Sign in to use this feature.

Years

Between: -

Subjects

remove_circle_outline
remove_circle_outline
remove_circle_outline
remove_circle_outline
remove_circle_outline
remove_circle_outline
remove_circle_outline
remove_circle_outline
remove_circle_outline

Journals

remove_circle_outline
remove_circle_outline
remove_circle_outline
remove_circle_outline
remove_circle_outline
remove_circle_outline
remove_circle_outline
remove_circle_outline
remove_circle_outline
remove_circle_outline
remove_circle_outline

Article Types

Countries / Regions

remove_circle_outline
remove_circle_outline
remove_circle_outline
remove_circle_outline
remove_circle_outline

Search Results (1,244)

Search Parameters:
Keywords = mountain case study

Order results
Result details
Results per page
Select all
Export citation of selected articles as:
25 pages, 6861 KB  
Article
A Local Climate Zone-Based Seasonal Net-Benefit Assessment Model for the Urban Thermal Environment—A Case Study in a Cold-Region City
by Ziteng Zhang, Fei Guo, Hongchi Zhang and Jing Dong
Sustainability 2026, 18(3), 1533; https://doi.org/10.3390/su18031533 - 3 Feb 2026
Abstract
The combined effects of urbanization and climate warming subject cold coastal cities to summer heatwaves and winter extreme cold, yet most studies emphasize built-environment modifications for summer overheating and lack evaluation methods and planning-oriented strategies to balance seasonal trade-offs. Using Dalian as a [...] Read more.
The combined effects of urbanization and climate warming subject cold coastal cities to summer heatwaves and winter extreme cold, yet most studies emphasize built-environment modifications for summer overheating and lack evaluation methods and planning-oriented strategies to balance seasonal trade-offs. Using Dalian as a case study, we develop a seasonal net-benefit model that quantitatively characterizes and reconciles seasonally differentiated built-environment effects on land surface temperature (LST) and interprets urban heterogeneity within the Local Climate Zone (LCZ) framework. Summer LST is mainly governed by static factors such as greenspace configuration and topography, whereas winter LST is more sensitive to development intensity and locational factors, including building density and the Normalized Difference Built-up Index (NDBI). Coastal areas and mountainous green corridors are net-benefit zones performing well in both seasons, while dense industrial and compact low-rise areas account for ~80% of pronounced net-penalty zones. Compact mid- and high-rise neighborhoods show more favorable structural climatic conditions but with substantial retrofit potential (Retrofit Seasonal Net-Benefit Index (R-SNBI) markedly lower than Structural Seasonal Net-Benefit Index (S-SNBI) by ~3). Large low-rise problems mainly stem from an unfavorable structure rather than insufficient greenness, whereas industrial land has greater improvement potential via blue–green spaces. The framework supports refined climate adaptation, sustainability-oriented planning, and identifying urban renewal priority areas in cold-climate cities. Full article
(This article belongs to the Section Green Building)
Show Figures

Figure 1

27 pages, 41129 KB  
Article
Flash Flood Risk Analysis for Sustainable Heritage: Vulnerability Configurations and Disaster Resilience Strategies of Huizhou Covered Bridges
by Menghui Yan and Xiaodong Xuan
Buildings 2026, 16(3), 616; https://doi.org/10.3390/buildings16030616 - 2 Feb 2026
Viewed by 48
Abstract
Huizhou covered bridges represent a unique and irreplaceable component of China′s architectural heritage, yet they are increasingly threatened by flash floods. In the Huizhou region, complex mountainous terrain, concentrated intense rainfall, and structural aging jointly exacerbate flood damage risks. Existing flood risk assessment [...] Read more.
Huizhou covered bridges represent a unique and irreplaceable component of China′s architectural heritage, yet they are increasingly threatened by flash floods. In the Huizhou region, complex mountainous terrain, concentrated intense rainfall, and structural aging jointly exacerbate flood damage risks. Existing flood risk assessment approaches often prioritize external hydrodynamic hazards or assume linear additive effects, overlooking the complex interactions among inherent structural and physical attributes. To address this limitation, this study integrates Random Forest (RF) and fuzzy-set Qualitative Comparative Analysis (fsQCA) to develop a flood risk assessment framework capable of capturing both nonlinear relationships and configurational (asymmetric) causal mechanisms. Based on field investigations of 89 covered bridges and 116 documented damage cases from 2020 to 2024, the RF model identifies six key risk factors (ACC = 0.79, AUC = 0.87), several of which exhibit pronounced nonlinear and threshold effects. Building on these results, fsQCA further reveals eight equivalent configurational pathways leading to covered bridge damage (solution coverage = 0.66, solution consistency = 0.94), highlighting multiple causal combinations rather than a single dominant driver. The results demonstrate that the disaster resilience of covered bridges emerges from interactions among structural characteristics, management conditions, and spatial scale attributes, rather than from any individual factor alone. Accordingly, this study advocates a shift in protection strategies from conventional “one-size-fits-all” structural reinforcement toward risk-pattern-oriented, precision-based non-structural interventions. By combining predictive modeling with configurational causal analysis, this research provides a system-level understanding of flood-induced damage mechanisms and offers actionable insights for flood risk mitigation and sustainable conservation of covered bridge heritage in Huizhou and comparable regions worldwide. Full article
Show Figures

