Next Article in Journal
The Impact of Climate Change on Eastern European Viticulture: A Review of Smart Irrigation and Water Management Strategies
Previous Article in Journal
Stimulation of Abscisic Acid Biosynthesis by Ethylene with Suppressive Action of MiR396 in Postharvest Strawberry Fruits
 
 
Font Type:
Arial Georgia Verdana
Font Size:
Aa Aa Aa
Line Spacing:
Column Width:
Background:
Article

Strawberry (Fragaria × ananassa Duch.) Fruit Shape Differences and Size Characteristics Using Elliptical Fourier Descriptors

by
Bahadır Sayıncı
1,
Sinem Öztürk Erdem
2,
Muhammed Hakan Özdemir
3,
Merve Karakoyun Mutluay
2,
Cihat Gedik
1 and
Mustafa Çomaklı
3,*
1
Department of Biosystems Engineering, Faculty of Agriculture and Natural Sciences, Bilecik Şeyh Edebali University, 11200 Bilecik, Türkiye
2
Department of Horticulture, Faculty of Agriculture and Natural Sciences, Bilecik Şeyh Edebali University, 11200 Bilecik, Türkiye
3
Department of Agricultural Machinery and Technologies Engineering, Faculty of Agriculture, Atatürk University, 25240 Erzurum, Türkiye
*
Author to whom correspondence should be addressed.
Horticulturae 2025, 11(11), 1281; https://doi.org/10.3390/horticulturae11111281 (registering DOI)
Submission received: 25 September 2025 / Revised: 20 October 2025 / Accepted: 21 October 2025 / Published: 24 October 2025
(This article belongs to the Section Fruit Production Systems)

Abstract

The objective of this research endeavor is to present engineering data pertaining to the size and shape characteristics of strawberries, which have a wide range of applications in industry, and to obtain the data necessary for the development and design of product processing systems. In this study, standard strawberry varieties were utilized, and analyses were conducted by means of an image-processing method. The projection area (601.5–762.0 mm2), length (34.0 mm), width (28.6 mm) and surface area (28.6 cm2) of the strawberry samples were measured in the horizontal and vertical orientation, in order to ascertain their size characteristics. Furthermore, the sphericity (86.1%) and roundness (1.039–1.087) parameters were calculated for the shape characteristics, accordingly. The findings of the correlation analysis suggested that the size parameters of the fruits exerted no influence on fruit shape characteristics. In the elliptic Fourier analysis performed to reveal the shape differences in the fruit, the contour geometry of each fruit sample was extracted, the principal component (PC) scores describing the shape were obtained and the shape categories of the fruit were determined. Following the analysis of the PCs, it was determined that 90.77% of the total shape variance was explained by the first seven components. Consequently, the shape of the strawberry fruit was defined as a spherical cone. Following the implementation of a discriminant analysis in conjunction with a clustering process, which categorized the samples into seven distinct shape categories employing the k-means algorithm, an accuracy rate of 94.1% was achieved.

1. Introduction

The dimensions (length, diameter, area, etc.) and shape characteristics of agricultural products are significant for the management of product processing, quality control, classification, storage, packaging, and marketing processes [1]. In machine vision systems utilized for automatic fruit classification, the color and size characteristics of the product are employed as references for optimization studies. The projection area, which defines the surface area of the fruit in a two-dimensional plane, is a feature that determines the accuracy of the robotic harvesting system in recognizing the object [2]. The surface area of agricultural products is an important measure used to determine the energy requirement needed to drying process [3].
In the context of the food industry and the expectations of consumers, the classification of products according to their size and shape is imperative in order to satisfy market demands. The implementation of various image-processing algorithms is crucial to ensure the reliability and efficiency of the classification process [4]. The objective of these algorithms is to enhance automated classification systems that utilize the size and shape characteristics of products. In the currently available literature, a range of image-processing algorithms have been employed for the identification of the size and shape of onions [5], kiwis [6] and pomegranates [7]. The divergent morphologies exhibited by diverse agricultural products necessitate the optimization of these algorithms on a per-product basis [8,9].
Strawberries (Fragaria × ananassa Duch.) exhibit considerable morphological variability in size and shape, which directly affects their industrial processing and commercial classification. In recent years, numerous studies have focused not only on the physical characterization of strawberries but also on their biochemical composition and postharvest utilization potential. The fruit and its by-products are rich sources of bioactive compounds, including anthocyanins, ellagitannins, flavanols, and phenolic acids, whose concentration and profile vary among cultivars, ripening stages, and growing conditions [10]. However, despite the increasing use of strawberries in the production of jams, juices, purees, dried and frozen products, and as flavoring or coloring agents in dairy and confectionery industries, there is still a lack of comprehensive data correlating morphological attributes with the retention and recovery of these functional compounds during processing. Recent findings have also demonstrated that agro-industrial strawberry by-products—such as calyx, stems, and unmarketable fruit portions-contain higher phenolic contents and antioxidant capacities than the edible parts, suggesting an underexploited potential for revalorization in food, nutraceutical, and cosmetic formulations [11]. Nonetheless, the stability of these compounds under industrial conditions and the optimization of extraction methods remain major challenges, highlighting the need for integrated studies linking fruit geometry, compositional variability, and processing performance.
A plethora of studies have hitherto been conducted on the influence of cultivation conditions on the morphological characteristics of strawberries. These characteristics include, but are not limited to, fruit length, diameter, and weight. These characteristics are critical indicators of external quality and market value. Güzdüz and Özdemir [12] reported that environmental conditions significantly influenced fruit size, with the Camarosa cultivar producing larger fruits under greenhouse conditions, while open-field cultivation increased dimensional variability. In a similar vein, Sarıdaş et al. [13] demonstrated that irrigation regimes influenced fruit morphology, where moderate water restriction reduced fruit length and mass but improved uniformity under controlled irrigation. In a recent study, Öztürk Erdem [14] examined the impact of varying spring planting periods on the pomological and phytochemical characteristics of four strawberry varieties (Albion, Monterey, Portola, and Pineberry). The study revealed that planting time significantly influenced fruit weight and size, with the Albion and Monterey cultivars demonstrating superior performance in mid-spring plantings. Collectively, these studies indicate that environmental and management factors play a decisive role in shaping strawberry morphology. However, the number of studies that specifically and quantitatively assess shape and dimensional attributes under varying cultivation conditions remains limited, highlighting a research gap that warrants further investigation into the morphological determinants of fruit development.
In this study, the size and shape parameters of strawberry fruit are examined within a broad framework. The objective of the present research is to generate data for product processing technologies, machine systems, or robotic systems structured with deep learning algorithms, and to facilitate the development and design of new systems. In the context of this research, the objective is to identify the limits of variation in size for standard varieties, to determine the number of groups in terms of shape category, and to reveal the shape factors that generate differences in terms of contour geometry.

