Sign in to use this feature.

Years

Between: -

Subjects

remove_circle_outline
remove_circle_outline
remove_circle_outline
remove_circle_outline
remove_circle_outline
remove_circle_outline
remove_circle_outline
remove_circle_outline
remove_circle_outline

Journals

remove_circle_outline
remove_circle_outline
remove_circle_outline
remove_circle_outline
remove_circle_outline
remove_circle_outline
remove_circle_outline
remove_circle_outline
remove_circle_outline

Article Types

Countries / Regions

remove_circle_outline
remove_circle_outline
remove_circle_outline

Search Results (514)

Search Parameters:
Keywords = orientational order parameters

Order results
Result details
Results per page
Select all
Export citation of selected articles as:
13 pages, 12547 KB  
Article
Orientational Structure and Electro-Optical Properties of Chiral Nematic Droplets with Conical Anchoring
by Kristina A. Feizer, Mikhail N. Krakhalev, Vladimir Yu. Rudyak and Victor Ya. Zyryanov
Molecules 2025, 30(24), 4761; https://doi.org/10.3390/molecules30244761 - 12 Dec 2025
Viewed by 294
Abstract
The polymer dispersed liquid crystals (PDLCs) with conical boundary conditions are considered. PDLC films with different values of the relative chirality parameter N0 of chiral nematic droplets ranging from 0 to 1.32 are studied experimentally and theoretically. In flattened spheroid-shaped chiral nematic [...] Read more.
The polymer dispersed liquid crystals (PDLCs) with conical boundary conditions are considered. PDLC films with different values of the relative chirality parameter N0 of chiral nematic droplets ranging from 0 to 1.32 are studied experimentally and theoretically. In flattened spheroid-shaped chiral nematic droplets, a twisted axial-bipolar structure is formed whose twist angle increases with rising N0 value. Two stable states of the structure are revealed: one with the bipolar axis oriented perpendicular to the short axis of the spheroid and another with the bipolar axis oriented parallel to it. Applying a small voltage causes the bipolar axes of the chiral nematic droplets to reorient parallel to the electric field. The structure is unwound in strong electric fields, and the droplet order parameter reaches a high value of nearly 0.95. These features of the voltage-induced reorientation of the axial-bipolar structure explain the experimentally observed characteristic electro-optical properties of PDLC cells: high transmittance Tmax0.90 in the on-state and low control voltages of less than 35 V. The minimum transmittance of the PDLC cells decreases as the value of N0 increases; for samples with N00.60, the contrast ratio exceeds 145. Full article
(This article belongs to the Special Issue Liquid Crystals, 3rd Edition)
Show Figures

Graphical abstract

35 pages, 1196 KB  
Article
An Integrated CRITIC–Weighted Fuzzy Soft Set Framework for Sustainable Stock Investment Decision-Making in Indonesia
by Mugi Lestari, Ema Carnia and Sukono
Mathematics 2025, 13(24), 3952; https://doi.org/10.3390/math13243952 - 11 Dec 2025
Viewed by 92
Abstract
Environmentally friendly (green) stock investment has evolved into a global trend over the past few decades, including in the Indonesian capital market. However, the process of selecting sustainability-oriented stocks involves various complex criteria that are often qualitative, subjective, and uncertain. Therefore, an analytical [...] Read more.
Environmentally friendly (green) stock investment has evolved into a global trend over the past few decades, including in the Indonesian capital market. However, the process of selecting sustainability-oriented stocks involves various complex criteria that are often qualitative, subjective, and uncertain. Therefore, an analytical tool is needed to support the decision-making process more adaptively and objectively. This study proposes the Criteria Importance Through Inter-criteria Correlation–Weighted Fuzzy Soft Set (CRITIC-WFSS) integration model, a decision-making method that combines WFSS with the objective, data-driven weighting mechanism of the CRITIC method. In the proposed model, parameter weights are determined by considering data variation (standard deviation) and inter-criteria correlation, ensuring that more discriminative and informative parameters receive higher weights. The model was applied to data on environmentally friendly stocks in the SRI-KEHATI Index, obtained from the Indonesia Stock Exchange (IDX) official website, to evaluate and identify stocks with optimal performance. The model’s performance is evaluated through a comparative study with the AHP-WFSS and Entropy–WFSS methods, complemented by a sensitivity analysis. The results show that UNVR ranked highest with a perfect score of 1, indicating an optimal balance between financial performance and sustainability. Furthermore, a comparative study demonstrated that CRITIC-WFSS can generate rankings that are more reliable, appropriate, and logical than those generated by two comparison methods. Meanwhile, the results of the sensitivity analysis indicate that the CRITIC-WFSS model demonstrates strong robustness to variations in input parameters, ensuring stable rankings. The model shows significant potential to support more accurate and transparent investment decision-making by generating consistent stock rankings based on a balanced integration of financial, and sustainability (environmental, social, and governance (ESG)) aspects. This research was conducted in order to support the achievement of various goals through SDG 8 (Decent Work and Economic Growth). Full article
(This article belongs to the Section E: Applied Mathematics)
Show Figures

