Sign in to use this feature.

Years

Between: -

Subjects

remove_circle_outline
remove_circle_outline
remove_circle_outline
remove_circle_outline
remove_circle_outline
remove_circle_outline
remove_circle_outline
remove_circle_outline
remove_circle_outline

Journals

remove_circle_outline
remove_circle_outline
remove_circle_outline
remove_circle_outline

Article Types

Countries / Regions

remove_circle_outline
remove_circle_outline
remove_circle_outline
remove_circle_outline
remove_circle_outline

Search Results (265)

Search Parameters:
Keywords = perforation efficiency

Order results
Result details
Results per page
Select all
Export citation of selected articles as:
22 pages, 7039 KB  
Article
Optimizing Film Cooling Hole Arrangement Along Conjugate Isotherms on Turbine Vanes: A Combined Numerical and Experimental Investigation
by Zhengyu Shi, Changxin Liu, Yuhao Jia, Xing He, Ge Xia and Yongbao Liu
Processes 2025, 13(10), 3344; https://doi.org/10.3390/pr13103344 (registering DOI) - 18 Oct 2025
Abstract
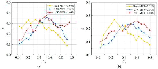
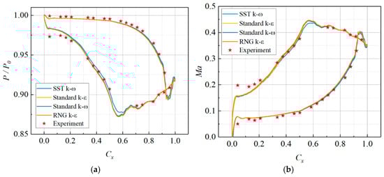
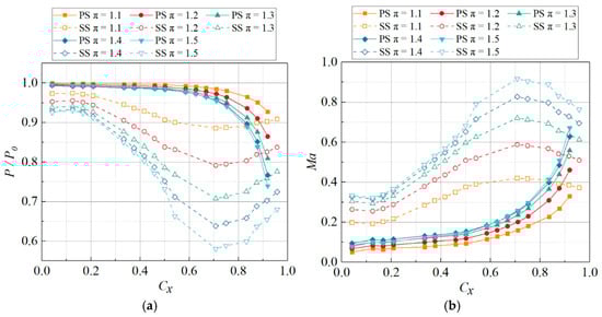
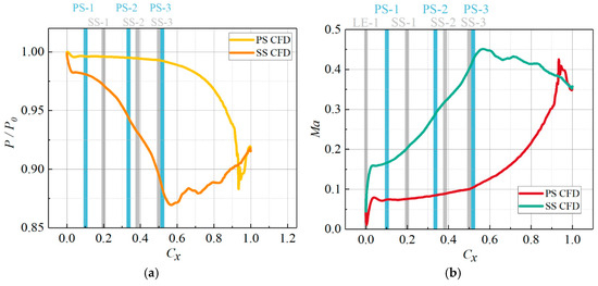
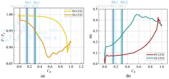
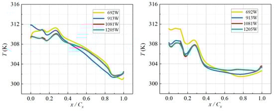
This study introduces a method for positioning film holes guided by conjugate isotherms. The aerodynamic performance exhibited by the turbine blade was evaluated, and the cooling effectiveness of various film hole configurations were systematically compared through combined numerical simulations and cascade wind tunnel [...] Read more.
This study introduces a method for positioning film holes guided by conjugate isotherms. The aerodynamic performance exhibited by the turbine blade was evaluated, and the cooling effectiveness of various film hole configurations were systematically compared through combined numerical simulations and cascade wind tunnel experiments. Key influencing factors were investigated, and the underlying flow field structures and optimization mechanisms were elucidated. Numerical models reliably captured the aerodynamic and heat transfer characteristics, including pressure distribution and overall cooling effectiveness trends. Elevating the mass flow rate ratio was shown to enhance the overall cooling effectiveness across the blade surface. Modifications in film hole layout altered the cooling effectiveness along the blade region downstream of the holes and influenced cooling behavior in non-perforated areas near the endwall. While mid-blade cooling effectiveness showed minimal variation between Hole pattern #1 and #2, the latter exhibited superior overall cooling effectiveness at both the leading and trailing edges. Moreover, Hole pattern #2 diminished the temperature gradient between the suction and pressure sides, thereby augmenting blade structural integrity. Furthermore, Hole pattern #2 promoted a more even distribution of cooling effectiveness over the blade surface, leading to improved thermal protection. Therefore, strategic arrangement of film holes along conjugate isotherms serves as a vital approach for increasing gas turbine efficiency. Full article
(This article belongs to the Section Materials Processes)
Show Figures