Figure 1

29 pages, 3650 KB  
Article
Decoding LSTM to Reveal Baseflow Contributions in Fractured and Sedimentary Mountain Basins: A Case Study in the Sangre de Cristo Mountains, Southwestern United States
by Michael Rosati, Yeo H. Lim, Katie Zemlick and Kamran Syed
Hydrology 2026, 13(2), 51; https://doi.org/10.3390/hydrology13020051 - 1 Feb 2026
Viewed by 80
Abstract
This study investigates how a Long Short-Term Memory (LSTM) model internally represents baseflow contributions in snowmelt-driven, semi-arid mountain basins with heterogeneous geologic characteristics. Five basins in the Sangre de Cristo Mountains of northern New Mexico, spanning fractured Precambrian bedrock and sedimentary-volcanic terrain, were [...] Read more.
This study investigates how a Long Short-Term Memory (LSTM) model internally represents baseflow contributions in snowmelt-driven, semi-arid mountain basins with heterogeneous geologic characteristics. Five basins in the Sangre de Cristo Mountains of northern New Mexico, spanning fractured Precambrian bedrock and sedimentary-volcanic terrain, were used to evaluate both model performance and interpretability. Baseflow dynamics were inferred post hoc using the Baseflow Index (BFI) and a two-reservoir HEC-HMS (Hydrologic Engineering Center’s Hydrologic Modeling System) model. Although baseflow components were not explicitly included in model training, internal cell state activations exhibited strong correlations with both shallow and deep baseflow components derived from the HEC-HMS model. To better understand how these relationships may change under climatic stress, BFI-based baseflow patterns were further analyzed under pre-drought and drought conditions. Results indicate that the internal LSTM states differentiated patterns consistent with short- and long-residence flow paths, reflecting physically interpretable hydrologic behavior. This work demonstrates the potential of LSTM models to provide valuable insights into baseflow generation and groundwater–surface water interactions, which is especially critical in water-scarce regions facing increasing drought frequency. Full article
Show Figures

Figure 1

24 pages, 7084 KB  
Article
Confronting Land Surface Temperature and Ground Station Data for Urban Heat Island Assessment and Urban Building Energy Modeling—A Case Study for Northern Italy
by Mario Alves da Silva, Gregorio Borelli, Andrea Gasparella and Giovanni Pernigotto
Energies 2026, 19(3), 724; https://doi.org/10.3390/en19030724 - 29 Jan 2026
Viewed by 191
Abstract
Data scarcity limits robust assessment of urban overheating and its implications for building energy use, especially in complex-terrain cities such as those in mountain environments. In this context, Land Surface Temperature (LST) from thermal remote sensing can be used to map [...] Read more.
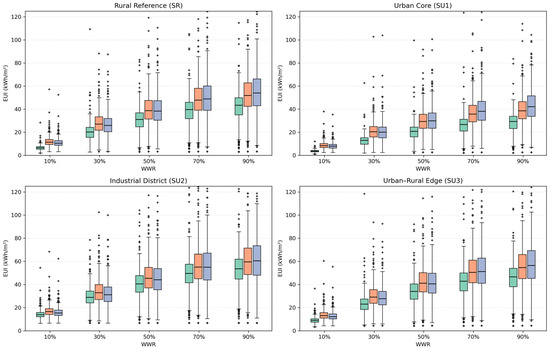
Data scarcity limits robust assessment of urban overheating and its implications for building energy use, especially in complex-terrain cities such as those in mountain environments. In this context, Land Surface Temperature (LST) from thermal remote sensing can be used to map urban hotspots at high spatial resolution. Nevertheless, it does not provide the full set of hourly atmospheric variables required to run building energy simulations aimed at quantifying their impact and defining mitigation measures. Given these premises, this study proposes a methodology combining satellite-derived LST with ground meteorological measurements to assess Urban Heat Island (UHI) patterns and quantify how measured weather data selection affects urban building energy modeling (UBEM) outcomes. After selecting as a case study Bolzano, an Alpine city in Northern Italy, ECOSTRESS LST (2019–2025, May–August) was first processed and quality-screened to (1) compute ΔLST (urban–rural) and (2) identify diurnal and spatial overheating patterns across the building stock. Second, four measured weather datasets—one rural station and three urban stations located in the city core, in the industrial district, and in the urban edge—were used as boundary conditions in an EnergyPlus-based UBEM parametric campaign for 253 residential buildings, covering multiple envelope insulation levels and window-to-wall ratios. Results show strong diurnal asymmetry in surface overheating, with the largest contrasts in the afternoon and prominent industrial hotspots. Ground measurements confirm persistent intra-urban microclimatic differences, and the choice of measured weather dataset causes systematic shifts in simulated cooling demand and thermal comfort. The study highlights the need for weather data selection strategies based on microclimatic context rather than simple proximity, improving representativeness in UBEM applications for Alpine and other heterogeneous urban environments. Full article
(This article belongs to the Special Issue Performance Analysis of Building Energy Efficiency)
Show Figures