2. Materials and Methods

2.1. Strawberry Varieties

The present study employed the utilization of the strawberry varieties Albion, Monterey, and San Andreas because they are known to possess a neutral day-length characteristic. The fruits were obtained from the greenhouses of the Agricultural Application and Research Centre at Bilecik Şeyh Edebali University (40°06′48.3″ North, 30°00′08.4″ East) [14].

2.2. Imaging of Strawberry Samples

After harvesting, the strawberry samples were stored in PET (polyethylene terephthalate) containers and transported to the imaging laboratory on the same day. The leaves and stems of each sample were then removed. Foreign matter, including plant stems and leaves, was removed from the strawberry samples meticulously. Damaged fruits were also removed from the group. Approximately 450 fruit samples (33% Albion, 29% Monterey, 37% San Andreas) were collected during the one-week harvesting period, and mass measurements were taken on a precision balance (±0.01 g accuracy). Subsequently, an imaging procedure was conducted on the bottom-illuminated fiberglass surface, as illustrated in Figure 1.

2.3. Vision System and Image Acquisition Setup

The images of the strawberry samples were obtained by means of a digital camera (the Panasonic Lumix DMC-FZ50, manufactured by Panasonic Corp., Osaka, Japan) that was equipped with a 1/1.8″ CCD sensor, which provided an effective resolution of 10.1 megapixels (maximum image size: 3648 × 2736 pixels). The lens employed in this study was the built-in LEICA DC VARIO-ELMARIT lens (Leica Camera AG, Wetzlar, Germany), which has a focal range of 7.4–88.8 mm (equivalent to 35–420 mm in the 35 mm format) and an aperture range of f/2.8–3.7. The lens was utilized at a fixed focal length of 35 mm with the objective of minimizing perspective distortion. The camera was mounted in a vertical orientation at a fixed height of 55 cm above a transparent fiberglass plate. This ensured that the optical axis was perpendicular, thus facilitating geometric consistency among all samples.
The illumination was provided from below by a uniform diffuse LED light source integrated into the imaging platform. This configuration provided bottom-up illumination, thereby minimizing shadow formation and surface reflections on the strawberry surface. All images were acquired under constant laboratory conditions, with ambient light completely eliminated to maintain lighting uniformity. As contour detection was based on binary threshold segmentation, minor variations in light intensity did not influence the extracted fruit boundaries. Consequently, the illumination system ensured stable and reproducible imaging conditions for accurate geometric analysis. This was carried out in order to prevent shadow formation and surface reflections. All images were captured in jpeg format (4:3 aspect ratio) with constant exposure parameters (ISO 100, aperture f/4.0, shutter speed 1/125 s) under darkened laboratory conditions to eliminate ambient light interference. The built-in MEGA Optical Image Stabilization (O.I.S.) system was activated, and each image was remotely triggered via a wired port connection to ensure the elimination of hand-induced vibrations during capture. A millimeter-scale calibration ruler was placed in each image to establish the relationship between pixel and millimetric dimensions, ensuring accurate geometric scaling for subsequent morphometric analyses.
The camera was mounted vertically at a constant height, and all samples were positioned within the central field of view to minimize radial distortion The calibration ruler placed in each image was utilized not only for scale reference but also to verify geometric consistency, thereby confirming that optical distortion within the imaging area was negligible.

2.4. Image Processing

The digital files containing the images of the strawberries were subjected to image processing using ImageJ v.1.38x software [15]. The image-processing operations conducted at this stage are elucidated and demonstrated in sequence in Figure 2.

2.5. Size and Shape Characteristics

The length (L, mm) and width (W, mm) of the strawberry fruit were measured from horizontal orientation, while the thickness (T, mm) was measured from vertical orientation (Figure 3). The aspect ratio (E) of the fruit was automatically measured by dividing the maximum length value in both orientation by the minimum length value. The area of the scanned surface was measured in accordance with the contours of the fruit, and this value was defined as the projection area (PA, mm2). The measurement of the perimeter of the fruit (P, mm) was conducted on the basis of the length of the curve forming the closed contour. The feret diameter (FD, mm) value was measured as maximum distance in the projection area. The roundness (R) value was automatically calculated by the software and measured using the equation R = P 2 / 4 · π · P A . Shapes with an R value of 1 are designated as perfect circles, whilst others assume values greater than 1 [16].
The parameters defining the strawberry fruit in the spatial axis were calculated using measurements obtained from the images. The geometric mean diameter (Dg, mm), surface area (SA, cm2), and sphericity (Φ, %) were calculated using Equations (1), (2) and (3), respectively [8,9].
D g = L · W · T 3
S A = π · D g 2
ϕ = D g / L · 100

2.6. Elliptic Fourier Analysis

Elliptic Fourier analysis (EFA) was performed to reveal the morphological differences between strawberry samples, regardless of size. In order to facilitate a comparison of the resulting curve, which was modeled from the outer contour of the fruit, between strawberry samples, 24-bit bmp digital files were utilized. Analyses were then performed using the SHAPE (v. 1.03) software package [17]. The application steps of the analysis comprised the following: firstly, digitizing the closed curve; secondly, determining the x and y coordinates of each point on the curve; thirdly, converting the coordinate values into a mathematical function; and finally, obtaining the function coefficients. The selection of a harmonic number of 20 was made for the purpose of creating these coefficients [18]. The analysis procedures applied for EF were performed using the ChainCoder, Chc2Nef, PrinComp, and PrinPrint modules of the software. Utilizing these modules, the color images were converted to monochrome, and following noise reduction, the shape contours were coded. The contour codes for the shape data were then normalized to obtain EF descriptors. Principal component analysis (PCA) was then applied to the normalized shape descriptors, and the shape variations in the fruit contours were visualized. Consequently, PCA was employed to identify components that predominantly explain shape variation, and component scores corresponding to 422 fruit samples were obtained for each component.

