Sign in to use this feature.

Years

Between: -

Subjects

remove_circle_outline
remove_circle_outline
remove_circle_outline
remove_circle_outline
remove_circle_outline
remove_circle_outline

Journals

Article Types

Countries / Regions

Search Results (27)

Search Parameters:
Keywords = nitropyridines

Order results
Result details
Results per page
Select all
Export citation of selected articles as:
26 pages, 3775 KB  
Article
Structural and Optical Properties of New 2-Phenylamino-5-nitro-4-methylopyridine and 2-Phenylamino-5-nitro-6-methylpyridine Isomers
by Patrycja Godlewska, Jerzy Hanuza, Jan Janczak, Radosław Lisiecki, Paulina Ropuszyńska-Robak, Lucyna Dymińska and Wojciech Sąsiadek
Int. J. Mol. Sci. 2025, 26(23), 11522; https://doi.org/10.3390/ijms262311522 - 27 Nov 2025
Viewed by 406
Abstract
Two new 2-N-phenylamino-5-nitropyridine—4-methyl (2PA5N4MP) and 2-N-phenylamino-5-nitropyridine-6-methyl (2PA5N6MP) isomers were synthesized and comprehensively characterized by single-crystal X-ray diffraction, IR/Raman spectroscopy, UV–Vis absorption, and photoluminescence measurements. DFT and TD-DFT calculations were also carried out to support the experimental results. The X-ray [...] Read more.
Two new 2-N-phenylamino-5-nitropyridine—4-methyl (2PA5N4MP) and 2-N-phenylamino-5-nitropyridine-6-methyl (2PA5N6MP) isomers were synthesized and comprehensively characterized by single-crystal X-ray diffraction, IR/Raman spectroscopy, UV–Vis absorption, and photoluminescence measurements. DFT and TD-DFT calculations were also carried out to support the experimental results. The X-ray analysis revealed significant structural differences: 2PA5N6MP adopted an almost planar conformation (pyridine–phenyl dihedral ~3°), whereas 2PA5N4MP was markedly twisted (~45°), leading to distinct hydrogen-bonding motifs (N–H⋯N dimers vs. N–H⋯O interactions). These geometric disparities influenced their electronic properties: 2PA5N6MP exhibited a narrower HOMO–LUMO gap (≈2.45 eV) than 2PA5N4MP (≈3.77 eV), which was consistent with a pronounced bathochromic shift in absorption. Both isomers showed broad UV–Vis absorption (200–520 nm), but the 6-methyl derivative featured an additional low-energy charge–transfer band around 460 nm (with a maximum at ~500 nm) compared to ~355 nm in the 4-methyl isomer. Likewise, their photoluminescence spectra differed as follows: 2PA5N4MP emitted in the violet–blue region (bands at ~415 and 450 nm), whereas 2PA5N6MP had an extra orange band peaking at ~560 nm (in addition to a ~450 nm band). The red-shifted 560 nm emission of 2PA5N6MP was attributed to intersystem crossing into triplet states, in line with TD-DFT predictions. Furthermore, both isomers readily formed complexes with Eu3+ ions, and the Eu3+ chelates exhibited the characteristic red f–f emissions (5D07F transitions ~590–700 nm), demonstrating efficient sensitization of Eu3+ luminescence. Overall, the position of the methyl substituent strongly modulates the compounds’ optical behavior, and these isomers show promise as tunable organic dyes and effective ligands for luminescent lanthanide complexes. Full article
(This article belongs to the Section Biochemistry)
Show Figures