Figure 1

13 pages, 2845 KB  
Article
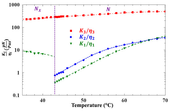
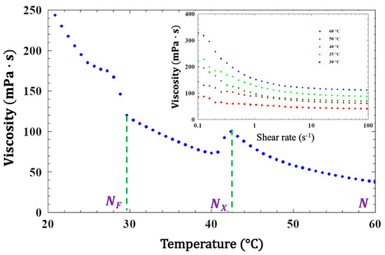
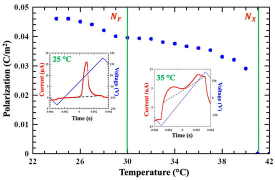
Comprehensive Characterization of a Reference Ferroelectric Nematic Liquid Crystal Material
by Ayusha Paul, Milon Paul, Manisha Badu, Arjun Ghimire, Netra Prasad Dhakal, Samuel Sprunt, Antal Jákli and James T. Gleeson
Materials 2025, 18(24), 5496; https://doi.org/10.3390/ma18245496 - 6 Dec 2025
Viewed by 810
Abstract
Among the recently developed ferroelectric nematic liquid crystals, FNLC-919, synthesized by Merck Electronics KGaA, stands out for its stable, room-temperature, ferroelectric nematic (NF) phase. This renders it a promising candidate for both fundamental research and device-level applications. In this study, we [...] Read more.
Among the recently developed ferroelectric nematic liquid crystals, FNLC-919, synthesized by Merck Electronics KGaA, stands out for its stable, room-temperature, ferroelectric nematic (NF) phase. This renders it a promising candidate for both fundamental research and device-level applications. In this study, we present a comprehensive experimental investigation of FNLC-919, focusing on its structural, optical, dielectric, and elastic properties in the paraelectric nematic (N) and the intermediate antiferroelectric phase (dubbed NX) that occur in a temperature range between the N and NF phases. Key material parameters such as ferroelectric polarization, viscosity, and nanostructure are characterized as functions of temperature in all mesophases, while the orientational elastic constants are determined only in the N and NX phases. Our findings are compared with prior results concerning the benchmark compound DIO that also exhibits the phase sequence N-NX-NF and reveals a smectic-like mass density wave coinciding with antiferroelectric ordering in the NX phase. Full article
(This article belongs to the Section Soft Matter)
Show Figures

Figure 1

20 pages, 1967 KB  
Article
Evaluation Model of Microhemodynamics in Finger Skin at Arterial Occlusion and Post-Occlusive Hyperemia
by Andrey P. Tarasov, Vasily N. Karpov and Dmitry A. Rogatkin
Fluids 2025, 10(12), 314; https://doi.org/10.3390/fluids10120314 - 30 Nov 2025
Viewed by 199
Abstract
The development of optical noninvasive methods for assessing the functional state of peripheral vessels, including the microcirculatory vascular bed, requires advances in modeling peripheral hemodynamics in order to interpret diagnostic data in terms of vascular tone, wall stiffness, and other related parameters. This [...] Read more.
The development of optical noninvasive methods for assessing the functional state of peripheral vessels, including the microcirculatory vascular bed, requires advances in modeling peripheral hemodynamics in order to interpret diagnostic data in terms of vascular tone, wall stiffness, and other related parameters. This study proposes a simple theoretical evaluation model of the dynamics of skin perfusion by blood during a functional test with brachial artery occlusion. As a development of conventional volume-chamber and pressure-volume approaches, this study introduces a problem-oriented three-chamber hemodynamic model of an arm, which allows simulating blood circulation during occlusion of major brachial veins and arteries. The model describes the Poiseuille flow of incompressible viscous blood in vessels with compliant walls, the lumen area of which is regulated by internal blood pressure and vascular tone. The initial diagnostic data for model validation were obtained in clinical trials with the use of the incoherent optical fluctuation flowmetry technique. Comparison of clinical and theoretical results revealed a fundamental qualitative agreement. In this field of medical diagnostics, for the first time, the dynamics of optical signals during the occlusion were successfully interpreted and substantiated as a response to changes in blood pressure and vascular tone in the microcirculatory system. Full article
(This article belongs to the Special Issue Recent Advances in Cardiovascular Flows)
Show Figures

