Sign in to use this feature.

Years

Between: -

Subjects

remove_circle_outline
remove_circle_outline
remove_circle_outline
remove_circle_outline
remove_circle_outline
remove_circle_outline
remove_circle_outline
remove_circle_outline
remove_circle_outline

Journals

remove_circle_outline
remove_circle_outline
remove_circle_outline
remove_circle_outline
remove_circle_outline
remove_circle_outline
remove_circle_outline
remove_circle_outline
remove_circle_outline
remove_circle_outline
remove_circle_outline

Article Types

Countries / Regions

remove_circle_outline
remove_circle_outline
remove_circle_outline
remove_circle_outline
remove_circle_outline

Search Results (1,373)

Search Parameters:
Keywords = nano/microstructures

Order results
Result details
Results per page
Select all
Export citation of selected articles as:
11 pages, 4219 KB  
Communication
Oxygen Addition Influence on NiCrFe Mixed Layer
by Bianca-Georgiana Solomonea, Alexandru Anghel, Cristian P. Lungu, Cornel Staicu, Bogdan Butoi, Corneliu Porosnicu, Paul Dincă, Oana Pompilian, Arcadie Sobetkii, Anca Constantina Parau, Mihaela Dinu, Lidia Ruxandra Constantin, Alina Vladescu (Dragomir) and Catalin Vitelaru
Coatings 2026, 16(1), 96; https://doi.org/10.3390/coatings16010096 - 12 Jan 2026
Abstract
Carbon–metal composite NiCrFeC coatings, prepared with and without controlled oxygen addition, were investigated to evaluate the influence of oxygen on the structure, mechanical response, and tribological performance. X-ray diffraction revealed that oxygen-containing films (NiCrFeC + O2) exhibit a mixed metallic–oxide microstructure [...] Read more.
Carbon–metal composite NiCrFeC coatings, prepared with and without controlled oxygen addition, were investigated to evaluate the influence of oxygen on the structure, mechanical response, and tribological performance. X-ray diffraction revealed that oxygen-containing films (NiCrFeC + O2) exhibit a mixed metallic–oxide microstructure with CrNi, CrO, and NiO phases, whereas oxygen-free coatings show only CrNi crystalline peaks. The incorporation of oxygen led to a substantial increase in nano-hardness, from 0.84 GPa for NiCrFeC to 1.59 GPa for NiCrFeC + O2. Scratch testing up to 100 N indicated improved adhesion and higher critical loads for the oxygen-rich coatings. Tribological measurements performed under dry sliding conditions using a sapphire ball showed a significant reduction in friction: NiCrFeC + O2 stabilized at ~0.20, while NiCrFeC exhibited values between 0.25 and 0.35 at 0.5 N and 0.4–0.5 at 1 N, accompanied by non-uniform sliding due to coating failure. Wear-track analysis confirmed shallower penetration depths and narrower wear scars for NiCrFeC + O2, despite similar initial roughness (~35 nm). These findings demonstrate that oxygen incorporation enhances hardness, adhesion, and wear resistance while substantially lowering friction, making NiCrFeC + O2 coatings promising for low-friction dry-sliding applications. Full article
(This article belongs to the Special Issue Advanced Corrosion- and Wear-Resistant Coatings)
Show Figures