2.7. Statistical Analysis

All data pertaining to the size and shape characteristics of strawberries were recorded meticulously in MS Excel 2021, and histogram graphs were created by classifying each size into its own category. Furthermore, employing a macro in the software, the arithmetic mean, standard deviation, median, minimum and maximum values, skewness and kurtosis statistics of the data were calculated. A comparison was made between the histogram graphs and statistics in order to evaluate the data distribution. Distributions with skewness and kurtosis coefficients ranging between −1 and +1 are considered to be normal. Distributions with a median equal to the mean are deemed to be symmetrical. Those with a median smaller than the mean is recognized as right-skewed (positive), and those with a median larger than the mean is recognized as left-skewed (negative). A positive kurtosis coefficient is indicative of a distribution that is more pointed than is typical, whilst a negative coefficient is indicative of a distribution that is flatter than is customary [19,20]. In order to ascertain the variation in size and shape characteristics according to horizontal and vertical orientation, a one-way analysis of variance (ANOVA) was applied to all data.
The analysis of EF revealed the proportion of total variance explained by the principal components that best account for the morphological differences among strawberry fruits. The k-means algorithm was utilized for the purpose of grouping the fruits according to their morphological characteristics. The number of groups was determined on the basis of the number of principal components explaining the highest proportion of variance. Discriminant analysis was performed in order to ascertain the efficacy of the principal components in distinguishing between the fruit groups. To this end, the groups were categorized according to shape and assigned as the dependent variable, whilst the scores for each principal component were assigned as the independent variable. The analysis demonstrated the efficacy of the principal components in classifying strawberries according to their shape. Statistical analyses were conducted utilizing SPSS 20.0 software.

3. Results

As demonstrated in Table 1, the min-max values indicate a considerable degree of variation in terms of size among the strawberries. In contrast, the variation in shape data is confined to a more limited range when compared with the size data. The findings of the variance analysis demonstrate that the means obtained in the horizontal and vertical orientations are different (p < 0.01). The mean values for length and projected area obtained from horizontal measurements are greater than those obtained from vertical measurements. The increase in roundness and the width-to-length ratio in the horizontal plane indicates a decrease in roundness.
It can be deduced from the median value of the majority of the size and shape data being lower than the mean that the data distribution is skewed to the left. The skewness coefficient that is closest to zero is obtained in the sphericity dataset, while the greatest skewness occurs in the surface area data. As indicated by the kurtosis coefficient, the length dataset demonstrates resemblance to a normal distribution. The surface area data, which exhibits the most significant kurtosis coefficient, features a pointed structure in comparison to the normal distribution.
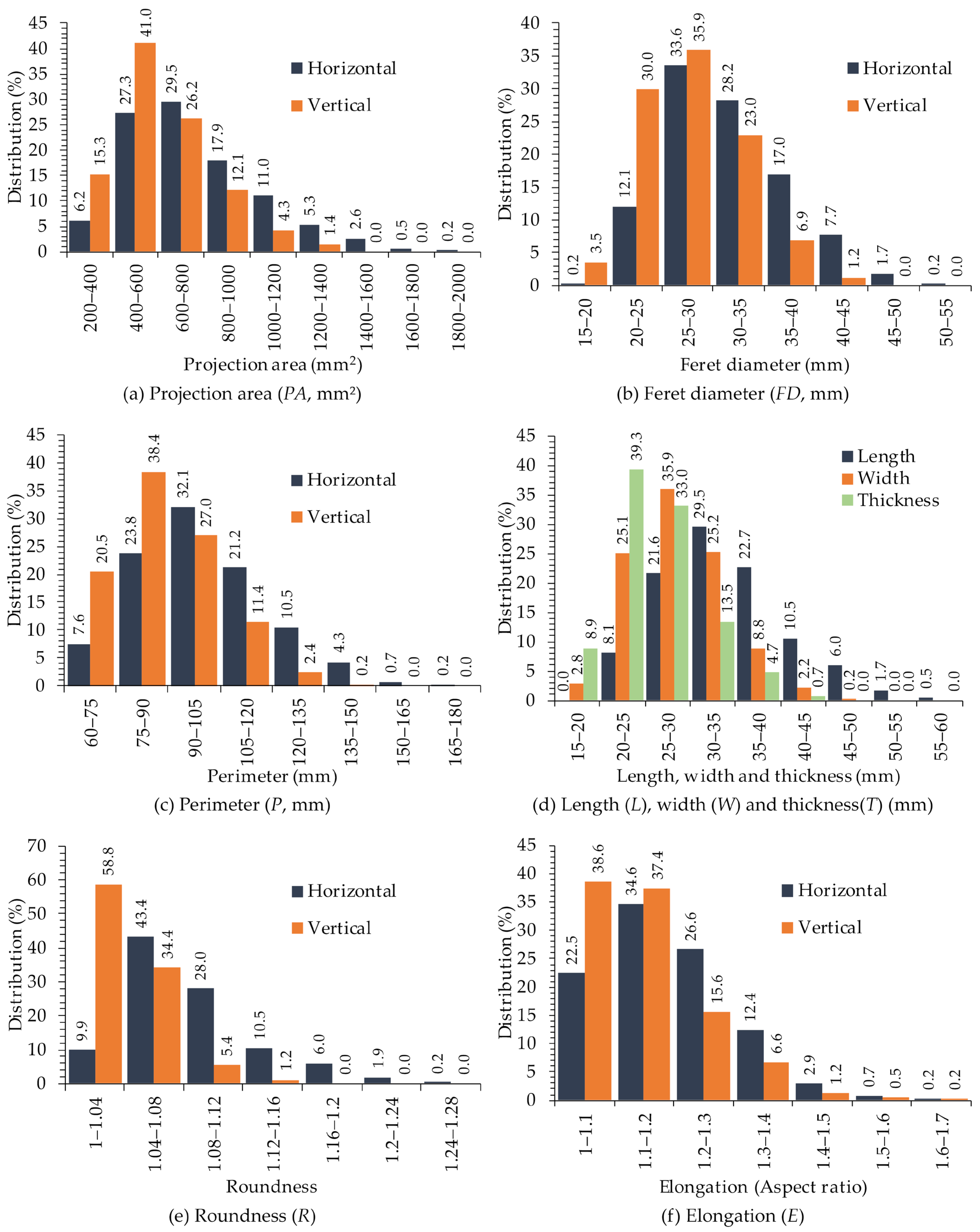
Positive skewness in the size and shape data is evident in the histogram graphs in Figure 4. The size data indicates that at least 80% of the strawberry samples exhibited a projection area ranging from 200 to 1000 mm2. The variation in their feret diameter and length was observed to be between 20 and 40 mm, while their perimeter exhibited a range between 60 and 120 mm. In the morphological evaluation, the roundness value of 80% of the strawberry samples was determined to be within the range of 1.00–1.12, and the width-to-length ratio was found to be between 1.00 and 1.30.
As demonstrated in Table 2, a strong positive correlation is evident between the projection area and other size variables. While the relationship between size and shape variables is statistically significant, the correlation coefficient is low.
As illustrated in Table 3, 90.77% of the variation in shape differences in strawberry fruit is explained by the first seven principal components, and contour differences are visualized. In the case of standard strawberry varieties, the average shape variation is spherical–conical in appearance and grouped according to the change within the ±2.SD range. With regard to shape differentiation, the PC1 component exhibits the greatest variation load, and this group encompasses contours varying within the long cone-sphere geometry range. In a similar manner, variations in other components can be assessed in the following manner: for PC2, within the conical–pointed oval range; for PC3, within the oval–conical range; for PC4, within the range of asymmetrical spherical–cone appearances; for PC5, within the range of pointed (necked) conical–cylindrical base appearances; and for PC6 and PC7, within the range of asymmetrical conical appearances.
As demonstrated in Figure 5, the k-means algorithm was utilized for the purpose of categorizing a set of strawberry images into seven distinct groups. It has been demonstrated that the images within each group exhibit notable similarities. Group 5 demonstrates a high degree of similarity in contour geometry, while Group 7 exhibits the least overlap with Group 5.
The investigation conducted in Table 4 sought to ascertain the impact of the independent variables, encompassing the initial seven principal components (PC1–PC7), on the categorization of the fruit’s shape. The analysis yielded the conclusion that the components within the PC1–PC5 range were deemed to be highly significant (p < 0.01) determinants. Discriminant analysis was therefore performed using the independent variables in the PC1–PC5 range, with the effect of the resulting five separation functions on explaining shape variation investigated. In the analysis of the eigenvalue statistics, it was observed that the variance was predominantly attributed to the highest 1st function, with a subsequent ranking from largest to smallest. The variance explanation ratio of the 5th function was found to be comparatively low. The observation that the canonical correlation coefficient of the 1st function approximates 1 suggests that it possesses a significant degree of effect power in the differentiation of fruit contours. Wilks’ Lambda statistics are employed to demonstrate the unexplained portion of the variance [21]. Therefore, when considering the full range of functions, the unexplained variance is 2.4%, which is relatively low. Conversely, the fifth function alone does not have a significant effect on differentiating shape differences. The correlations between the independent variables and the discriminant functions are indicated in the structure matrix. It has been demonstrated that variables exhibiting high correlation are indicative of their greater contribution to the relevant function, thereby underscoring their efficacy in discriminative processes. The discriminant analysis functions effectively distinguished the strawberry fruit, classifying it into its own group with 94.1% accuracy, a feat attributable to its unique shape geometry.
As demonstrated in Figure 6, the differences between discriminant functions are evident when based on the central distribution between groups. The first two functions that emerge from canonical discrimination analysis have the capacity to explain a significant proportion of the variance, amounting to 89.0%. The central distributions, which are proximate to each other according to the horizontal and vertical axis sets, provide information about the distance of this separation, even though the strawberry samples are morphologically different. When examining the distances of the central distributions on the horizontal axis (Separation function 1), It has been demonstrated that the 3rd, 4th and 7th shape groups have distinctive features. In a similar manner, on the vertical axis (discriminant function 2), the observation that the samples in the 1st and 2nd groups are distant from the center indicates that they exhibit different shape characteristics.

