Soft Magnetic Nanocrystalline FeSiBCuCa Alloys with High Electric Resistivity
Abstract
1. Introduction
2. Materials and Methods
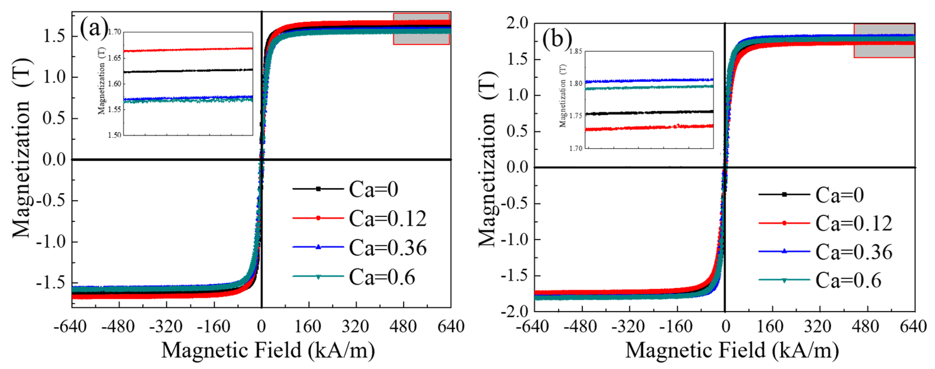
3. Results and Discussion
4. Conclusions
Author Contributions
Funding
Data Availability Statement
Conflicts of Interest
References
- Liu, C.; Li, R.; Bi, J.; Ma, D.; Liu, X.; Zhang, T. Formation Mechanism of Fe-Based Amorphous Powders Produced by Spark Erosion. J. Mater. Sci. Technol. 2024, 170, 33–46. [Google Scholar] [CrossRef]
- Li, X.; Zhou, J.; Shen, L.; Sun, B.; Bai, H.; Wang, W. Exceptionally High Saturation Magnetic Flux Density and Ultralow Coercivity via an Amorphous–Nanocrystalline Transitional Microstructure in an FeCo-Based Alloy. Adv. Mater. 2023, 35, 2205863. [Google Scholar] [CrossRef] [PubMed]
- Parsons, R.; Li, Z.; Suzuki, K. Nanocrystalline Soft Magnetic Materials with a Saturation Magnetization Greater than 2 T. J. Magn. Magn. Mater. 2019, 485, 180–186. [Google Scholar] [CrossRef]
- Yang, S.; Zang, B.; Xiang, M.; Shen, F.; Song, L.; Gao, M.; Zhang, Y.; Huo, J.; Wang, J.-Q. Designing Fe-Based Amorphous Alloys With Both Ultra-High Magnetization and Ultra-Low Coercivity Through Artificial Intelligence. Adv. Funct. Mater. 2025, 35, 2425588. [Google Scholar] [CrossRef]
- Li, F.C.; Liu, T.; Zhang, J.Y.; Shuang, S.; Wang, Q.; Wang, A.D.; Wang, J.G.; Yang, Y. Amorphous–Nanocrystalline Alloys: Fabrication, Properties, and Applications. Mater. Today Adv. 2019, 4, 100027. [Google Scholar] [CrossRef]
- Hasegawa, R. Applications of Amorphous Magnetic Alloys in Electronic Devices. J. Non-Cryst. Solids 2001, 287, 405–412. [Google Scholar] [CrossRef]
- McHenry, M.E.; Willard, M.A.; Laughlin, D.E. Amorphous and Nanocrystalline Materials for Applications as Soft Magnets. Prog. Mater. Sci. 1999, 44, 291–433. [Google Scholar] [CrossRef]
- McHenry, M.E.; Laughlin, D.E. Nano-Scale Materials Development for Future Magnetic Applications. Acta Mater. 2000, 48, 223–238. [Google Scholar] [CrossRef]
- Jiang, M.; Wang, J.; Cai, M.; Li, J.; Dong, W.; Guo, Z.; Shen, B. Improvement of Soft Magnetic Properties for Fe-Based Amorphous/Nanocrystalline Alloy by Longitudinal Magnetic Field Annealing. J. Non-Cryst. Solids 2025, 650, 123382. [Google Scholar] [CrossRef]
- Choi, K.; Jung, C.; Yi, S. Improved Thermal Stability of FeNiCo-Based Nanocrystalline Soft Magnetic Alloys Enabled by Ni Segregation in the Amorphous Matrix. J. Alloys Compd. 2025, 1014, 178690. [Google Scholar] [CrossRef]
