Comprehensive Characterization of a Reference Ferroelectric Nematic Liquid Crystal Material
Abstract
1. Introduction
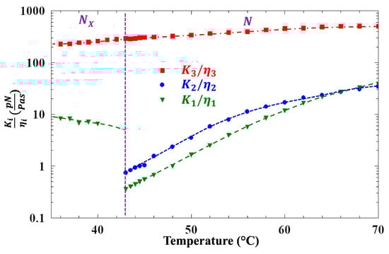
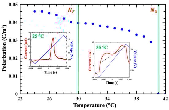
2. Methods and Results
3. Conclusions
Supplementary Materials
Author Contributions
Funding
Data Availability Statement
Acknowledgments
Conflicts of Interest
References
- Reinitzer, F. Beiträge zur Kenntniss des Cholesterins. Monatshefte Chem. Verwandte Teile Anderer Wiss. 1888, 9, 421–441. [Google Scholar] [CrossRef]
- Jákli, A.; Lavrentovich, O.D.; Selinger, J.V. Physics of Liquid Crystals of Bent-Shaped Molecules. Rev. Mod. Phys. 2018, 90, 045004. [Google Scholar] [CrossRef]
- Madsen, L.A.; Dingemans, T.J.; Nakata, M.; Samulski, E.T. Thermotropic Biaxial Nematic Liquid Crystals. Phys. Rev. Lett. 2004, 92, 145505. [Google Scholar] [CrossRef]
- Mandle, R.J. A Ten-Year Perspective on Twist-Bend Nematic Materials. Molecules 2022, 27, 2689. [Google Scholar] [CrossRef]
- Liao, Q.; Aya, S.; Huang, M. Review of Emergent Polar Liquid Crystals from Material Aspects. Liq. Cryst. Rev. 2024, 12, 149–194. [Google Scholar] [CrossRef]
- Nishikawa, H.; Shiroshita, K.; Higuchi, H.; Okumura, Y.; Haseba, Y.; Yamamoto, S.I.; Sago, K.; Kikuchi, H. A Fluid Liquid-Crystal Material with Highly Polar Order. Adv. Mater. 2017, 29, 1702354. [Google Scholar] [CrossRef] [PubMed]
- Mandle, R.J.; Cowling, S.J.; Goodby, J.W. A Nematic to Nematic Transformation Exhibited by a Rod-like Liquid Crystal. Phys. Chem. Chem. Phys. 2017, 19, 11429–11435. [Google Scholar] [CrossRef] [PubMed]
- Máthé, M.T.; Perera, K.; Buka, Á.; Salamon, P.; Jákli, A. Fluid Ferroelectric Filaments. Adv. Sci. 2024, 11, 2305950. [Google Scholar] [CrossRef]
- Jarosik, A.; Nádasi, H.; Schwidder, M.; Manabe, A.; Bremer, M.; Klasen-Memmer, M.; Eremin, A. Fluid Fibers in True 3D Ferroelectric Liquids. Proc. Natl. Acad. Sci. USA 2024, 121, e2313629121. [Google Scholar] [CrossRef] [PubMed]
- Chen, X.; Korblova, E.; Dong, D.; Wei, X.; Shao, R.; Radzihovsky, L.; Glaser, M.A.; MacLennan, J.E.; Bedrov, D.; Walba, D.M.; et al. First-Principles Experimental Demonstration of Ferroelectricity in a Thermotropic Nematic Liquid Crystal: Polar Domains and Striking Electro-Optics. Proc. Natl. Acad. Sci. USA 2020, 117, 14021–14031. [Google Scholar] [CrossRef]
- Li, J.; Nishikawa, H.; Kougo, J.; Zhou, J.; Dai, S.; Tang, W.; Zhao, X.; Hisai, Y.; Huang, M.; Aya, S. Development of Ferroelectric Nematic Fluids with Giant-Dielectricity and Nonlinear Optical Properties. Sci. Adv. 2021, 7, 5047–5068. [Google Scholar] [CrossRef]
- Li, J.; Xia, R.; Xu, H.; Yang, J.; Zhang, X.; Kougo, J.; Lei, H.; Dai, S.; Huang, H.; Zhang, G.; et al. How Far Can We Push the Rigid Oligomers/Polymers toward Ferroelectric Nematic Liquid Crystals? J. Am. Chem. Soc. 2021, 143, 17857–17861. [Google Scholar] [CrossRef] [PubMed]
