Sign in to use this feature.

Years

Between: -

Subjects

remove_circle_outline
remove_circle_outline
remove_circle_outline
remove_circle_outline
remove_circle_outline
remove_circle_outline
remove_circle_outline
remove_circle_outline
remove_circle_outline

Journals

remove_circle_outline
remove_circle_outline
remove_circle_outline
remove_circle_outline
remove_circle_outline
remove_circle_outline
remove_circle_outline
remove_circle_outline
remove_circle_outline
remove_circle_outline
remove_circle_outline
remove_circle_outline
remove_circle_outline
remove_circle_outline
remove_circle_outline
remove_circle_outline
remove_circle_outline
remove_circle_outline

Article Types

Countries / Regions

remove_circle_outline
remove_circle_outline
remove_circle_outline
remove_circle_outline

Search Results (998)

Search Parameters:
Keywords = non-conventional waters

Order results
Result details
Results per page
Select all
Export citation of selected articles as:
23 pages, 10616 KB  
Article
Analysis of Sealing Characteristics of Hydraulic Clamping Flange Connection Mechanism
by Xiaofeng Liu, Qingchao Bu, Sitong Luan, Xuelian Cao, Yu Zhang, Chaoyi Mu, Junzhe Lin and Yafei Shi
Processes 2026, 14(1), 72; https://doi.org/10.3390/pr14010072 - 24 Dec 2025
Abstract
A novel hydraulically actuated uniform clamping flange connection mechanism is proposed to address the long-standing challenges in high-pressure natural gas flowmeter calibration, including cumbersome bolt-by-bolt assembly/disassembly, high leakage risk, and severe non-uniform gasket contact pressure associated with conventional multi-bolt flanges. Unlike traditional discrete [...] Read more.
A novel hydraulically actuated uniform clamping flange connection mechanism is proposed to address the long-standing challenges in high-pressure natural gas flowmeter calibration, including cumbersome bolt-by-bolt assembly/disassembly, high leakage risk, and severe non-uniform gasket contact pressure associated with conventional multi-bolt flanges. Unlike traditional discrete bolt loading, the proposed mechanism generates a continuous and actively adjustable circumferential clamping force via an integrated hydraulic annular piston, ensuring excellent sealing uniformity and rapid installation within minutes. A high-fidelity transient finite element model of the hydraulic clamping flange assembly is established, incorporating the nonlinear compression/rebound behavior of flexible graphite–stainless steel spiral-wound gaskets and one-way fluid–structure interaction under water hammer loading. Parametric studies reveal that reducing the effective clamping area to below 80% of the original design significantly intensifies stress concentration and compromises sealing integrity, while clamping force below 80% or above 120% of the nominal value leads to leakage or component overstress, respectively. Under steady 10 MPa pressurization, the flange exhibits a maximum stress of 150.57 MPa, a minimum gasket contact stress exceeding 30 MPa, and a rotation angle below 1°, demonstrating robust sealing performance. During a severe water hammer event induced by rapid valve closure, the peak flange stress remains acceptable at 140.41 MPa, while the minimum gasket contact stress stays above the critical sealing threshold (38.051 MPa). However, repeated water hammer cycles increase the risk of long-term gasket fatigue. This study introduces, for the first time, a hydraulic uniform-clamping flange solution that dramatically improves sealing reliability, installation efficiency, and operational safety in high-pressure flowmeter calibration and similar temporary high-integrity piping connections, providing crucial technical guidance for field applications. Full article
(This article belongs to the Topic Clean and Low Carbon Energy, 2nd Edition)
Show Figures

