, 4, 1099–1107. [Google Scholar] [CrossRef]
- Dong, M.H.; Zhou, H.J.; Wang, J.; Yang, J.H.; Lai, J.Z.; Chen, Y.L.; Sun, F.; Ye, X.F.; Wu, Y.J. Responses of soil microbial metabolism, function and soil quality to long-term addition of organic materials with different carbon sources. Biochar 2024, 6, 80. [Google Scholar] [CrossRef]
- Li, W.X.; Wang, C.; Zheng, M.M.; Cai, Z.J.; Wang, B.R.; Shen, R.F. Fertilization strategies affect soil properties and abundance of N-cycling functional genes in an acidic agricultural soil. Appl. Soil Ecol. 2020, 156, 103704. [Google Scholar] [CrossRef]
- Li, Y.L.; Tremblay, J.; Bainard, L.D.; Cade-Menun, B.; Hamel, C. Long-term effects of nitrogen and phosphorus fertilization on soil microbial community structure and function under continuous wheat production. Environ. Microbiol. 2020, 22, 1066–1088. [Google Scholar] [CrossRef]
- Ying, D.; Chen, X.L.; Hou, J.F.; Zhao, F.C.; Li, P. Soil properties and microbial functional attributes drive the response of soil multifunctionality to long-term fertilization management. Appl. Soil Ecol. 2023, 192, 105095. [Google Scholar] [CrossRef]
- Abd-Alla, M.H.; Al-Amri, S.M.; El-Enany, A.W.E. Enhancing rhizobium–legume symbiosis and reducing nitrogen fertilizer use are potential options for mitigating climate change. Agriculture 2023, 13, 2092. [Google Scholar] [CrossRef]
- Chen, X.D.; Jiang, N.; Chen, Z.H.; Tian, J.H.; Sun, N.; Xu, M.G.; Chen, L.J. Response of soil phoD phosphatase gene to long-term combined applications of chemical fertilizers and organic materials. Appl. Soil Ecol. 2017, 119, 197–204. [Google Scholar] [CrossRef]
- Xing, Y.Y.; Xie, Y.X.; Wang, X.K. Enhancing soil health through balanced fertilization: A pathway to sustainable agriculture and food security. Front. Microbiol. 2025, 16, 1536524, Erratum in Front. Microbiol. 2025, 16, 1644143. [Google Scholar] [CrossRef] [PubMed]
- Wu, W.C.; Zhang, Y.J.; Turner, B.L.; He, Y.L.; Chen, X.D.; Che, R.X.; Cui, X.Y.; Liu, X.J.; Jiang, L.; Zhu, J.T. Organic amendments promote soil phosphorus related functional genes and microbial phosphorus cycling. Geoderma 2025, 456, 117247. [Google Scholar] [CrossRef]
- Du, L.; Zhong, H.H.; Guo, X.N.; Li, H.N.; Xia, J.X.; Chen, Q. Nitrogen fertilization and soil nitrogen cycling: Unraveling the links among multiple environmental factors, functional genes, and transformation rates. Sci. Total Environ. 2024, 951, 175561. [Google Scholar] [CrossRef] [PubMed]
- Reardon, C.L.; Klein, A.M.; Melle, C.J.; Hagerty, C.H.; Klarer, E.R.; Machado, S.; Paulitz, T.; Pritchett, L.; Schlatter, D.; Smith, S.F.; et al. Enzyme activities distinguish long-term fertilizer effects under different soil storage methods. Appl. Soil Ecol. 2022, 177, 104518. [Google Scholar] [CrossRef]
- GB9834-88; Method for Determination of Soil Organic Matter. China Standard Press: Beijing, China, 1988.