Figure 1

26 pages, 8779 KB  
Article
TAUT: A Remote Sensing-Based Terrain-Adaptive U-Net Transformer for High-Resolution Spatiotemporal Downscaling of Temperature over Southwest China
by Zezhi Cheng, Jiping Guan, Li Xiang, Jingnan Wang and Jie Xiang
Remote Sens. 2026, 18(3), 416; https://doi.org/10.3390/rs18030416 - 27 Jan 2026
Viewed by 302
Abstract
High-precision temperature prediction is crucial for dealing with extreme weather events under the background of global warming. However, due to the limitations of computing resources, numerical weather prediction models are difficult to directly provide high spatio-temporal resolution data that meets the specific application [...] Read more.
High-precision temperature prediction is crucial for dealing with extreme weather events under the background of global warming. However, due to the limitations of computing resources, numerical weather prediction models are difficult to directly provide high spatio-temporal resolution data that meets the specific application requirements of a certain region. This problem is particularly prominent in areas with complex terrain. The use of remote sensing data, especially high-resolution terrain data, provides key information for understanding and simulating the interaction between land and atmosphere in complex terrain, making the integration of remote sensing and NWP outputs to achieve high-precision meteorological element downscaling a core challenge. Aiming at the challenge of temperature scaling in complex terrain areas of Southwest China, this paper proposes a novel deep learning model—Terrain Adaptive U-Net Transformer (TAUT). This model takes the encoder–decoder structure of U-Net as the skeleton, deeply integrates the global attention mechanism of Swin Transformer and the local spatiotemporal feature extraction ability of three-dimensional convolution, and innovatively introduces the multi-branch terrain adaptive module (MBTA). The adaptive integration of terrain remote sensing data with various meteorological data, such as temperature fields and wind fields, has been achieved. Eventually, in the complex terrain area of Southwest China, a spatio-temporal high-resolution downscaling of 2 m temperature was realized (from 0.1° in space to 0.01°, and from 3 h intervals to 1 h intervals in time). The experimental results show that within the 48 h downscaling window period, the TAUT model outperforms the comparison models such as bilinear interpolation, SRCNN, U-Net, and EDVR in all evaluation metrics (MAE, RMSE, COR, ACC, PSNR, SSIM). The systematic ablation experiment verified the independent contributions and synergistic effects of the Swin Transformer module, the 3D convolution module, and the MBTA module in improving the performance of each model. In addition, the regional terrain verification shows that this model demonstrates good adaptability and stability under different terrain types (mountains, plateaus, basins). Especially in cases of high-temperature extreme weather, it can more precisely restore the temperature distribution details and spatial textures affected by the terrain, verifying the significant impact of terrain remote sensing data on the accuracy of temperature downscaling. The core contribution of this study lies in the successful construction of a hybrid architecture that can jointly leverage the local feature extraction advantages of CNN and the global context modeling capabilities of Transformer, and effectively integrate key terrain remote sensing data through dedicated modules. The TAUT model offers an effective deep learning solution for precise temperature prediction in complex terrain areas and also provides a referential framework for the integration of remote sensing data and numerical model data in deep learning models. Full article
Show Figures