Figure 1

25 pages, 3845 KB  
Article
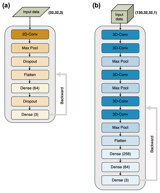
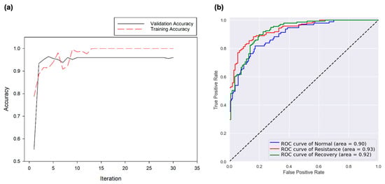
Multimodal Optical Biosensing and 3D-CNN Fusion for Phenotyping Physiological Responses of Basil Under Water Deficit Stress
by Yu-Jin Jeon, Hyoung Seok Kim, Taek Sung Lee, Soo Hyun Park, Heesup Yun and Dae-Hyun Jung
Agronomy 2026, 16(1), 55; https://doi.org/10.3390/agronomy16010055 - 24 Dec 2025
Abstract
Water availability critically affects basil (Ocimum basilicum L.) growth and physiological performance, making the early and precise monitoring of water-deficit responses essential for precision irrigation. However, conventional visual or biochemical methods are destructive and unsuitable for real-time assessment. This study presents a [...] Read more.
Water availability critically affects basil (Ocimum basilicum L.) growth and physiological performance, making the early and precise monitoring of water-deficit responses essential for precision irrigation. However, conventional visual or biochemical methods are destructive and unsuitable for real-time assessment. This study presents a multimodal optical biosensing and 3D convolutional neural network (3D-CNN) fusion framework for phenotyping physiological responses of basil under water-deficit stress. RGB, depth, and chlorophyll fluorescence (CF) imaging were integrated to capture complementary morphological and photosynthetic information. Through the fusion of 130 optical parameter layers, the 3D-CNN model learned spatial and temporal–spectral features associated with resistance and recovery dynamics, achieving 96.9% classification accuracy—outperforming both 2D-CNN and traditional machine-learning classifiers. Feature-space visualization using t-SNE confirmed that the learned latent representations reflected biologically meaningful stress–recovery trajectories rather than superficial visual differences. This multimodal fusion framework provides a scalable and interpretable approach for the real-time, non-destructive monitoring of crop water stress, establishing a foundation for adaptive irrigation control and intelligent environmental management in precision agriculture. Full article
(This article belongs to the Special Issue Smart Farming: Advancing Techniques for High-Value Crops)
Show Figures

Figure 1

21 pages, 8040 KB  
Article
Functionalization of Microfiltration Media Towards Catalytic Hydrogenation of Selected Halo-Organics from Water
by Subrajit Bosu, Samuel S. Thompson, Doo Young Kim, Noah D. Meeks and Dibakar Bhattacharyya
Nanomaterials 2026, 16(1), 14; https://doi.org/10.3390/nano16010014 - 22 Dec 2025
Viewed by 152
Abstract
Contaminated water detoxification remains difficult due to the presence of persistent halo-organic contaminants, such as perfluorooctanoic acid (PFOA) and chlorophenols, which are chemically stable and resist conventional purification methods. Functionalized membrane-based separation and decontamination have garnered immense attention in recent years. Commercially available [...] Read more.
Contaminated water detoxification remains difficult due to the presence of persistent halo-organic contaminants, such as perfluorooctanoic acid (PFOA) and chlorophenols, which are chemically stable and resist conventional purification methods. Functionalized membrane-based separation and decontamination have garnered immense attention in recent years. Commercially available microfiltration membrane (PVDF) and polymeric non-woven fiber filters (glass and composite) are functionalized with poly(methacrylic acid) (PMAA) that shows outstanding pH-responsive performance and tunable water permeability under ambient conditions perfect for environmental applications. Polymer loading based on weight gain measurements on PMAA–microglass composite fibers (137%) and microglass fibers (116%) confirmed their extent of functionalization, which was significantly greater than that of PVDF (25%) due to its widely effective pore diameter. Presence of chemically active hydrogel within PVDF matrix was validated by FTIR (hydroxyl/carbonyl) stretch peak, substantial decrease in contact angle (68.8° ± 0.5° to 30.8° ± 1.9°), and decrease in pure water flux from 509 to 148 LMH/bar. Nanoparticles are generated both in solution and within PVDF using simple redox reactions. This strategy is extended to PVDF-PMAA membranes, which are loaded with Fe/Pd nanoparticles for catalytic conversion of 4-chlorophenol and PFOA, forming Fe/Pd-PVDF-PMAA systems. A total of 0.25 mg/L Fe/Pd nanoparticles synthesized in solution displayed alloy-type structures and demonstrated a strong catalytic performance, achieving complete hydrogenation of 4-chlorophenol to phenol and 67% hydrogenation of PFOA to its reduced form at 22–23 °C with ultrapure hydrogen gas supply at pH 5.7. These results underscore the potential of hybrid polymer–nanoparticle systems as a novel remediation strategy, integrating tunable separation with catalytic degradation to overcome the limitations of conventional water treatment methods. Full article
(This article belongs to the Special Issue Advances in Nanotechnology for Pollutant Degradation)
Show Figures