Figure 1

23 pages, 3143 KB  
Article
Influence of Deposition Temperature on the Mechanical and Tribological Properties of Cr/Ni Co-Doped Diamond-like Carbon Films
by Hassan Zhairabany, Hesam Khaksar, Edgars Vanags, Anatolijs Šarakovskis, Enrico Gnecco and Liutauras Marcinauskas
Crystals 2026, 16(1), 52; https://doi.org/10.3390/cryst16010052 - 12 Jan 2026
Abstract
This study aimed to examine the influence of sputtering temperature on the bonding structure and properties of non-hydrogenated chromium/nickel co-doped diamond-like carbon (DLC) films synthesized via direct current magnetron sputtering. The Cr/Ni doping levels in the coatings were regulated by varying the shield [...] Read more.
This study aimed to examine the influence of sputtering temperature on the bonding structure and properties of non-hydrogenated chromium/nickel co-doped diamond-like carbon (DLC) films synthesized via direct current magnetron sputtering. The Cr/Ni doping levels in the coatings were regulated by varying the shield opening above a chromium-nickel (20/80 at.%) target, resulting in a total metal co-doping concentration ranging from 6.1 to 8.9 at.%. The thickness of the Cr/Ni-DLC films ranged from 160 to 180 nm. Meanwhile, the deposition temperatures of 185 °C and 235 °C were achieved by adjusting the substrate-to-target distance. The XPS and Raman spectroscopy results indicated enhanced graphitization of the Cr/Ni-DLC films with a decrease in the synthesis temperature. XPS results indicated the formation of carbon-oxide and metal-oxide bonds, with no evidence of metal carbide formation in the doped DLC films. Furthermore, both the nanohardness and Young’s modulus demonstrated significant improvement, while the friction coefficient was reduced more than twice as the deposition temperature increased. These findings provide valuable insights into the influence of deposition temperature on Cr/Ni co-doped DLC films, highlighting their potential as advanced functional coatings. Full article
(This article belongs to the Special Issue Functional Thin Films: Growth, Characterization, and Applications)
Show Figures

Figure 1

22 pages, 2421 KB  
Article
Study on the Mechanism of Nano-SiO2 Affecting the Strength of Cement Paste Backfill
by Dexian Li, Haiyong Cheng, Deng Liu, Shunchuan Wu, Hong Li and Xin Zhang
Buildings 2026, 16(2), 285; https://doi.org/10.3390/buildings16020285 - 9 Jan 2026
Viewed by 72
Abstract
The strength of cement paste backfill (CPB) is crucial for ensuring the safe and efficient operation of the horizontal layered approach backfill mining method. To effectively improve CPB strength, a series of experiments were carried out to systematically examine the effects of nano-SiO [...] Read more.
The strength of cement paste backfill (CPB) is crucial for ensuring the safe and efficient operation of the horizontal layered approach backfill mining method. To effectively improve CPB strength, a series of experiments were carried out to systematically examine the effects of nano-SiO2 (NS) on the mechanical properties, hydration process, setting time, and microstructure of CPB. The results show that at a content of 1.5%, NS fully utilizes its pozzolanic, filling, and nucleation effects, accelerating cement hydration, filling internal pores, and thereby increasing matrix density and CPB strength. Conversely, at 2.5%, severe agglomeration of NS into large-sized aggregates weakens these three effects of NS, increases specimen porosity, reduces matrix density, and consequently impairs the mechanical properties of CPB. This study clarifies the mechanism by which an appropriate amount of NS improves CPB mechanical properties, as well as the intrinsic reasons for the performance degradation caused by NS overdosage. The findings provide a theoretical basis and experimental support for the rational application of NS in mine backfill. Full article
16 pages, 5764 KB  
Article
Effect of Bonding Pressure and Joint Thickness on the Microstructure and Mechanical Reliability of Sintered Nano-Silver Joints
by Phuoc-Thanh Tran, Quang-Bang Tao, Lahouari Benabou and Ngoc-Anh Nguyen-Thi
J. Manuf. Mater. Process. 2026, 10(1), 22; https://doi.org/10.3390/jmmp10010022 - 8 Jan 2026
Viewed by 98
Abstract
Sintered nano-silver is widely investigated as a die-attach material for next-generation power electronic modules due to its high thermal conductivity, favorable electrical performance, and stability at elevated temperatures. However, how bonding pressure and joint thickness jointly affect densification, interfacial diffusion, and mechanical reliability [...] Read more.
Sintered nano-silver is widely investigated as a die-attach material for next-generation power electronic modules due to its high thermal conductivity, favorable electrical performance, and stability at elevated temperatures. However, how bonding pressure and joint thickness jointly affect densification, interfacial diffusion, and mechanical reliability has not been systematically clarified, especially under the low-pressure conditions required for large-area SiC and GaN devices. In this work, nano-silver lap-shear joints with three bond-line thicknesses (50, 70, and 100 μm) were fabricated under two applied pressures (1.0 and 1.5 MPa) using a controlled sintering fixture. Shear testing and cross-sectional SEM were employed to evaluate the relationships between microstructural evolution and joint integrity. When the bonding pressure was increased from 1.0 to 1.5 MPa, more effective particle rearrangement and reduced pore connectivity were observed, together with improved metallurgical bonding at the Ag–Au interface, leading to a strength increase from 15.3 to 28.2 MPa. Although thicker joints exhibited slightly higher bulk relative density due to greater heat retention and accelerated local sintering, this densification advantage did not lead to improved mechanical performance. Instead, the lower strength of thicker joints is attributed to a narrower Ag–Au interdiffusion region, which limited the formation of continuous load-bearing paths at the interface. Fractographic analyses confirmed that failure occurred predominantly by interfacial delamination rather than cohesive fracture, indicating that the reliability of the joints under low-pressure sintering is governed by the quality of interfacial bonding rather than by overall densification. The experimental results show that, under low-pressure sintering conditions (1.0–1.5 MPa), variations in bonding pressure and bond-line thickness lead to distinct effects on joint performance, with the extent of Ag–Au interfacial interaction playing a key role in determining the mechanical robustness of the joints. Full article
(This article belongs to the Special Issue Innovative Approaches in Metal Forming and Joining Technologies)
Show Figures