Figure 1

20 pages, 3207 KB  
Article
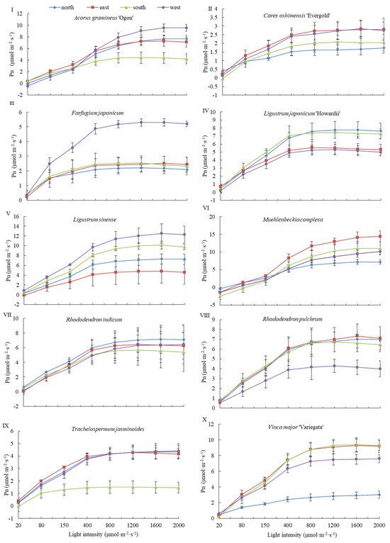
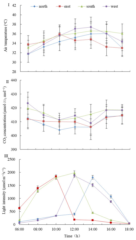
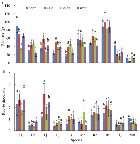
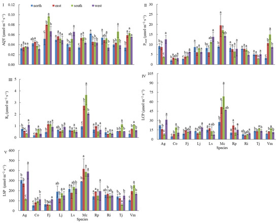
Photosynthetic Homeostasis Mechanism and Configuration Application of Woody Plants in Green Wall Under Light Gradients of Building Facades with Different Orientations
by Qiang Xing, Dongfan Xu, Hongbing Wang, Jun Qin, Nannan Dong, Bin Zhao and Yonghong Hu
Plants 2025, 14(23), 3570; https://doi.org/10.3390/plants14233570 - 22 Nov 2025
Viewed by 281
Abstract
Under the dual pressures of urbanization and climate change, vertical greening plays a crucial role in compensating for limited urban green space and in enhancing both landscape quality and ecological functions. To improve plant selection strategies for vertical greening, this study quantified the [...] Read more.
Under the dual pressures of urbanization and climate change, vertical greening plays a crucial role in compensating for limited urban green space and in enhancing both landscape quality and ecological functions. To improve plant selection strategies for vertical greening, this study quantified the photosynthetic adaptability of ten green wall species across light gradients on all four building facades. Over three years of in situ monitoring, combined with analyses of photosynthetic parameter variation (Pmax, LCP, and LSP) and biomass, we evaluated the physiological and ecological response mechanisms of plants with different growth forms at multiple scales (“trait–species–community”). The main findings are as follows: (1) Photosynthetically active radiation intensity had the order of south wall > east wall > west wall > north wall, with differences of 3–5 fold. (2) Cluster analysis of photosynthetic traits revealed a sensitivity hierarchy: monocotyledonous herbs > dicotyledonous herbs and vines > woody species. Woody plants such as Ligustrum sinense, Ligustrum japonicum, and Rhododendron spp. showed significantly lower variability in photosynthetic parameters (45.8–64.5%) than herbaceous species, thereby maintaining strong stability under light gradients. Muehlenbeckia complexa (Mc) adapted to intense south-facing light, while Acorus gramineus ‘Ogon’ (Ag) preferred the weaker light of north-facing walls. In contrast, Farfugium japonicum (Fj), Carex oshimensis (Co), Trachelospermum jasminoides (Tj), and Vinca major (Vm) displayed substantial physiological fluctuations. (3) Based on three years of monitoring data, we developed a quantitative model of light adaptation driven by the coefficient of variation (CV) of photosynthetic parameters. Together with PCA-based clustering, we proposed a “growth form–orientation” synergistic configuration framework. Woody plants with high photosynthetic stability are recommended as the structural backbone for cost-efficient green walls, supplemented by vine/herbaceous species selected according to wall orientation. This study not only provides a scientific basis for accurate plant selection and low-maintenance design of green walls but also provides technical strategies for integrating multifunctional green infrastructure with low-carbon urban development. Furthermore, the proposed approach can be standardized as a Nature-Based Solutions (NbS) pathway for widespread application to building facades in high-density cities worldwide. Full article
(This article belongs to the Section Plant Physiology and Metabolism)
Show Figures