Graphical abstract

15 pages, 2669 KB  
Article
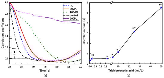
Laser Biospeckles Analysis for Rapid Evaluation of Organic Pollutants in Water
by Arti Devi, Hirofumi Kadono and Uma Maheswari Rajagopalan
AppliedPhys 2026, 2(1), 1; https://doi.org/10.3390/appliedphys2010001 - 21 Dec 2025
Viewed by 69
Abstract
Rapid evaluation of water toxicity requires biological methods capable of detecting sub-lethal physiological changes without depending on chemical identification. Conventional microscopy-based bioassays are limited by low throughput and difficulties in observing small, transparent and fast-moving microorganisms. This study applies a laser-biospeckle, non-imaging microbioassay [...] Read more.
Rapid evaluation of water toxicity requires biological methods capable of detecting sub-lethal physiological changes without depending on chemical identification. Conventional microscopy-based bioassays are limited by low throughput and difficulties in observing small, transparent and fast-moving microorganisms. This study applies a laser-biospeckle, non-imaging microbioassay to assess the motility responses of Paramecium caudatum and Euglena gracilis exposed to two organic pollutants, trichloroacetic acid (TCAA) and acephate. Dynamic speckle patterns were recorded using a 638 nm laser diode (Thorlabs Inc., Tokyo, Japan) and a CCD camera (Gazo Co., Ltd., Tokyo, Japan) at 60 fps for 120 s. Correlation time, derived from temporal cross-correlation analysis, served as a quantitative indicator of motility. Exposure to TCAA (0.1–50 mg/L) produced strong concentration-dependent inhibition, with correlation time increasing up to 16-fold at 500× PL in P. caudatum (p < 0.01), whereas E. gracilis showed a delayed response, with significant inhibition only above 250× PL. In contrast, acephate exposure (0.036–3.6 mg/L) induced motility enhancement in both species, reflected by decreases in correlation time of up to 57% in P. caudatum and 40% in E. gracilis at 100× PL. Acute trends diminished after 24–48 h, indicating time-dependent physiological adaptation. These results demonstrate that biospeckled-derived correlation time sensitively captures both inhibitory and stimulatory behavioral responses, enabling real-time, high-throughput water toxicity screening without microscopic imaging. The method shows strong potential for integration into automated water-quality monitoring systems. Full article
(This article belongs to the Special Issue Advancements in Optical Measurements and Sensing Technology)
Show Figures

Figure 1

14 pages, 2577 KB  
Article
Experimental Study of Ship Oblique Motion in Floating Ice of Different Concentrations
by Qiaosheng Zhao, Jiyu Ma, Zhifu Li and Wei Guo
J. Mar. Sci. Eng. 2025, 13(12), 2403; https://doi.org/10.3390/jmse13122403 - 18 Dec 2025
Viewed by 155
Abstract
This study presents a model experiment on the oblique maneuvering of a ship in a floating ice environment. A series of captive model tests was conducted in both open-water and synthetic ice fields at concentrations of 60%, 70%, and 80%. The model was [...] Read more.
This study presents a model experiment on the oblique maneuvering of a ship in a floating ice environment. A series of captive model tests was conducted in both open-water and synthetic ice fields at concentrations of 60%, 70%, and 80%. The model was tested in a conventional towing tank using non-refrigerated polypropylene ice floes to simulate a broken ice field. Surge force, sway force, and yaw moment on the hull were measured under various drift angles and three speeds. Results show that in oblique motion, ice floes around the hull experience significant overturning and piling up, especially on the drift side, leading to random collisions with the hull. These interactions markedly affect the hydrodynamic forces. As the drift angle increases, the surge, sway, and yaw forces on the hull increase nonlinearly. The comparison between open-water and ice conditions indicates that floating ice can significantly increase the resistance and maneuvering forces. Higher ice concentrations lead to more frequent and more extensive contact between the hull and the ice floes, thereby further amplifying all components of the hydrodynamic forces. This work provides experimental data for validating calculation methods of ship resistance and maneuvering in broken ice. It demonstrates a feasible experimental approach for studying ship maneuvers in a floating ice channel. Full article
Show Figures