Figure 1

10 pages, 3868 KB  
Article
The Influence of Sintering Temperature on the Transport Properties of GdBa2Cu3O7 Superconductor Prepared from Nano-Powders via the Co-Precipitation Method
by Ahmed Al-Mobydeen, Mohammed M. Alawamleh, Sondos Shamha, Ehab AlShamaileh, Iessa Sabbe Moosa, Jamal Rahhal, Mike Haddad, Wala`a Al-Tarawneh, Yousef Al-Dalahmeh and Imad Hamadneh
Inorganics 2026, 14(1), 25; https://doi.org/10.3390/inorganics14010025 - 7 Jan 2026
Viewed by 131
Abstract
This study examines the influence of sintering temperature on the structural and transport properties of GdBa2Cu3O7 (Gd123) superconductors prepared from nano-sized precursors via the co-precipitation method. The metal-oxalate precursor (average particle size < 50 nm) was calcined at [...] Read more.
This study examines the influence of sintering temperature on the structural and transport properties of GdBa2Cu3O7 (Gd123) superconductors prepared from nano-sized precursors via the co-precipitation method. The metal-oxalate precursor (average particle size < 50 nm) was calcined at 900 °C for 12 h, and then the prepared pellets were sintered under an oxygen atmosphere in the range of 920–950 °C for 15 h. All samples showed metallic properties and a sharp superconducting transition. Critical temperatures TC(R=0) were 94–95 K, with higher sintering temperatures steadily boosting critical current density. X-ray diffraction confirmed orthorhombic Gd123 as the dominant phase, with its phase fraction increasing from 92% to 99.8% as the sintering temperature increased. SEM micrographs showed large, densely packed grains, with higher sintering temperatures promoting improved grain connectivity and reduced porosity. The sample sintered at 950 °C exhibited the most favorable transport performance, attributed to enhanced intergranular coupling and the presence of nanoscale secondary phases acting as effective flux-pinning centers. Overall, these results demonstrate that careful control of sintering temperature can significantly optimize the microstructure and superconducting properties of Gd123 materials, supporting their advancement for practical electrical and magnetic applications. Full article
(This article belongs to the Section Inorganic Solid-State Chemistry)
Show Figures