Figure 1

22 pages, 3978 KB  
Article
A Computational Framework for FFR Estimation in Right Coronary Arteries: From CFD Simulation to Clinical Validation
by Francisco P. Oliveira, Maria Fernandes, Nuno Dias Ferreira, Diogo Santos-Ferreira, Saima Mushtaq, Gianluca Pontone, Ricardo Ladeiras-Lopes, Nuno Bettencourt, Luísa C. Sousa and Sónia I. S. Pinto
Mathematics 2026, 14(3), 395; https://doi.org/10.3390/math14030395 - 23 Jan 2026
Viewed by 137
Abstract
Coronary artery disease (CAD) remains the leading cause of cardiovascular mortality worldwide. Accurate and non-invasive quantification of coronary hemodynamics, namely in the right coronary artery (RCA), is essential for clinical decision-making but remains challenging due to the complex interaction among vessel geometry, pulsatile [...] Read more.
Coronary artery disease (CAD) remains the leading cause of cardiovascular mortality worldwide. Accurate and non-invasive quantification of coronary hemodynamics, namely in the right coronary artery (RCA), is essential for clinical decision-making but remains challenging due to the complex interaction among vessel geometry, pulsatile flow, and blood rheology. This study presents and validates a transparent computational framework for non-invasive fractional flow reserve (FFR) estimation using patient-specific RCA geometries reconstructed from coronary computed tomography angiography (CCTA) using SimVascular 27-03-2023. The proposed workflow integrates realistic boundary conditions through a Womersley velocity profile and a three-element Windkessel outlet model, coupled with a viscoelastic blood rheology formulation (sPTT) implemented via user-defined functions (UDFs). This work integrates all clinically relevant conditions of invasive FFR assessment into a single patient-specific computational framework, while delivering results within a time frame compatible with clinical practice, representing a meaningful methodological advance. The methodology was applied to seven patient-specific cases, and the resulting non-invasive FFR values were compared with both invasive wire-based measurements and commercial HeartFlow® outputs (Mountain View, CA, USA). Under hyperemic conditions, the computed FFR values showed strong agreement with invasive references, with a mean relative error of 8.4% ± 6.3%, showing diagnostic consistency similar to that of HeartFlow® (8.3% ± 8.1%) for the selected dataset. These findings demonstrate the ability of the proposed CFD-based pipeline to accurately replicate physiological coronary behavior under hyperemia. This novel workflow provides a fully on-site, open-source, reproducible, and cost-effective framework. Ultimately, this study advances the clinical applicability of non-invasive CFD tools for the functional assessment of CAD, particularly in the RCA. Full article
(This article belongs to the Special Issue Computational Fluid Dynamics with Applications)
Show Figures

Figure 1

29 pages, 8627 KB  
Article
Spatial–Temporal Evolution and Driving Mechanism of Territorial Space Conflicts in Rapid Urbanization Areas from the Perspective of Suitability: An Empirical Study of Jinan City, China
by Piling Sun, Junxiong Mo, Nan Li, Dengdeng Hou and Qingguo Liu
Land 2026, 15(1), 191; https://doi.org/10.3390/land15010191 - 21 Jan 2026
Viewed by 176
Abstract
The precise identification of territorial space conflicts (TSCs) and their driving mechanisms is key to enhancing spatial security governance. Taking Jinan City as a case study, this research evaluates territorial space suitability across production, living, and ecological dimensions, proposes an empirical TSC identification [...] Read more.
The precise identification of territorial space conflicts (TSCs) and their driving mechanisms is key to enhancing spatial security governance. Taking Jinan City as a case study, this research evaluates territorial space suitability across production, living, and ecological dimensions, proposes an empirical TSC identification model, and employs GeoDetector to analyze spatiotemporal evolution patterns and driving mechanisms. The results indicated that (1) from 2000 to 2020, significant spatial heterogeneity characterized the suitability of production–living–ecological spaces in Jinan City. High suitability zones of production and living space expanded in the northern plain along the Yellow River and central piedmont plain, respectively, while those of ecological space contracted in the southern mountainous and hilly areas. (2) Significant spatiotemporal variations in territorial space conflicts (TSCs) were observed in Jinan City over the past two decades. Intense conflicts dominated production–living and production–ecological space interactions, while moderate conflicts were prevalent in living–ecological and production–living–ecological space interactions. Production–living space conflict zones expanded, living–ecological space conflict zones contracted, and production–ecological and production–living–ecological space conflict zones showed consistent expansion trends. (3) The spatiotemporal evolution of territorial space conflicts is jointly driven by the natural environment, geographical location, social economy, and regional policies. The interaction of driving factors exhibited significant dual-factor and nonlineal enhancement effects. Finally, this study provides some scientific references for the comprehensive management and pattern optimization of territorial space in Jinan City. Full article
Show Figures