Figure 1

25 pages, 3313 KB  
Article
Indoor Environment Improvement and Energy-Saving Effects of Light Shelf System with Integrated Radiant Heating and Cooling Panel
by Beomseok Go, Kyu-Nam Rhee, Joowook Kim and Taeyon Hwang
Buildings 2025, 15(24), 4561; https://doi.org/10.3390/buildings15244561 - 17 Dec 2025
Viewed by 114
Abstract
Achieving good daylighting while maintaining thermal comfort and reducing perimeter energy use is a key challenge in low-energy office buildings. This study developed a thermally activated light shelf (TALS) system that integrates multiple functions into a conventional light shelf. The top surface blocks [...] Read more.
Achieving good daylighting while maintaining thermal comfort and reducing perimeter energy use is a key challenge in low-energy office buildings. This study developed a thermally activated light shelf (TALS) system that integrates multiple functions into a conventional light shelf. The top surface blocks excessive perimeter light and reflects daylight deeper into the room, while the bottom surface operates as a radiant heating and cooling panel using circulating warm or cool water. To evaluate the system, full-scale empirical experiments were conducted in a mock-up test bed with two identical office-like cells under the same boundary conditions; one cell was equipped with TALS and the other served as a reference. Indoor thermal environment indices and heating and cooling energy use were monitored during winter and summer. The TALS room achieved ISO 7730 Category A comfort more frequently, with Category A cumulative duration approximately 3.4 times longer in winter and 7.8 times longer in summer compared with the non-TALS room. In addition, heating and cooling energy were reduced by about 39.2% and 7.7%, respectively. These promising results are based on a single prototype and climate, and further studies are needed to optimize TALS capacity and window-related heat loss. Full article
Show Figures

Figure 1

20 pages, 8586 KB  
Article
Multi-Objective Optimization for Irrigation Canal Water Allocation and Intelligent Gate Control Under Water Supply Uncertainty
by Qingtong Cai, Xianghui Xu, Mo Li, Xingru Ye, Wuyuan Liu, Hongda Lian and Yan Zhou
Water 2025, 17(24), 3585; https://doi.org/10.3390/w17243585 - 17 Dec 2025
Viewed by 242
Abstract
Open-channel irrigation systems often face constraints due to water supply uncertainty and insufficient gate control precision. This study proposes an integrated framework for canal water allocation and gate control that combines interval-based uncertainty analysis with intelligent optimization to address these challenges. First, we [...] Read more.
Open-channel irrigation systems often face constraints due to water supply uncertainty and insufficient gate control precision. This study proposes an integrated framework for canal water allocation and gate control that combines interval-based uncertainty analysis with intelligent optimization to address these challenges. First, we predict the inflow process using an Auto-Regressive Integrated Moving Average (ARIMA) model and quantify the range of water supply uncertainty through Maximum Likelihood Estimation (MLE). Based on these results, we formulate a bi-objective optimization model to minimize both main canal flow fluctuations and canal network seepage losses. We solve the model using the Non-dominated Sorting Genetic Algorithm II (NSGA-II) to obtain Pareto-optimal water allocation schemes under uncertain inflow conditions. This study also designs a Fuzzy Proportional–Integral–Derivative (Fuzzy PID) controller. We adaptively tune its parameters using the Particle Swarm Optimization (PSO) algorithm, which enhances the dynamic response and operational stability of open-channel gate control. We apply this framework to the Chahayang irrigation district. The results show that total canal seepage decreases by 1.21 × 107 m3, accounting for 3.9% of the district’s annual water supply, and the irrigation cycle is shortened from 45 days to 40.54 days, improving efficiency by 9.91%. Compared with conventional PID control, the PSO-optimized Fuzzy PID controller reduces overshoot by 4.84%, and shortens regulation time by 39.51%. These findings indicate that the proposed method can significantly improve irrigation water allocation efficiency and gate control performance under uncertain and variable water supply conditions. Full article
(This article belongs to the Section Water, Agriculture and Aquaculture)
Show Figures

Figure 1

27 pages, 1493 KB  
Article
Index of Sustainability of Water Supply Systems (ISA): An Autonomous Framework for Urban Water Sustainability Assessment in Data-Scarce Settings
by Holger Manuel Benavides-Muñoz
Sustainability 2025, 17(24), 11293; https://doi.org/10.3390/su172411293 - 17 Dec 2025
Viewed by 204
Abstract
Urban Water utilities in low- and middle-income countries face systemic challenges, including data scarcity, institutional fragmentation, and aging infrastructure, that constrain the applicability of conventional benchmarking tools reliant on peer comparisons. This study introduces and validates the Index of Sustainability of Water Supply [...] Read more.
Urban Water utilities in low- and middle-income countries face systemic challenges, including data scarcity, institutional fragmentation, and aging infrastructure, that constrain the applicability of conventional benchmarking tools reliant on peer comparisons. This study introduces and validates the Index of Sustainability of Water Supply Systems (ISA), an autonomous diagnostic framework that evaluates sustainability without external references. The ISA integrates 49 indicators across economic, social, and environmental dimensions, transforming raw utility data into standardized quality scores through non-linear conversion functions and weighted aggregation. When applied to 14 urban water systems in southern Ecuador, the ISA revealed severe sustainability deficits: all scored between 25 and 43 on a 0–100 scale, with 71% classified as poor and 29% as deficient. Key weaknesses included inadequate cost recovery, network renewal below 0.2%/year, lack of wastewater treatment, limited watershed protection, intermittent supply under 12 h/day, and persistent water quality issues. A critical failure was an Infrastructure Leakage Index > 38 in 7 of 14 systems. The ISA’s autonomous design enabled identification of systemic vulnerabilities, including governance gaps and environmental deficits. These results confirm the ISA’s practical utility as an equitable, actionable diagnostic tool for utilities and regulators to prioritize interventions and advance SDG 6 in data-constrained settings. Full article
(This article belongs to the Section Sustainable Water Management)
Show Figures

