Oxygen Addition Influence on NiCrFe Mixed Layer
Abstract
1. Introduction
2. Materials and Methods
2.1. Sample Depositions
2.2. Characterization Techniques
3. Results and Discussions
3.1. Phase Composition
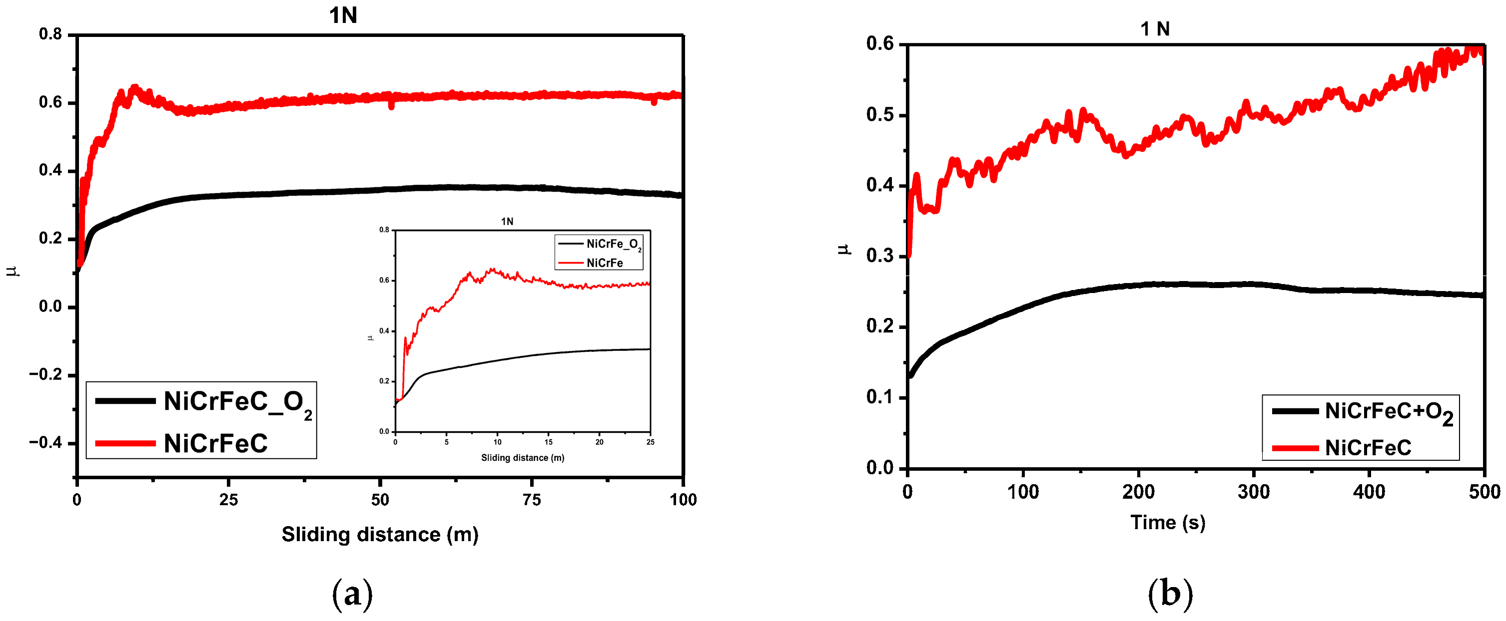
3.2. Tribological Performance and Wear Behavior
4. Conclusions
Author Contributions
Funding
Institutional Review Board Statement
Informed Consent Statement
Data Availability Statement
Conflicts of Interest
References
- Kano, M.; Martin, J.M.; Yoshida, K.; De Barros Bouchet, M.I. Super-low friction of ta-C coating in presence of oleic acid. Friction 2014, 2, 156–163. [Google Scholar] [CrossRef]
- Torres, H.; Rodríguez Ripoll, M.; Prakash, B. Tribological behavior of self-lubricating materials at high temperatures. Int. Mater. Rev. 2018, 63, 309–340. [Google Scholar] [CrossRef]
- John, M.; Menezes, P.L. Self-lubricating materials for extreme condition applications. Materials 2021, 14, 5588. [Google Scholar] [CrossRef] [PubMed]
- Xiao, H. Ionic liquid lubricants: Basics and applications. Tribol. Trans. 2017, 60, 20–30. [Google Scholar] [CrossRef]
- Qu, J.; Chi, M.; Meyer, H.M., III; Blau, P.J.; Dai, S.; Luo, H. Nanostructure and composition of tribo-boundary films formed in ionic liquid lubrication. Tribol. Lett. 2011, 43, 205–211. [Google Scholar] [CrossRef]
- Wong, V.W.; Tung, S.C. Overview of automotive engine friction and reduction trends—Effects of surface, material, and lubricant-additive technologies. Friction 2016, 4, 1–28. [Google Scholar] [CrossRef]
- Zhang, T.F.; Deng, Q.Y.; Liu, B.; Wu, B.J.; Jing, F.J.; Leng, Y.X.; Huang, N. Wear and corrosion properties of diamond-like carbon (DLC) coating on stainless steel, CoCrMo and Ti6Al4V substrates. Surf. Coat. Technol. 2015, 273, 12–19. [Google Scholar] [CrossRef]
- Khanmohammadi, H.; Wijanarko, W.; Cruz, S.; Evaristo, M.; Espallargas, N. Triboelectrochemical friction control of W- and Ag-doped DLC coatings in water–glycol with ionic liquids as lubricant additives. RSC Adv. 2022, 12, 3573–3583. [Google Scholar] [CrossRef] [PubMed]
- Zhao, G.H.; Aune, R.E.; Espallargas, N. Tribocorrosion studies of metallic biomaterials: The effect of plasma nitriding and DLC surface modifications. J. Mech. Behav. Biomed. Mater. 2016, 63, 100–114. [Google Scholar] [CrossRef] [PubMed]
- Härtwig, F.; Lorenz, L.; Makowski, S.; Krause, M.; Habenicht, C.; Lasagni, A.F. Low-friction of Ta-C coatings paired with brass and other materials under vacuum and atmospheric conditions. Materials 2022, 15, 2534. [Google Scholar] [CrossRef] [PubMed]
- Kajita, S.; Righi, M.C. A fundamental mechanism for carbon-film lubricity identified by means of ab initio molecular dynamics. Carbon 2016, 103, 193–199. [Google Scholar] [CrossRef]
- Yi, S.; Chen, X.; Li, J.; Liu, Y.; Ding, S.; Luo, J. Macroscale superlubricity of Si-doped diamond-like carbon film enabled by graphene oxide as additives. Carbon 2021, 176, 358–366. [Google Scholar] [CrossRef]
- Chen, X.; Zhang, C.; Kato, T.; Yang, X.-A.; Wu, S.; Wang, R.; Nosaka, M.; Luo, J. Evolution of tribo-induced interfacial nanostructures governing superlubricity in a-C:H and a-C:H:Si films. Nat. Commun. 2017, 8, 1675. [Google Scholar] [CrossRef] [PubMed]