Graphical abstract

26 pages, 6886 KB  
Review
Nitropyridines in the Synthesis of Bioactive Molecules
by Alexey Starosotnikov and Maxim Bastrakov
Pharmaceuticals 2025, 18(5), 692; https://doi.org/10.3390/ph18050692 - 7 May 2025
Cited by 1 | Viewed by 4476
Abstract
Pyridines are one of the most important and promising classes of N-heterocycles actively studied in modern organic and medicinal chemistry; in particular, pyridine is a privileged structural motif in drug design. From a synthetic organic chemistry perspective, nitropyridines can be considered as convenient [...] Read more.
Pyridines are one of the most important and promising classes of N-heterocycles actively studied in modern organic and medicinal chemistry; in particular, pyridine is a privileged structural motif in drug design. From a synthetic organic chemistry perspective, nitropyridines can be considered as convenient and readily available precursors for a wide range of mono- and polynuclear heterocyclic systems demonstrating diverse activities, such as antitumor, antiviral, anti-neurodegenerative, etc. This review is an analysis of the literature on the use of nitropyridines for the synthesis of biologically active compounds, covering the period from 2015 to the present. Full article
(This article belongs to the Special Issue Heterocyclic Compounds in Medicinal Chemistry, 2nd Edition)
Show Figures

Scheme 1

25 pages, 8617 KB  
Article
Structure and Optical Properties of New 2-N-Phenylamino-methyl-nitro-pyridine Isomers
by Patrycja Godlewska, Jerzy Hanuza, Jan Janczak, Radosław Lisiecki, Małgorzata Basiak, Adam Zając and Lucyna Dymińska
Int. J. Mol. Sci. 2025, 26(7), 2874; https://doi.org/10.3390/ijms26072874 - 21 Mar 2025
Viewed by 2021
Abstract
Two new 2-N-phenylamino-(4 or 6)-methyl-3-nitropyridine derivatives were synthesized. Their structures were characterized on the basis of X-ray diffraction, IR, and Raman spectra as well as electron UV-Vis and emission spectra measurements. The experimental results were analyzed in terms of theoretical data [...] Read more.
Two new 2-N-phenylamino-(4 or 6)-methyl-3-nitropyridine derivatives were synthesized. Their structures were characterized on the basis of X-ray diffraction, IR, and Raman spectra as well as electron UV-Vis and emission spectra measurements. The experimental results were analyzed in terms of theoretical data in which the quantum chemical DFT and NBO calculations were applied. To elucidate the relaxation pathways of electronically excited states, multiple excitation wavelengths were employed to probe energy dissipation mechanisms in the studied compounds. A systematic analysis was conducted to evaluate how variations in methyl substituent positioning modulate both the structural architecture and photophysical behavior of the isomeric systems. The spectroscopic, structural and theoretical considerations allow us to propose the potential technological applications derived from the unique properties of these isomers. Full article
(This article belongs to the Section Physical Chemistry and Chemical Physics)
Show Figures