4. Discussion and Conclusions

The mass and size characteristics of the standard strawberry varieties utilized in the study correspond to the data documented in the extant literature. A study of strawberry fruit weight, based on both variety and genotype, revealed a range from 5.26 g to 35.00 g [22,23,24,25,26].
It has been demonstrated that disparities exist amongst the various varieties of fruit in relation to their genetic composition, ecological conditions, and cultural practices. Consequently, discrepancies in fruit length and width can be observed, with measurements ranging from 22.2 to 66.3 mm and 17.4 to 47.3 mm, respectively [27,28,29]. In the extant literature, fruit size is defined solely by length and width measurements. In this study, however, the size variables presented across a wide range (projection area, perimeter, feret diameter, length, width, and thickness) are strongly and positively correlated with each other, meaning that all size data obtained support the existing literature. The correlation between the size and shape variables of strawberry fruit is positive but weak. This finding suggests that the shape characteristic of strawberry fruit is not a size-dependent factor.
In this study, the shape category of strawberry fruit was not created based on an operator-dependent intuitive judgment. The results of the EF analysis demonstrate that strawberry samples can be divided into seven shape groups. The numerical analysis revealed the average contour geometry, and it was determined that the standard strawberry variety has a spherical–conical shape. The geometry of the contour is conical along the long axis and exhibits a bulging appearance on both sides. Strawberry samples with average contours demonstrated the greatest variability between long conical and spherical geometries. As asserted by Ishikawa et al. [30], the morphology of the strawberry fruit can be categorized into nine distinct shapes: kidney-shaped (1—reniform); conical (2—conical); heart-shaped (3—cordate); oval (4—ovoid); cylindrical (5—cylindrical); parallelogram (6—rhomboid); oblate (7—oblate); globose (8—globose); and wedged (9—wedged). The categorization of these categories was previously defined by Li et al. [31] as follows: globose, globose–conic, conic, long–conical (long-conic), double cone (biconic), conical–wedge (conic-wedge), wedge (wedge), square (square) and other (miscellaneous). In order to visually classify strawberry fruit into shape categories, three separate characteristics are examined: the width-to-length ratio, the shape of the upper region where the calyx is attached, and the shape of the lower region of the fruit. It has been demonstrated that each of the nine interactions formed by these three characteristics is directly defined by a single shape geometry [30].
In the present study, the differentiation of strawberry fruit into seven distinct shape categories was determined through a data-driven process rather than by subjective visual judgment. The number of categories was determined through the implementation of k-means clustering on the initial seven principal components derived from elliptic Fourier descriptors. These components collectively accounted for 90.77% of the total shape variance. The present study proposes an optimized statistical classification that differs from previous studies, including those by Ishikawa et al. [30] and Li et al. [31], which identified nine visually defined categories. The variation in the number of shape classes among studies can be attributed not only to methodological differences but also to genotype–environment interactions. It is evident that even within the same cultivar, environmental and agronomic factors may exert a substantial influence on fruit development and shape geometry. Such factors may include soil texture, climate conditions, irrigation frequency, and water quantity [12,13,14]. Consequently, the present study was restricted to three neutral-day cultivars (Albion, Monterey, and San Andreas) to guarantee morphological uniformity. However, further investigations incorporating a broader range of cultivars grown under diverse ecological conditions are required to establish a comprehensive morphological taxonomy of strawberry fruit.
Furthermore, only healthy and undamaged fruits were included in the analyses in order to create a standardized reference dataset that represents intrinsic morphological variability without the confounding effects of mechanical or pathological deformation. In the food industry, the shape of fruit exerts a direct influence on consumer preferences and is a determining factor in marketable quality. In practice, fruits exhibiting irregular or defective shapes can be efficiently detected and removed by AI-based sorting systems. From a machine learning standpoint, the geometric irregularities of deformed fruits necessitate separate model training, as they represent distinct contour structures not captured in the current dataset. Consequently, the present study deliberately concentrated on healthy fruits in order to establish fundamental geometric data for future research. This research aims to develop deep-learning models capable of identifying and categorizing fruits that are defective or non-standard.
Finally, although discriminant analysis successfully classified strawberry shapes with a 94.1% accuracy rate, the present study did not include an external validation set, as its primary objective was to assess intrinsic shape variability rather than predictive performance. It is recommended that future studies incorporate cross-validation or independent datasets in order to evaluate the generalization capacity of the proposed classification framework. Furthermore, for cultivars devoid of defined shape descriptors, additional research combining machine learning and elliptic Fourier analysis will be imperative to engineer novel shape recognition algorithms. The present work thus provides a foundational contribution by quantifying the morphological spectrum of strawberry fruit and highlighting the need for algorithmic development in data-driven fruit classification systems.
Discriminant analysis is a statistical technique that is employed to identify the distinguishing characteristics between different shape categories. In addition to this, it is also able to indicate the proximity of groups with different shape geometries. This proximity is of particular importance in the context of minimizing misclassification in automatic classification systems that are based on visual perception. Despite the performance of shape discrimination, it is predicted that the success rate of image-based systems will increase by the elimination of minor geometrical discrepancies that are associated with shape proximity. The utilization of deep learning structures, which are capable of constructing networks utilizing extensive raw datasets, has the capacity to rectify issues that may arise during image recognition, thereby enabling the system to function with a high degree of accuracy [32].
The most significant factor hindering the effective classification of separation functions is the presence of instances with outlier values in the dataset. Despite the fact that these values result in a distribution that is not uniform, the inclusion of the relevant example in the dataset in a universe where sampling is entirely random is important in determining the true success of the system.
Consequently, the size and shape characteristics of strawberries are of paramount importance for the design and development of classification, packaging, and product processing systems (drying, slicing, mixing, sorting, etc.). The development of alternative products containing strawberries in the food industry, or ensuring consumer satisfaction in fresh consumption, is possible with standardized, high-quality, and sustainable production. The present study determined that the size characteristics of the standard strawberry variety vary considerably and can be classified into seven different groups based on shape.

Author Contributions

Conceptualization, B.S. and S.Ö.E.; methodology, B.S. and M.K.M.; validation, M.H.Ö., C.G. and M.Ç.; formal analysis, M.K.M., M.H.Ö., C.G. and M.Ç.; investigation, B.S. and S.Ö.E.; resources, B.S. and S.Ö.E.; data curation, B.S., S.Ö.E., M.K.M., C.G., M.H.Ö. and M.Ç.; writing—review and editing, B.S., S.Ö.E., M.H.Ö. and M.Ç.; visualization, B.S. and S.Ö.E.; supervision, M.K.M. and C.G. All authors have read and agreed to the published version of the manuscript.

Funding

This research received no external funding.

Data Availability Statement

The raw data supporting the conclusions of this article will be made available by the authors on request.

Acknowledgments

We thank the editors and reviewers for their time and expertise. Their thoughtful evaluations and suggestions contributed considerably to refining the manuscript and strengthening the scientific contributions of this work.

Conflicts of Interest

The authors declare no conflicts of interest.

Abbreviations

The following abbreviations are used in this manuscript:
LEDLight-Emitting Diode
jpgJoint Photographic Experts Group
bmpbitmap
nSample Size
SDStandard Deviation
LLength
WWidth
TThickness
EAspect Ratio (Elongation)
PAProjected Area
PPerimeter
FDFeret Diameter (Equivalent Diameter)
RRoundness
DgGeometric Mean Diameter
SASurface Area
ϕSphericity
EFAElliptic Fourier Analysis
EFElliptic Fourier
MinMinimum
MaxMaximum
PCAPrincipal Component Analysis
PCsPrincipal Components
vVersion
ANOVAAnalysis of Variance
pProbability
nsNon-Significant
AIArtificial Intelligence