Figure 1

10 pages, 592 KB  
Article
Lateral Intercostal Artery Perforator (LICAP) Flap for Level II Oncoplastic Breast Reconstruction: Our Initial Experience
by Gianluca Marcaccini, Claudia Biagini, Benedetta Daicampi, Simone Miccoli, Pietro Susini, Ishith Seth, Warren M. Rozen, Roberto Cuomo, Luca Grimaldi and Leonardo Barellini
J. Pers. Med. 2025, 15(10), 491; https://doi.org/10.3390/jpm15100491 - 14 Oct 2025
Viewed by 171
Abstract
Background: Breast-conserving surgery (BCS) combined with radiotherapy achieves oncologic outcomes comparable to mastectomy while preserving breast integrity. However, resections of more than 20% of breast volume or those in challenging quadrants may compromise cosmetic results. Level II oncoplastic techniques using volume replacement flaps [...] Read more.
Background: Breast-conserving surgery (BCS) combined with radiotherapy achieves oncologic outcomes comparable to mastectomy while preserving breast integrity. However, resections of more than 20% of breast volume or those in challenging quadrants may compromise cosmetic results. Level II oncoplastic techniques using volume replacement flaps aim to address this. The lateral intercostal artery perforator (LICAP) flap is a reliable, muscle-sparing option for lateral and central–lateral breast defects. This study reports our initial experience with LICAP in Level II oncoplastic breast reconstruction. Methods: A retrospective review was conducted of women undergoing BCS with LICAP reconstruction between March 2024 and March 2025. The primary outcome was flap-related complications within 90 days. Secondary outcomes included operative time, hospital stay, donor-site morbidity, and six-month aesthetic results using the Harvard scale and BREAST-Q® module. Results: Nine women underwent LICAP reconstruction. All tumours were ≤pT2 with negative margins. Mean operative time was 128 min, and the median hospital stay was 2 days. One minor flap-related complication (seroma, 11%) occurred, which was managed conservatively without re-operation or delay in adjuvant therapy. At six months, all patients achieved good or excellent Harvard scores. The mean BREAST-Q® satisfaction score was 79 ± 12. Conclusions: LICAP reconstruction is safe, efficient, and provides reliable early aesthetic and patient-reported outcomes. Its low complication rate, high satisfaction, and minimal morbidity support its broader adoption, while larger prospective studies are needed to assess long-term results and refine indications. These findings also underline the role of LICAP reconstruction as part of a personalized surgical strategy, where the choice of technique is tailored to individual anatomy and expectations. Full article
Show Figures

Graphical abstract

25 pages, 5853 KB  
Article
Effects of Dish-Shaped Buoy and Perforated Damping Plate on Power Absorption in Floating Two-Body Wave Energy Converters
by Lilei Li, Changdong Wei, Mingchen Li, Xuening Song, Yanjun Liu and Gang Xue
J. Mar. Sci. Eng. 2025, 13(10), 1881; https://doi.org/10.3390/jmse13101881 - 1 Oct 2025
Viewed by 300
Abstract
Floating two-body wave energy converters (WECs) exhibit advantages, including insensitivity to water depth and tidal range, along with adaptability to multi-level sea states. However, WECs suffer from drawbacks, including unstable power generation and low wave energy capture efficiency. To enhance the hydrodynamic performance [...] Read more.
Floating two-body wave energy converters (WECs) exhibit advantages, including insensitivity to water depth and tidal range, along with adaptability to multi-level sea states. However, WECs suffer from drawbacks, including unstable power generation and low wave energy capture efficiency. To enhance the hydrodynamic performance and energy capture efficiency, a dish-shaped buoy and perforated damping plate configuration was designed based on conventional two-body WECs. First, four two-body WECs were developed according to these configurations. Second, a numerical model based on potential flow theory and the boundary element method (BEM) was established, with its accuracy validated through sea trials. Finally, the frequency domain response, motion response, mooring tension and power absorption effect of the WECs under wave excitation of grades 3, 4 and 5 were analyzed. The results demonstrate that both the dish-shaped buoy and perforated damping plate significantly improve the device stability and energy capture potential. Regarding the motion response, both configurations reduced the peak response amplitudes in heave and roll, enhancing the device stability. For mooring tension, both configurations reduced the mooring line tension. For power absorption, the perforated damping plate effectively increased the energy capture efficiency, while the dish-shaped buoy also demonstrated superior performance under higher-energy wave conditions. Overall, this study provides a theoretical foundation and design guidance for floating two-body WECs. Full article
(This article belongs to the Section Ocean Engineering)
Show Figures