Figure 1

23 pages, 3909 KB  
Review
Nature-Based Solutions for Removal of Microplastics from Wastewater: Technologies, Challenges, and Prospects
by Casper Boongaling Agaton
Microplastics 2025, 4(4), 107; https://doi.org/10.3390/microplastics4040107 - 16 Dec 2025
Viewed by 285
Abstract
Microplastic pollution has emerged as a serious societal concern, posing risks to the environment, human health, and economies. Conventional wastewater treatment processes remove microplastics at various levels from physical removal (primary), biological degradation (secondary), and contaminant-specific removal (tertiary treatment). Nature-based solutions (NbSs) offer [...] Read more.
Microplastic pollution has emerged as a serious societal concern, posing risks to the environment, human health, and economies. Conventional wastewater treatment processes remove microplastics at various levels from physical removal (primary), biological degradation (secondary), and contaminant-specific removal (tertiary treatment). Nature-based solutions (NbSs) offer an ecologically friendly alternative that utilizes nature to remove microplastics from wastewater. Recent reviews either focus broadly on NBSs for wastewater, technological solutions for microplastics, or NbSs for microplastics, but rarely connect them systematically. This review presents an integrated review of the sources and impacts of microplastic pollution, NbS technologies for the removal of microplastics, challenges and prospects in utilizing NbSs, and the knowledge gaps. Primary sources of microplastics are intentionally produced at microscopic sizes, while secondary sources originate from the disintegration of larger plastic debris. Among the NbS technologies are constructed wetlands (horizontal subsurface flow, vertical flow, surface flow, microbial fuel cells, multistage) with up to 100% efficiency; green infrastructures (bioretention systems, green walls, permeable pavements, retention ponds) with up to 99% efficiency; macrophytes and microphytes with up to 94% microplastic removal rate. Despite the ecosystem services provided by NbSs, they are challenged by the decrease in efficiency in removing other contaminants, detection and evaluation of NbS performance, and non-technical factors (operations and maintenance, public acceptance, climate risks, and financing). The findings present insights on further research and policy recommendations aimed at facilitating the integration of NbSs into existing frameworks for the removal of microplastics from wastewater, promoting research and innovation, and ensuring sustainable practices for sustainable management of water resources. Full article
Show Figures

Figure 1

20 pages, 4502 KB  
Article
Transforming Waste into Value: The Role of Recovered Carbon Fibre and Oil Shale Ash in Enhancing Cement-Based Structural Composites
by Regina Kalpokaitė-Dičkuvienė, Inga Stasiulaitiene, Arūnas Baltušnikas and Samy Yousef
Materials 2025, 18(24), 5636; https://doi.org/10.3390/ma18245636 - 15 Dec 2025
Viewed by 241
Abstract
Economic and technological factors necessitate the use of alternative fuels during oil shale combustion, a process that generates substantial amounts of solid waste with varying ash compositions. This study evaluates the potential of two such waste materials: (i) fly ash derived from the [...] Read more.
Economic and technological factors necessitate the use of alternative fuels during oil shale combustion, a process that generates substantial amounts of solid waste with varying ash compositions. This study evaluates the potential of two such waste materials: (i) fly ash derived from the combustion of oil shale (a fine particulate residue from burning crushed shale rock, sometimes combined with biomass), and (ii) short carbon fibres recovered from the pyrolysis (a process of decomposing materials at high temperatures in the absence of oxygen) of waste wind turbine blades. Oil shale ash from two different sources was investigated as a partial cement replacement, while recycled short carbon fibres (rCFs) were incorporated to enhance the functional properties of mortar composites. Results showed that carbonate-rich ash promoted the formation of higher amounts of monocarboaluminate (a crystalline hydration product in cement chemistry), leading to a refined pore structure and increased volumes of reaction products—primarily calcium silicate hydrates (C–S–H, critical compounds for cement strength). The findings indicate that the mineralogical composition of the modified binder (the mixture that holds solid particles together in mortar), rather than the fibre content, is the dominant factor in achieving a dense microstructure. This, in turn, enhances resistance to water ingress and improves mechanical performance under long-term hydration and freeze–thaw exposure. Life cycle assessment (LCA, a method to evaluate environmental impacts across a product’s lifespan) further demonstrated that combining complex binders with rCFs can significantly reduce the environmental impacts of cement production, particularly in terms of global warming potential (−4225 kg CO2 eq), terrestrial ecotoxicity (−1651 kg 1,4-DCB), human non-carcinogenic toxicity (−2280 kg 1,4-DCB), and fossil resource scarcity (−422 kg oil eq). Overall, the integrative use of OSA and rCF presents a sustainable alternative to conventional cement, aligning with principles of waste recovery and reuse, while providing a foundation for the development of next-generation binder systems. Full article
(This article belongs to the Special Issue Advances in Waste Materials’ Valorization)
Show Figures

