Advancements in Sustainable Mobility: Fractional-Order FOC of IM in an Electric Vehicle Powered by an Autonomous PV Battery System
Abstract
1. Introduction
2. Fundamentals of Electric Vehicle Propulsion
3. Energy Management Algorithm Between PV Technology and Batteries
- Power supply of the load and the storage system by PV panels if the photovoltaic energy is sufficient;
- Power supply of loads only from the storage system if the PV energy is insufficient.
- Excess PV energy
- –
- Mode 1: Batteries are charged (SOC ≥ SOCmax). The photovoltaic generator is sufficient to satisfy the load ().
- –
- Mode 2: The photovoltaic generator is sufficient to satisfy the load (). Excess energy production will be stored in the batteries.
- Lack of PV energy
- –
- Mode 3: Only the batteries supply the load ().
- –
- Mode 4: Fully discharged batteries (SOC < SOCmin) and no photovoltaic production.
4. Modeling Induction Machine with FOC
- Control of the quadrature flux—for , , we obtain the following:which should have goes to zero for an adequate control law of within a fast transient.
- Control of the direct flux is calculated as follows:With an adequate control , the desired direct flux should reach its desired value within a fast transient.
- Control of the machine speed is calculated as follows:withThe error quantities , , and are expressed as follows:with . These quantities go to zero after converging to zero and to .