- Pociecha, D.; Walker, R.; Cruickshank, E.; Szydlowska, J.; Rybak, P.; Makal, A.; Matraszek, J.; Wolska, J.M.; Storey, J.M.D.; Imrie, C.T.; et al. Intrinsically Chiral Ferronematic Liquid Crystals: An Inversion of the Helical Twist Sense at the Chiral Nematic—Chiral Ferronematic Phase Transition. J. Mol. Liq. 2022, 361, 119532. [Google Scholar] [CrossRef]
- Strachan, G.J.; Górecka, E.; Hobbs, J.; Pociecha, D. Fluorination: Simple Change but Complex Impact on Ferroelectric Nematic and Smectic Liquid Crystal Phases. J. Am. Chem. Soc. 2025, 147, 6058–6066. [Google Scholar] [CrossRef]
- Sebastián, N.; Čopič, M.; Mertelj, A. Ferroelectric Nematic Liquid-Crystalline Phases. Phys. Rev. E 2022, 106, 021001. [Google Scholar] [CrossRef]
- Saha, R.; Nepal, P.; Feng, C.; Hossain, M.S.; Fukuto, M.; Li, R.; Gleeson, J.T.; Sprunt, S.; Twieg, R.J.; Jákli, A. Multiple Ferroelectric Nematic Phases of a Highly Polar Liquid Crystal Compound. Liq. Cryst. 2022, 49, 1784–1796. [Google Scholar] [CrossRef]
- Karcz, J.; Herman, J.; Rychłowicz, N.; Kula, P.; Górecka, E.; Szydlowska, J.; Majewski, P.W.; Pociecha, D. Spontaneous Chiral Symmetry Breaking in Polar Fluid–Heliconical Ferroelectric Nematic Phase. Science 2024, 384, 1096–1099. [Google Scholar] [CrossRef]
- Chen, X.; Martinez, V.; Nacke, P.; Korblova, E.; Manabe, A.; Klasen-Memmer, M.; Freychet, G.; Zhernenkov, M.; Glaser, M.A.; Radzihovsky, L.; et al. Observation of a Uniaxial Ferroelectric Smectic A Phase. Proc. Natl. Acad. Sci. USA 2022, 119, e2210062119. [Google Scholar] [CrossRef]
- Guragain, P.; Ghimire, A.; Badu, M.; Dhakal, N.P.; Nepal, P.; Gleeson, J.T.; Sprunt, S.; Twieg, R.J.; Jákli, A. Ferroelectric Nematic and Smectic Liquid Crystals with Sub-Molecular Spatial Correlations. Mater. Horiz. 2025, 12, 8153–8164. [Google Scholar] [CrossRef] [PubMed]
- Sebastián, N.; Mandle, R.J.; Petelin, A.; Eremin, A.; Mertelj, A. Electrooptics of Mm-Scale Polar Domains in the Ferroelectric Nematic Phase. Liq. Cryst. 2021, 48, 2055–2071. [Google Scholar] [CrossRef]
- Máthé, M.T.; Farkas, B.; Péter, L.; Buka, Á.; Jákli, A.; Salamon, P. Electric Field-Induced Interfacial Instability in a Ferroelectric Nematic Liquid Crystal. Sci. Rep. 2023, 13, 6981. [Google Scholar] [CrossRef]
- Barboza, R.; Marni, S.; Ciciulla, F.; Mir, F.A.; Nava, G.; Caimi, F.; Zaltron, A.; Clark, N.A.; Bellini, T.; Lucchetti, L. Explosive Electrostatic Instability of Ferroelectric Liquid Droplets on Ferroelectric Solid Surfaces. Proc. Natl. Acad. Sci. USA 2022, 119, e2207858119. [Google Scholar] [CrossRef]
- Máthé, M.T.; Buka, Á.; Jákli, A.; Salamon, P. Ferroelectric Nematic Liquid Crystal Thermomotor. Phys. Rev. E 2022, 105, L052701. [Google Scholar] [CrossRef]