Figure 1

45 pages, 3086 KB  
Review
Modelling of Insulation Thermal Ageing: Historical Evolution from Fundamental Chemistry Towards Becoming an Electrical Machine Design Tool
by Antonis Theofanous, Israr Ullah, Michael Galea, Paolo Giangrande, Vincenzo Madonna, Yatai Ji, John Licari and Maurice Apap
Energies 2025, 18(23), 6087; https://doi.org/10.3390/en18236087 - 21 Nov 2025
Viewed by 581
Abstract
Electrical insulation systems (EISs) are the principal reliability bottleneck of modern electrical machines (EMs). Among the many stresses acting on insulation, thermal stress is the most pervasive because it accelerates chemical reactions that progressively erode dielectric and mechanical integrity, ultimately dictating service life. [...] Read more.
Electrical insulation systems (EISs) are the principal reliability bottleneck of modern electrical machines (EMs). Among the many stresses acting on insulation, thermal stress is the most pervasive because it accelerates chemical reactions that progressively erode dielectric and mechanical integrity, ultimately dictating service life. As EMs migrate into compact, high-power-density platforms—automotive, aerospace, and industrial drives—designers need lifetime models that are not merely explanatory but actionable, linking operating temperatures and missions to quantified ageing and risk. This review article traces the evolution of thermal-ageing modelling from fundamental chemistry to a practical design tool. The historical empirical lineage of Arrhenius equation, Arrhenius–Dakin model, and Montsinger model is first revisited, clarifying their assumptions, parameter definitions, and the construction of thermal endurance curves. A discussion then follows on extensions that address deviations from first-order kinetics and demonstrate how variable temperature histories can be incorporated through cumulative damage formulations suitable for duty-cycle analysis. Since models are required to be anchored in data, accelerated thermal ageing (ATA) practices on representative specimens are outlined, alongside a description of the Weibull post-processing for deriving percentile lifetimes aligned with design targets. Building upon these foundations, the Physics-of-Failure (PoF) approach is introduced as a reliability-oriented design (ROD) methodology, in which validated lifetime models guide material selection and geometry optimisation while supporting prognostics and health management during operation. The emerging trend towards a hybrid PoF–AI approach is also discussed, which integrates artificial intelligence to identify nonlinear degradation patterns and drifting parameter relationships beyond the reach of empirical models, with physical constraints ensuring that predictions remain consistent with known ageing mechanisms. Such integration enables the learning process to adapt to operational variability and coupled stress effects, thereby improving both the accuracy and physical interpretability of lifetime estimation. The review aims to provide a concise view of models, tests, and workflows that convert thermal-ageing knowledge into robust, design-time decisions. By linking empirical and physics-based insights with modern data-driven learning, these developments support proactive maintenance, sustainable asset management, and extended operational lifetimes for next-generation EMs. Full article
Show Figures

Figure 1

16 pages, 2964 KB  
Article
In Silico Polymerisation and Characterisation of Auxetic Liquid Crystalline Elastomers Using Atomistic Molecular Dynamics Simulations
by Richard Mandle, Thomas Raistrick, Devesh Mistry and Helen Gleeson
Polymers 2025, 17(22), 3011; https://doi.org/10.3390/polym17223011 - 12 Nov 2025
Viewed by 456
Abstract
Using reactive atomistic molecular dynamics, we simulate the network formation and bulk properties of chemically identical liquid crystal elastomers (LCEs) and isotropic elastomers. The nematic elastomer is from a family of materials that have been shown to be auxetic at a molecular level. [...] Read more.
Using reactive atomistic molecular dynamics, we simulate the network formation and bulk properties of chemically identical liquid crystal elastomers (LCEs) and isotropic elastomers. The nematic elastomer is from a family of materials that have been shown to be auxetic at a molecular level. The network orientational order parameters and glass transition temperatures measured from our simulations are in strong agreement with experimental data. We reproduce, in silico, the magnitude and onset of strain-induced nematic order in isotropic simulations. Application of uniaxial strain to nematic LCE simulations causes biaxial order to emerge, as has been seen experimentally for these auxetic LCEs. At strains of ~1.0, the director reorients to be parallel to the applied strain, again as seen experimentally. The simulations shed light on the strain-induced order at a molecular level and allow insight into the individual contributions of the side-groups and crosslinker. Further, the agreement between our simulations and experimental data opens new possibilities in the computational design of high-molecular-weight liquid crystals, especially where an understanding of the properties under mechanical actuation is desired. Moreover, the simulation methodology we describe will be applicable to other combinations of orientational and/or positional order (e.g., smectics, cubics). Full article
(This article belongs to the Section Polymer Chemistry)
Show Figures