5. Proposed Control
5.1. Background on Fractional Calculus
5.2. Quadrature Flux Controller
5.3. Direct Flux Controller
5.4. Speed Controller
5.5. Adaptive Approcah to Remedy Flux Rotor
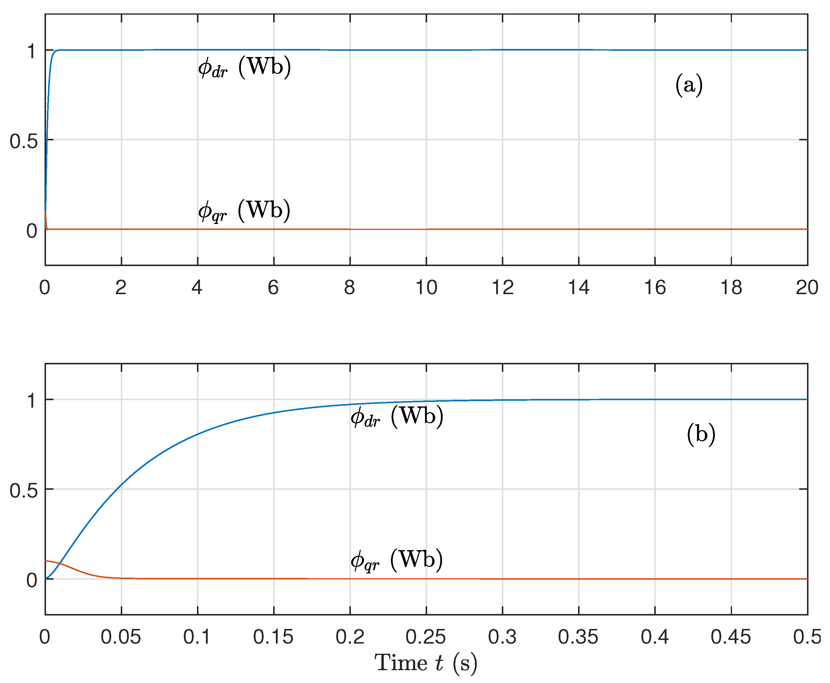
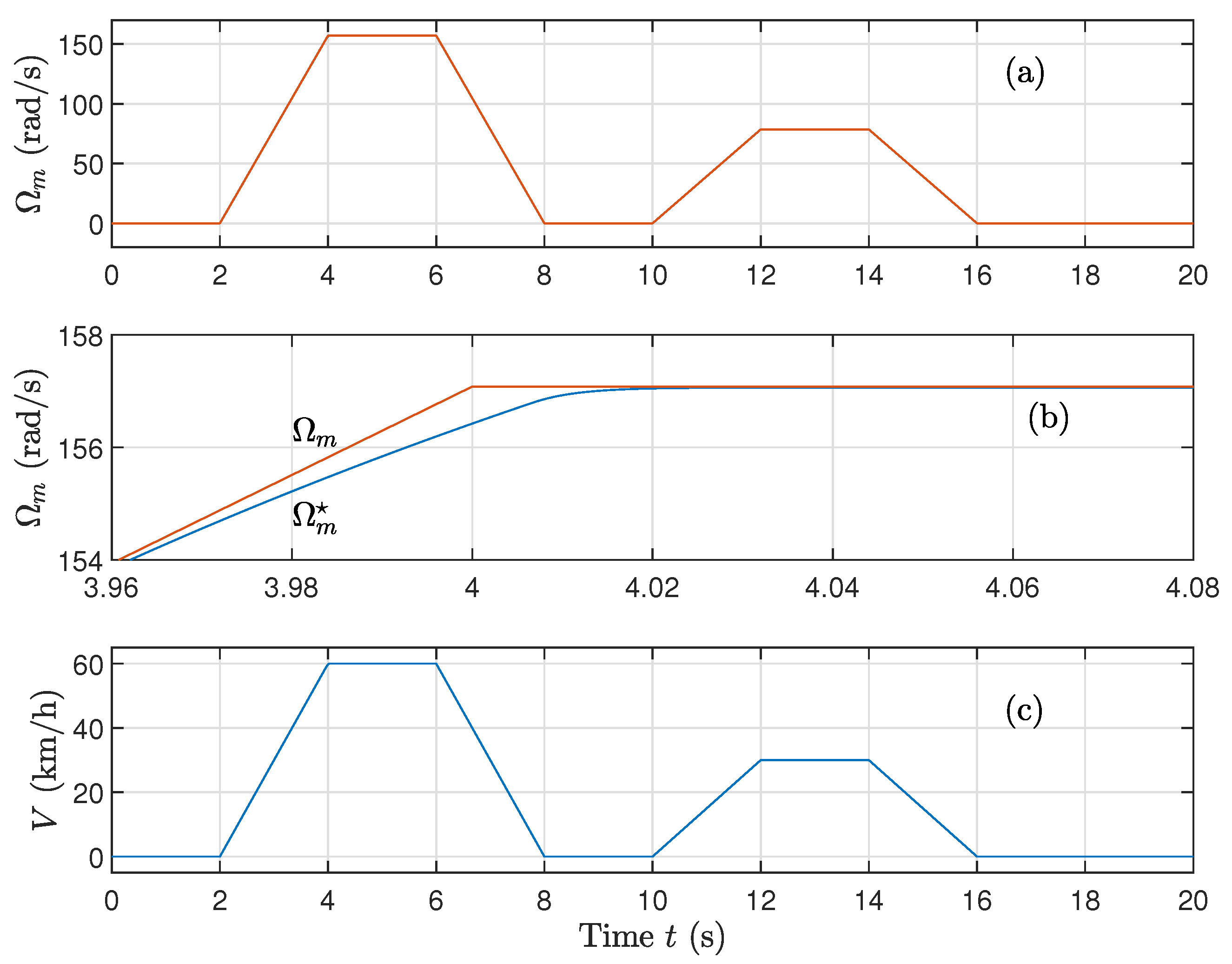
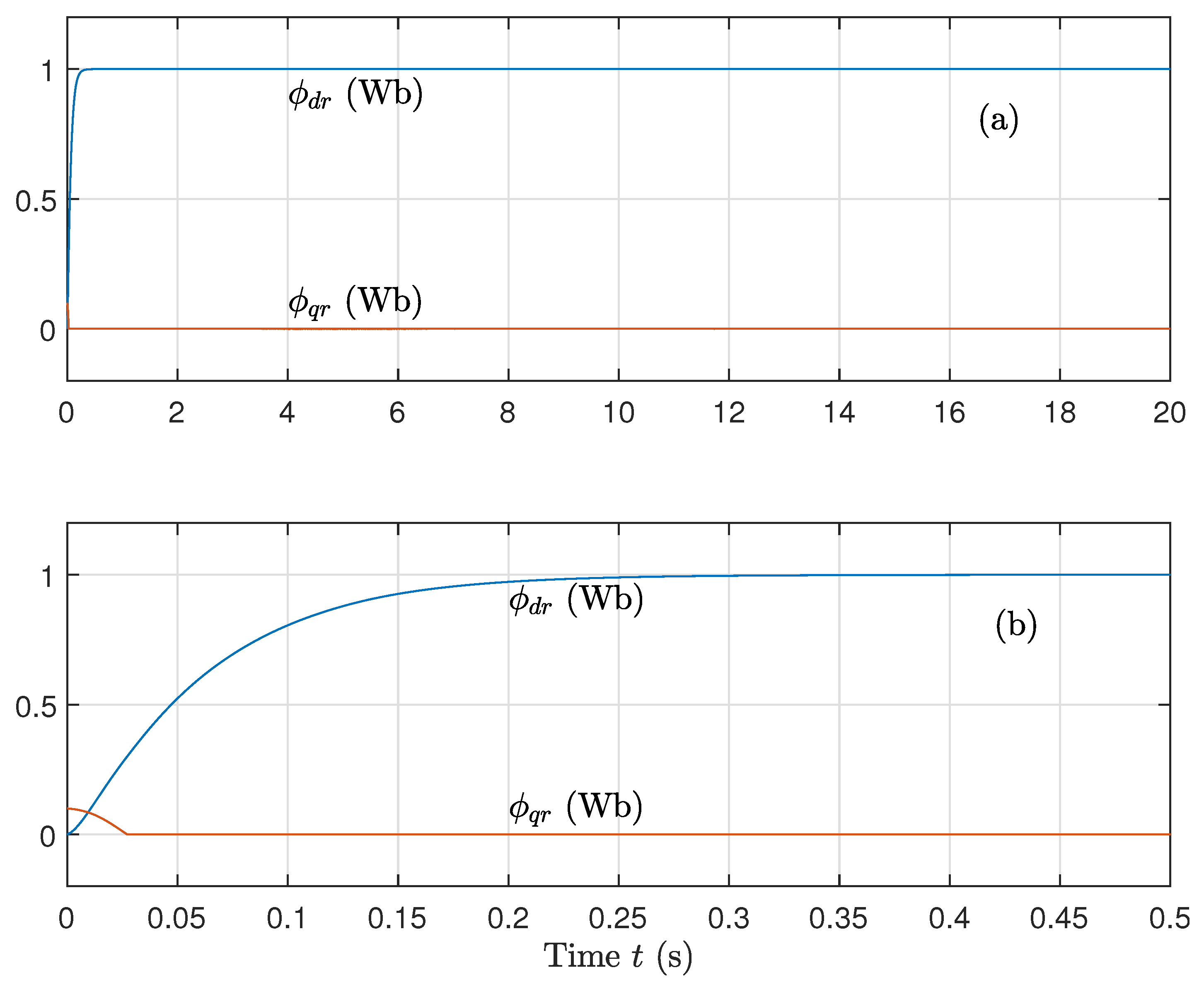
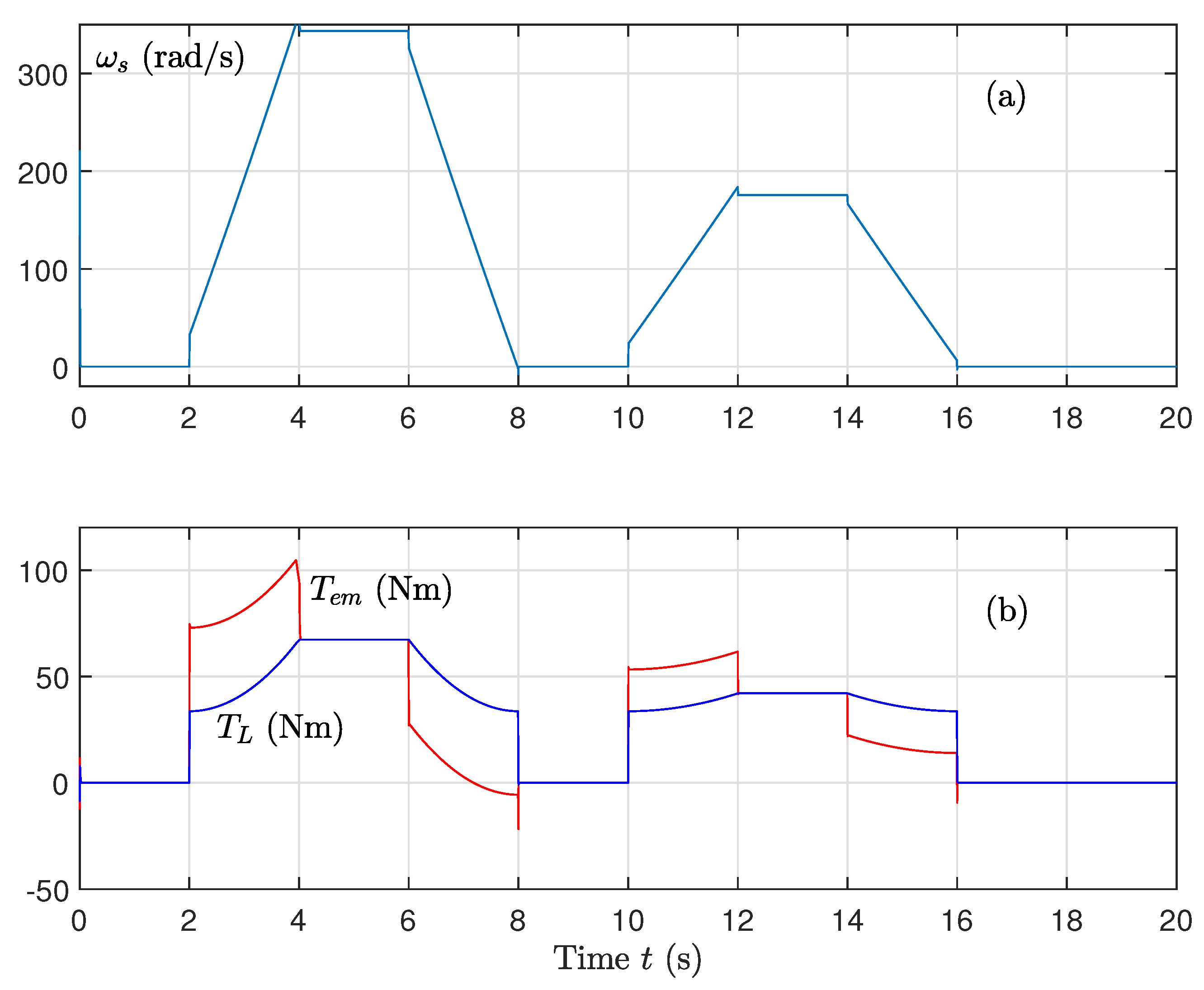
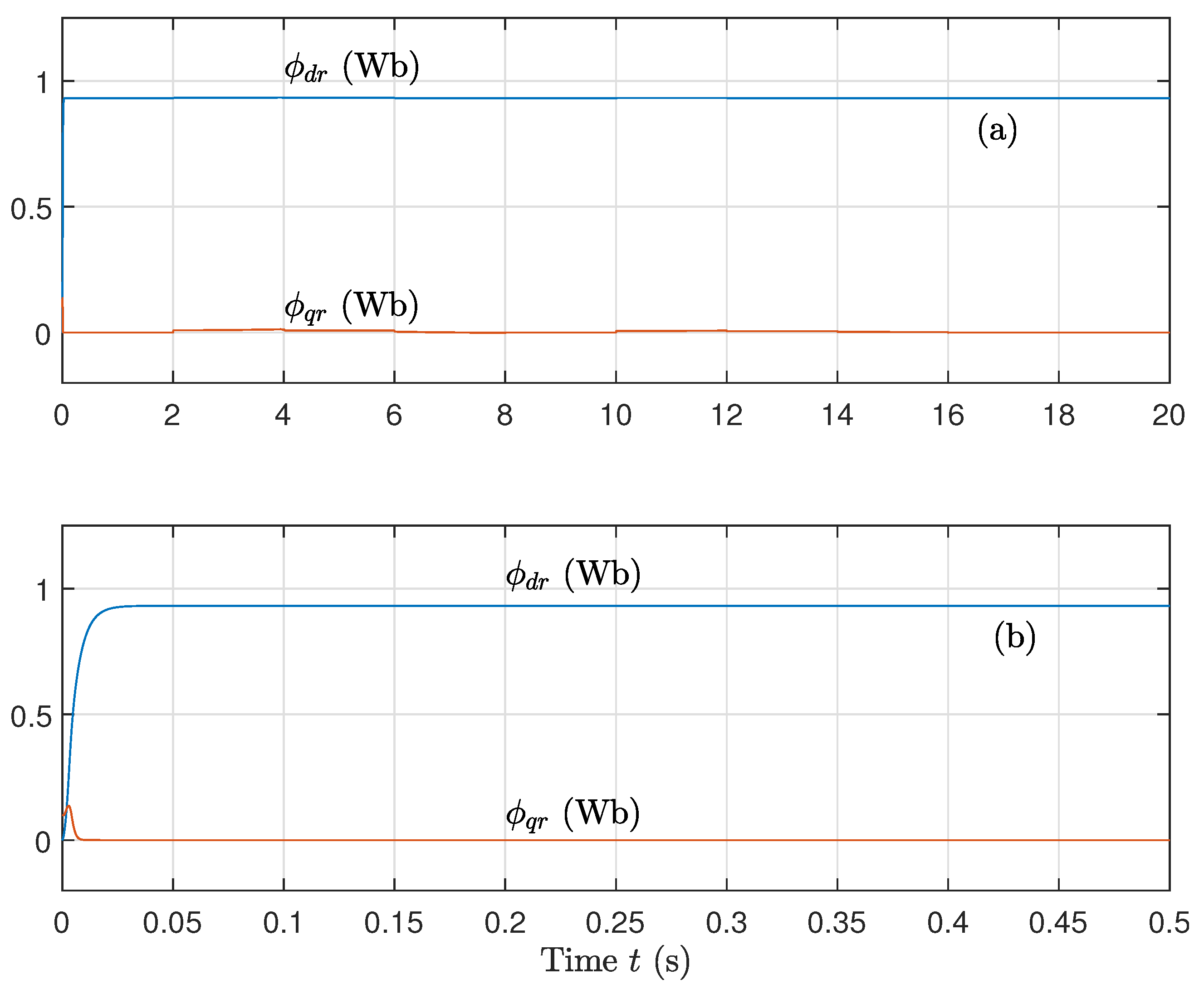
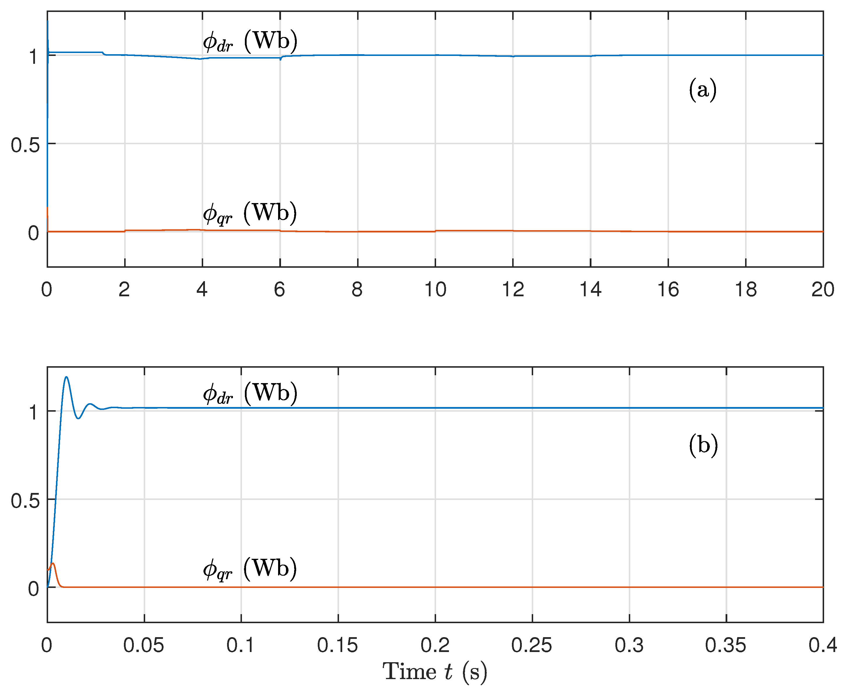
6. Simulation Results
- Supposing all parameters are well known and using the sign function as described above (the ideal case);
- Replacing the sign function with a smooth function, which is a saturation function, in order to eliminate the chattering phenomenon (elimination of the chattering);
- Applying on stator resistance and rotor resistance caused by heating in the motor and applying on the magnetizing inductance M caused by saturation of magnetic circuits (parameter’s variations).