Figure 1

27 pages, 6148 KB  
Article
Landslide Susceptibility Assessment Based on TFPF-SU and AuFNN Methods: A Case Study of Dongchuan District, Yunnan Province
by Kuan Li, Yuqiang Sun, Junfu Fan and Ping Li
Appl. Sci. 2026, 16(2), 1035; https://doi.org/10.3390/app16021035 - 20 Jan 2026
Viewed by 142
Abstract
Landslides are a common type of geological hazard, characterized by sudden onset, high destructiveness, and frequent occurrence, and are widely distributed in mountainous areas with complex terrain. In recent years, due to extreme weather and intensified human activities, both the frequency and intensity [...] Read more.
Landslides are a common type of geological hazard, characterized by sudden onset, high destructiveness, and frequent occurrence, and are widely distributed in mountainous areas with complex terrain. In recent years, due to extreme weather and intensified human activities, both the frequency and intensity of landslide disasters in China have increased significantly, posing serious threats to human life, property, and socio-economic development. Although various methods for landslide susceptibility assessment have been proposed, the accuracy of existing models still needs improvement. In this context, this study takes the landslide-prone Dongchuan District of Kunming City, Yunnan Province, as a case study and proposes a coupled model that integrates an autoencoder and a feedforward neural network (AuFNN). The model uses the autoencoder to extract low-dimensional and highly discriminative feature representations, which are then used as input to the feedforward neural network to perform landslide susceptibility assessment. To evaluate the effectiveness of the proposed model, it is compared with four commonly used models, Support Vector Machine (SVM), Random Forest (RF), XGBoost, and Feedforward Neural Network (FNN), based on performance metrics such as the ROC curve, recall, and F1 score. The results indicate that the AuFNN model provides an alternative representation learning framework and achieves performance comparable to that of established machine learning models in landslide susceptibility assessment, as reflected by similar AUC, accuracy, and F1 score values. Full article
Show Figures

Figure 1

29 pages, 6496 KB  
Article
Construction and Optimization of Ecological Network Based on SOM and XGBoost-SHAP: A Case Study of the Zhengzhou–Kaifeng–Luoyang Region
by Yunuo Chen, Pingyang Han, Pengfei Wang, Baoguo Liu and Yang Liu
Land 2026, 15(1), 173; https://doi.org/10.3390/land15010173 - 16 Jan 2026
Viewed by 383
Abstract
The ecological network serves as a vital spatial strategy for addressing climate change, biodiversity loss, and habitat fragmentation. Addressing limitations in existing ecological network studies—such as strong subjectivity and insufficient accuracy in structural element identification, cross-regional integration, and resistance surface weighting—this research uses [...] Read more.
The ecological network serves as a vital spatial strategy for addressing climate change, biodiversity loss, and habitat fragmentation. Addressing limitations in existing ecological network studies—such as strong subjectivity and insufficient accuracy in structural element identification, cross-regional integration, and resistance surface weighting—this research uses the Zhengzhou–Kaifeng–Luoyang region (ZKLR) as a case study. It introduces the self-organizing map (SOM) model to identify ecological sources and employs the XGBoost-SHAP model to optimize resistance surface weights, thereby reducing subjective weighting biases. Subsequently, the Linkage Mapper tool is utilized to construct the regional ecological network. The superiority of the SOM model for identifying ecological sources was confirmed by comparison with a traditional network based on morphological spatial pattern analysis (MSPA). Further integrating complex network topology theory, nodes attack the simulations-assessed network resilience and proposed optimization strategies. The results indicate the following: (1) The area of ecological sources identified by the SOM model is three times that of the MSPA model; (2) SHAP feature importance analysis revealed that elevation (DEM) exerted the greatest influence on the composite resistance surface, contributing over 40%, followed by land use and slope, with each contributing approximately 15%. High-resistance areas were primarily distributed in western and central mountainous regions and built-up urban areas, while low-resistance areas were concentrated in the central and eastern plains; (3) topological analysis indicates that the integrated ecological network (IEN) exhibits superior robustness compared to the structural ecological network (SEN). The edge-adding strategy generated 22 additional ecological corridors, significantly enhancing the overall resilience of the integrated ecological network; and (4) based on ecological network construction and optimization results, a territorial spatial protection strategy of “one belt, two cores, two zones, and three corridors” is proposed. This study provides a novel methodological framework for ecological network construction, with findings offering reference for ecological conservation and spatial planning in the ZKLR and similar areas. Full article
Show Figures