Graphical abstract

17 pages, 6032 KB  
Article
SAM-Based Approach for Automated Fabric Anisotropy Quantification in Concrete Aggregates
by Zongxian Liu, Chen Chen, Huibao Huang, Jiankang Chen, Pengtao Zhang and Jianghan Xue
Sensors 2025, 25(21), 6661; https://doi.org/10.3390/s25216661 - 1 Nov 2025
Viewed by 411
Abstract
The reliable characterization of fabric anisotropy in concrete aggregates is critical for understanding the mechanical behavior and durability of concrete. The accurate segmentation of aggregates is essential for anisotropy assessment. However, conventional threshold-based segmentation methods exhibit high sensitivity to noise, while deep learning [...] Read more.
The reliable characterization of fabric anisotropy in concrete aggregates is critical for understanding the mechanical behavior and durability of concrete. The accurate segmentation of aggregates is essential for anisotropy assessment. However, conventional threshold-based segmentation methods exhibit high sensitivity to noise, while deep learning approaches are often constrained by the scarcity of annotated data. To address these challenges, this study introduces the Segment Anything Model (SAM) for automated aggregate segmentation, leveraging its remarkable zero-shot generalization capabilities. In addition, a novel quantification technique integrating computational geometry with second-order Fourier series is proposed to evaluate both the magnitude and orientation of fabric anisotropy. Extensive experiments conducted on a self-constructed concrete aggregate dataset demonstrated the effectiveness and accuracy of the proposed method. The process incorporates domain-specific image preprocessing using Contrast Limited Adaptive Histogram Equalization (CLAHE) to enhance the input quality for the SAM. The SAM achieves an F1-score of 0.842 and an intersection over union (IoU) of 0.739, with mean absolute errors of 4.15° for the orientation and 0.025 for the fabric anisotropy. Notably, optimal segmentation performance is observed when the SAM’s grid point parameter is set to 32. These results validate the proposed method as a robust, accurate, and automated solution for quantifying concrete aggregate anisotropy, providing a powerful tool for microstructure analysis and performance prediction. Full article
(This article belongs to the Section Intelligent Sensors)
Show Figures

Figure 1

20 pages, 2826 KB  
Article
A Fully Resolved Model of Compressible Flow with Phase Change Inside a Thermosyphon Heat Pipe: Validation and Predictive Analysis
by Hammouda Mahjoub, Zied Lataoui, Adel M. Benselama, Yves Bertin and Abdelmajid Jemni
Fluids 2025, 10(11), 282; https://doi.org/10.3390/fluids10110282 - 30 Oct 2025
Viewed by 450
Abstract
Thermosyphon heat pipes (THPs) are increasingly employed in advanced thermal management applications due to their highly effective thermal conductivity, compact design, and passive operation. In this study, a numerical investigation was conducted on a copper or aluminum thermosyphon charged with different working fluids, [...] Read more.
Thermosyphon heat pipes (THPs) are increasingly employed in advanced thermal management applications due to their highly effective thermal conductivity, compact design, and passive operation. In this study, a numerical investigation was conducted on a copper or aluminum thermosyphon charged with different working fluids, with methanol serving as a reference case. A two-dimensional compressible CFD model was implemented in OpenFOAM, coupling the Volume of Fluid (VOF) method with a hybrid phase-change formulation that integrates the Lee and Tanasawa approaches. It provides, indeed, a balance between computational efficiency and physical fidelity. The vapor flow, considered as an ideal gas, was assumed compressible. The isoAdvector algorithm was applied as a reconstruction technique in order to improve interface capturing, to reduce spurious oscillations and parasitic currents, and to ensure more realistic simulation of boiling and condensation phenomena. The performance dependency on operating parameters such as the inclination angle, liquid filling ratio, and thermophysical properties of the working fluid is analyzed. The numerical predictions were validated against experimental measurements obtained from a dedicated test bench, showing discrepancies below 3% under vertical operation. This work provides new insights into the coupled influence of orientation, fluid inventory, and working fluid properties on THP behavior. Beyond the experimental validation, it establishes a robust computational framework for predicting two-phase heat and mass transfer phenomena by linearizing and treating the terms involved in thebalances to be satisfied implicitly. The results reveal a strong interplay between the inclination angle and filling ratio in determining the overall thermal resistance. At low filling ratios, the vertical operation led to insufficient liquid return and increased resistance, whereas inclined orientations enhanced the liquid spreading and promoted more efficient evaporation. An optimal filling ratio range of 40–60% was identified, minimizing the thermal resistance across the working fluids. In contrast, excessive liquid charge reduced the vapor space and degraded the performance due toflow restriction and evaporationflooding. Full article
(This article belongs to the Section Mathematical and Computational Fluid Mechanics)
Show Figures