6.1. Ideal Case
6.2. Elimination of the Chattering
6.3. Parameter’s Variations
6.4. Parameter’s Adaptation
7. Conclusions
Author Contributions
Funding
Data Availability Statement
Acknowledgments
Conflicts of Interest
References
- Salahshour, S.; Ahmadian, A.; Senu, N.; Baleanu, D.; Agarwal, P. On analytical solutions of the fractional differential equation with uncertainty: Application to the Basset problem. Entropy 2015, 17, 885–902. [Google Scholar] [CrossRef]
- Gudey, S.; Malla, M.; Jasthi, K.; Gampa, S. Direct torque control of an induction motor using fractional-order sliding mode control technique for quick response and reduced torque ripple. World Electr. Veh. J. 2023, 14, 137. [Google Scholar] [CrossRef]
- Smith, K.; Rahn, C.; Wang, C. Control oriented 1D electrochemical model of lithium-ion battery. J. Power Sources 2020, 196, 4823–4830. [Google Scholar] [CrossRef]
- De Klerk, M.L.; Saha, A.K. Performance analysis of DTC-SVM in a complete traction motor control mechanism for a battery electric vehicle. Heliyon 2022, 8, e09265. [Google Scholar] [CrossRef] [PubMed]
- Hosseini, R.; Ameri, M.; Shakouri, H. Dynamic thermal modeling of photovoltaic modules using partial differential equations. Renew. Energy 2021, 171, 1136–1148. [Google Scholar] [CrossRef]
- Zhao, Y.; Zhang, J.; Xu, D. Modeling and analysis of stand-alone PV–battery hybrid systems based on coupled nonlinear PDEs. Energy 2022, 240, 122785. [Google Scholar] [CrossRef]
- Ali, M.; Khan, S.; Ahmed, R. Fractional-order modeling and control of PV–battery systems for renewable energy applications. Appl. Energy 2023, 335, 120765. [Google Scholar] [CrossRef]
- Ben Salem, F.; Masmoudi, A. A Comparative Analysis of the Inverter Switching Frequency in Takahashi DTC Strategy. Int. J. Comput. Math. Electr. Electron. Eng. COMPEL 2007, 26, 148–166. [Google Scholar] [CrossRef]
- Çavuş, B.; Aktaş, M. A New Adaptive Terminal Sliding Mode Speed Control in Flux Weakening Region for DTC Controlled Induction Motor Drive. IEEE Trans. Power Electron. 2024, 39, 449–458. [Google Scholar] [CrossRef]
- Sung, G.; Lin, W.; Peng, S. Reduction of Torque and Flux Variations Using Fuzzy Direct Torque Control System in Motor Drive. In Proceedings of the 2013 IEEE International Conference on Systems, Man, and Cybernetics, Manchester, UK, 13–16 October 2013. [Google Scholar]
- Zhao, S.; Yu, H.; Yu, J.; Shan, B. Induction Motor DTC Based on Adaptive SMC and Fuzzy Control. In Proceedings of the 27th Chinese Control and Decision Conference, Qingdao, China, 23–25 May 2015. [Google Scholar]
- Adigintla, S.; Aware, M.V. Robust Fractional Order Speed Controllers for Induction Motor Under Parameter Variations and Low Speed Operating Regions. IEEE Trans. Circuits Syst. II Express Briefs 2023, 70, 1119–1123. [Google Scholar] [CrossRef]
- Nosheen, T.; Ali, A.; Chaudhry, M.U.; Nazarenko, D.; Shaikh, I.u.H.; Bolshev, V.; Iqbal, M.M.; Khalid, S.; Panchenko, V. A Fractional Order Controller for Sensorless Speed Control of an Induction Motor. Energies 2023, 16, 1901. [Google Scholar] [CrossRef]