Figure 1

35 pages, 3916 KB  
Article
A Study on Dynamic Gross Ecosystem Product (GEP) Accounting, Spatial Patterns, and Value Realization Pathways in Alpine Regions: A Case Study of Golog Tibetan Autonomous Prefecture, Qinghai Province, China
by Yongqing Guo and Yanmei Xu
Sustainability 2026, 18(2), 918; https://doi.org/10.3390/su18020918 - 16 Jan 2026
Viewed by 195
Abstract
Promoting the value realization of ecological products is a central issue in practicing the concept that “lucid waters and lush mountains are invaluable assets.” This is particularly urgent for alpine regions, which are vital ecological security barriers but face stringent developmental constraints. This [...] Read more.
Promoting the value realization of ecological products is a central issue in practicing the concept that “lucid waters and lush mountains are invaluable assets.” This is particularly urgent for alpine regions, which are vital ecological security barriers but face stringent developmental constraints. This study takes Golog Tibetan Autonomous Prefecture in Qinghai Province as a case study. It establishes a Gross Ecosystem Product (GEP) accounting framework tailored to the characteristics of alpine ecosystems and conducts continuous empirical accounting for the period 2020–2023. The findings reveal that: (i) The total GEP of Golog is immense (reaching 655.586 billion yuan in 2023) but exhibits significant dynamic non-stationarity driven by climatic fluctuations, with a coefficient of variation as high as 11.48%. (ii) The value structure of the GEP is highly unbalanced, with regulatory services contributing over 97.6%. Water conservation and biodiversity protection are the two pillars, highlighting its role as a supplier of public ecological products and the predicament of market failure. (iii) The spatial distribution of GEP is highly heterogeneous. Maduo County, comprising 34% of the prefecture’s land area, contributes 48% of its total GEP, with its value per unit area being 1.68 times that of Gande County, revealing the spatial agglomeration of key ecosystem services. To address the dynamic, structural, and spatial constraints identified by these quantitative features, this paper proposes synergistic realization pathways centered on “monetizing regulatory services,” “precision policy regulation,” and “capacity and institution building”. The aim is to overcome the systemic bottlenecks—“difficulties in measurement, trading, coarse compensation, and weak incentives”—in alpine ecological functional zones. This provides a systematic theoretical and practical solution for fostering a virtuous cycle between ecological conservation and regional sustainable development. Full article
(This article belongs to the Section Sustainable Products and Services)
Show Figures

Figure 1

21 pages, 13519 KB  
Article
Development and Application of a Distributed Hydrological Model Ensemble (DHM-FEWS) for Flash Flood Early Warning
by Xiao Liu, Kaihua Cao, Ronghua Liu, Yanhong Dou, Min Xie, Delong Li, Hongqing Xu and Yunrui Zhang
Water 2026, 18(2), 237; https://doi.org/10.3390/w18020237 - 16 Jan 2026
Viewed by 165
Abstract
Mountain floods, one of the most common and destructive natural disasters worldwide, pose significant challenges to disaster prevention due to their sudden onset, high destructive power, and severe localized impacts. This study proposes an innovative flash flood early warning system based on a [...] Read more.
Mountain floods, one of the most common and destructive natural disasters worldwide, pose significant challenges to disaster prevention due to their sudden onset, high destructive power, and severe localized impacts. This study proposes an innovative flash flood early warning system based on a distributed hydrological model ensemble. The main objective is to improve the prediction and early warning accuracy of flash flood disasters by integrating multi-source data and regional modeling. The system simulates flood flow and risk levels under different rainfall scenarios to provide timely warnings in mountainous areas. A case study of a heavy rainfall event in Ma Jia Natural Village, Jiangxi Province was used to validate the system’s performance. Through regionalized parameter calibration within the ensemble, the system achieved Nash–Sutcliffe Efficiency (NSE) values exceeding 0.88, while the simulated peak discharges deviated from observed values by only 1.5%, 9.5%, and 4.8% under 3 h, 6 h, and 24 h rainfall scenarios, respectively, demonstrating the improved quantitative accuracy of flood prediction enabled by the ensemble-based framework. The system showed high consistency with observed data, accurately predicting flood responses at 3, 6, and 24 h time scales and providing reliable risk warnings. This approach not only enhances warning accuracy across multiple temporal scales but also supports risk-level early warnings at both river-section and village scales, offering significant practical value for the prevention of mountainous flood disasters. Full article
(This article belongs to the Section Hydrology)
Show Figures