- Wemheuer, F.; Taylor, J.A.; Daniel, R.; Johnston, E.; Meinicke, P.; Thomas, T.; Wemheuer, B. Tax4Fun2: Prediction of habitat-specific functional profiles and functional redundancy based on 16S rRNA gene sequences. Environ. Microbiome 2020, 15, 11. [Google Scholar] [CrossRef]
- Hu, H.; Wu, X.; Zhao, J.N.; Yang, D.L.; Wang, L.L.; Li, G.; Xiu, W.M. The effects of combined organic and inorganic fertilizer on the bacterial nitrogen cycling functional genes in wheat and maize soils by PICRUSt functional prediction. J. Agro-Environ. Sci. 2021, 40, 144–154. [Google Scholar] [CrossRef]
- Dai, Z.M.; Liu, G.F.; Chen, H.H.; Chen, C.R.; Wang, J.K.; Ai, S.Y.; Wei, D.; Li, D.M.; Ma, B.; Tang, C.X.; et al. Long-term nutrient inputs shift soil microbial functional profiles of phosphorus cycling in diverse agroecosystems. ISME J. 2020, 14, 757–770. [Google Scholar] [CrossRef]
- Krajewska, B.; Ureases, I. Functional, catalytic and kinetic properties: A review. J. Mol. Catal. B Enzym. 2009, 59, 9–21. [Google Scholar] [CrossRef]
- Sigua, G.C.; Stone, K.C.; Bauer, P.J.; Szogi, A.A. Efficacy of supplemental irrigation and nitrogen management on enhancing nitrogen availability and urease activity in soils with sorghum production. Sustainability 2020, 12, 8358. [Google Scholar] [CrossRef]
- Nourbakhsh, F.; Monreal, C.M. Effects of soil properties and trace metals on urease activities of calcareous soils. Biol. Fertil. Soils 2004, 40, 359–362. [Google Scholar] [CrossRef]
- Zhu, Y.; Guo, B.; Liu, C.; Lin, Y.C.; Fu, Q.L.; Li, N.Y.; Li, H. Soil fertility, enzyme activity, and microbial community structure diversity among different soil textures under different land use types in coastal saline soil. J. Soils Sediments 2021, 21, 2240–2252. [Google Scholar] [CrossRef]
- Moghimian, N.; Hosseini, S.M.; Kooch, Y.; Darki, B.Z. Impacts of changes in land use/cover on soil microbial and enzyme activities. Catena 2017, 157, 407–414. [Google Scholar] [CrossRef]
- Yin, H.J.; Li, Y.F.; Xiao, J.; Xu, Z.F.; Cheng, X.Y.; Liu, Q. Enhanced root exudation stimulates soil nitrogen transformations in a subalpine coniferous forest under experimental warming. Glob. Change Biol. 2013, 19, 2158–2167. [Google Scholar] [CrossRef]
- Miao, F.H.; Li, Y.; Cui, S.; Jagadamma, S.; Yang, G.F.; Zhang, Q.P. Soil extracellular enzyme activities under long-term fertilization management in the croplands of China: A meta-analysis. Nutr. Cycl. Agroecosys. 2019, 114, 125–138. [Google Scholar] [CrossRef]
- Ning, C.C.; Gao, P.D.; Wang, B.Q.; Lin, W.P.; Jiang, N.H.; Cai, K.Z. Impacts of chemical fertilizer reduction and organic amendments supplementation on soil nutrient, enzyme activity and heavy metal content. J. Integr. Agric. 2017, 16, 1819–1831. [Google Scholar] [CrossRef]
- Yang, Y.H.; Li, M.J.; Wu, J.C.; Pan, X.Y.; Gao, C.M.; Tang, D.W.S. Impact of combining long-term subsoiling and organic fertilizer on soil microbial biomass carbon and nitrogen, soil enzyme activity, and water use of winter wheat. Front. Plant Sci. 2022, 12, 788651. [Google Scholar] [CrossRef]