Figure 1

25 pages, 13641 KB  
Article
Microstructure Evolution and Plastic Deformation Mechanism of Cold Rolling Deformation of Micro/Nano Pure Electrolytic Nickel
by Han Zhang, Jisen Qiao, Hao Yang, Yangtao Xu and Tiandong Xia
Materials 2026, 19(2), 235; https://doi.org/10.3390/ma19020235 - 7 Jan 2026
Viewed by 109
Abstract
This paper investigates the cold rolling (CR) deformation behavior of electrolytic nickel at room temperature. While the microstructural evolution across deformation levels ranging from 5% to 98% is systematically characterized. The deposited electrolytic nickel exhibits numerous growth twins of various lengths and thicknesses, [...] Read more.
This paper investigates the cold rolling (CR) deformation behavior of electrolytic nickel at room temperature. While the microstructural evolution across deformation levels ranging from 5% to 98% is systematically characterized. The deposited electrolytic nickel exhibits numerous growth twins of various lengths and thicknesses, accounting for over 70% of the microstructure. The average grain size is 0.56 μm, and the grain size distribution is relatively broad. The plastic deformation of electrolytic nickel in the early stage is governed by the interaction between high-density dislocations and abundant twins. The primary mechanism accommodating deformation is detwinning. At 70% deformation, under high strain, complete detwinning occurs. When the CR reaches 90%, the average short-axis grain size is refined to 113 nm, indicating the deformation-induced refinement limit of electrolytic nickel. The microstructure at this stage exhibits a typical lamellar morphology. At 98% deformation, the average microhardness peaks at 240.3 HV, representing a cumulative increase of 46.88%. Dynamic recovery and recrystallization are observed at both 70% and 98% deformation levels, accompanied by the formation of Σ3 {120} type incoherent twins within recrystallized grains. Under large strain, the dominant cold plastic deformation mechanism transitions to a synergistic effect of dislocation slip and stratification. Full article
(This article belongs to the Section Manufacturing Processes and Systems)
Show Figures

Figure 1

27 pages, 8982 KB  
Article
Tribological Performance of Micro and Nano-Titanium Carbide-Reinforced Copper Composites Manufactured by Powder Metallurgy: Experimental Studies and Modelling
by Anwar Ulla Khan, Sajjad Arif, Muhammed Muaz, Mohammad Shan, Ateyah Alzahrani and Ahmad Alghamdi
Metals 2026, 16(1), 66; https://doi.org/10.3390/met16010066 - 5 Jan 2026
Viewed by 231
Abstract
This study reports the fabrication of copper-based metal matrix composites reinforced with a combination of micro- and nano-sized titanium carbide (TiC) particles using the powder metallurgy route. The micro-TiC content was maintained at 5 wt.%, while the nano-TiC addition was systematically varied between [...] Read more.
This study reports the fabrication of copper-based metal matrix composites reinforced with a combination of micro- and nano-sized titanium carbide (TiC) particles using the powder metallurgy route. The micro-TiC content was maintained at 5 wt.%, while the nano-TiC addition was systematically varied between 1 and 3 wt.% in increments of 1 wt.%. The consolidation of the blends was achieved by uniaxial compaction at 500 MPa, followed by sintering in a nitrogen atmosphere at 750–900 °C for 2 h. Tribological assessment under dry sliding conditions was performed using a pin-on-disk apparatus. Structural and microstructural examinations using X-ray diffraction (XRD), scanning electron microscopy (SEM), and energy-dispersive spectroscopy (EDS) confirmed a uniform incorporation of the reinforcements within the Cu matrix. The incorporation of nano-TiC up to 2 wt.% significantly enhanced density, hardness, and wear resistance, after which a marginal decline was observed. SEM analysis of worn surfaces revealed that adhesive wear, abrasion, and delamination were the primary wear mechanisms. To better understand the relationship between processing conditions and material responses, response surface methodology (RSM) was employed. The developed models for density, hardness, and wear loss showed good agreement with the experimental results, with confirmatory tests yielding errors of 1.59%, 2.06%, and 2%, respectively, thereby validating the approach’s reliability. Full article
(This article belongs to the Special Issue Powder Metallurgy of Metals and Composites)
Show Figures