Figure 1

16 pages, 6944 KB  
Article
Water Shutoff with Polymer Gels in a High-Temperature Gas Reservoir in China: A Success Story
by Tao Song, Hongjun Wu, Pingde Liu, Junyi Wu, Chunlei Wang, Hualing Zhang, Song Zhang, Mantian Li, Junlei Wang, Bin Ding, Weidong Liu, Jianyun Peng, Yingting Zhu and Falin Wei
Energies 2025, 18(24), 6554; https://doi.org/10.3390/en18246554 - 15 Dec 2025
Viewed by 239
Abstract
Gel treatments have been widely applied to control water production in oil and gas reservoirs. However, for water shutoff in dense gas reservoirs, most gel-based treatments focus on individual wells rather than the entire reservoir, exhibiting limited treatment depth, poor durability, and inadequate [...] Read more.
Gel treatments have been widely applied to control water production in oil and gas reservoirs. However, for water shutoff in dense gas reservoirs, most gel-based treatments focus on individual wells rather than the entire reservoir, exhibiting limited treatment depth, poor durability, and inadequate repeatability Notably, formation damage is a primary consideration in treatment design—most dense gas reservoirs have a permeability of less than 1 mD, making them highly susceptible to damage by formation water, let alone viscous polymer gels. Constrained by well completion methods, gelant can only be bullheaded into deep gas wells in most scenarios. Due to the poor gas/water selective plugging capability of conventional gels, the injected gelant tends to enter both gas and water zones, simultaneously plugging fluid flow in both. Although several techniques have been developed to re-establish gas flow paths post-treatment, treating gas-producing zones remains risky when no effective barrier exists between water and gas strata. Additionally, most water/gas selective plugging materials lack sufficient thermal stability under high-temperature and high-salinity (HTHS) gas reservoir conditions, and their injectivity and field feasibility still require further optimization. To address these challenges, treatment design should be optimized using non-selective gel materials, shifting the focus from directly preventing formation water invasion into individual wells to mitigating or slowing water invasion across the entire gas reservoir. This approach can be achieved by placing large-volume gels along major water flow paths via fully watered-out wells located at structurally lower positions. Furthermore, the drainage capacity of these wells can be preserved by displacing the gel slug to the far-wellbore region, thereby dissipating water-driven energy. This study evaluates the viability of placing gels in fully watered-out wells at structurally lower positions in an edge-water drive gas reservoir to slow water invasion into structurally higher production wells interconnected via numerous microfractures and high-permeability streaks. The gel system primarily comprises polyethyleneimine (PEI), a terpolymer, and nanofibers. Key properties of the gel system are as follows: Static gelation time: 6 h; Elastic modulus of fully crosslinked gel: 8.6 Pa; Thermal stability: Stable in formation water at 130 °C for over 3 months; Injectivity: Easily placed in a 219 mD rock matrix with an injection pressure gradient of 0.8 MPa/m at an injection rate of 1 mL/min; and Plugging performance: Excellent sealing effect on microfractures, with a water breakthrough pressure gradient of 2.25 MPa/m in 0.1 mm fractures. During field implementation, cyclic gelant injections combined with over-displacement techniques were employed to push the gel slug deep into the reservoir while maintaining well drainage capacity. The total volumes of injected fluid and gelant were 2865 m3 and 1400 m3, respectively. Production data and tracer test results from adjacent wells confirmed that the water invasion rate was successfully reduced from 59 m/d to 35 m/d. The pilot test results validate that placing gels in fully watered-out wells at structurally lower positions is a viable strategy to protect the production of gas wells at structurally higher positions. Full article
(This article belongs to the Special Issue New Advances in Oil, Gas and Geothermal Reservoirs—3rd Edition)
Show Figures