References

  1. Costa, C.; Antonucci, F.; Pallottino, F.; Aguzzi, J.; Sun, D.-W.; Menesatti, P. Shape Analysis of Agricultural Products: A Review of Recent Research Advances and Potential Application to Computer Vision. Food Bioprocess Technol. 2011, 4, 673–692. [Google Scholar] [CrossRef]
  2. Zhao, Y.; Gong, L.; Huang, Y.; Liu, C. A Review of Key Techniques of Vision-Based Control for Harvesting Robot. Comput. Electron. Agric. 2016, 127, 311–323. [Google Scholar] [CrossRef]
  3. Jimoh, K.A.; Hashim, N.; Shamsudin, R.; Man, H.C.; Jahari, M.; Onwude, D.I. Recent Advances in the Drying Process of Grains. Food Eng. Rev. 2023, 15, 548–576. [Google Scholar] [CrossRef]
  4. Oo, L.M.; Aung, N.Z. A Simple and Efficient Method for Automatic Strawberry Shape and Size Estimation and Classification. Biosyst. Eng. 2018, 170, 96–107. [Google Scholar] [CrossRef]
  5. Wang, W.; Li, C. Size Estimation of Sweet Onions Using Consumer-Grade RGB-Depth Sensor. J. Food Eng. 2014, 142, 153–162. [Google Scholar] [CrossRef]
  6. Rashidi, M.; Seyfi, K.; Gholami, M.S. Determination of Kiwifruit Volume Using Image Processing. J. Agric. Biol. Sci. 2007, 2, 17–22. [Google Scholar]
  7. Arendse, E.; Fawole, O.A.; Magwaza, L.S.; Opara, U.L. Non-Destructive Characterization and Volume Estimation of Pomegranate Fruit External and Internal Morphological Fractions Using X-Ray Computed Tomography. J. Food Eng. 2016, 186, 42–49. [Google Scholar] [CrossRef]
  8. Ercisli, S.; Sayinci, B.; Kara, M.; Yildiz, C.; Ozturk, I. Determination of Size and Shape Features of Walnut (Juglans regia L.) Cultivars Using Image Processing. Sci. Hortic. 2012, 133, 47–55. [Google Scholar] [CrossRef]
  9. Sayıncı, B.; Kara, M.; Ercişli, S.; Duyar, Ö.; Ertürk, Y. Elliptic Fourier Analysis for Shape Distinction of Turkish Hazelnut Cultivars. Erwerbs-Obstbau 2015, 57, 1–11. [Google Scholar] [CrossRef]
  10. Fierascu, R.C.; Temocico, G.; Fierascu, I.; Ortan, A.; Babeanu, N.E. Fragaria Genus: Chemical Composition and Biological Activities. Molecules 2020, 25, 498. [Google Scholar] [CrossRef] [PubMed]
  11. Villamil-Galindo, E.; Van de Velde, F.; Piagentini, A.M. Strawberry Agro-Industrial by-Products as a Source of Bioactive Compounds: Effect of Cultivar on the Phenolic Profile and the Antioxidant Capacity. Bioresour. Bioprocess. 2021, 8, 61. [Google Scholar] [CrossRef]
  12. Gündüz, K.; Özdemir, E. Farklı Yetiştirme Yerlerinin Bazı Çilek Genotiplerinin Erkencilik İndeksi, Verim ve Meyve Kalite Özellikleri Üzerindeki Etkileri. J. Agric. Fac. Ege Univ. 2012, 49, 27–36. [Google Scholar]
  13. Sarıdaş, M.A.; Kapur, B.; Çeliktopuz, E.; Paydaş Kargı, S. Farklı Sulama Düzeyi ve Biyoaktivatör Uygulamalarının ‘Rubygem’ Çilek Çeşidinde Meyve Kalite Özellikleri Üzerine Etkileri. Turk. JAF Sci. Technol. 2017, 5, 1221–1227. [Google Scholar] [CrossRef]
  14. Öztürk Erdem, S. Effect of Different Spring Planting Periods on Pomological and Phytochemical Characteristics of Some Strawberry Varieties. Black Sea J. Agric. 2024, 7, 339–345. [Google Scholar] [CrossRef]
  15. Rasband, W.S. ImageJ, 1.38x; ImageJ: Washington, DC, USA, 1997.
  16. Media Cybernetics, Inc. Image-Pro Plus, (Version 5.1, User Index); Media Cybernetics, Inc.: Singapore, 2004.
  17. Iwata, H.; Ukai, Y. SHAPE: A Computer Program Package for Quantitative Evaluation of Biological Shapes Based on Elliptic Fourier Descriptors. J. Hered. 2002, 93, 384–385. [Google Scholar] [CrossRef]
  18. Neto, J.C.; Meyer, G.E.; Jones, D.D.; Samal, A.K. Plant Species Identification Using Elliptic Fourier Leaf Shape Analysis. Comput. Electron. Agric. 2006, 50, 121–134. [Google Scholar] [CrossRef]
  19. Morgan, G.A.; Berrett, K.C.; Leech, N.L.; Gloeckner, G.W. IBM SPSS for Introductory Statistics: Use and Interpretation, 6th ed.; Taylor & Francis: New York, NY, USA; Routledge: Abingdon, UK, 2019; ISBN 978-0-429-28765-7. [Google Scholar]
  20. Hatem, G.; Zeidan, J.; Goossens, M.; Moreira, C. Normality Testing Methods and The Importance of Skewness and Kurtosis in Statistical Analysis. BAU J. Sci. Technol. 2022, 3, 7. [Google Scholar] [CrossRef]
  21. Kalaycı, Ş. SPSS Applied Multivariate Statistical Techniques; Asil Yayın Dağıtım Ltd. Şti.: Ankara, Türkiye, 2006. [Google Scholar]
  22. Sarıdaş, M.A.; Bircan, M.; Karaşahin, Z.; Kafkas, E.; Paydaş Kargı, S. Melezleme Islahı ile Seçilmiş Çilek Genotiplerinde Bazı Pomolojik Özelliklerin Aktif Hasat Sezonu Boyunca Değişimi. YYU J. Agric. Sci. 2019, 29, 506–515. [Google Scholar] [CrossRef]
  23. Zeliou, K.; Papasotiropoulos, V.; Manoussopoulos, Y.; Lamari, F.N. Physical and Chemical Quality Characteristics and Antioxidant Properties of Strawberry Cultivars (Fragaria × ananassa Duch.) in Greece: Assessment of Their Sensory Impact. J. Sci. Food Agric. 2018, 98, 4065–4073. [Google Scholar] [CrossRef]