Figure 1

40 pages, 9892 KB  
Article
Influence of Web-Perforated Cold-Formed Steel Studs on the Heat Transfer Properties of LSF External Walls
by Saranya Ilango, Anthony Ariyanayagam and Mahen Mahendran
Energies 2025, 18(19), 5103; https://doi.org/10.3390/en18195103 - 25 Sep 2025
Viewed by 406
Abstract
Thermal bridging through cold-formed steel (CFS) studs significantly reduces the thermal performance of light gauge steel frame (LSF) wall systems, particularly in climates demanding higher thermal resistance (R-value). While thermal breaks are commonly used, they increase material costs and construction complexity. According to [...] Read more.
Thermal bridging through cold-formed steel (CFS) studs significantly reduces the thermal performance of light gauge steel frame (LSF) wall systems, particularly in climates demanding higher thermal resistance (R-value). While thermal breaks are commonly used, they increase material costs and construction complexity. According to NCC 2022, the minimum total R-value requirement for external walls ranges between 2.8 and 3.8 m2·K/W depending on the climate zone and building class. This study therefore evaluated web-perforated steel studs as a passive strategy to enhance thermal resistance of LSF walls, analysing 120 configurations with validated 3D finite element models in Abaqus and benchmarking in THERM. The results showed that web perforations consistently improved R-values by 14 to 20%, as isotherm contours and heat flux vectors demonstrated disruption of direct heat flow through the stud, thereby mitigating thermal bridging. Although the axial compression capacity of web-perforated CFS studs decreased by 29.5%, the use of 4 mm hole-edge stiffeners restored 96.8% of the original capacity. The modified NZS 4214:2006 and ASHRAE Modified Zone methods, incorporating steel area reduction and heat flux redistribution, closely matched Abaqus predictions, with coefficients of variation (COV) below 0.009, corresponding to less than 1% relative deviation between analytical and numerical R-values. Furthermore, application of web-perforated CFS studs in five external wall systems demonstrated improved thermal resistance, ensuring compliance with NCC 2022 R-value requirements across all Australian climate zones. Overall, the findings establish web-perforated studs as an effective solution for improving the energy performance of LSF building envelopes. Full article
Show Figures

Figure 1

15 pages, 7089 KB  
Article
Investigation on the Effect of Dynamic Focus Feeding and Widening Path in Nanosecond Laser Drilling
by Jianke Di and Jian Li
Micromachines 2025, 16(10), 1081; https://doi.org/10.3390/mi16101081 - 25 Sep 2025
Viewed by 297
Abstract
Laser trepan drilling and laser helical drilling are typical methods for fabrication of micro through-holes through scanning laser beam. In the drilling process, the subsequent laser pulse may be occluded by the edge and the sputter deposition at the edge of the previous [...] Read more.
Laser trepan drilling and laser helical drilling are typical methods for fabrication of micro through-holes through scanning laser beam. In the drilling process, the subsequent laser pulse may be occluded by the edge and the sputter deposition at the edge of the previous drilled trench. Dynamic focus feeding and widening path can be employed to lessen the occlusion effect and both of them are always employed in laser helical drilling. However, Widening the trench needs to remove more volume of material and may bring certain negative effects such as lowering the recoil pressure as well as less splashing melt due to the limited constraint of trench wall. The effects of dynamic feeding the focal plane and widening the scanning path on the quality and efficiency in the nanosecond laser drilling process were investigated through laser drilling holes with diameter of 500 μm on a 300 μm thick GH4169 plate. Results show that dynamic focus feeding is beneficial in both drilling efficiency and drilling quality. Through laser helical drilling with dynamic focus feeding, micro through-hole can be fabricated in 5 s, and both smaller tilting angle of 0.073 rad and smaller heat-affected zone of 0.63 mm in radius can be obtained. Widening scanning path is helpful to perforating rapidly but leads to much more recast layer coating. the quality of the micro through-holes depends not only on the utilization efficiency of the laser energy, but also on high temperature spatter deposition, which is the source of the difference between different drilling strategies. Due to the low cost in equipment and the better hole quality, the laser drilling, especially laser helical drilling, has potential applications ranging from aerospace fields to normal fields such as the agricultural machinery industry. Full article
(This article belongs to the Special Issue Recent Advances in Micro/Nanofabrication, 2nd Edition)
Show Figures