- Ullah, S.; Ali, I.; Yang, M.; Zhao, Q.; Iqbal, A.; Wu, X.Y.; Ahmad, S.; Muhammad, I.; Khan, A.; Adnan, M.; et al. Partial substitution of urea with biochar induced improvements in soil enzymes activity, ammonia-nitrite oxidizers, and nitrogen uptake in the double-cropping rice system. Microorganisms 2023, 11, 527. [Google Scholar] [CrossRef] [PubMed]
- Janes-Bassett, V.; Blackwell, M.S.A.; Blair, G.; Davies, J.; Haygarth, P.M.; Mezeli, M.M.; Stewart, G. A meta-analysis of phosphatase activity in agricultural settings in response to phosphorus deficiency. Soil Biol. Biochem. 2022, 165, 108537. [Google Scholar] [CrossRef]
- Hui, D.F.; Mayes, M.A.; Wang, G.S. Kinetic parameters of phosphatase: A quantitative synthesis. Soil Biol. Biochem. 2013, 65, 105–113. [Google Scholar] [CrossRef]
- Garg, S.; Bahl, G.S. Phosphorus availability to maize as influenced by organic manures and fertilizer P associated phosphatase activity in soils. Bioresour. Technol. 2008, 99, 5773–5777. [Google Scholar] [CrossRef]
- Gao, C.H.; El-Sawah, A.M.; Ali, D.F.I.; Alhaj Hamoud, Y.; Shaghaleh, H.; Sheteiwy, M.S. The integration of bio and organic fertilizers improve plant growth, grain yield, quality and metabolism of hybrid maize (Zea mays L.). Agronomy 2020, 10, 319. [Google Scholar] [CrossRef]
- Yang, Q.Y.; Zhang, M.K. Effect of bio-organic fertilizers partially substituting chemical fertilizers on labile organic carbon and bacterial community of citrus orchard soils. Plant Soil 2023, 483, 255–272. [Google Scholar] [CrossRef]
- Hu, N.J.; Liu, C.Y.; Chen, Q.; Fan, J.D.; Wang, Y.T.; Sun, H.W. Substitution of chemical fertilizer with organic fertilizer can affect soil labile organic carbon fractions and garlic yield by mediating soil aggregate-associated organic carbon. Agronomy 2023, 13, 3062. [Google Scholar] [CrossRef]
- Martins, N.P.; Fuchslueger, L.; Fleischer, K.; Andersen, K.M.; Assis, R.L.; Baccaro, F.B.; Camargo, P.B.; Cordeiro, A.L.; Grandis, A.; Hartley, I.P.; et al. Fine roots stimulate nutrient release during early stages of leaf litter decomposition in a Central Amazon rainforest. Plant Soil 2021, 469, 287–303. [Google Scholar] [CrossRef]
- Furtak, K.; Gawryjołek, K.; Gajda, A.M.; Gałązka, A. Effects of maize and winter wheat grown under different cultivation techniques on biological activity of soil. Plant Soil Environ. 2017, 63, 449–454. [Google Scholar] [CrossRef]
- Gao, P.; Zhang, T.; Lei, X.Y.; Cui, X.W.; Lu, Y.X.; Fan, P.F.; Long, S.P.; Huang, J.; Gao, J.S.; Zhang, Z.H.; et al. Improvement of soil fertility and rice yield after long-term application of cow manure combined with inorganic fertilizers. J. Integr. Agric. 2023, 22, 2221–2232. [Google Scholar] [CrossRef]
- Pan, W.K.; Zhou, J.J.; Tang, S.; Wu, L.H.; Ma, Q.X.; Marsden, K.A.; Chadwick, D.R.; Jones, D.L. Utilisation and transformation of organic and inorganic nitrogen by soil microorganisms and its regulation by excessive carbon and nitrogen availability. Biol. Fertil. Soils 2023, 59, 379–389. [Google Scholar] [CrossRef]