Graphical abstract

18 pages, 2317 KB  
Article
Improving the Anti-Tumor Effect of Indoleamine 2,3-Dioxygenase Inhibitor CY1-4 by CY1-4 Nano-Skeleton Drug Delivery System
by Hui Li, Junwei Liu, Jingru Wang, Zhuoyue Li, Jianming Yu, Xu Huang, Bingchuan Wan, Xiangbao Meng and Xuan Zhang
J. Funct. Biomater. 2024, 15(12), 372; https://doi.org/10.3390/jfb15120372 - 9 Dec 2024
Cited by 1 | Viewed by 1481
Abstract
Background: CY1-4, 9-nitropyridine [2′,3′:4,5] pyrimido [1,2-α] indole -5,11- dione, is an indoleamine 2,3-dioxygenase (IDO) inhibitor and a poorly water-soluble substance. It is very important to increase the solubility of CY1-4 to improve its bioavailability and therapeutic effect. In this study, the mesoporous silica [...] Read more.
Background: CY1-4, 9-nitropyridine [2′,3′:4,5] pyrimido [1,2-α] indole -5,11- dione, is an indoleamine 2,3-dioxygenase (IDO) inhibitor and a poorly water-soluble substance. It is very important to increase the solubility of CY1-4 to improve its bioavailability and therapeutic effect. In this study, the mesoporous silica nano-skeleton carrier material Sylysia was selected as the carrier to load CY1-4, and then the CY1-4 nano-skeleton drug delivery system (MSNM@CY1-4) was prepared by coating the hydrophilic polymer material Hydroxypropyl methylcellulose (HPMC) and the lipid material Distearoylphosphatidyl-ethanolamine-poly(ethylene glycol)2000 (DSPE-PEG2000) to improve the anti-tumor effect of CY1-4. Methods: The solubility and dissolution of MSNM@CY1-4 were investigated, and its bioavailability, anti-tumor efficacy, IDO inhibitory ability and immune mechanism were evaluated in vivo. Results: CY1-4 was loaded in MSNM@CY1-4 in an amorphous form, and MSNM@CY1-4 could significantly improve the solubility (up to about 200 times) and dissolution rate of CY1-4. In vivo studies showed that the oral bioavailability of CY1-4 in 20 mg/kg MSNM@CY1-4 was about 23.9-fold more than that in 50 mg/kg CY1-4 suspension. In B16F10 tumor-bearing mice, MSNM@CY1-4 significantly inhibited tumor growth, prolonged survival time, significantly inhibited IDO activity in blood and tumor tissues, and reduced Tregs in tumor tissues and tumor-draining lymph nodes to improve anti-tumor efficacy. Conclusions: The nano-skeleton drug delivery system (MSNM@CY1-4) constructed in this study is a potential drug delivery platform for improving the anti-tumor effect of oral poorly water-soluble CY1-4. Full article
(This article belongs to the Section Biomaterials for Drug Delivery)
Show Figures

Figure 1

14 pages, 2549 KB  
Article
8-(Pyridin-2-yl)quinolin-7-ol and Beyond: Theoretical Design of Tautomeric Molecular Switches with Pyridine as a Proton Crane Unit
by Lidia Zaharieva, Daniela Nedeltcheva-Antonova and Liudmil Antonov
Chemistry 2024, 6(6), 1608-1621; https://doi.org/10.3390/chemistry6060097 - 6 Dec 2024
Cited by 4 | Viewed by 1895
Abstract
Long-range proton transfer in several conjugated proton cranes, originating from 7-hydroxy quinoline as a proton transfer platform, has been investigated theoretically by means of DFT and TD-DFT methodology. Major emphasis was given to their applicability to provide clean switching upon irradiation. The border [...] Read more.
Long-range proton transfer in several conjugated proton cranes, originating from 7-hydroxy quinoline as a proton transfer platform, has been investigated theoretically by means of DFT and TD-DFT methodology. Major emphasis was given to their applicability to provide clean switching upon irradiation. The border conditions require the existence of a single enol tautomer in the ground state, which under excitation through a series of consecutive exited and ground state intramolecular proton transfer steps is transferred to the keto tautomer. It was shown that the most suitable candidates are based on using iso-quinoline, pyrimidine and 4-nitropyridine as proton crane units. Their suitability is a function of aromaticity changes, the basicity of the nitrogen atom from the proton crane unit and the structural effects originating from their conjugation with 7-hydroxy quinoline. Full article
(This article belongs to the Section Physical Chemistry and Chemical Physics)
Show Figures