Figure 1

15 pages, 7162 KB  
Article
Investigation of an Accelerated Deterioration Method for Subsea Tunnel RC Linings via Electromigration and Its Associated Test Parameters
by Jiguo Liu, Qinglong Cui, Shengbin Zhang, Xin Li, Longhai Wei, Huimin Gong, Yiguo Xue and Min Han
J. Mar. Sci. Eng. 2025, 13(9), 1799; https://doi.org/10.3390/jmse13091799 - 17 Sep 2025
Viewed by 264
Abstract
Appropriate accelerated deterioration methods are crucial for studying the deterioration behavior of reinforced concrete linings in subsea tunnels. To investigate the deterioration mechanisms of reinforced concrete (RC) structures in marine environments, this study employed the electromigration method to simulate accelerated chloride-induced corrosion of [...] Read more.
Appropriate accelerated deterioration methods are crucial for studying the deterioration behavior of reinforced concrete linings in subsea tunnels. To investigate the deterioration mechanisms of reinforced concrete (RC) structures in marine environments, this study employed the electromigration method to simulate accelerated chloride-induced corrosion of steel reinforcement. The results demonstrate that under a direct current (DC) electric field, chloride ions migrate directionally and accumulate on the side of the steel facing the chloride source, successfully inducing non-uniform corrosion features that closely resemble those in natural environments. The side facing chloride ingress exhibited severe corrosion and significant cross-sectional loss, while the shielded side remained largely intact. The experimental process clearly reveals that the applied electric field does not directly initiate corrosion of the steel reinforcement before chloride ions migrate to its surface. Furthermore, analysis of experimental parameters showed that symmetrical perforations on electrode plates are crucial for a uniform electric field, while perforation ratio and electrode–specimen distance have a minor influence. The average chloride penetration depths corresponding to electrode plate perforation areas of 5.5%, 15%, 25.5%, and 38.1% were measured as 1.63 cm, 1.67 cm, 1.57 cm, and 1.57 cm, respectively. This research confirms electromigration as an efficient and reliable technique for accelerated corrosion testing, providing a significant theoretical basis for assessing and predicting the long-term durability of marine engineering structures. Full article
(This article belongs to the Section Ocean Engineering)
Show Figures

Figure 1

28 pages, 15140 KB  
Article
Integrated Understandings and Principal Practices of Water Flooding Development in a Thick Porous Carbonate Reservoir: Case Study of the B Oilfield in the Middle East
by Yu Zhang, Peiyuan Chen, Risu Na, Changyong Li, Jian Pi and Wei Song
Processes 2025, 13(9), 2921; https://doi.org/10.3390/pr13092921 - 13 Sep 2025
Viewed by 666
Abstract
This paper demonstrates the comprehensive research of the target Middle Eastern carbonate oilfield on waterflooding technologies, including geological characteristics, integrated research, and principal development techniques. Geological research reveals that the Mishrif Formation in the B Oilfield is a gentle-sloping carbonate platform, with granular [...] Read more.
This paper demonstrates the comprehensive research of the target Middle Eastern carbonate oilfield on waterflooding technologies, including geological characteristics, integrated research, and principal development techniques. Geological research reveals that the Mishrif Formation in the B Oilfield is a gentle-sloping carbonate platform, with granular limestone serving as the primary reservoir rock and micrite limestone serving as the secondary reservoir rock. In addition, based on understandings drawn from geological characteristics and numerical simulation, the water flooding mode of IBPT, which can take full use of the gravity effect, has been proven to yield better sweep efficiency in the context of a thick and heterogeneous reservoir. Furthermore, a large-scale physical model experiment is designed to investigate the fluid migration between the producer and injector and indicates that the injected water migration is mainly divided into four phases, including a two-peak advance phase, a gravitational differentiation phase, a secondary bottom water phase, and a wellbore water coning phase. Subsequently, the principal techniques and corresponding optimized production responses of water flooding development are systematically illustrated, which consist of well type optimization, differentiated water injection strategies, injection pattern conversion, unstable water injection, selective well perforation, as well as tracer surveillance methodology. The outcomes of this study are directly derived from field performances and could provide concrete practical experiences for water flooding technology in the Middle East. Full article
(This article belongs to the Section Energy Systems)
Show Figures