- Luo, M.; Moorhead, D.L.; Ochoa-Hueso, R.; Mueller, C.W.; Ying, S.C.; Chen, J. Nitrogen loading enhances phosphorus limitation in terrestrial ecosystems with implications for soil carbon cycling. Funct. Ecol. 2022, 36, 2845–2858. [Google Scholar] [CrossRef]
- Lv, C.H.; Wang, C.K.; Cai, A.D.; Zhou, Z.H. Global magnitude of rhizosphere effects on soil microbial communities and carbon cycling in natural terrestrial ecosystems. Sci. Total Environ. 2023, 856, 158961. [Google Scholar] [CrossRef]
- Mooshammer, M.; Wanek, W.; Hämmerle, I.; Fuchslueger, L.; Hofhansl, F.; Knoltsch, A.; Schnecker, J.; Takriti, M.; Watzka, M.; Wild, B.; et al. Adjustment of microbial nitrogen use efficiency to carbon:nitrogen imbalances regulates soil nitrogen cycling. Nat. Commun. 2014, 5, 3694. [Google Scholar] [CrossRef]
- Shao, G.D.; Xu, Y.X.; Zhou, J.; Tian, P.; Ai, J.J.; Yang, Y.D.; Zamanian, K.; Zeng, Z.H.; Zang, H.D. Enhanced soil organic carbon stability in rhizosphere through manure application. Soil Tillage Res. 2024, 244, 106223. [Google Scholar] [CrossRef]
- Qiu, S.J.; Ju, X.T.; Ingwersen, J.; Guo, Z.D.; Stange, C.F.; Bisharat, R.; Christie, P.; Zhang, F.S. Role of carbon substrates added in the transformation of surplus nitrate to organic nitrogen in a calcareous soil. Pedosphere 2013, 23, 205–212. [Google Scholar] [CrossRef]
- Zhang, J.B.; Zhu, T.B.; Cai, Z.C.; Qin, S.W.; Müller, C. Effects of long-term repeated mineral and organic fertilizer applications on soil nitrogen transformations. Eur. J. Soil Sci. 2012, 63, 75–85. [Google Scholar] [CrossRef]
- Pan, W.K.; Tang, S.; Zhou, J.J.; Wanek, W.; Gregory, A.S.; Ge, T.; Marsden, K.A.; Chadwick, D.R.; Liang, Y.C.; Wu, L.H.; et al. Long-term manure and mineral fertilisation drive distinct pathways of soil organic nitrogen decomposition: Insights from a 180-year-old study. Soil Biol. Biochem. 2025, 207, 109840. [Google Scholar] [CrossRef]
- Giles, M.; Morley, N.; Baggs, E.M.; Daniell, T.J. Soil nitrate reducing processes–drivers, mechanisms for spatial variation, and significance for nitrous oxide production. Front. Microbiol. 2012, 3, 407. [Google Scholar] [CrossRef]
- Duan, Y.H.; Xu, M.G.; Gao, S.D.; Liu, H.; Huang, S.M.; Wang, B.R. Long-term incorporation of manure with chemical fertilizers reduced total nitrogen loss in rain-fed cropping systems. Sci. Rep. 2016, 6, 33611. [Google Scholar] [CrossRef]
- Duan, Y.H.; Shi, X.J.; Li, S.L.; Sun, X.F.; He, X.H. Nitrogen use efficiency as affected by phosphorus and potassium in long-term rice and wheat experiments. J. Integr. Agric. 2014, 13, 588–596. [Google Scholar] [CrossRef]
- Su, J.Q.; Ding, L.J.; Xue, K.; Yao, H.Y.; Quensen, J.; Bai, S.J.; Wei, W.X.; Wu, J.S.; Zhou, J.Z.; Tiedje, J.M.; et al. Long-term balanced fertilization increases the soil microbial functional diversity in a phosphorus-limited paddy soil. Mol. Ecol. 2015, 24, 136–150. [Google Scholar] [CrossRef]