Figure 1

12 pages, 843 KB  
Article
Advances of the Holographic Technique to Test the Basic Properties of the Thin-Film Organics: Refractivity Change and Novel Mechanism of the Nonlinear Attenuation Prediction
by Natalia Kamanina
Polymers 2024, 16(18), 2645; https://doi.org/10.3390/polym16182645 - 19 Sep 2024
Viewed by 1178
Abstract
A large number of the thin-film organic structures (polyimides, 2-cyclooctylarnino-5-nitropyridine, N-(4-nitrophenyl)-(L)-prolinol, 2-(n-Prolinol)-5-nitropyridine) sensitized with the different types of the nano-objects (fullerenes, carbon nanotubes, quantum dots, shungites, reduced graphene oxides) are presented, which are studied using the holographic technique under the Raman–Nath diffraction conditions. [...] Read more.
A large number of the thin-film organic structures (polyimides, 2-cyclooctylarnino-5-nitropyridine, N-(4-nitrophenyl)-(L)-prolinol, 2-(n-Prolinol)-5-nitropyridine) sensitized with the different types of the nano-objects (fullerenes, carbon nanotubes, quantum dots, shungites, reduced graphene oxides) are presented, which are studied using the holographic technique under the Raman–Nath diffraction conditions. Pulsed laser irradiation testing of these materials predicts a dramatic increase of the laser-induced refractive index, which is in several orders of the magnitude greater compared to pure materials. The estimated nonlinear refraction coefficients and the cubic nonlinearities for the materials studied are close to or larger than those known for volumetric inorganic crystals. The role of the intermolecular charge transfer complex formation is considered as the essential in the refractivity increase in nano-objects-doped organics. As a new idea, the shift of charge from the intramolecular donor fragment to the intermolecular acceptors can be proposed as the development of Janus particles. The energy losses via diffraction are considered as an additional mechanism to explain the nonlinear attenuation of the laser beam. Full article
(This article belongs to the Special Issue Advanced Polymer Nanocomposites III)
Show Figures

Figure 1

15 pages, 4159 KB  
Article
Complexes of Zinc-Coordinated Heteroaromatic N-Oxides with Pyrene: Lewis Acid Effects on the Multicenter Donor–Acceptor Bonding
by Yakov P. Nizhnik, Erin Hansen, Cayden Howard, Matthias Zeller and Sergiy V. Rosokha
Molecules 2024, 29(14), 3305; https://doi.org/10.3390/molecules29143305 - 13 Jul 2024
Viewed by 3171
Abstract
4-Nitroquinoline-N-oxide (NQO) and 4-nitropyridine-N-oxide (NPO) are important precursors for the synthesis of substituted heterocycles while NQO is a popular model mutagen and carcinogen broadly used in cancer research; intermolecular interactions are critical for their reactions or functioning in vivo. Herein, the effects of [...] Read more.
4-Nitroquinoline-N-oxide (NQO) and 4-nitropyridine-N-oxide (NPO) are important precursors for the synthesis of substituted heterocycles while NQO is a popular model mutagen and carcinogen broadly used in cancer research; intermolecular interactions are critical for their reactions or functioning in vivo. Herein, the effects of the coordination of N-oxide’s oxygen atom to Lewis acids on multicenter donor–acceptor bonding were explored via a combination of experimental and computational studies of the complexes of NQO and NPO with a typical π-electron donor, pyrene. Coordination with ZnCl2 increased the positive electrostatic potentials on the surfaces of these π-acceptors and lowered the energy of their LUMO. Analogous effects were observed upon the protonation of the N-oxides’ oxygen or bonding with boron trifluoride. The interaction of ZnCl2, NPO, or NQO and pyrene resulted in the formation of dark co-crystals comprising π-stacked Zn-coordinated N-oxides and pyrene similar to that found with protonated or (reported earlier) BF3-bonded N-oxides. Computational studies indicated that the coordination of N-oxides to zinc(II), BF3, or protonation led to the strengthening of the multicenter bonding of the nitro-heterocycle with pyrene, and this effect was related both to the increased electrostatic attraction and molecular–orbital interactions in their complexes. Full article
Show Figures