- Máthé, M.T.; Himel, M.S.H.; Adaka, A.; Gleeson, J.T.; Sprunt, S.; Salamon, P.; Jákli, A. Liquid Piezoelectric Materials: Linear Electromechanical Effect in Fluid Ferroelectric Nematic Liquid Crystals. Adv. Funct. Mater. 2024, 34, 2314158. [Google Scholar] [CrossRef]
- Medle Rupnik, P.; Cmok, L.; Sebastián, N.; Mertelj, A. Viscous Mechano-Electric Response of Ferroelectric Nematic Liquid. Adv. Funct. Mater. 2024, 34, 2402554. [Google Scholar] [CrossRef]
- Gill, M.; Máthé, M.T.; Salamon, P.; Gleeson, J.T.; Jakli, A. From Solid to Liquid Piezoelectric Materials. Mater. Horiz. 2025, 12, 8920–8942. [Google Scholar] [CrossRef] [PubMed]
- Yang, J.; Zou, Y.; Tang, W.; Li, J.; Huang, M.; Aya, S. Spontaneous Electric-Polarization Topology in Confined Ferroelectric Nematics. Nat. Commun. 2022, 13, 7806. [Google Scholar] [CrossRef] [PubMed]
- Lovšin, M.; Petelin, A.; Berteloot, B.; Osterman, N.; Aya, S.; Huang, M.; Drevenšek-Olenik, I.; Mandle, R.J.; Neyts, K.; Mertelj, A.; et al. Patterning of 2D Second Harmonic Generation Active Arrays in Ferroelectric Nematic Fluids. Giant 2024, 19, 100315. [Google Scholar] [CrossRef]
- Folcia, C.L.; Ortega, J.; Vidal, R.; Sierra, T.; Etxebarria, J. The Ferroelectric Nematic Phase: An Optimum Liquid Crystal Candidate for Nonlinear Optics. Liq. Cryst. 2022, 49, 899–906. [Google Scholar] [CrossRef]
- Xia, R.; Zhao, X.; Li, J.; Lei, H.; Song, Y.; Peng, W.; Zhang, X.; Aya, S.; Huang, M. Achieving Enhanced Second-Harmonic Generation in Ferroelectric Nematics by Doping D-π-A Chromophores. J. Mater. Chem. C Mater. 2023, 11, 10905–10910. [Google Scholar] [CrossRef]
- Sultanov, V.; Kavčič, A.; Kokkinakis, E.; Sebastián, N.; Chekhova, M.V.; Humar, M. Tunable Entangled Photon-Pair Generation in a Liquid Crystal. Nature 2024, 631, 294–299. [Google Scholar] [CrossRef]
- Hassan, F.; Yang, D.; Saadaoui, L.; Wang, Y.; Drevensek-Olenik, I.; Qiu, Z.; Shao, J.; Zhang, Y.; Gao, S.; Li, Y.; et al. Bulk Photovoltaic Effect in Ferroelectric Nematic Liquid Crystals. Opt. Lett. 2024, 49, 4662. [Google Scholar] [CrossRef]
- Yu, J.-S.; Lee, J.H.; Lee, J.-Y.; Kim, J.-H. Alignment Properties of a Ferroelectric Nematic Liquid Crystal on the Rubbed Substrates. Soft Matter 2023, 19, 2446–2453. [Google Scholar] [CrossRef]
- Perera, K.; Haputhantrige, N.; Hossain, S.; Mostafa, M.; Adaka, A.; Mann, E.; Lavrentovich, O.D.; Jákli, A. Electrically Tunable Polymer Stabilized Chiral Ferroelectric Nematic Liquid Crystal Microlenses. Adv. Opt. Mater. 2024, 12, 2302500. [Google Scholar] [CrossRef]
- Himel, M.S.H.; Perera, K.; Adaka, A.; Guragain, P.; Twieg, R.J.; Sprunt, S.; Gleeson, J.T.; Jákli, A. Electrically Tunable Chiral Ferroelectric Nematic Liquid Crystal Reflectors. Adv. Funct. Mater. 2024, 35, 2413674. [Google Scholar] [CrossRef]
- Talwar, M.; Perera, K.; Mostafa, M.; Gill, M.; Nepal, P.; Guragain, P.; Landau, I.; Kula, P.; Twieg, R.; West, J.L.; et al. Optically Isotropic Polymer Stabilized Liquid Crystals with Fast and Large Field-Induced Refractive Index Variation. Adv. Opt. Mater. 2024, 12, 2401676. [Google Scholar] [CrossRef]