  24. Gasperotti, M.; Masuero, D.; Guella, G.; Palmieri, L.; Martinatti, P.; Pojer, E.; Mattivi, F.; Vrhovsek, U. Evolution of Ellagitannin Content and Profile during Fruit Ripening in Fragaria spp. J. Agric. Food Chem. 2013, 61, 8597–8607. [Google Scholar] [CrossRef]
  25. Nour, V.; Trandafir, I.; Cosmulescu, S. Antioxidant Compounds, Nutritional Quality and Colour of Two Strawberry Genotypes from Fragaria × ananassa. Erwerbs-Obstbau 2017, 59, 123–131. [Google Scholar] [CrossRef]
  26. Liu, L.; Ji, M.-L.; Chen, M.; Sun, M.; Fu, X.; Li, L.; Gao, D.-S.; Zhu, C.-Y. The Flavor and Nutritional Characteristic of Four Strawberry Varieties Cultured in Soilless System. Food Sci. Nutr. 2016, 4, 858–868. [Google Scholar] [CrossRef] [PubMed]
  27. Aksu, H.D. The Performance of Some Strawberry Cultivars in Niksar Province. Master’s Thesis, Gaziosmanpaşa University, Graduate School of Natural and Applied Sciences, Department of Horticulture, Tokat, Türkiye, 2015. (In Turkish). [Google Scholar]
  28. Singh, R.; Sangwan, A.K.; Singh, N.; Singh, S. Evaluation of Strawberry (Fragaria × ananassa Duch.) Cultivars for Fruit Quality and Biochemical Characters under North-Western Plains of India. HortFlora Res. Spectr. 2016, 5, 295–300. [Google Scholar]
  29. Kumar, A.; Ahad, I. Growth, Yield and Fruit Quality of Strawberry under Protected Cultivation in South Kashmir. Adv. Hortic. Sci. 2012, 26, 88–91. [Google Scholar]
  30. Ishikawa, T.; Hayashi, A.; Nagamatsu, S.; Kyutoku, Y.; Dan, I.; Wada, T.; Oku, K.; Saeki, Y.; Uto, T.; Tanabata, T.; et al. Classification of Strawberry Fruit Shape by Machine Learning. Int. Arch. Photogramm. Remote Sens. Spat. Inf. Sci. 2018, XLII–2, 463–470. [Google Scholar] [CrossRef]
  31. Li, B.; Cockerton, H.M.; Johnson, A.W.; Karlström, A.; Stavridou, E.; Deakin, G.; Harrison, R.J. Defining Strawberry Shape Uniformity Using 3D Imaging and Genetic Mapping. Hortic. Res. 2020, 7, 115. [Google Scholar] [CrossRef] [PubMed]
  32. İnik, Ö.; Ülker, E. Derin Öğrenme ve Görüntü Analizinde Kullanılan Derin Öğrenme Modelleri. Gaziosmanpaşa Bilimsel Araştırma Derg. Gaziosmanpaşa Bilimsel Araştırma Derg. 2017, 6, 85–104. [Google Scholar]
Figure 1. Imaging system.
Figure 1. Imaging system.
Horticulturae 11 01281 g001
Figure 2. Sequential steps of image processing: (a) cropping the margins of the images; (b) removing the background from the image and eliminating any residual elements outside the object; (c) saving the images converted to a 24-bit depth bmp image file format; (d) converting images to 8-bit depth greyscale format (a total of 256 different greyscale levels in the 0–255 range, including white and black); (e) determining the closed contour of the shape and measuring the size and shape dimensions after covering the surface.
Figure 2. Sequential steps of image processing: (a) cropping the margins of the images; (b) removing the background from the image and eliminating any residual elements outside the object; (c) saving the images converted to a 24-bit depth bmp image file format; (d) converting images to 8-bit depth greyscale format (a total of 256 different greyscale levels in the 0–255 range, including white and black); (e) determining the closed contour of the shape and measuring the size and shape dimensions after covering the surface.
Horticulturae 11 01281 g002
Figure 3. The measured dimensions of the strawberry fruit in horizontal and vertical orientations.
Figure 3. The measured dimensions of the strawberry fruit in horizontal and vertical orientations.
Horticulturae 11 01281 g003
Figure 4. Histogram graphs of dimension and shape data.
Figure 4. Histogram graphs of dimension and shape data.
Horticulturae 11 01281 g004
Figure 5. Examples in the of strawberry shape categories into seven distinct groups, as determined by the k-means algorithm (* n: number of samples in the total of 422 fruits).
Figure 5. Examples in the of strawberry shape categories into seven distinct groups, as determined by the k-means algorithm (* n: number of samples in the total of 422 fruits).
Horticulturae 11 01281 g005
Figure 6. Distribution of seven different shape categories of strawberry fruit and the central location of the groups.
Figure 6. Distribution of seven different shape categories of strawberry fruit and the central location of the groups.
Horticulturae 11 01281 g006
Table 1. Statistics on size and shape characteristics.
Table 1. Statistics on size and shape characteristics.
A. Dimensions and shape sizes measured from strawberry samples in horizontal and vertical orientations
Size and shape characteristicsHorizontal orientation ( n = 422 )Vertical orientation ( n = 422 )F-test 1
Mean ± SD
(Min-max)