Figure 1

39 pages, 23360 KB  
Article
Assessing the Impact of Additive Manufacturing on Dental Clinical Workflows: A Process-Oriented Approach
by Mariana Mutis Gómez, Mario Guerrero Torres, Sylvia María Villarreal-Archila and Jairo Núñez Rodríguez
J. Compos. Sci. 2025, 9(11), 579; https://doi.org/10.3390/jcs9110579 - 28 Oct 2025
Viewed by 1794
Abstract
Additive manufacturing (AM) is rapidly transforming clinical workflows in dentistry by enabling the customized, efficient, and digitally integrated production of dental devices. However, the existing literature lacks a process-oriented perspective on its technical and operational impact. This study aims to address this gap [...] Read more.
Additive manufacturing (AM) is rapidly transforming clinical workflows in dentistry by enabling the customized, efficient, and digitally integrated production of dental devices. However, the existing literature lacks a process-oriented perspective on its technical and operational impact. This study aims to address this gap through a dual-phase analysis using the Input–Transformation–Output (ITO) framework, providing practical insights into the operational reconfiguration enabled by AM. The first phase examined materials, image acquisition methods, design and lamination software, printing technologies, and key parameters across each stage of the AM workflow. The second phase analyzed four clinical applications (dental models, crowns and bridges, occlusal splints, and surgical guides) supported by a structured fabrication protocol and scanning electron microscopy (SEM) of 18 resin samples to assess surface quality and process-related defects. In addition, for each application, a comparative process analysis with traditional workflows was conducted using ASME diagramming. The findings indicate that AM reduces cycle times, manual intervention, and supply chain reliance while enabling production models such as Make-to-Order (MTO) and Engineer-to-Order (ETO). Its integration also fosters decentralized, in-clinic manufacturing with enhanced autonomy, flexibility, and reduced lead times. Nonetheless, this study highlights persisting challenges, including post-processing quality control, training requirements, and cost-efficiency concerns in low-volume settings. A hybrid model combining AM with conventional methods emerges as a pragmatic strategy for clinical adoption. Full article
(This article belongs to the Section Composites Manufacturing and Processing)
Show Figures

Figure 1

17 pages, 3781 KB  
Article
Strawberry (Fragaria × ananassa Duch.) Fruit Shape Differences and Size Characteristics Using Elliptical Fourier Descriptors
by Bahadır Sayıncı, Sinem Öztürk Erdem, Muhammed Hakan Özdemir, Merve Karakoyun Mutluay, Cihat Gedik and Mustafa Çomaklı
Horticulturae 2025, 11(11), 1281; https://doi.org/10.3390/horticulturae11111281 - 24 Oct 2025
Viewed by 694
Abstract
The objective of this research endeavor is to present engineering data pertaining to the size and shape characteristics of strawberries, which have a wide range of applications in industry, and to obtain the data necessary for the development and design of product processing [...] Read more.
The objective of this research endeavor is to present engineering data pertaining to the size and shape characteristics of strawberries, which have a wide range of applications in industry, and to obtain the data necessary for the development and design of product processing systems. In this study, standard strawberry varieties were utilized, and analyses were conducted by means of an image-processing method. The projection area (601.5–762.0 mm2), length (34.0 mm), width (28.6 mm) and surface area (28.6 cm2) of the strawberry samples were measured in the horizontal and vertical orientation, in order to ascertain their size characteristics. Furthermore, the sphericity (86.1%) and roundness (1.039–1.087) parameters were calculated for the shape characteristics, accordingly. The findings of the correlation analysis suggested that the size parameters of the fruits exerted no influence on fruit shape characteristics. In the elliptic Fourier analysis performed to reveal the shape differences in the fruit, the contour geometry of each fruit sample was extracted, the principal component (PC) scores describing the shape were obtained and the shape categories of the fruit were determined. Following the analysis of the PCs, it was determined that 90.77% of the total shape variance was explained by the first seven components. Consequently, the shape of the strawberry fruit was defined as a spherical cone. Following the implementation of a discriminant analysis in conjunction with a clustering process, which categorized the samples into seven distinct shape categories employing the k-means algorithm, an accuracy rate of 94.1% was achieved. Full article
(This article belongs to the Section Fruit Production Systems)
Show Figures