Figure 1

18 pages, 10634 KB  
Article
Effect of Nano-TiO2 Addition on Some Properties of Pre-Alloyed CoCrMo Fabricated via Powder Technology
by Jawdat Ali Yagoob, Mahmood Shihab Wahhab, Sherwan Mohammed Najm, Mihaela Oleksik, Tomasz Trzepieciński and Salwa O. Mohammed
Materials 2026, 19(1), 186; https://doi.org/10.3390/ma19010186 - 4 Jan 2026
Viewed by 228
Abstract
The CoCrMo alloys are progressively utilized as biomaterials. This research is dedicated to studying the consequence of (1, 3, and 5) wt% nano-TiO2 addition on the porosity, microstructure, microhardness, and wear behavior of pre-alloyed CoCrMo powder produced by powder metallurgy (PM). Microstructural [...] Read more.
The CoCrMo alloys are progressively utilized as biomaterials. This research is dedicated to studying the consequence of (1, 3, and 5) wt% nano-TiO2 addition on the porosity, microstructure, microhardness, and wear behavior of pre-alloyed CoCrMo powder produced by powder metallurgy (PM). Microstructural features were examined using SEM, SEM mapping, and XRD. Wear behavior was assessed through pin-on-disk tests performed under dry sliding conditions at varying loads and durations. Porosity increased with the addition of nano-TiO2, from 15.26 at 0 wt% reaching 25.12% at 5 wt%, while density decreased from 7.16 to 6.33 g/cm3. Microhardness exhibited a slight improvement, attaining 348 HV at 5 wt%. SEM and XRD analyses confirmed partial particle separation after sintering and identified the TiO2 reinforcement as rutile. Wear tests revealed that adding 1 wt% nano-TiO2 enhanced wear resistance, whereas extended sliding durations resulted in increased wear rates. Adhesive wear was the predominant mechanism, accompanied by limited abrasive wear, oxidation, and plastic deformation. Full article
(This article belongs to the Section Biomaterials)
Show Figures

Figure 1

27 pages, 4979 KB  
Article
Computational Models for the Vibration and Modal Analysis of Silica Nanoparticle-Reinforced Concrete Slabs with Elastic and Viscoelastic Foundation Effects
by Mohammed Chatbi, Silva Lozančić, Zouaoui R. Harrat and Marijana Hadzima-Nyarko
Modelling 2026, 7(1), 8; https://doi.org/10.3390/modelling7010008 - 30 Dec 2025
Viewed by 167
Abstract
The integration of silica nanoparticles (NS) into cementitious composites has emerged as a promising strategy to refine the microstructure and enhance concrete performance. Beyond their chemical role in accelerating hydration and promoting additional C–S–H gel formation, silica nanoparticles act as physical fillers, reducing [...] Read more.
The integration of silica nanoparticles (NS) into cementitious composites has emerged as a promising strategy to refine the microstructure and enhance concrete performance. Beyond their chemical role in accelerating hydration and promoting additional C–S–H gel formation, silica nanoparticles act as physical fillers, reducing porosity and improving interfacial bonding within the matrix. These dual effects result in a denser and more resilient composite, whose mechanical and dynamic responses differ from those of conventional concrete. However, studies addressing the vibrational and modal behavior of nano-reinforced concretes, particularly under elastic and viscoelastic foundation conditions, remain limited. This study investigates the dynamic response of NS-reinforced concrete slabs using a refined quasi-3D plate deformation theory with five (05) unknowns. Different foundation configurations are considered to represent various soil interactions and assess structural integrity under diverse supports. The effective elastic properties of the nanocomposite are obtained through Eshelby’s homogenization model, while Hamilton’s principle is used to derive the governing equations of motion. Navier’s analytical solutions are applied to simply supported slabs. Quantitative results show that adding 30 wt% NS increases the Young’s modulus of concrete by about 26% with only ~1% change in density; for simply supported slender slabs, this results in geometry-dependent increases of up to 18% in the fundamental natural frequency. While the Winkler and Pasternak foundation parameters reduce this frequency, the damping parameter of the viscoelastic foundation enhances the dynamic response, yielding frequency increases of up to 28%, depending on slab geometry. Full article
(This article belongs to the Section Modelling in Engineering Structures)
Show Figures