- Kang, S.-J.; Chen, Z.; Zhu, Q.-K.; Zhang, K.-W.; Guo, Z.-H.; Yan, Z.-J. Microalloying and Pre-Annealing Co-Modulation of the Nanocrystalline Structure and Soft Magnetic Properties of Fe(Co)SiBPCu Alloys. Rare Met. 2025, 44, 6547–6561. [Google Scholar] [CrossRef]
- Yoshizawa, Y.; Oguma, S.; Yamauchi, K. New Fe-based Soft Magnetic Alloys Composed of Ultrafine Grain Structure. J. Appl. Phys. 1988, 64, 6044–6046. [Google Scholar] [CrossRef]
- Zhang, Z.; Sharma, P.; Makino, A. Role of Si in High Bs and Low Core-Loss Fe85.2B10−XP4Cu0.8SiX Nano-Crystalline Alloys. J. Appl. Phys. 2012, 112, 103902. [Google Scholar] [CrossRef]
- Gautam, R.; Hiramoto, S.; Kulesh, N.; Mamiya, H.; Okamoto, S.; Ono, N.; Ogasawara, T.; Ohkubo, T.; Sepehri-Amin, H. Ultra-Low Core Loss in Fe-Enriched Soft Magnetic Ribbons Enabled by Nanostructure and High-Frequency Domain Engineering. Nat. Commun. 2025, 16, 8022. [Google Scholar] [CrossRef]
- Dai, F.; Cheng, X.; Rong, M.; Yao, Q.; Wang, J. Phase Formation and Magnetic Properties of La- and Ce-Substituted (Nd1−2xRExPrx)2.28Fe13.58B1.14 Melt-Spun Ribbons. Phys. Status Solidi A 2021, 218, 2100371. [Google Scholar] [CrossRef]
- Saini, S.; Srivastava, A.P.; Ghosh, P.S.; Sagdeo, A.; Ghosh, A.; Babu, D.A.; Madge, S.V.; Neogy, S. Investigation of Microstructural and Magnetic Property Evolution in Mechanically Milled Co–Zr Metallic Ribbon. J. Mater. Sci. 2025, 60, 16480–16496. [Google Scholar] [CrossRef]
- Sun, Q.; Zhang, K.; Zhang, S.; Chen, C.; Wei, R.; Cai, Y.; Wu, S.; Li, F.; Wang, T. Optimizing the Glass Forming Ability and Soft Magnetic Properties of FeNiB Nanocrystalline Alloys through Carbon Addition. Intermetallics 2025, 182, 108781. [Google Scholar] [CrossRef]
- Xue, J.; Li, Y.; Zhu, Z.; Jiang, L.; Luan, J.; Zhang, H.; Zhang, W. Optimizing Nanostructure and Magnetic Softness of Fe-Si-B-Cu Nanocrystalline Alloys via Tailoring Melt-Spun Structure by Al Microalloying. Mater. Today Nano 2025, 29, 100567. [Google Scholar] [CrossRef]
- Kim, M.-R.; Kim, S.-I.; Kim, K.S.; Sohn, K.Y.; Park, W.-W. Effect of Ca Addition on Soft Magnetic Properties of Nanocrystalline Fe-Based Alloy Ribbons. Met. Mater. Int. 2012, 18, 185–188. [Google Scholar] [CrossRef]
- Zheng, Z.G.; Zhang, J.S.; Yu, H.Y.; Li, B.; Zeng, D.C.; Xiao, F.M.; Sun, T.; Tang, R.H. Enhanced Electrical Resistivity and Soft Magnetic Properties in Ca-Doped Fe-B-Cu Alloy Ribbons. Mater. Sci. Forum 2016, 873, 23–27. [Google Scholar] [CrossRef]