Figure 1

12 pages, 604 KB  
Article
Achieving Competitive Excellence in Taekwondo: The Relationship Between Unloaded Countermovement Jump Kinetic Variables and Sport-Specific Motor Tasks
by Alex Ojeda-Aravena, Rafael Lima Kons, Eduardo Báez-San Martín, Jairo Azócar-Gallardo and Xurxo Dopico-Calvo
Biomechanics 2025, 5(3), 70; https://doi.org/10.3390/biomechanics5030070 - 12 Sep 2025
Viewed by 641
Abstract
Background. In taekwondo (TKD), high-intensity actions—particularly kicks and rapid changes of direction—are key determinants of sport-specific performance. Kinetic vari-ables derived from unloaded countermovement jumps (CMJs) are employed as proxies of neuromuscular efficiency. However, most studies have examined the link between CMJ outputs and [...] Read more.
Background. In taekwondo (TKD), high-intensity actions—particularly kicks and rapid changes of direction—are key determinants of sport-specific performance. Kinetic vari-ables derived from unloaded countermovement jumps (CMJs) are employed as proxies of neuromuscular efficiency. However, most studies have examined the link between CMJ outputs and TKD using jump height alone in sport-specific tasks. Objective. To determine the associations between unloaded CMJ-derived kinetic variables and sport-specific performance, identifying key determinants of repeated high-intensity kicking capacity and change-of-direction ability. Methods. Fifteen national-team athletes (nine men, six women; 18–27 years) completed unloaded CMJ testing (Day 1) and, after 48 h, the Taekwondo-Specific Agility Test (TSAT) and the Multiple Frequency Speed of Kick Test (FSKTMULT) (Day 2). Results. For FSKTMULT, jump height (r = 0.545–0.746), take-off velocity (r = 0.548–0.799), and mean power (r = 0.602–0.799) were positively correlated with the number of kicks across all sets (p = 0.001–0.044). Stepwise regression identified mean power as the sole significant predictor, explaining 32–46% of the variance across sets. For TSAT, time correlated negatively with mean power (r = −0.678, p = 0.008), mean force (r = −0.536, p = 0.048), and RFD (0–30%) (r = −0.655, p = 0.011). Mean power and mid-propulsion impulse (30–60%) jointly explained 72.8% of the variance in TSAT time (R2 = 0.728, p < 0.001). Conclusions. Unloaded CMJ mean power and mid-propulsion impulse (30–60%) emerge as proxies of neuromuscular efficiency linked to sport-specific perfor-mance, supporting their use for athlete monitoring and targeted training. Full article
(This article belongs to the Special Issue Biomechanics in Sport, Exercise and Performance)
Show Figures

Figure 1

16 pages, 3953 KB  
Article
3D-Printed Prosthetic Solutions for Dogs: Integrating Computational Design and Additive Manufacturing
by Jeremy Sarpong, Khalil Khanafer and Mohammad Sheikh
Designs 2025, 9(5), 107; https://doi.org/10.3390/designs9050107 - 7 Sep 2025
Viewed by 1728
Abstract
This study investigates the mechanical performance of two prosthetic forelimb designs for dogs—one with a solid structure and the other with a perforated structure—using Finite Element Analysis (FEA). Both models were analyzed under static loading conditions representing approximately 60% of a dog’s body [...] Read more.
This study investigates the mechanical performance of two prosthetic forelimb designs for dogs—one with a solid structure and the other with a perforated structure—using Finite Element Analysis (FEA). Both models were analyzed under static loading conditions representing approximately 60% of a dog’s body weight, the typical load borne by the forelimbs. The prosthetics were modeled with ABS plastic, a widely used 3D printing material, and evaluated for Von Mises stress, total deformation, elastic strain, and factor of safety. The analysis showed that both models remained within the elastic limit of the material, indicating that no permanent deformation would occur under the applied loads. The Solid Model demonstrated a significantly higher factor of safety (14) and lower deformation, confirming its structural strength but also highlighting excessive rigidity, increased material use, and higher cost. In contrast, the Perforated Model exhibited slightly higher localized stresses and a lower factor of safety (3.01), yet it still met essential safety requirements while providing greater compliance, flexibility, and material efficiency. These attributes are desirable for comfort, adaptability, and practicality in veterinary applications. Although its long-term durability requires further evaluation, the Perforated Model strikes a more effective balance between safety, comfort, and sustainability. Based on these findings, the perforated design is considered the more suitable option for canine prosthetic development. Future work will extend the analysis to dynamic loading scenarios, such as walking and running, to better simulate real-world performance. Full article
(This article belongs to the Special Issue Design Process for Additive Manufacturing)
Show Figures