Figure 1

15 pages, 4750 KB  
Article
Tuning Crystallization Pathways via Phase Competition: Heat-Treatment-Induced Microstructural Evolution
by Yan Pan, Yulong Wu, Jiahui Zhang, Yanping Ma, Minghan Li and Hong Jiang
Crystals 2026, 16(1), 29; https://doi.org/10.3390/cryst16010029 - 30 Dec 2025
Viewed by 173
Abstract
Spinel-based glass-ceramics face challenges such as a narrow crystallization window for the target phase and the difficulty in suppressing the competitive LixAlxSi1−xO2 crystals. This study proposes a method to regulate the phase formation in ZnO-MgO-Al2 [...] Read more.
Spinel-based glass-ceramics face challenges such as a narrow crystallization window for the target phase and the difficulty in suppressing the competitive LixAlxSi1−xO2 crystals. This study proposes a method to regulate the phase formation in ZnO-MgO-Al2O3-SiO2 glass by precisely controlling the heat treatment temperature. The microstructural evolution was analyzed by DSC, XRD, Raman spectroscopy, SEM, TEM, and XPS. The results indicate that the heat treatment at a nucleation temperature of 780 °C for 2 h and a crystallization temperature of 880 °C for 2 h effectively inhibits the precipitation of the LixAlxSi1−xO2 secondary phase, yielding a glass-ceramic with nano-sized MgAl2O4, ZnAl2O4 spinel as the primary crystalline phase. The obtained glass-ceramic exhibits excellent mechanical properties, including a Vickers hardness of 922.6 HV, a flexural strength of 384 MPa, and an elastic modulus of 113 GPa, while maintaining a high visible light transmittance of 84.3%. This work provides a clear processing window and theoretical basis for fabricating high-performance, highly transparent spinel-based glass-ceramics through tailored heat treatment. Full article
(This article belongs to the Section Inorganic Crystalline Materials)
Show Figures

Figure 1

39 pages, 13468 KB  
Review
Research Progress of ODS FeCrAl Alloys—A Review on Preparation, Microstructure, and Properties
by Xi Wang, Zhenzhong Yin and Xinpu Shen
Crystals 2026, 16(1), 23; https://doi.org/10.3390/cryst16010023 - 28 Dec 2025
Viewed by 413
Abstract
The research and development of new accident-tolerant fuel cladding materials has emerged as a critical focus in international academic and engineering fields following the Fukushima nuclear accident. Due to the outstanding resistances in corrosion and radiation as well as high-temperature creep properties, oxide [...] Read more.
The research and development of new accident-tolerant fuel cladding materials has emerged as a critical focus in international academic and engineering fields following the Fukushima nuclear accident. Due to the outstanding resistances in corrosion and radiation as well as high-temperature creep properties, oxide dispersion-strengthened (ODS) FeCrAl alloys have been studied extensively during the past decade. Current review articles in this field have primarily focused on the effects of chemical composition on the anti-corrosion performance and species of nano-oxide. However, several key issues have not been given adequate attention, including processing methods and parameters, high-temperature stability mechanisms, post-deformation microstructural evolution and high-temperature mechanical properties. This paper reviews the progress of basic research on ODS FeCrAl alloys, including preparation methods, the effects of preparation parameters, the thermal stability and irradiation stability of oxides, the microstructural deformation, and the mechanical properties at elevated temperatures. The aspects mentioned above not only provide valuable references for understanding the effects of preparation parameters on the microstructure and properties of ODS FeCrAl alloys but also offer a comprehensive framework for the subsequent optimization of ODS FeCrAl alloys for nuclear reactor applications. Full article
(This article belongs to the Special Issue Phase Transformation and Microstructure Evolution of Alloys)
Show Figures