- Erdemir, A.; Eryilmaz, O. Achieving superlubricity in DLC films by controlling bulk, surface, and tribochemistry. Friction 2014, 2, 140–155. [Google Scholar] [CrossRef]
- Chen, X.; Li, J. Superlubricity of carbon nanostructures. Carbon 2019, 158, 1–23. [Google Scholar] [CrossRef]
- Liu, X.; Wang, Y.; Guo, Z.; Liu, X.; Qin, L.; Lu, Z. Ni20/PTFE Composite Coating Material and the Synergistic Friction Reduction and Wear Resistance Mechanism Under Multiple Working Conditions. Coatings 2025, 15, 830. [Google Scholar] [CrossRef]
- Lai, G.Y. High-Temperature Corrosion and Materials Applications; ASM International: Almere, The Netherlands, 2007. [Google Scholar]
- Yang, Z.; Yi, S.; Li, J.; Ding, S. Thermal and force simulation modelling of graphene oxide nanosheets as cutting fluid additives during Ti-6Al-4V drilling process. Int. J. Therm. Sci. 2025, 210, 109608. [Google Scholar] [CrossRef]
- Safi, I. Recent aspects concerning DC reactive magnetron sputtering of thin films: A review. Surf. Coat. Technol. 2000, 127, 203–218. [Google Scholar] [CrossRef]
- Garg, R.; Gonuguntla, S.; Sk, S.; Iqbal, M.S.; Dada, A.O.; Pal, U.; Ahmadipour, M. Sputtering thin films: Materials, applications, challenges and future directions. Adv. Colloid Interface Sci. 2024, 330, 103203. [Google Scholar] [CrossRef] [PubMed]









Disclaimer/Publisher’s Note: The statements, opinions and data contained in all publications are solely those of the individual author(s) and contributor(s) and not of MDPI and/or the editor(s). MDPI and/or the editor(s) disclaim responsibility for any injury to people or property resulting from any ideas, methods, instructions or products referred to in the content. |
© 2026 by the authors. Licensee MDPI, Basel, Switzerland. This article is an open access article distributed under the terms and conditions of the Creative Commons Attribution (CC BY) license.
Share and Cite
Solomonea, B.-G.; Anghel, A.; Lungu, C.P.; Staicu, C.; Butoi, B.; Porosnicu, C.; Dincă, P.; Pompilian, O.; Sobetkii, A.; Parau, A.C.; et al. Oxygen Addition Influence on NiCrFe Mixed Layer. Coatings 2026, 16, 96. https://doi.org/10.3390/coatings16010096
Solomonea B-G, Anghel A, Lungu CP, Staicu C, Butoi B, Porosnicu C, Dincă P, Pompilian O, Sobetkii A, Parau AC, et al. Oxygen Addition Influence on NiCrFe Mixed Layer. Coatings. 2026; 16(1):96. https://doi.org/10.3390/coatings16010096
Chicago/Turabian StyleSolomonea, Bianca-Georgiana, Alexandru Anghel, Cristian P. Lungu, Cornel Staicu, Bogdan Butoi, Corneliu Porosnicu, Paul Dincă, Oana Pompilian, Arcadie Sobetkii, Anca Constantina Parau, and et al. 2026. "Oxygen Addition Influence on NiCrFe Mixed Layer" Coatings 16, no. 1: 96. https://doi.org/10.3390/coatings16010096
APA StyleSolomonea, B.-G., Anghel, A., Lungu, C. P., Staicu, C., Butoi, B., Porosnicu, C., Dincă, P., Pompilian, O., Sobetkii, A., Parau, A. C., Dinu, M., Constantin, L. R., Vladescu, A., & Vitelaru, C. (2026). Oxygen Addition Influence on NiCrFe Mixed Layer. Coatings, 16(1), 96. https://doi.org/10.3390/coatings16010096