- Nacke, P.; Manabe, A.; Klasen-Memmer, M.; Chen, X.; Martinez, V.; Freychet, G.; Zhernenkov, M.; Maclennan, J.E.; Clark, N.A.; Bremer, M.; et al. New Examples of Ferroelectric Nematic Materials Showing Evidence for the Antiferroelectric Smectic-Z Phase. Sci. Rep. 2024, 14, 4473. [Google Scholar] [CrossRef] [PubMed]
- Chen, X.; Martinez, V.; Korblova, E.; Freychet, G.; Zhernenkov, M.; Glaser, M.A.; Wang, C.; Zhu, C.; Radzihovsky, L.; Maclennan, J.E.; et al. The Smectic ZA Phase: Antiferroelectric Smectic Order as a Prelude to the Ferroelectric Nematic. Proc. Natl. Acad. Sci. USA 2023, 120, e2217150120. [Google Scholar] [CrossRef]
- Ghimire, A.; Basnet, B.; Wang, H.; Guragain, P.; Baldwin, A.; Twieg, R.; Lavrentovich, O.D.; Gleeson, J.; Jakli, A.; Sprunt, S. Director-Layer Dynamics in the Antiferroelectric Smectic-ZA Phase of a Ferroelectric Nematic Liquid Crystal. arXiv 2025, arXiv:2501.12541. [Google Scholar]
- Patel, J.S.; Goodby, J.W. The Dependence of the Magnitude of the Spontaneous Polarization on the Cell Thickness in Ferroelectric Liquid Crystals. Chem. Phys. Lett. 1987, 137, 91–95. [Google Scholar] [CrossRef]
- Miyasato, K.; Abe, S.; Takezoe, H.; Fukuda, A.; Kuze, E. Direct Method with Triangular Waves for Measuring Spontaneous Polarization in Ferroelectric Liquid Crystals. Jpn. J. Appl. Phys. Part 2 Lett. 1983, 22, 661–663. [Google Scholar] [CrossRef]
- Parton-Barr, C.; Gleeson, H.F.; Mandle, R.J. Room-Temperature Ferroelectric Nematic Liquid Crystal Showing a Large and Diverging Density. Soft Matter 2024, 20, 672–680. [Google Scholar] [CrossRef]
- Nishikawa, H.; Salamon, P.; Máthé, M.T.; Jákli, A.; Araoka, F. Giant Electro-Viscous Effects in Polar Fluids with Paraelectric–Modulated Antiferroelectric–Ferroelectric Phase Sequence. Giant 2025, 22, 100356. [Google Scholar] [CrossRef]
- Ghimire, A.; Basnet, B.; Wang, H.; Guragain, P.; Baldwin, A.R.; Twieg, R.; Lavrentovich, O.D.; Gleeson, J.T.; Jakli, A.; Sprunt, S. Dynamics of the Antiferroelectric Smectic-Z A Phase in a Ferroelectric Nematic Liquid Crystal. Soft Matter 2025, 21, 8510–8522. [Google Scholar] [CrossRef]
- Schad, H.; Scheuble, B.; Nehring, J. On the Field Dependence of the Optical Phase Difference and Capacitance of Nematic Layers. J. Chem. Phys. 1979, 71, 5140–5143. [Google Scholar] [CrossRef]
- Clark, N.A.; Chen, X.; MacLennan, J.E.; Glaser, M.A. Dielectric Spectroscopy of Ferroelectric Nematic Liquid Crystals: Measuring the Capacitance of Insulating Interfacial Layers. Phys. Rev. Res. 2024, 6, 013195. [Google Scholar] [CrossRef]
- Adaka, A.; Rajabi, M.; Haputhantrige, N.; Sprunt, S.; Lavrentovich, O.D.; Jákli, A. Dielectric Properties of a Ferroelectric Nematic Material: Quantitative Test of the Polarization-Capacitance Goldstone Mode. Phys. Rev. Lett. 2024, 133, 038101. [Google Scholar] [CrossRef] [PubMed]