Figure 1

16 pages, 6473 KB  
Article
Amino-POSS Grafted Polyimide-Based Self-Stratifying Composite Coatings for Simultaneously Improved Mechanical and Tribological Properties
by Chuanyong Yu, Peng Zhang, Min Wei, Qiwei Wang and Wei Zhang
Polymers 2026, 18(1), 45; https://doi.org/10.3390/polym18010045 - 24 Dec 2025
Cited by 1 | Viewed by 316
Abstract
The development of emerging high-tech technologies comes with a growing demand for composite materials with outstanding mechanical properties and wear resistance. Herein, we fabricated organic-inorganic self-stratifying gradient coatings based on silicon density by chemically bonding octa- and mono-amino polyhedral oligomeric silsesquioxane (POSS) onto [...] Read more.
The development of emerging high-tech technologies comes with a growing demand for composite materials with outstanding mechanical properties and wear resistance. Herein, we fabricated organic-inorganic self-stratifying gradient coatings based on silicon density by chemically bonding octa- and mono-amino polyhedral oligomeric silsesquioxane (POSS) onto the polyimide (PI) resin. The microstructure and chemical characteristics of POSS-PI-based composite coatings were investigated. The enhancements to the mechanical properties and wear resistance of the PI-based composites due to the gradient structure were also investigated. As expected, the addition of POSS significantly increased the composites’ thermal stability and mechanical properties. In particular, the tensile strength and nano-indentation hardness of the 4 wt.% POSS-PI composites were enhanced by 28.6% and 68.4%, respectively. Furthermore, compared with that of pure PI, the wear rate of the POSS-PI self-stratifying coatings decreased by 78.9%, which was due to the enhanced cross-linking density and gradient structure that resulted from the self-stratifying of POSS. Full article
Show Figures

Graphical abstract

16 pages, 4054 KB  
Article
A Mechanistic Investigation on Cation-Modified Cellulose Nanofibrils–Reinforced Cement Composite
by Wei Tang, Tengfei Fu, Mingming Guo, Xixian Ji, Wendi Liu, Renhui Qiu and Demei Yu
Materials 2026, 19(1), 67; https://doi.org/10.3390/ma19010067 - 23 Dec 2025
Viewed by 318
Abstract
Cellulose nanofibril (CNF), as a renewable biomass material, has the characteristics of low density, high strength, and high hydrophilicity. It can also overcome shortcomings of traditional inorganic nano materials, such as difficult dispersion, high cost, and high health risks. In this work, CNF [...] Read more.
Cellulose nanofibril (CNF), as a renewable biomass material, has the characteristics of low density, high strength, and high hydrophilicity. It can also overcome shortcomings of traditional inorganic nano materials, such as difficult dispersion, high cost, and high health risks. In this work, CNF was modified with a cationic surfactant to further enhance the compatibility with hydrating cement. The effects on cement paste were assessed via compressive and flexural strength, heat of hydration, and restrained ring cracking. The reinforcing mechanisms were analyzed by microhardness test, XRD, and BSE-SEM/EDS. Results showed that cation-modified CNF improved mechanical performance, with an optimal dosage of 0.15 wt.% (by binder). Restrained ring test showed that cation-modified CNF–cement composite delayed crack initiation. An isothermal calorimetry test revealed that cation-modified CNF can increase hydration rate in early age. Microstructural analysis confirmed promotion of denser hydration products. A comprehensive consideration of experimental results indicates internal curing and “short-circuit diffusion” are likely the enhancing mechanism. Full article
Show Figures