- Makino, A.; Suzuki, K.; Inoue, A.; Masumoto, T. Low Core Loss of a Bcc Fe86Zr7B6Cu1 Alloy with Nanoscale Grain Size. Mater. Trans. JIM 1991, 32, 551–556. [Google Scholar] [CrossRef]
- Makino, A.; Inoue, A.; Masumoto, T. Nanocrystalline Soft Magnetic Fe–M–B (M=Zr, Hf, Nb) Alloys Produced by Crystallization of Amorphous Phase (Overview). Mater. Trans. JIM 1995, 36, 924–938. [Google Scholar] [CrossRef]
- Makino, A.; Bitoh, T.; Inoue, A.; Masumoto, T. Nb-Poor Fe–Nb–B Nanocrystalline Soft Magnetic Alloys with Small Amount of P and Cu Prepared by Melt-Spinning in Air. Scr. Mater. 2003, 48, 869–874. [Google Scholar] [CrossRef]
- Yang, C.; Huang, H.; Song, Q.; Zhang, J.; Liu, F. Effect of Si Addition on the Nano-Structure and Soft Magnetic Properties of Bulk Fe–B-Based Alloys. J. Magn. Magn. Mater. 2016, 403, 41–46. [Google Scholar] [CrossRef]
- Coene, W.; Hakkens, F.; Coehoorn, R.; de Mooij, D.B.; de Waard, C.; Fidler, J.; Grössinger, R. Magnetocrystalline Anisotropy of Fe3B, Fe2B and Fe1.4Co0.6B as Studied by Lorentz Electron Microscopy, Singular Point Detection and Magnetization Measurements. J. Magn. Magn. Mater. 1991, 96, 189–196. [Google Scholar] [CrossRef]
- Wallisch, W.; Fidler, J.; Toson, P.; Sassik, H.; Svagera, R.; Bernardi, J. Synthesis and Characterisation of (Fe,Co)2–3B Microcrystalline Alloys. J. Alloys Compd. 2015, 644, 199–204. [Google Scholar] [CrossRef]
- Zhang, W.; Li, R.; Wang, J.; Zhang, T.; Gao, Y.; Zhang, T. Tailoring Microstructure in a Soft-Magnetic Fe-Based Amorphous-Nanocrystalline Alloy for High Resistivity According to Electrical Percolation Threshold. Mater. Des. 2024, 246, 113311. [Google Scholar] [CrossRef]
- Parsons, R.; Zang, B.; Onodera, K.; Kishimoto, H.; Shoji, T.; Kato, A.; Suzuki, K. Core Loss of Ultra-Rapidly Annealed Fe-Rich Nanocrystalline Soft Magnetic Alloys. J. Magn. Magn. Mater. 2019, 476, 142–148. [Google Scholar] [CrossRef]
- Zhu, M.; Zhang, M.; Yao, L.; Nan, R.; Jian, Z.; Chang, F. Effect of Mo Substitution for Nb on the Glass-Forming Ability, Magnetic Properties, and Electrical Resistivity in Fe80(Nb1–xMox)5B15 (X=0–0.75) Amorphous Ribbons. Vacuum 2019, 163, 368–372. [Google Scholar] [CrossRef]





| Alloy | Microstructure | Bs (T) | Hc (A/m) | ρ (μΩ.cm) | Ref. |
|---|---|---|---|---|---|
| Fe82Si3B14Cu1 (as-spun) | Nanocrystalline | 1.62 | 18.6 | 138 | This work |
| Fe82Si3B14Cu1 (annealed) | Nanocrystalline | 1.75 | 6.1 | 116 | This work |
| (Fe82Si3B14Cu1)99.4Ca0.6 (as-spun) | Nanocrystalline | 1.57 | 20.3 | 221 | This work |