- Salem, F.B.; Almousa, M.T.; Derbel, N. Enhanced Control Technique for Induction Motor Drives in Electric Vehicles: A Fractional-Order Sliding Mode Approach with DTC-SVM. Energies 2024, 17, 4340. [Google Scholar] [CrossRef]
- Bingi, K.; Rajanarayan Prusty, B.; Pal Singh, A. A Review on Fractional-Order Modelling and Control of Robotic Manipulators. Fractal Fract. 2023, 7, 77. [Google Scholar] [CrossRef]
- Duarte-Mermoud, M.A.; Aguila-Camacho, N.; Gallegos, J.A.; Castro-Linares, R. Using general quadratic Lyapunov functions to prove Lyapunov uniform stability for fractional order systems. Commun. Nonlinear Sci. Numer. Simul. 2015, 22, 650–659. [Google Scholar] [CrossRef]
- Aguila-Camacho, N.; Duarte-Mermoud, M.A.; Gallegos, J.A. Lyapunov functions for fractional order systems. Commun. Nonlinear Sci. Numer. Simul. 2014, 19, 2951–2957. [Google Scholar] [CrossRef]




















| Mode | Production | S1 | S2 | S3 | SOC |
|---|---|---|---|---|---|
| Mode 1 | excess | 1 | 1 | 0 | SOC ≥ SOCmax |
| Mode 2 | excess | 1 | 1 | 1 | SOC < SOCmax |
| Mode 3 | lack | 1 | 0 | 0 | SOC > SOCmin |
| Mode 4 | lack | 0 | 0 | 0 | SOC ≤ SOCmin |
Disclaimer/Publisher’s Note: The statements, opinions and data contained in all publications are solely those of the individual author(s) and contributor(s) and not of MDPI and/or the editor(s). MDPI and/or the editor(s) disclaim responsibility for any injury to people or property resulting from any ideas, methods, instructions or products referred to in the content. |
© 2025 by the authors. Licensee MDPI, Basel, Switzerland. This article is an open access article distributed under the terms and conditions of the Creative Commons Attribution (CC BY) license (https://creativecommons.org/licenses/by/4.0/).
Share and Cite
Ben Salem, F.; Mouine, J.; Derbel, N. Advancements in Sustainable Mobility: Fractional-Order FOC of IM in an Electric Vehicle Powered by an Autonomous PV Battery System. Fractal Fract. 2025, 9, 661. https://doi.org/10.3390/fractalfract9100661
Ben Salem F, Mouine J, Derbel N. Advancements in Sustainable Mobility: Fractional-Order FOC of IM in an Electric Vehicle Powered by an Autonomous PV Battery System. Fractal and Fractional. 2025; 9(10):661. https://doi.org/10.3390/fractalfract9100661
Chicago/Turabian StyleBen Salem, Fatma, Jaouhar Mouine, and Nabil Derbel. 2025. "Advancements in Sustainable Mobility: Fractional-Order FOC of IM in an Electric Vehicle Powered by an Autonomous PV Battery System" Fractal and Fractional 9, no. 10: 661. https://doi.org/10.3390/fractalfract9100661
APA StyleBen Salem, F., Mouine, J., & Derbel, N. (2025). Advancements in Sustainable Mobility: Fractional-Order FOC of IM in an Electric Vehicle Powered by an Autonomous PV Battery System. Fractal and Fractional, 9(10), 661. https://doi.org/10.3390/fractalfract9100661