Figure 1

9 pages, 1379 KB  
Article
Soft Magnetic Nanocrystalline FeSiBCuCa Alloys with High Electric Resistivity
by Xiaohong Lei, Yang Zhou, Jingyu Hu, Hongya Yu, Shuainan Xu, Ce Wang, Libao Zheng and Zhongwu Liu
Metals 2026, 16(1), 11; https://doi.org/10.3390/met16010011 - 21 Dec 2025
Viewed by 250
Abstract
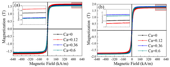
Here, we report a soft magnetic nanocrystalline alloy with high electric resistivity (ρ) up to 221 μΩ·cm. The (Fe82Si3B14Cu1)100−xCax (x = 0, 0.12, 0.36, and 0.6) alloys were prepared by [...] Read more.
Here, we report a soft magnetic nanocrystalline alloy with high electric resistivity (ρ) up to 221 μΩ·cm. The (Fe82Si3B14Cu1)100−xCax (x = 0, 0.12, 0.36, and 0.6) alloys were prepared by melt spinning. The effects of Ca addition and annealing treatment on the microstructure and properties of the alloys have been investigated. It was found that Fe82Si3B14Cu1 alloys without Ca doping contain mainly one nanocrystalline phase of α-Fe, but both α-Fe and Fe3B nanophases coexist in the as-prepared alloys with relatively high Ca contents (x = 0.36 and 0.6) and annealed Ca co-doped alloys. The presence of Fe3B nano-crystals leads to high resistivity without significantly reducing the soft magnetic properties. The saturated magnetic induction Bs of (Fe82Si3B14Cu1)100−xCax (x = 0, 0.12, 0.36, and 0.6) alloys ranges from 1.75 T to 1.80 T, and the coercivity Hc of annealed alloys shows a tendency to increase with an increase in Ca content. Meanwhile, the resistivity of both as-prepared and annealed alloys increases with increasing Ca content. The as-prepared (Fe82Si3B14Cu1)99.4Ca0.6 alloy exhibits an excellent combination of soft magnetic properties with ρ = 221 μΩ·cm, Hc = 20.3 A/m, and Bs = 1.57 T. After annealing, these values changed to 158 μΩ·cm, 21.6 A/m, and 1.79 T, respectively. We believe that this work is helpful for developing nanocrystalline soft magnetic alloys for high-frequency applications. Full article
(This article belongs to the Section Metallic Functional Materials)
Show Figures

Figure 1

19 pages, 9084 KB  
Article
Optimization of T6 Heat Treatment for Enhanced Microstructural Stability and Mechanical Properties of EV31A Magnesium Alloy
by Jingya Cui, Yao Li, Tong Mu, Xiushen Ye, Lingyun An, Daogui Lai, Chushan Yi and Honghui Liu
Metals 2026, 16(1), 4; https://doi.org/10.3390/met16010004 - 19 Dec 2025
Viewed by 258
Abstract
This study systematically optimizes the T6 heat treatment of a commercial EV31A magnesium alloy and evaluates the resulting microstructural evolution and mechanical properties. Optical microscopy, scanning electron microscopy combined with energy-dispersive X-ray spectroscopy (SEM-EDS), X-ray diffraction (XRD), and transmission electron microscopy (TEM) were [...] Read more.
This study systematically optimizes the T6 heat treatment of a commercial EV31A magnesium alloy and evaluates the resulting microstructural evolution and mechanical properties. Optical microscopy, scanning electron microscopy combined with energy-dispersive X-ray spectroscopy (SEM-EDS), X-ray diffraction (XRD), and transmission electron microscopy (TEM) were used to characterize the microstructure and phase constitution, while differential scanning calorimetry (DSC) was employed to determine appropriate solution treatment parameters. Brinell hardness measurements and tensile tests at room temperature and 150 °C were carried out to quantify the mechanical response. The as-cast alloy consists of α-Mg equiaxed grains, bone-shaped Mg12(Nd,Gd) eutectic phases at grain boundaries, and minor intragranular lath-shaped Mg12Nd phases. After T6 treatment (520 °C/10 h solution treatment + 200 °C/16 h aging), the grain boundary eutectic phases partially dissolve and transform into Mg41(Nd,Gd)5, while intragranular nano-scale β′ precipitates and stable Zn2Zr3 particles form, achieving multi-scale synergistic strengthening. Compared to the as-cast condition, the T6-treated alloy exhibits room-temperature ultimate tensile strength and yield strength of 309 ± 40.5 MPa (31% increase) and 180 ± 14.2MPa (45% increase), respectively. At 150 °C, the strength reaches 241 ± 7.5 MPa (39% increase) and 154 ± 16.8 MPa (52% increase), while maintaining an elongation of 10.9± 0.7%, demonstrating an excellent strength–ductility balance. Full article
(This article belongs to the Special Issue Forming and Processing Technologies of Lightweight Metal Materials)
Show Figures

Figure 1

Back to TopTop