- Yang, W.; Jiang, Y.; Zhang, J.Q.; Wang, W.; Liu, X.S.; Jin, Y.; Li, S.; Qu, J.J.; Zhu, Y.C. Organic materials promote soil phosphorus cycling: Metagenomic analysis. Agronomy 2025, 15, 1693. [Google Scholar] [CrossRef]
- Deubel, A.; Merbach, W. Influence of microorganisms on phosphorus bioavailability in soils. In Microorganisms in Soils: Roles in Genesis and Functions; Varma, A., Buscot, F., Eds.; Springer Nature: Berlin/Heidelberg, Germany, 2005; Volume 3, pp. 177–191. [Google Scholar] [CrossRef]
- Huang, Y.L.; Lin, J.H.; Tang, C.X.; Xu, J.M. Organic carbon inputs shift the profiles of phosphorus cycling-related genes in maize rhizosphere. Plant Soil 2024, 503, 595–609. [Google Scholar] [CrossRef]
- Shaji, H.; Chandran, V.; Mathew, L. Organic fertilizers as a route to controlled release of nutrients. In Controlled Release Fertilizers for Sustainable Agriculture; Lewu, F.B., Volova, T., Eds.; Elsevier: Amsterdam, The Netherlands, 2021; pp. 231–245. [Google Scholar] [CrossRef]
- Rasul, M.; Yasmin, S.; Yahya, M.; Breitkreuz, C.; Tarkka, M.; Reitz, T. The wheat growth-promoting traits of Ochrobactrum and Pantoea species, responsible for solubilization of different P sources, are ensured by genes encoding enzymes of multiple P-releasing pathways. Microbiol. Res. 2021, 246, 126703. [Google Scholar] [CrossRef]
- Tian, J.; Ge, F.; Zhang, D.Y.; Deng, S.Q.; Liu, X.W. Roles of phosphate solubilizing microorganisms from managing soil phosphorus deficiency to mediating biogeochemical P cycle. Biology 2021, 10, 158. [Google Scholar] [CrossRef] [PubMed]
- Pang, F.; Li, Q.; Solanki, M.K.; Wang, Z.; Xing, Y.X.; Dong, D.F. Soil phosphorus transformation and plant uptake driven by phosphate-solubilizing microorganisms. Front. Microbiol. 2024, 15, 1383813. [Google Scholar] [CrossRef] [PubMed]
- Allison, S.D.; Chacon, S.S.; German, D.P. Substrate concentration constraints on microbial decomposition. Soil Biol. Biochem. 2014, 79, 43–49. [Google Scholar] [CrossRef]
- Fraser, T.D.; Lynch, D.H.; Gaiero, J.; Khosla, K.; Dunfield, K.E. Quantification of bacterial non-specific acid (phoC) and alkaline (phoD) phosphatase genes in bulk and rhizosphere soil from organically managed soybean fields. Appl. Soil Ecol. 2017, 111, 48–56. [Google Scholar] [CrossRef]
- Alori, E.T.; Glick, B.R.; Babalola, O.O. Microbial phosphorus solubilization and its potential for use in sustainable agriculture. Front. Microbiol. 2017, 8, 971. [Google Scholar] [CrossRef]
- Chen, A.; Arai, Y. A review of the reactivity of phosphatase controlled by clays and clay minerals: Implications for understanding phosphorus mineralization in soils. Clays Clay Miner. 2023, 71, 119–142. [Google Scholar] [CrossRef]
- Ramos Cabrera, E.V.; Delgado Espinosa, Z.Y.; Solis Pino, A.F. Use of phosphorus-solubilizing microorganisms as a biotechnological alternative: A review. Microorganisms 2024, 12, 1591. [Google Scholar] [CrossRef]
- Ding, W.; Cong, W.F.; Lambers, H. Plant phosphorus-acquisition and-use strategies affect soil carbon cycling. Trends Ecol. Evol. 2021, 36, 899–906. [Google Scholar] [CrossRef] [PubMed]