Figure 1

22 pages, 1104 KB  
Article
Improving CO2 Capture Efficiency Through Novel CLOU-Based Fuel Reactor Configuration in Chemical Looping Combustion
by Anna Zylka, Jaroslaw Krzywanski, Tomasz Czakiert, Marcin Sosnowski, Karolina Grabowska, Dorian Skrobek and Lukasz Lasek
Energies 2025, 18(17), 4640; https://doi.org/10.3390/en18174640 - 1 Sep 2025
Viewed by 696
Abstract
Climate change and global decarbonization targets drive the search for more efficient and cost-effective combustion technologies. Chemical looping combustion (CLC) using solid oxygen carriers with chemical looping with oxygen uncoupling (CLOU) functionality has attracted growing interest due to its inherent potential for CO [...] Read more.
Climate change and global decarbonization targets drive the search for more efficient and cost-effective combustion technologies. Chemical looping combustion (CLC) using solid oxygen carriers with chemical looping with oxygen uncoupling (CLOU) functionality has attracted growing interest due to its inherent potential for CO2 capture without requiring additional separation processes. This study introduces a conceptual proof-of-concept design of a novel fuel reactor design for a dual-fluidized bed CLC system operating with solid fuels. The new configuration incorporates a perforated conveyor for circulating CLOU-type oxygen carriers, thereby avoiding direct contact between the carriers and the fuel–ash mixture. This approach prevents the slip of unburned fuel and ash into the air reactor, minimizes the loss of oxygen carriers, and improves combustion efficiency. The proposed reactor concept enables the generation of flue gas with a high CO2 concentration, which facilitates its subsequent capture and reduces the energy penalty associated with traditional CCS techniques. The improved phase separation and better control of oxygen carrier residence time contribute to enhanced system performance and reduced operating costs. Preliminary process simulations conducted in the CeSFaMB environment, using boundary and initial conditions from a CLC test rig, were included to illustrate the potential of the design. Experimental validation is outside the scope of this study and will be presented in future work once the dedicated test facility is operational. This contribution should therefore be regarded as a conceptual proof-of-concept study, and experimental validation together with techno-economic benchmarking will be reported in follow-up publications once the dedicated test facility is operational. Full article
Show Figures

Figure 1

20 pages, 4557 KB  
Article
Experimental and Numerical Bearing Capacity Analysis of Locally Corroded K-Shaped Circular Joints
by Ying-Qiang Su, Shu-Jing Tong, Hai-Lou Jiang, Xiao-Dong Feng, Jian-Hua Li and Jian-Kun Xu
Buildings 2025, 15(17), 3111; https://doi.org/10.3390/buildings15173111 - 29 Aug 2025
Viewed by 404
Abstract
This study systematically investigates the influence of varying corrosion severity on the bearing capacity of K-shaped circular-section joints, with explicit consideration of weld line positioning. Four full-scale circular-section joint specimens with clearance gaps were designed to simulate localized corrosion through artificially introduced perforations, [...] Read more.
This study systematically investigates the influence of varying corrosion severity on the bearing capacity of K-shaped circular-section joints, with explicit consideration of weld line positioning. Four full-scale circular-section joint specimens with clearance gaps were designed to simulate localized corrosion through artificially introduced perforations, and axial static loading tests were performed to assess the degradation of structural performance. Experimental results indicate that the predominant failure mode of corroded K-joints manifests as brittle fracture in the weld-affected zone, attributable to the combined effects of material weakening and stress concentration. The enlargement of corrosion pit dimensions induces progressive deterioration in joint stiffness and ultimate bearing capacity, accompanied by increased displacement at failure. A refined finite element model was established using ABAQUS. The obtained load–displacement curve from the simulation was compared with the experimental data to verify the validity of the model. Subsequently, a parametric analysis was conducted to investigate the influence of multiple variables on the residual bearing capacity of the nodes. Numerical investigations indicate that the severity of corrosion exhibits a positive correlation with the reduction in bearing capacity, whereas web-chord members with smaller inclination angles demonstrate enhanced corrosion resistance, when θ is equal to 30 degrees, Ks decreases from approximately 0.983 to around 0.894. Thin-walled joints exhibit accelerated performance deterioration compared to thick-walled configurations under equivalent corrosion conditions. Furthermore, increased pipe diameter ratios exacerbate corrosion-induced reductions in structural efficiency, when the corrosion rate is 0.10, β = 0.4 corresponds to Ks = 0.98, and when β = 0.7, it is approximately 0.965. and distributed micro-pitting results in less severe capacity degradation than concentrated macro-pitting over the same corrosion areas. Full article
Show Figures