Figure 1

13 pages, 771 KB  
Article
Optimizing Caffeine Treatments for Brown Marmorated Stink Bug Management in Laboratory Bioassays
by Miko Keno R. Cruz, Darija Lemic, Marko Vinceković, Martina Pajač Beus, Helena Viric Gasparic, Renata Bažok and Ivana Pajač Živković
Agronomy 2025, 15(12), 2867; https://doi.org/10.3390/agronomy15122867 - 14 Dec 2025
Viewed by 250
Abstract
The brown marmorated stink bug (Halyomorpha halys Stål, 1855) is a globally invasive polyphagous pest that challenges conventional chemical control. We evaluated caffeine-based preparations—alone and combined with chitosan, acetic acid, and ethanol—against adults under laboratory conditions using topical application and 72 h [...] Read more.
The brown marmorated stink bug (Halyomorpha halys Stål, 1855) is a globally invasive polyphagous pest that challenges conventional chemical control. We evaluated caffeine-based preparations—alone and combined with chitosan, acetic acid, and ethanol—against adults under laboratory conditions using topical application and 72 h mortality readouts. Among caffeine-in-water treatments, 3% (w/v) yielded the highest mortality (52.5%), indicating an efficacy peak constrained by solubility/precipitation. The most effective overall formulation was 1% caffeine + 1% chitosan + 3% acetic acid, reaching 57.5% mortality and outperforming higher caffeine loads (3–5%). Ethanol as a co-solvent consistently reduced efficacy across concentrations. Patterns across treatments indicate that bioefficacy was driven predominantly by formulation chemistry rather than dose: the chitosan–acetic acid matrix enhanced cuticular deposition, retention, and diffusion of caffeine, whereas high caffeine levels likely triggered detoxification responses and/or reduced bioaccessible dose due to precipitation. By enabling lower active ingredient loads with equal or greater bioactivity, the biodegradable chitosan–acid system improves the environmental profile of caffeine-based insecticides. These results identify a practical, low-complexity path to optimize caffeine delivery for H. halys control and support integration into IPM frameworks. Field validation, testing on earlier life stages, and assessment of non-target effects and resistance biomarkers are warranted to translate these findings into robust, sustainable pest management strategies. Full article
Show Figures

Figure 1

18 pages, 657 KB  
Article
Transboundary and National Environmental Impacts of Seawater Desalination in Central Chile: An LCA-Based Analysis Across Energy Transition Scenarios
by Roberto Meza-Olivares, Adrián-Enrique Ortiz-Rojas, Camila Mery-Araya and Jaime Chacana-Olivares
Sustainability 2025, 17(24), 11178; https://doi.org/10.3390/su172411178 - 13 Dec 2025
Viewed by 225
Abstract
The environmental impact of seawater reverse osmosis desalination in central Chile was assessed using Life Cycle Assessment (LCA) with the EcoInvent database to address the region’s high water stress. The study analyzed the operational phase using 1 m3 of product water as [...] Read more.
The environmental impact of seawater reverse osmosis desalination in central Chile was assessed using Life Cycle Assessment (LCA) with the EcoInvent database to address the region’s high water stress. The study analyzed the operational phase using 1 m3 of product water as the functional unit, considering power demand, chemicals, and membranes across eight scenarios that varied energy matrix composition, membrane lifespan, water use, and seawater source. Eighteen environmental indicators were evaluated using the ReCiPe 2016 Midpoint (H) method. Results revealed that eight impact indicators were primarily national in origin, while ten exhibited transboundary characteristics. Power demand was the dominant contributor, exceeding 75% of impacts in 17 of 18 categories. A 25% power increase raised environmental impacts by an average of +21.5%, while the projected 2050 renewable energy scenario showed substantial reductions averaging −43.0%. This demonstrates that power consumption is the principal driver of environmental impacts, underscoring the importance of energy-efficiency measures and integration of Non-Conventional Renewable Energies (NCRE), particularly as fossil-based sources constitute the main contributors to environmental burdens at both national and transboundary scales. Full article
Show Figures