Figure 1

19 pages, 6627 KB  
Article
Functional Data Analysis for the Structural, Chemical, Thermal, and Mechanical Properties of PA12 Additively Manufactured via SLS
by Alejandro García Rodríguez, Yamid Gonzalo Reyes, Edgar Espejo Mora, Carlos Alberto Narváez Tovar and Marco Antonio Velasco Peña
Polymers 2025, 17(20), 2763; https://doi.org/10.3390/polym17202763 - 15 Oct 2025
Viewed by 608
Abstract
Additive manufacturing via selective laser sintering (SLS) enables the rapid production of geometrically complex polyamide 12 (PA12) components. However, conventional pointwise analysis techniques often overlook the full depth of continuous experimental datasets, thus limiting the interpretation of structure–function relationships that are essential to [...] Read more.
Additive manufacturing via selective laser sintering (SLS) enables the rapid production of geometrically complex polyamide 12 (PA12) components. However, conventional pointwise analysis techniques often overlook the full depth of continuous experimental datasets, thus limiting the interpretation of structure–function relationships that are essential to high-performance design. This study employs functional data analysis (FDA) to elucidate the microstructural, chemical, thermal, and mechanical behaviours of SLS-fabricated PA12, focusing on the effects of build orientation (horizontal, transverse, vertical) and wall thickness (2.0–3.0 mm). The samples were produced via a commercial SLS platform and characterised via X-ray diffraction (XRD), Fourier transform infrared spectroscopy (FTIR), differential scanning calorimetry (DSC), and tensile testing. The FDA was applied to raw, normalised, and first derivative datasets via Python’s Scikit-FDA package, increasing the sensitivity to latent material variations. The findings demonstrate that the build orientation has a marked influence on the crystallinity and mechanical performance: horizontal builds yield narrower gamma-phase XRD peaks, greater structural order, and enhanced tensile properties, whereas vertical builds exhibit broader peak dispersion and greater thermal sensitivity. The wall thickness effects were minor, with only isolated flux-related anomalies. The FTIR spectra confirmed the consistent chemical stability across all the conditions. The FDA successfully identified subtle transitions and anisotropies that eluded traditional methods, underscoring its methodological strength for advanced polymer characterisation. These insights offer practical guidance for refining SLS process parameters and improving predictive design strategies in polymer-based additive manufacturing. Full article
Show Figures

Figure 1

24 pages, 1878 KB  
Article
Advancements in Sustainable Mobility: Fractional-Order FOC of IM in an Electric Vehicle Powered by an Autonomous PV Battery System
by Fatma Ben Salem, Jaouhar Mouine and Nabil Derbel
Fractal Fract. 2025, 9(10), 661; https://doi.org/10.3390/fractalfract9100661 - 14 Oct 2025
Viewed by 559
Abstract
This paper presents a novel fractional-order field-oriented control (FO-FOC) strategy for induction motor drives in electric vehicles (EVs) powered by an autonomous photovoltaic (PV) battery energy system. The proposed control approach integrates a fractional-order sliding mode controller (FO-SMC) into the conventional FOC framework [...] Read more.
This paper presents a novel fractional-order field-oriented control (FO-FOC) strategy for induction motor drives in electric vehicles (EVs) powered by an autonomous photovoltaic (PV) battery energy system. The proposed control approach integrates a fractional-order sliding mode controller (FO-SMC) into the conventional FOC framework to enhance dynamic performance, improve robustness, and reduce sensitivity to parameter variations. The originality of this work lies in the combined use of fractional-order control and real-time adaptive parameter updating, applied within a PV battery-powered EV platform. This dual-layer control structure allows the system to effectively reject disturbances, maintain torque and flux tracking, and mitigate the effects of component aging or thermal drift. Furthermore, to address the chattering phenomenon typically associated with sliding mode control, a continuous saturation function was employed, resulting in smoother voltage and current responses more suitable for real-time implementation. Extensive simulation studies were conducted under ideal conditions, with parameter mismatch, and with the proposed adaptive update laws. Results confirmed the superiority of the FO-based approach over classical integer-order designs in terms of speed tracking, flux regulation, torque ripple reduction, and system robustness. The proposed methodology offers a promising solution for next-generation sustainable mobility systems requiring high-performance, energy-efficient, and fault-tolerant electric drives. Full article
(This article belongs to the Special Issue Advances in Dynamics and Control of Fractional-Order Systems)
Show Figures