Figure 1

16 pages, 2594 KB  
Article
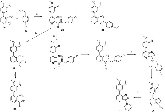
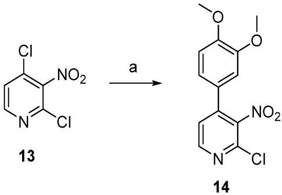
Synthesis of a 3,7-Disubstituted Isothiazolo[4,3-b]pyridine as a Potential Inhibitor of Cyclin G-Associated Kinase
by Tom Grisez, Nitha Panikkassery Ravi, Mathy Froeyen, Dominique Schols, Luc Van Meervelt, Steven De Jonghe and Wim Dehaen
Molecules 2024, 29(5), 954; https://doi.org/10.3390/molecules29050954 - 22 Feb 2024
Cited by 3 | Viewed by 2146
Abstract
Disubstituted isothiazolo[4,3-b]pyridines are known inhibitors of cyclin G-associated kinase. Since 3-substituted-7-aryl-isothiazolo[4,3-b]pyridines remain elusive, a strategy was established to prepare this chemotype, starting from 2,4-dichloro-3-nitropyridine. Selective C-4 arylation using ligand-free Suzuki-Miyaura coupling and palladium-catalyzed aminocarbonylation functioned as key steps in [...] Read more.
Disubstituted isothiazolo[4,3-b]pyridines are known inhibitors of cyclin G-associated kinase. Since 3-substituted-7-aryl-isothiazolo[4,3-b]pyridines remain elusive, a strategy was established to prepare this chemotype, starting from 2,4-dichloro-3-nitropyridine. Selective C-4 arylation using ligand-free Suzuki-Miyaura coupling and palladium-catalyzed aminocarbonylation functioned as key steps in the synthesis. The 3-N-morpholinyl-7-(3,4-dimethoxyphenyl)-isothiazolo[4,3-b]pyridine was completely devoid of GAK affinity, in contrast to its 3,5- and 3,6-disubstituted congeners. Molecular modeling was applied to rationalize its inactivity as a GAK ligand. Full article
(This article belongs to the Section Organic Chemistry)
Show Figures

Graphical abstract

5 pages, 1135 KB  
Short Note
2-(2,5-Dimethoxyphenyl)pyrrole-3-carbonitrile
by Yannic Grimm, Dieter Schollmeyer and Heiner Detert
Molbank 2023, 2023(2), M1627; https://doi.org/10.3390/M1627 - 20 Apr 2023
Viewed by 2330
Abstract
The Cadogan reaction of 2-aryl-3-nitropyridines leads to δ-carbolines. The title compound is a side product in this reaction, generated via a ring opening of a nitrene and cyclization. A crystal structure analysis gives an enormous unit cell. Full article
(This article belongs to the Collection Heterocycle Reactions)
Show Figures

Figure 1

12 pages, 1235 KB  
Article
Multicomponent Synthesis of Unsymmetrical Derivatives of 4-Methyl-Substituted 5-Nitropyridines
by Daria M. Turgunalieva, Alena L. Stalinskaya, Ilya I. Kulakov, Galina P. Sagitullina, Victor V. Atuchin, Andrey V. Elyshev and Ivan V. Kulakov
Processes 2023, 11(2), 576; https://doi.org/10.3390/pr11020576 - 14 Feb 2023
Cited by 9 | Viewed by 3306
Abstract
The multicomponent reaction of 2-nitroacetophenone (or nitroacetone), acetaldehyde diethyl acetal, β-dicarbonyl compound, and ammonium acetate in an acetic acid solution allowed the acquisition of previously undescribed 4-methyl-substituted derivatives of 5-nitro-1,4-dihydropyridine in satisfactory yields. The oxidation of the obtained 5-nitro-1,4-dihydropyridine derivatives resulted in the [...] Read more.
The multicomponent reaction of 2-nitroacetophenone (or nitroacetone), acetaldehyde diethyl acetal, β-dicarbonyl compound, and ammonium acetate in an acetic acid solution allowed the acquisition of previously undescribed 4-methyl-substituted derivatives of 5-nitro-1,4-dihydropyridine in satisfactory yields. The oxidation of the obtained 5-nitro-1,4-dihydropyridine derivatives resulted in the corresponding 2,4-dimethyl-5-nitropyridines. In addition, for the first time in the synthesis of unsymmetrical 1,4-dihydropyridines by the Hantzsch reaction acetaldehyde, diethyl acetal was used as a source of acetaldehyde. The use of more volatile and sufficiently reactive acetaldehyde in this reaction did not lead to a controlled synthesis of unsymmetrical 5-nitro-1,4-dihydropyridines. The proposed multicomponent approach to the synthesis of 4-methyl-substituted 5-nitro-1,4-dihydropyridines and their subsequent aromatization into pyridines made it possible to obtain previously undescribed and hardly accessible substituted 5(3)-nitropyridines. Full article
(This article belongs to the Section Chemical Processes and Systems)
Show Figures