Figure 1

21 pages, 29247 KB  
Article
Public Access Dimensions of Landscape Changes in Parks and Reserves: Case Studies of Erosion Impacts and Responses in a Changing Climate
by Shane Orchard, Aubrey Miller and Pascal Sirguey
GeoHazards 2026, 7(1), 12; https://doi.org/10.3390/geohazards7010012 - 15 Jan 2026
Viewed by 193
Abstract
This study investigates flooding and erosion impacts and human responses in Aoraki Mount Cook and Westland Tai Poutini national parks in Aotearoa New Zealand. These fast-eroding landscapes provide important test cases and insights for considering the public access dimensions of climate change. Our [...] Read more.
This study investigates flooding and erosion impacts and human responses in Aoraki Mount Cook and Westland Tai Poutini national parks in Aotearoa New Zealand. These fast-eroding landscapes provide important test cases and insights for considering the public access dimensions of climate change. Our objectives were to explore and characterise the often-overlooked role of public access as a ubiquitous concern for protected areas and other area-based conservation approaches that facilitate connections between people and nature alongside their protective functions. We employed a mixed-methods approach including volunteered geographic information (VGI) from a park user survey (n = 273) and detailed case studies of change on two iconic mountaineering routes based on geospatial analyses of digital elevation models spanning 1986–2022. VGI data identified 36 adversely affected locations while 21% of respondents also identified beneficial aspects of recent landscape changes. Geophysical changes could be perceived differently by different stakeholders, illustrating the potential for competing demands on management responses. Impacts of rainfall-triggered erosion events were explored in case studies of damaged access infrastructure (e.g., roads, tracks, bridges). Adaptive responses resulted from formal or informal (park user-led) actions including re-routing, rebuilding, or abandonment of pre-existing infrastructure. Three widely transferable dimensions of public access management are identified: providing access that supports the core functions of protected areas; evaluating the impacts of both physical changes and human responses to them; and managing tensions between stakeholder preferences. Improved attention to the role of access is essential for effective climate change adaptation in parks and reserves. Full article
Show Figures

Figure 1

20 pages, 1485 KB  
Article
SPH Simulation of Multiple Droplets Impact and Solidification on a Cold Surface
by Lujie Yuan, Qichao Wang and Hongbing Xiong
Coatings 2026, 16(1), 117; https://doi.org/10.3390/coatings16010117 - 15 Jan 2026
Viewed by 243
Abstract
The impact and solidification of multiple molten droplets on a cold substrate critically influence the quality and performance of thermally sprayed coatings. We present a Smoothed Particle Hydrodynamics (SPH) model that couples fluid-solid interaction, wetting, heat transfer and phase change to simulate multi-droplet [...] Read more.
The impact and solidification of multiple molten droplets on a cold substrate critically influence the quality and performance of thermally sprayed coatings. We present a Smoothed Particle Hydrodynamics (SPH) model that couples fluid-solid interaction, wetting, heat transfer and phase change to simulate multi-droplet impact and freezing. The model is validated against benchmark cases, including the Young–Laplace relation, wetting dynamics, single-droplet impact and the Stefan solidification problem, showing good agreement. Using the validated model, we investigate two droplets—either centrally or off-centrally—impacting on a cold surface. Simulations reveal two distinct solidification patterns: convex pattern (CVP), which results in a mountain-like splat morphology, and concave pattern (CCP), which leads to a valley-like shape. The criterion for the two patterns is explored with two dimensionless numbers, the Reynolds number Re and the Stefan number Ste. When Re17.8, droplets tend to solidify in CVP; at higher Reynolds numbers Re18.8, they tend to solidify in CCP. The transition between the two patterns is primarily governed by Re, with Ste exerting a secondary influence. For example, when droplets have Re=9.9 and Ste=5.9, they tend to solidify in a convex pattern, whereas at Re=19.8 and Ste=5.9, they tend to solidify in a concave pattern. Also, the solidification state of the first droplet greatly influences the subsequent spreading and solidification of the second droplet. A parametric study on CCP cases with varying vertical and horizontal offsets shows that larger vertical offsets accelerate solidification and reduce the maximum spreading factor. For small vertical distances, the solidification time increases with horizontal offset by more than 29%; for large vertical distances the change is minor. These results clarify how droplet interactions govern coating morphology and thermal evolution during thermal spraying. Full article
(This article belongs to the Section Surface Characterization, Deposition and Modification)
Show Figures