| Soil Properties | Long-Term Fertilization Treatments | |||
|---|---|---|---|---|
| N | NPK | M | MNPK | |
| pH | 7.78 ± 0.05 a | 7.67 ± 0.05 b | 7.73 ± 0.01 a | 7.53 ± 0.02 c |
| EC (μS/cm) | 343.38 ± 114.81 b | 432.06 ± 77.81 b | 412.23 ± 40.89 b | 650.13 ± 84.31 a |
| TN (g/kg) | 1.43 ± 0.12 b | 1.47 ± 0.08 b | 2.60 ± 0.17 a | 2.56 ± 0.66 a |
| TP (g/kg) | 0.61 ± 0.03 b | 0.47 ± 0.17 b | 2.95 ± 0.67 a | 2.62 ± 0.67 a |
| TC (g/kg) | 16.14 ± 0.42 b | 17.68 ± 0.68 b | 27.81 ± 1.99 a | 28.82 ± 1.99 a |
| SOM (g/kg) | 19.54 ± 2.73 b | 22.08 ± 1.41 b | 39.16 ± 3.36 a | 43.40 ± 4.62 a |
| AP (mg/kg) | 21.70 ± 3.71 b | 28.40 ± 4.88 b | 208.25 ± 10.12 a | 228.28 ± 32.28 a |
| AK (mg/kg) | 28.03 ± 4.11 c | 68.16 ± 5.01 c | 329.44 ± 60.86 b | 480.27 ± 98.39 a |
| NO3−-N (mg/kg) | 6.21 ± 0.63 a | 5.25 ± 0.59 a | 4.91 ± 1.22 a | 5.45 ± 1.45 a |
| NH4+-N (mg/kg) | 156.81 ± 45.32 a | 148.66 ± 26.17 a | 152.99 ± 26.40 a | 168.80 ± 25.68 a |
| GY (kg/ha) | 122.32 ± 27.87 c | 1464.58 ± 306.72 b | 2563.99 ± 186.09 a | 2823.51 ± 366.67 a |
Disclaimer/Publisher’s Note: The statements, opinions and data contained in all publications are solely those of the individual author(s) and contributor(s) and not of MDPI and/or the editor(s). MDPI and/or the editor(s) disclaim responsibility for any injury to people or property resulting from any ideas, methods, instructions or products referred to in the content. |
© 2025 by the authors. Licensee MDPI, Basel, Switzerland. This article is an open access article distributed under the terms and conditions of the Creative Commons Attribution (CC BY) license (https://creativecommons.org/licenses/by/4.0/).
Share and Cite
Xue, D.; Jiang, S.; Zhao, N.; Yao, M.; Zhou, E.; Wang, Y.; Dong, F.; Gao, X.; Wang, X.; Miao, Y.; et al. Deciphering the Relationships Between Soil Enzymatic Activities and N- and P-Cycling Functional Genes Under Long-Term Fertilization. Microorganisms 2025, 13, 2719. https://doi.org/10.3390/microorganisms13122719
Xue D, Jiang S, Zhao N, Yao M, Zhou E, Wang Y, Dong F, Gao X, Wang X, Miao Y, et al. Deciphering the Relationships Between Soil Enzymatic Activities and N- and P-Cycling Functional Genes Under Long-Term Fertilization. Microorganisms. 2025; 13(12):2719. https://doi.org/10.3390/microorganisms13122719
Chicago/Turabian StyleXue, Dong, Shumiao Jiang, Na Zhao, Mengnan Yao, Enqiang Zhou, Yongqiang Wang, Furong Dong, Xue Gao, Xuejun Wang, Yamei Miao, and et al. 2025. "Deciphering the Relationships Between Soil Enzymatic Activities and N- and P-Cycling Functional Genes Under Long-Term Fertilization" Microorganisms 13, no. 12: 2719. https://doi.org/10.3390/microorganisms13122719
APA StyleXue, D., Jiang, S., Zhao, N., Yao, M., Zhou, E., Wang, Y., Dong, F., Gao, X., Wang, X., Miao, Y., Wei, L., Wang, K., & Hu, A. (2025). Deciphering the Relationships Between Soil Enzymatic Activities and N- and P-Cycling Functional Genes Under Long-Term Fertilization. Microorganisms, 13(12), 2719. https://doi.org/10.3390/microorganisms13122719