Graphical abstract

16 pages, 3204 KB  
Article
Straightforward and Efficient Protocol for the Synthesis of Pyrazolo [4,3-b]pyridines and Indazoles
by Vladislav V. Nikol’skiy, Mikhail E. Minyaev, Maxim A. Bastrakov and Alexey M. Starosotnikov
Int. J. Mol. Sci. 2023, 24(2), 1758; https://doi.org/10.3390/ijms24021758 - 16 Jan 2023
Cited by 4 | Viewed by 3129
Abstract
An efficient method for the synthesis of pyrazolo [4,3-b]pyridines has been developed on the basis of readily available 2-chloro-3-nitropyridines via a sequence of SNAr and modified Japp–Klingemann reactions. The method offers a number of advantages including utilization of stable arenediazonium tosylates, [...] Read more.
An efficient method for the synthesis of pyrazolo [4,3-b]pyridines has been developed on the basis of readily available 2-chloro-3-nitropyridines via a sequence of SNAr and modified Japp–Klingemann reactions. The method offers a number of advantages including utilization of stable arenediazonium tosylates, operational simplicity as well as combining the azo-coupling, deacylation and pyrazole ring annulation steps in a one-pot manner. An unusual rearrangement (C-N-migration of the acetyl group) was observed and a plausible mechanism was proposed based on the isolated intermediates and NMR experiments. In addition, the developed protocol was successfully applied to the synthesis of 1-arylindazoles combining the Japp–Klingemann reaction and cyclization of the resulting hydrazone as a one-pot procedure. Full article
Show Figures

Figure 1

13 pages, 3446 KB  
Article
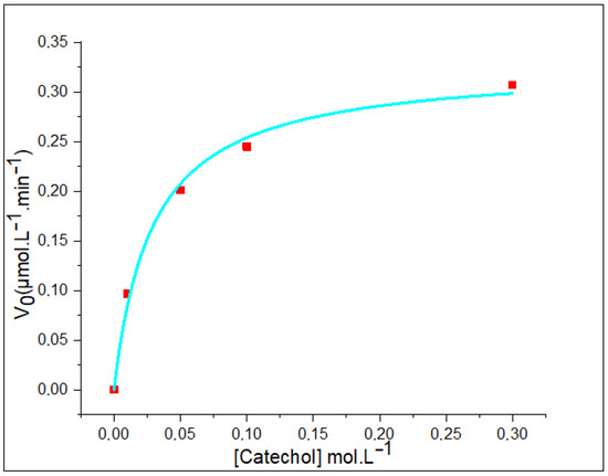
Aerial Oxidation of Phenol/Catechol in the Presence of Catalytic Amounts of [(Cl)2Mn(RCOOET)], RCOOET= Ethyl-5-Methyl-1-(((6-Methyl-3-Nitropyridin-2-yl)Amino)Methyl)-1H-Pyrazole-3-Carboxylate
by Mohamed El Boutaybi, Abderrahim Titi, Abdullah Y. A. Alzahrani, Zahra Bahari, Monique Tillard, Belkheir Hammouti and Rachid Touzani
Catalysts 2022, 12(12), 1642; https://doi.org/10.3390/catal12121642 - 14 Dec 2022
Cited by 9 | Viewed by 3025
Abstract
In this work, we report on the catalytic activity of a manganese complex [(Cl)2Mn(RCOOET)], where RCOOET is ethyl-5-methyl-1-(((6-methyl-3-nitropyridin-2-yl)amino)methyl)-1H-pyrazole-3-carboxylate, in the oxidation of phenol or catechol by atmospheric oxygen to form o-quinone. The [(Cl)2Mn(RCOOET)] catalyzes the oxidation of catechol at [...] Read more.
In this work, we report on the catalytic activity of a manganese complex [(Cl)2Mn(RCOOET)], where RCOOET is ethyl-5-methyl-1-(((6-methyl-3-nitropyridin-2-yl)amino)methyl)-1H-pyrazole-3-carboxylate, in the oxidation of phenol or catechol by atmospheric oxygen to form o-quinone. The [(Cl)2Mn(RCOOET)] catalyzes the oxidation of catechol at a rate of 3.74 µmol L−1 min−1 in tetrahydrofuran (THF), in a similar manner to catecholase or tyrosinase. Full article
Show Figures