Figure 1

17 pages, 33373 KB  
Article
Towards an Evolutionary Regeneration from the Coast to the Inland Areas of Abruzzo to Activate Transformative Resilience
by Donatella Radogna and Antonio Vasapollo
Sustainability 2026, 18(2), 827; https://doi.org/10.3390/su18020827 - 14 Jan 2026
Viewed by 212
Abstract
This paper addresses the problem of imbalance between coastal and inland areas and recognises the reuse of abandoned buildings as an evolutionary regeneration strategy which, through specific interventions linked by a system of routes for tourism and sport, can gradually trigger sustainable development [...] Read more.
This paper addresses the problem of imbalance between coastal and inland areas and recognises the reuse of abandoned buildings as an evolutionary regeneration strategy which, through specific interventions linked by a system of routes for tourism and sport, can gradually trigger sustainable development on a regional scale. It presents research conducted in recent years on behalf of local administrations and continued in national and European projects. The reference context is the Abruzzo region, where coastal, hilly and mountainous areas are a short distance apart and include both densely built-up and populated urban centres and small depopulated towns surrounded by landscapes of high environmental value. The objective is to define, through the responsible use of built resources, viable and sustainable strategies for regeneration and rebalancing oriented towards the concept of transformative resilience. The methodology adopted is divided into phases and includes both theoretical developments and case study applications according to an approach that networks building restoration and reuse interventions in the region. The key results consist of defining a reuse logic that considers the regional territory as a whole, linking different resources, functions and environments. This logic, which envisages the organisation of new functions on a regional scale, emphasises the capacity of building reuse to produce positive effects on the territory and trigger socio-economic development dynamics. This research forms part of the experience underlying a project of significant national interest (PRIN 2022 TRIALs), which will provide guidelines for activating the transformative resilience capacities of inland areas of central Italy. Full article
(This article belongs to the Special Issue Landscape Planning Between Coastal and Inland Areas)
Show Figures

Figure 1

18 pages, 10868 KB  
Article
Spatiotemporal Dynamics and Projections of Carbon Storage Using Integrated PLUS-InVEST Modeling: A Case Study of the Guanzhong Plain Urban Agglomeration, China
by Zhongzhen Zhu, Yuxi Yang, Yixin Zhang, Ling Qiu and Tian Gao
Land 2026, 15(1), 142; https://doi.org/10.3390/land15010142 - 10 Jan 2026
Viewed by 257
Abstract
Rapid urbanization has driven land-use transitions, leading to the continuous replacement of land-use types with high carbon storage capacity by those with lower capacity. A deeper analysis of the drivers behind these changes and predictions of their future development is essential for optimizing [...] Read more.
Rapid urbanization has driven land-use transitions, leading to the continuous replacement of land-use types with high carbon storage capacity by those with lower capacity. A deeper analysis of the drivers behind these changes and predictions of their future development is essential for optimizing land-use patterns and enhancing regional carbon sink functions. This study takes the Guanzhong Plain Urban Agglomeration (GPUA) as a case study. It employs the PLUS and InVEST models to simulate land use and land cover (LULC) dynamics from 2000 to 2020 and to project the LULC and associated spatial clustering characteristics of carbon storage in 2030. The results show that: (1) From 2000 to 2020, LULC changes in the region were dominated by the conversion of cropland to built-up land, primarily concentrated in urban areas and along the Wei River corridor. By 2030, built-up land is expected to continue expanding along transportation corridors and urban peripheries, further reducing the area of cropland. (2) Changes in carbon storage were mainly driven by LULC transitions, with an overall declining trend observed from 2000 to 2020 (decreasing from 2754.69 Mt to 2741.79 Mt) despite the buffering effect of ecological restoration, and a projected continued decrease to 2734.28 Mt by 2030. (3) The spatial distribution of carbon storage was characterized by a strengthening polarization. The proportion of hotspot areas increased from 30.38% to 32.33% over the 2000–2020 period, with a concentration in ecological function zones such as the Qinling Mountains, Ziwuling, and Huanglongshan. Concurrently, coldspot areas also expanded. Future efforts should prioritize the protection of high-carbon-sink mountainous zones, strictly control the outward expansion of built-up land, and enhance carbon storage capacity in agricultural areas to support low-carbon development and spatial optimization in the GPUA. Full article
(This article belongs to the Section Land Use, Impact Assessment and Sustainability)
Show Figures

Figure 1

Back to TopTop