Figure 1

11 pages, 2027 KB  
Article
Optimization of Outflow-Tract Ventricular Arrhythmia Ablation Using a Universal Right Ventricle Model
by Krystian Szkoła, Łukasz Zarębski, Paweł Turek, Marian Futyma, Łukasz Wiśniowski and Piotr Futyma
J. Cardiovasc. Dev. Dis. 2025, 12(9), 323; https://doi.org/10.3390/jcdd12090323 - 24 Aug 2025
Viewed by 554
Abstract
Introduction: The radiofrequency catheter ablation (RFCA) of ventricular arrhythmias (VAs) originating from the right ventricular outflow tract (RVOT) is a well-established therapy. Traditionally, RFCA is guided using electroanatomical 3D mapping systems involving manual catheter navigation within cardiac chambers. While effective, this approach may [...] Read more.
Introduction: The radiofrequency catheter ablation (RFCA) of ventricular arrhythmias (VAs) originating from the right ventricular outflow tract (RVOT) is a well-established therapy. Traditionally, RFCA is guided using electroanatomical 3D mapping systems involving manual catheter navigation within cardiac chambers. While effective, this approach may be time-consuming, and it carries a potential risk of cardiac wall perforation. Although the risk is low, it cannot be underestimated. Therefore, alternative mapping methods are sought to reduce procedural times and improve the overall efficiency of RVOT-VAs ablation. Aim: To evaluate the safety, feasibility, and efficacy of a universal RVOT 3D model implementation for the ablation of idiopathic RVOT-VAs. Methods: Consecutive patients undergoing VA ablation supported with a universal RVOT 3D model (3D-MODEL group) were included in the study. The RVOT universal model in this group was created by processing DICOM images for the improved segmentation of anatomical structures, followed by production using 3D printing technology. Patients who underwent classic endocardial electroanatomical mapping served as controls (EAM group). Results: A total of 228 patients were included in the study (143 women, age 50 ± 17 years): 149 in the 3D-MODEL group and 79 in the EAM group. The acute complete elimination of clinical VAs was achieved for 133 (89%) of patients in the 3D-MODEL group vs. 65 (82%) in the EAM group (p = 0.14). The procedural time was significantly shorter in the 3D-MODEL group compared to the EAM group (38 ± 14 min vs. 80 ± 39 min, p < 0.001). A significant difference was also observed in the radiofrequency time between the 3D-MODEL and EAM groups (251 ± 176 s vs. 503 ± 425 s, p < 0.001). No significant difference in fluoroscopy time was found between the groups (284 ± 167 s vs. 260 ± 327 s, p = 0.49). Two cases of cardiac tamponade occurred, both in patients from the EAM group. During follow-up, lasting 14 ± 10 months, 87% of patients in the 3D-MODEL group and 75% in the EAM group remained arrhythmia-free (p = 0.45). Conclusions: The use of universal RVOT 3D modeling is a feasible, safe, and effective alternative to classic electroanatomical mapping in the ablation of idiopathic RVOT-VAs. Full article
(This article belongs to the Special Issue Modern Approach to Complex Arrhythmias, 2nd Edition)
Show Figures

Figure 1

29 pages, 5398 KB  
Article
Study on Acoustic Metamaterial Unit Cells: Acoustic Absorption Characteristics of Novel Tortuously Perforated Helmholtz Resonator with Consideration of Elongated Acoustic Propagation Paths
by Yizhe Huang, Qiyuan Fan, Xiao Wang, Ziyi Liu, Yuanyuan Shi and Chengwen Liu
Materials 2025, 18(17), 3930; https://doi.org/10.3390/ma18173930 - 22 Aug 2025
Viewed by 723
Abstract
Traditional sound-absorbing materials, which are intended to address the issue of low-frequency noise control in automobile air-conditioning duct mufflers, have limited noise reduction effects in small spaces. Because of their straightforward structure and excellent controllability, acoustic metamaterials—particularly Helmholtz resonators—have emerged as a research [...] Read more.
Traditional sound-absorbing materials, which are intended to address the issue of low-frequency noise control in automobile air-conditioning duct mufflers, have limited noise reduction effects in small spaces. Because of their straightforward structure and excellent controllability, acoustic metamaterials—particularly Helmholtz resonators—have emerged as a research hotspot in low-frequency noise reduction. However, existing technologies have issues such as restricted structural scale, narrow absorption frequency bands, and conflicts with ventilation requirements. To address these, this paper proposes a new type of Helmholtz perforated and tortuous-characteristic duct muffler for the unit cell of acoustic metamaterials. Through the innovative structural design combining a perforated panel with a multi-channel tortuous cavity, the length of the channel is changed in a limited space, thereby extending the sound wave propagation path and enhancing the dissipation of sound wave energy. Meanwhile, for the muffler, acoustic theoretical modeling, finite element simulation, and parametric optimization methods are adopted to systematically analyze the influence of its key structural parameters on the sound transmission loss (STL) of the muffler. Compared with the traditional folded-channel metamaterial, the two differ in resonance frequency by 38 Hz, in transmission loss by 1.157 dB, and in effective bandwidth by 1 Hz. This research provides theoretical support and design basis for solving the problem of low-frequency noise control in ventilation ducts, improves low-frequency broadband sound absorption performance, and promotes the engineering application of high-efficiency noise reduction devices. Full article
(This article belongs to the Section Materials Physics)
Show Figures