Figure 1

6 pages, 1364 KB  
Short Note
Dichloro{4-(4-chlorophenoxy)phthalazin-1-yl} methylphosphonic dichloride
by Dyhia Amrane, Omar Khoumeri, Patrice Vanelle and Nicolas Primas
Molbank 2022, 2022(3), M1439; https://doi.org/10.3390/M1439 - 5 Sep 2022
Viewed by 2375
Abstract
As part of our ongoing scaffold-hopping work on an antiplasmodial 2-trichloromethylquinazoline scaffold, we aimed to explore the 1-trichloromethylphthalazine scaffold as a potential new antimalarial series. Using previously chlorination conditions described by our lab to obtain a trichloromethyl group from a methyl group, we [...] Read more.
As part of our ongoing scaffold-hopping work on an antiplasmodial 2-trichloromethylquinazoline scaffold, we aimed to explore the 1-trichloromethylphthalazine scaffold as a potential new antimalarial series. Using previously chlorination conditions described by our lab to obtain a trichloromethyl group from a methyl group, we did not obtain the target compound; instead, we obtained a dichloro methylphosphonic dichloride side product 3. The nature of this compound was then characterized by NMR, HRMS and X-ray crystallography. The same issue was previously reported by Kato et al., starting from the 2-methyl-3-nitropyridine. Finally, compound 3, although not cytotoxic, was not active against P. falciparum, the parasite responsible for human malaria. Full article
(This article belongs to the Collection Molecules from Side Reactions)
Show Figures

Figure 1

15 pages, 5556 KB  
Article
Nucleophilic Functionalization of 2-R-3-Nitropyridines as a Versatile Approach to Novel Fluorescent Molecules
by Vladislav V. Nikol’skiy, Mikhail E. Minyaev, Maxim A. Bastrakov and Alexey M. Starosotnikov
Molecules 2022, 27(17), 5692; https://doi.org/10.3390/molecules27175692 - 3 Sep 2022
Cited by 3 | Viewed by 2576
Abstract
A number of new 2-methyl- and 2-arylvinyl-3-nitropyridines were synthesized and their reactions with thiols were studied. It was found that 3-NO2 tends to be selectively substituted under the action of sulfur nucleophiles in the presence of another nucleofuge in position 5. Correlations [...] Read more.
A number of new 2-methyl- and 2-arylvinyl-3-nitropyridines were synthesized and their reactions with thiols were studied. It was found that 3-NO2 tends to be selectively substituted under the action of sulfur nucleophiles in the presence of another nucleofuge in position 5. Correlations between the substitution pattern and regioselectivity as well as photophysical properties were established. Some synthesized compounds possessed a large Stokes shift. Full article
Show Figures