Figure 1

28 pages, 9618 KB  
Article
Effects of Steam Sterilization and Recycling on the Mechanical and Surface Properties of 3D-Printed Biodegradable PLA and Re-PLA Materials
by Yunus Karayer, Şakir Altınsoy, Gökçe Koç, Diyadin Can and Yunus Emre Toğar
Polymers 2025, 17(19), 2590; https://doi.org/10.3390/polym17192590 - 25 Sep 2025
Viewed by 1357
Abstract
Polylactic acid (PLA) is an eco-friendly polymer known for its biodegradability and biocompatibility, yet its properties are sensitive to recycling and sterilization. These processes may cause chain scission and structural irregularities, leading to reduced strength, brittleness, or unpredictable deformation. In this study, PLA [...] Read more.
Polylactic acid (PLA) is an eco-friendly polymer known for its biodegradability and biocompatibility, yet its properties are sensitive to recycling and sterilization. These processes may cause chain scission and structural irregularities, leading to reduced strength, brittleness, or unpredictable deformation. In this study, PLA and recycled PLA (Re-PLA) specimens were produced by FDM 3D printing with different infill rates (25%, 50%, 75%), layer thicknesses (0.15, 0.20, 0.25 mm), and printing orientations (0°, 45°, 90°). Steam sterilization at 121 °C and 1 bar for 15 min simulated biomedical conditions. Mechanical, surface, degradation, and biocompatibility properties were examined using three-point bending, roughness measurements, SEM, and cell viability tests. Results showed that infill rate was the main parameter affecting flexural strength and surface quality, while orientation increased roughness. Sterilization and recycling made deformation less predictable, particularly in St-Re-PLA. SEM revealed stronger bonding at higher infill, but more brittle fractures in PLA and Re-PLA, while sterilized specimens showed ductile features. No visible degradation occurred at any infill level. Regression analysis confirmed that second-order polynomial models effectively predicted flexural strength, with layer thickness being most influential. These findings provide critical insights into optimizing PLA and Re-PLA processing for biomedical applications, particularly in the production of sterilizable and recyclable implantable devices. Full article
(This article belongs to the Special Issue Advances in Biocompatible and Biodegradable Polymers, 4th Edition)
Show Figures

Graphical abstract

24 pages, 103094 KB  
Article
A Method for Automated Detection of Chicken Coccidia in Vaccine Environments
by Ximing Li, Qianchao Wang, Lanqi Chen, Xinqiu Wang, Mengting Zhou, Ruiqing Lin and Yubin Guo
Vet. Sci. 2025, 12(9), 812; https://doi.org/10.3390/vetsci12090812 - 26 Aug 2025
Viewed by 1240
Abstract
Vaccines play a crucial role in the prevention and control of chicken coccidiosis, effectively reducing economic losses in the poultry industry and significantly improving animal welfare. To ensure the production quality and immune effect of vaccines, accurate detection of chicken Coccidia oocysts in [...] Read more.
Vaccines play a crucial role in the prevention and control of chicken coccidiosis, effectively reducing economic losses in the poultry industry and significantly improving animal welfare. To ensure the production quality and immune effect of vaccines, accurate detection of chicken Coccidia oocysts in vaccine is essential. However, this task remains challenging due to the minute size of oocysts, variable spatial orientation, and morphological similarity among species. Therefore, we propose YOLO-Cocci, a chicken coccidia detection model based on YOLOv8n, designed to improve the detection accuracy of chicken coccidia oocysts in vaccine environments. Firstly, an efficient multi-scale attention (EMA) module was added to the backbone to enhance feature extraction and enable more precise focus on oocyst regions. Secondly, we developed the inception-style multi-scale fusion pyramid network (IMFPN) as an efficient neck. By integrating richer low-level features and applying convolutional kernels of varying sizes, IMFPN effectively preserves the features of small objects and enhances feature representation, thereby improving detection accuracy. Finally, we designed a lightweight feature-reconstructed and partially decoupled detection head (LFPD-Head), which enhances detection accuracy while reducing both model parameters and computational cost. The experimental results show that YOLO-Cocci achieves an mAP@0.5 of 89.6%, an increase of 6.5% over the baseline model, while reducing the number of parameters and computation by 14% and 12%, respectively. Notably, in the detection of Eimeria necatrix, mAP@0.5 increased by 14%. In order to verify the application effect of the improved detection algorithm, we developed client software that can realize automatic detection and visualize the detection results. This study will help improve the level of automated assessment of vaccine quality and thus promote the improvement of animal welfare. Full article
Show Figures

Figure 1

Back to TopTop