MedianSkewnessKurtosisMean ± SD
(Min-max)
MedianSkewnessKurtosisF valuep (sig.)
Projection area (PA, mm2)762.0 ± 284.0704.90.9300.738601.5 ± 204.9563.50.7890.28580.830.001 **
(268.1–1923.8) (232.4–1287.3)
Feret diameter
(FD, mm)
31.5 ± 5.830.70.492−0.12827.6 ± 4.727.10.420−0.321104.540.001 **
(19.2–51.0) (17.4–41.1)
Perimeter
(P, mm)
100.4 ± 18.998.50.509−0.09787.4 ± 14.885.50.421−0.371114.870.001 **
(61.5–166.1) (56.1–130.1)
Aspect ratio (E)1.187 ± 0.1111.1760.6730.3921.148 ± 0.0981.1301.1701.69230.740.001 **
(1.007–1.631) (1.007–1.605)
Roundness
(R)
1.087 ± 0.0431.0781.0720.9491.039 ± 0.0231.0341.2662.037386.610.001 **
(1016–1268) (1004–1149)
B. Mass (m) of strawberry samples, sizes calculated from size and shape data (Dg, SA, and Φ), and measured basic dimensions (L, W, and T)
Size and shape characteristicsMean ± SD
(Min–max)
MedianSkewnessKurtosis
Mass
(m, g)
12.3 ± 5.510.91.1071.018
(4.2–33.0)
Geo. mean diam. (Dg, mm)29.5 ± 6.728.40.7470.929
(17.8–47.1)
Surface area
(SA, cm2)
28.6 ± 13.625.31.4142.668
(9.9–69.7)
Sphericity
(Φ, %)
86.1 ± 1.786.2−0.038−0.804
(82.9–89.0)
Length
(L, mm)
34.0 ± 6.833.30.515−0.009
(20.4–56.5)
Width
(W, mm)
28.6 ± 5.227.90.504−0.079
(17.4–45.7)
Thickness
(T, mm)
25.8 ± 4.625.10.560−0.029
(15.9–40.5)
1: Significance test (ANOVA) for size and shape data measured in horizontal and vertical orientations; **: p < 0.01 statistically highly significant at the 0.01 level.
Table 2. Correlation analysis results.
Table 2. Correlation analysis results.
P, mmFD, mmL, mmW, mmT, mmER
PA, mm20.9890.9910.9580.9660.8810.0940.285
0.000 **0.000 **0.000 **0.000 **0.000 **0.006 **0.000 **
P, mm 0.9980.9770.9590.8640.1530.378
0.000 **0.000 **0.000 **0.000 **0.000 **0.000 **
FD, mm 0.9770.9620.8650.1480.338
0.000 **0.000 **0.000 **0.000 **0.000 **
L, mm 0.8880.8310.3330.438
0.000 **0.000 **0.000 **0.000**
W, mm 0.941−0.0910.106
0.000 **0.061 ns0.030 *
T, mm 0.0890.158
0.066 ns0.001 **
E 0.540
0.000 **
**: p < 0.01, statistically highly significant at 0.01 level; * p < 0.05, significant at 0.05 level; ns: nonsignificant.
Table 3. The most effective principal components (PCs) demonstrating shape differences and their variance explanation ratios (%).
Table 3. The most effective principal components (PCs) demonstrating shape differences and their variance explanation ratios (%).
* Variance
Explanation Ratio (%)
            2 · S D  ** M e a n + 2 · S D
PC1
(53.48%)
Horticulturae 11 01281 i001
PC2
(11.12%)
Horticulturae 11 01281 i002
PC3
(9.62%)
Horticulturae 11 01281 i003
PC4
(8.41%)
Horticulturae 11 01281 i004
PC5
(3.46%)
Horticulturae 11 01281 i005
PC6
(2.57%)
Horticulturae 11 01281 i006
PC7
(2.09%)
Horticulturae 11 01281 i007
*: The initial seven principal components (PC1-PC7) associated with shape variance account for 90.77% of the total variance. **: Standard deviation.
Table 4. Discriminant analysis results.
Table 4. Discriminant analysis results.
A. Success of independent variables (PC1-PC7) in determining shape categories (groups)
Independent
variables
Wilks’ LambdaFSD1SD2p (sig.)
PC10.123494.4664150.000 **
PC20.54158.7964150.000 **
PC30.51764.5864150.000 **
PC40.86710.6464150.000 **
PC50.9077.0664150.000 **
PC60.9940.4264150.864 ns
PC70.9781.5864150.150 ns
B. Eigenvalue statistics
FunctionEigenvalues% of varianceCumulative, %Canonical
correlation
17.50976.376.30.939
2124412.689.00.745
30.9459.698.60.697
40.1341.4100.00.344
50.0050.0100.00.069
C. Wilks’ Lambda statistics
Function testWilk’s LambdaChi-squareSDp (sig.)
1–50.0241554.16300.000 **
2–50.201665.61200.000 **
3–50.451330.13120.000 **
4–50.87854.1460.000 **
50.9951.9520.377 ns
D. Structure matrix between independent variables (PC-PC5) and separation functions
Independent
variables
Function 1Function 2Function 3Function 4Function 5
PC10.974−0.124−0.0020.031−0.185
PC20.0370.745−0.392−0.1560.516
PC30.0100.4690.8350.011−0.287
PC50.009−0.0530.1410.7600.633
PC40.013−0.1780.246−0.6310.714
E. Grouping (classification) results (%)—Accuracy rate of separation functions: 94.1%
Groups1234567Total (Sample size) n
195.41.50.00.01.51.50.0100 (65)
20.090.40.01.97.70.00.0100 (52)
31.80.096.50.00.01.80.0100 (57)
40.00.00.094.06.00.00.0100 (67)
50.01.00.01.097.90.00.0100 (96)
61.50.00.00.04.693.80.0100 (65)
710.00.05.00.00.010.075.0100 (20)
**: p < 0.01 highly significant at the level of 0.01; ns: insignificant; n: total of 422 strawberry samples.
Disclaimer/Publisher’s Note: The statements, opinions and data contained in all publications are solely those of the individual author(s) and contributor(s) and not of MDPI and/or the editor(s). MDPI and/or the editor(s) disclaim responsibility for any injury to people or property resulting from any ideas, methods, instructions or products referred to in the content.