Figure 1

23 pages, 8481 KB  
Article
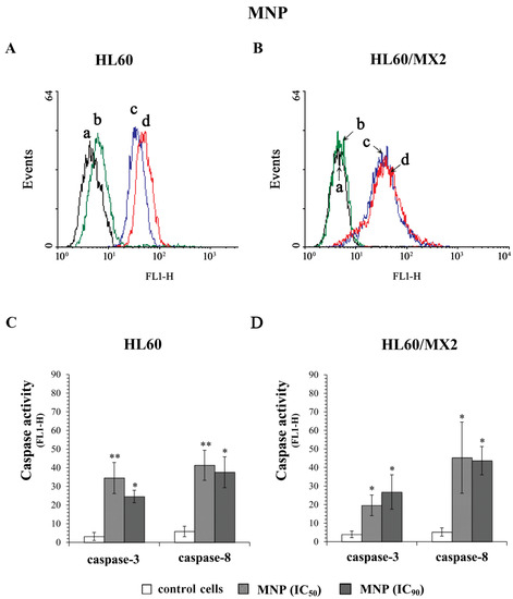
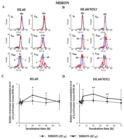
Antitumour Effects of Selected Pyridinium Salts on Sensitive Leukaemia HL60 Cells and Their Multidrug Resistant Topoisomerase II-Defective HL60/MX2 Counterparts
by Jolanta Tarasiuk, Dorota Kostrzewa-Nowak and Wojciech Żwierełło
Molecules 2022, 27(16), 5138; https://doi.org/10.3390/molecules27165138 - 12 Aug 2022
Cited by 3 | Viewed by 2253
Abstract
Multidrug resistance (MDR), having a multifactorial nature, is one of the major clinical problems causing the failure of anticancer therapy. The aim of this study was to examine the antitumour effects of selected pyridinium salts, 1-methyl-3-nitropyridine chloride (MNP) and 3,3,6,6,10-pentamethyl-3,4,6,7-tetrahydro-[1,8(2H,5H)-dion]acridine chloride (MDION), on [...] Read more.
Multidrug resistance (MDR), having a multifactorial nature, is one of the major clinical problems causing the failure of anticancer therapy. The aim of this study was to examine the antitumour effects of selected pyridinium salts, 1-methyl-3-nitropyridine chloride (MNP) and 3,3,6,6,10-pentamethyl-3,4,6,7-tetrahydro-[1,8(2H,5H)-dion]acridine chloride (MDION), on sensitive leukaemia HL60 cells and resistant topoisomerase II-defective HL60/MX2 cells. Cell growth was determined by the MTT test. Intracellular ROS level was measured with the aid of 2′,7′-DCF-DA. The cell cycle distribution was investigated by performing PI staining. DSB formation was examined using the γ-H2AX histone phosphorylation assay. The activity of caspase-3 and caspase-8 was measured with the use of the FLICA test. The assays for examining the lysosome membrane permeabilization were carried out with the aid of LysoTracker Green DND-26. Both studied compounds exerted very similar cytotoxic activities towards sensitive HL60 cells and their MDR counterparts. They modulated the cellular ROS level in a dose-dependent and time-dependent manner and significantly increased the percentage of sensitive HL60 and resistant HL60/MX2 cells with sub-diploid DNA (sub-G1 fraction). However, the induction of DSB formation was not a significant mechanism of action of these pyridinium salts in studied cells. Both examined compounds triggered caspase-3/caspase-8-dependent apoptosis of sensitive HL60 cells and their MDR counterparts. Additionally, the findings of the study indicate that lysosomes may also participate in the programmed death of HL60 as well as HL60/MX2 cells induced by MDION. The data obtained in this work showed that both examined pyridinium salts, MNP and MDION, are able to retain high antileukaemic effects against multidrug resistant topoisomerase II-defective HL60/MX2 cells. Full article
(This article belongs to the Section Chemical Biology)
Show Figures

Figure 1

Back to TopTop