| (Fe82Si3B14Cu1)99.4Ca0.6 (annealed) | Nanocrystalline | 1.79 | 21.6 | 158 | This work |
| Fe78Si9B13 | Amorphous | 1.52 | 5 | 135 | Ref. [7] |
| Fe90Zr7B3 | Nanocrystalline | 1.63 | 5.6 | 44 | Ref. [22] |
| Co70.5Fe4.5Si10B15 | Nanocrystalline | 0.88 | 1.2 | 147 | Ref. [22] |
| Fe84Nb7B9 | Nanocrystalline | 1.50 | 8.0 | 58 | Ref. [22] |
| Fe73.5Si13.5B9Nb3Cu1 | Nanocrystalline | 1.24 | 0.53 | 115 | Ref. [22] |
| Fe83.5B15Cu1.5Cax (x = 0–0.13) | Nanocrystalline | 1.8 | 15–20 | 50–91 | Ref. [20] |
| Fe82.5B12P2C1Cu0.5Co2 | Nanocrystalline | 1.81 | 3.8 | 117.2 | Ref. [27] |
| Fe88B12 | Nanocrystalline | 1.95 | 13.6 | 49 | Ref. [28] |
| Fe87B13 | Nanocrystalline | 1.92 | 6.4 | 62 | Ref. [28] |
| Fe86B14 | Nanocrystalline | 1.89 | 7.5 | 65 | Ref. [28] |
| Fe85B13Ni2 | Nanocrystalline | 1.9 | 3.8 | 62 | Ref. [28] |
| Fe80(Nb0.25Mo0.75)5B15 | amorphous | 1.1 | 15.1 | 150 | Ref. [29] |
| (Fe, Ni)67.5Co15Si8B4C4P1.5 | Nanocrystalline | - | 198 | 144 | Ref. [10] |
Disclaimer/Publisher’s Note: The statements, opinions and data contained in all publications are solely those of the individual author(s) and contributor(s) and not of MDPI and/or the editor(s). MDPI and/or the editor(s) disclaim responsibility for any injury to people or property resulting from any ideas, methods, instructions or products referred to in the content. |
© 2025 by the authors. Licensee MDPI, Basel, Switzerland. This article is an open access article distributed under the terms and conditions of the Creative Commons Attribution (CC BY) license.
Share and Cite
Lei, X.; Zhou, Y.; Hu, J.; Yu, H.; Xu, S.; Wang, C.; Zheng, L.; Liu, Z. Soft Magnetic Nanocrystalline FeSiBCuCa Alloys with High Electric Resistivity. Metals 2026, 16, 11. https://doi.org/10.3390/met16010011
Lei X, Zhou Y, Hu J, Yu H, Xu S, Wang C, Zheng L, Liu Z. Soft Magnetic Nanocrystalline FeSiBCuCa Alloys with High Electric Resistivity. Metals. 2026; 16(1):11. https://doi.org/10.3390/met16010011
Chicago/Turabian StyleLei, Xiaohong, Yang Zhou, Jingyu Hu, Hongya Yu, Shuainan Xu, Ce Wang, Libao Zheng, and Zhongwu Liu. 2026. "Soft Magnetic Nanocrystalline FeSiBCuCa Alloys with High Electric Resistivity" Metals 16, no. 1: 11. https://doi.org/10.3390/met16010011
APA StyleLei, X., Zhou, Y., Hu, J., Yu, H., Xu, S., Wang, C., Zheng, L., & Liu, Z. (2026). Soft Magnetic Nanocrystalline FeSiBCuCa Alloys with High Electric Resistivity. Metals, 16(1), 11. https://doi.org/10.3390/met16010011