- Maier, W.; Meier, G. Eine Einfache Theorie Der Dielektrischen Eigenschaften Homogen Orientierter Kristallinflüssiger Phasen Des Nematischen Typs. Z. Naturforschung–Sect. A J. Phys. Sci. 1961, 16, 262–267. [Google Scholar] [CrossRef]
- Zavvou, E.E.; Ramou, E.; Ahmed, Z.; Welch, C.; Mehl, G.H.; Vanakaras, A.G.; Karahaliou, P.K. Dipole–Dipole Correlations in the Nematic Phases of Symmetric Cyanobiphenyl Dimers and Their Binary Mixtures with 5CB–Soft Matter (RSC Publishing). Soft Matter 2023, 19, 9224–9238. [Google Scholar] [CrossRef]
- Zhang, C.; Hutter, J.; Sprik, M. Computing the Kirkwood g–Factor by Combining Constant Maxwell Electric Field and Electric Displacement Simulations: Application to the Dielectric Constant of Liquid Water. J. Phys. Chem. Lett. 2016, 7, 2696–2701. [Google Scholar] [CrossRef]
- de Gennes, P.-G. The Physics of Liquid Crystals; Clarendon Press: Oxford, UK, 1974; ISBN 0198512856. [Google Scholar]
- Brochard, F. Backflow Effects in Nematic Liquid Crystals. Mol. Cryst. Liq. Cryst. 1973, 23, 51–58. [Google Scholar] [CrossRef]







Disclaimer/Publisher’s Note: The statements, opinions and data contained in all publications are solely those of the individual author(s) and contributor(s) and not of MDPI and/or the editor(s). MDPI and/or the editor(s) disclaim responsibility for any injury to people or property resulting from any ideas, methods, instructions or products referred to in the content. |
© 2025 by the authors. Licensee MDPI, Basel, Switzerland. This article is an open access article distributed under the terms and conditions of the Creative Commons Attribution (CC BY) license (https://creativecommons.org/licenses/by/4.0/).
Share and Cite
Paul, A.; Paul, M.; Badu, M.; Ghimire, A.; Dhakal, N.P.; Sprunt, S.; Jákli, A.; Gleeson, J.T. Comprehensive Characterization of a Reference Ferroelectric Nematic Liquid Crystal Material. Materials 2025, 18, 5496. https://doi.org/10.3390/ma18245496
Paul A, Paul M, Badu M, Ghimire A, Dhakal NP, Sprunt S, Jákli A, Gleeson JT. Comprehensive Characterization of a Reference Ferroelectric Nematic Liquid Crystal Material. Materials. 2025; 18(24):5496. https://doi.org/10.3390/ma18245496
Chicago/Turabian StylePaul, Ayusha, Milon Paul, Manisha Badu, Arjun Ghimire, Netra Prasad Dhakal, Samuel Sprunt, Antal Jákli, and James T. Gleeson. 2025. "Comprehensive Characterization of a Reference Ferroelectric Nematic Liquid Crystal Material" Materials 18, no. 24: 5496. https://doi.org/10.3390/ma18245496
APA StylePaul, A., Paul, M., Badu, M., Ghimire, A., Dhakal, N. P., Sprunt, S., Jákli, A., & Gleeson, J. T. (2025). Comprehensive Characterization of a Reference Ferroelectric Nematic Liquid Crystal Material. Materials, 18(24), 5496. https://doi.org/10.3390/ma18245496