Share and Cite

MDPI and ACS Style

Sayıncı, B.; Erdem, S.Ö.; Özdemir, M.H.; Karakoyun Mutluay, M.; Gedik, C.; Çomaklı, M. Strawberry (Fragaria × ananassa Duch.) Fruit Shape Differences and Size Characteristics Using Elliptical Fourier Descriptors. Horticulturae 2025, 11, 1281. https://doi.org/10.3390/horticulturae11111281

AMA Style

Sayıncı B, Erdem SÖ, Özdemir MH, Karakoyun Mutluay M, Gedik C, Çomaklı M. Strawberry (Fragaria × ananassa Duch.) Fruit Shape Differences and Size Characteristics Using Elliptical Fourier Descriptors. Horticulturae. 2025; 11(11):1281. https://doi.org/10.3390/horticulturae11111281

Chicago/Turabian Style

Sayıncı, Bahadır, Sinem Öztürk Erdem, Muhammed Hakan Özdemir, Merve Karakoyun Mutluay, Cihat Gedik, and Mustafa Çomaklı. 2025. "Strawberry (Fragaria × ananassa Duch.) Fruit Shape Differences and Size Characteristics Using Elliptical Fourier Descriptors" Horticulturae 11, no. 11: 1281. https://doi.org/10.3390/horticulturae11111281

APA Style

Sayıncı, B., Erdem, S. Ö., Özdemir, M. H., Karakoyun Mutluay, M., Gedik, C., & Çomaklı, M. (2025). Strawberry (Fragaria × ananassa Duch.) Fruit Shape Differences and Size Characteristics Using Elliptical Fourier Descriptors. Horticulturae, 11(11), 1281. https://doi.org/10.3390/horticulturae11111281

Note that from the first issue of 2016, this journal uses article numbers instead of page numbers. See further details here.

Article Metrics

Back to TopTop