Figure 1

22 pages, 4773 KB  
Article
Equivalent Modeling and Simulation of Fracture Propagation in Deep Coalbed Methane
by Cong Xiao, Jiayuan He, Lin Meng, Rusheng Zhang and Dong Xiong
Energies 2025, 18(16), 4432; https://doi.org/10.3390/en18164432 - 20 Aug 2025
Viewed by 603
Abstract
Deep coalbed methane (CBM) is challenging to develop due to considerable burial depth, high ground stress, and complex geological structures. However, modeling deep CBM in complex formations and setting reasonable simulation parameters to obtain reasonable results still needs exploration. This study presents a [...] Read more.
Deep coalbed methane (CBM) is challenging to develop due to considerable burial depth, high ground stress, and complex geological structures. However, modeling deep CBM in complex formations and setting reasonable simulation parameters to obtain reasonable results still needs exploration. This study presents a comprehensive equivalent finite element modeling method for deep CBM. The method is based on the cohesive element with pore pressure of the zero-thickness (CEPPZ) model to simulate hydraulic fracture propagation and characterize the effects of bedding interfaces and natural fractures. Taking Ordo’s deep CBM in China as an example, a comprehensive equivalent model for hydraulic fracturing was developed for the limestone layer–coal seam–mudstone layer. Then, the filtration parameters of the CEPPZ model and the permeability parameters of the deep CBM reservoir matrix were inverted and calibrated using on-site data from fracturing tests. Finally, the propagation path of hydraulic fractures was simulated under varying ground stress, construction parameters, and perforation positions. The results show that the hydraulic fractures are more likely to expand into layers with low minimum horizontal stress; the effect of a sizable fluid injection rate on the increase in hydraulic fracture length is noticeable; the improvement effect on fracture length and area gradually weakens with the increased fracturing fluid volume and viscosity; and when directional roof limestone/floor mudstone layer perforation is used, and the appropriate perforation location is selected, hydraulic fractures can communicate the coal seam to form a roof limestone/floor mudstone layer indirect fracturing. The results can guide the efficient development of deep CBM, improving the human society’s energy structure. Full article
Show Figures

Figure 1

22 pages, 4056 KB  
Article
Research on a Model for Predicting Perforating Shock Loads by Numerical Simulation in Oil and Gas Wells
by Kui Zhang, Honglei Zhang, Jiejing Nie, Qiao Deng, Jiadong Jiang and Hongrui He
Processes 2025, 13(8), 2556; https://doi.org/10.3390/pr13082556 - 13 Aug 2025
Viewed by 493
Abstract
The perforating–fracturing–testing combined technology has emerged as a crucial well completion technique to enhance production efficiency. However, the shock loads generated during perforation in the packed section of an oil and gas well significantly affect the stability of the perforating tubing string system, [...] Read more.
The perforating–fracturing–testing combined technology has emerged as a crucial well completion technique to enhance production efficiency. However, the shock loads generated during perforation in the packed section of an oil and gas well significantly affect the stability of the perforating tubing string system, potentially leading to deformation or even fracture. During the perforating operation, a large amount of blast products is generated, and as these products escape the perforating gun and interact with the perforating fluid, the fluid pressure pulsates. These pressure fluctuations are the primary cause of the dynamic response of the perforating tubing string. The greatest threat to tubing string integrity occurs when pulsating pressure reaches its peak amplitude, potentially leading to tubing failure. To address this, this study employs underwater explosion theory to analyze the pressure variations during the generation and propagation of shock waves in perforation operations. Additionally, quantitative numerical simulation analysis reveals key relationships governing peak perforating fluid pressure: peak pressure remains remarkably stable at 370–371 MPa despite variations in perforating fluid viscosity (0–110 cP) or tubing Young’s modulus (100–260 GPa). However, it responds significantly to other parameters: fluid density (1–3 g/cm3) causes a linear increase from 335 MPa to 598 MPa; total charge mass drives a proportional rise from 162 MPa to 388 MPa; detonation interval (0–50 μs) elevates pressure from 268 MPa to 378 MPa; and formation pressure (0–100 MPa) increases it from 315 MPa to 372 MPa. Crucially, peak pressure decreases from 376 MPa to 243 MPa as the explosion space expands (0–5 m3). Furthermore, a nonlinear regression model is developed to predict peak perforating shock loads. The results indicate that residual perforation energy critically impacts tubing string safety. Validated against two field cases, the model achieves nearly 10% error compared to predictions from Pulsfrac (industry-standard perforating shock software), meeting field requirements while providing actionable insights for wellbore integrity and perforating tubing string stability. Full article
Show Figures

Figure 1

Back to TopTop