Graphical abstract

15 pages, 3487 KB  
Article
A Preliminary Study of Hyperspectral Imaging Combined with Dual-Threshold Segmentation Technique for Peeling Rate Determination in Potatoes
by Gaofeng Cao, Hongnan Hu, Qingyu Zhan, Tianwei Zhang, Yingbo Wang, Shiang Zhang and Lixue Zhu
Sensors 2025, 25(24), 7571; https://doi.org/10.3390/s25247571 - 13 Dec 2025
Viewed by 206
Abstract
Peeling is essential in potato processing, yet conventional assessment methods face issues like inefficiency and environmental concerns. This study proposed a hyperspectral imaging approach combined with dual-threshold segmentation to quantify potato peeling rates. This method was in the preliminary research stage. The objectives [...] Read more.
Peeling is essential in potato processing, yet conventional assessment methods face issues like inefficiency and environmental concerns. This study proposed a hyperspectral imaging approach combined with dual-threshold segmentation to quantify potato peeling rates. This method was in the preliminary research stage. The objectives of this work were to experimentally validate the feasibility and accuracy of this method. A hyperspectral system captured images of potatoes after water-jet peeling. By analyzing spectral data from peel and flesh regions and applying principal component analysis, the key wavelength of 592 ± 20 nm was identified, where the reflectance difference between flesh and peel was most pronounced. Grayscale images derived from this band were processed via median filtering and dual-threshold segmentation to differentiate flesh from peel. The peeling rate was calculated as the pixel ratio of flesh to total potato area. In validation tests, the calculated peeling rates showed an average absolute error of 0.69% compared to manual measurement, confirming the potential and feasibility of this technique. The proposed method offers a promising, non-destructive, and eco-friendly alternative for monitoring peeling quality in agricultural processing, though further research is warranted. Full article
(This article belongs to the Section Smart Agriculture)
Show Figures

Figure 1

14 pages, 1354 KB  
Article
Efficacy and Safety of a Plasma Vaginal Cleanser (WOMEN CARE®) Using Plasma-Activated Water in Suspected Vaginitis: A Multicenter Randomized Clinical Trial
by Hye-Jin Cho, Min-Kyeong Kim, Yun-Seo Choe, Seo-Yeon Son, Chi-Gu Kang, So-Jung Lim, Sooyong Kim, Hoonseong Choi, Un Suk Jung and Ju-Seop Kang
Biomedicines 2025, 13(12), 3076; https://doi.org/10.3390/biomedicines13123076 - 12 Dec 2025
Viewed by 318
Abstract
Background/Objectives: Vaginitis is a prevalent inflammatory disorder of the vaginal mucosa, frequently arising from its anatomical proximity to the anorectal region and a microenvironment conducive to pathogen colonization and dysbiosis. This prospective, multicenter, randomized, third-party-blinded study assessed the efficacy and safety of [...] Read more.
Background/Objectives: Vaginitis is a prevalent inflammatory disorder of the vaginal mucosa, frequently arising from its anatomical proximity to the anorectal region and a microenvironment conducive to pathogen colonization and dysbiosis. This prospective, multicenter, randomized, third-party-blinded study assessed the efficacy and safety of a plasma vaginal cleanser (WOMEN CARE®) employing plasma-activated water (PAW) as a non-pharmacological alternative to conventional antimicrobials for restoring vaginal homeostasis. Methods: Women aged ≥19 years with clinically suspected vaginitis were assigned to either the experimental group (WOMEN CARE®) or the control group (standard pharmacotherapy). The primary endpoint was the proportion of participants exhibiting decreased Nugent scores between baseline and Visit 4. Results: Of 144 participants in the experimental group, 125 completed the study. The experimental group showed comparable outcomes to standard pharmacotherapy group across Nugent scores, vaginal pH, and symptoms severity, with pathogen suppression confirmed as non-inferior. Additionally, PAW exerted anti-HPV activity through a potential effect against new genotypic HPV infection. While the control group experienced antibiotic-associated adverse effects (e.g., headache, abdominal discomfort, nausea), no treatment-related adverse events occurred in the WOMEN CARE® group. Conclusions: These results indicate that PAW vaginal cleansing provides an effective, safe, non-antibiotic approach for managing vaginitis and maintaining vaginal ecological balance. Full article
(This article belongs to the Section Molecular and Translational Medicine)
Show Figures

Figure 1

Back to TopTop