Confronting Land Surface Temperature and Ground Station Data for Urban Heat Island Assessment and Urban Building Energy Modeling—A Case Study for Northern Italy
Abstract
1. Introduction
Research Significance
2. Methods
2.1. Location Definition
2.2. Satellite Data Processing and UHI Characterization
2.3. Ground Stations’ Data Retrieval and Processing
2.4. Urban Building Energy Modeling Settings and Simulation
2.5. Representativeness and Sensitivity Metrics
3. Results and Discussion
3.1. Urban Heat Island Assessment: LST and Air Temperature
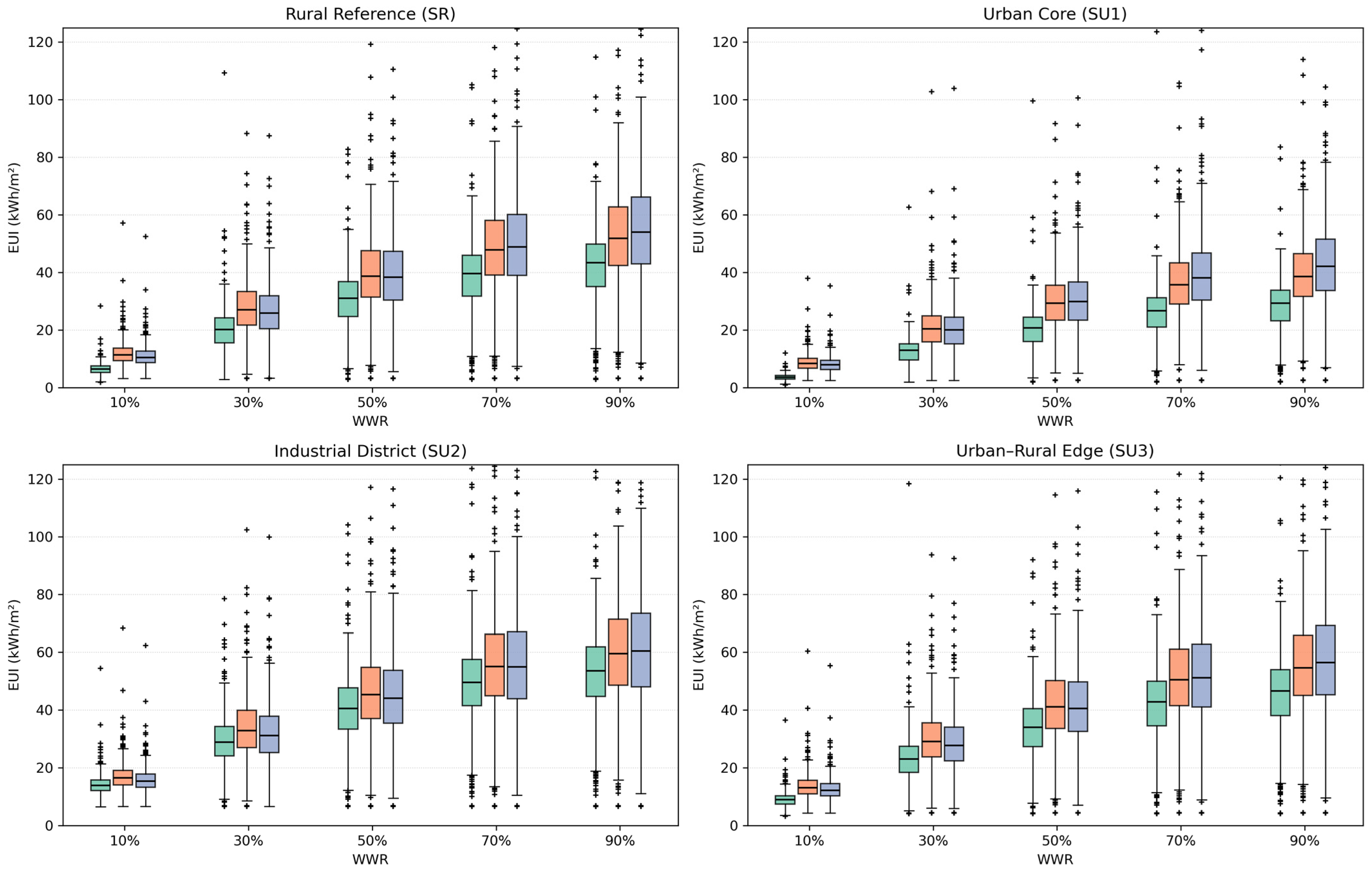
3.2. UBEM Analysis
4. Method Limitations, Scalability, and Research Outlook
4.1. Limitations and Future Studies
4.2. Scalability and Transferability
5. Conclusions
Author Contributions
Funding
Data Availability Statement
Conflicts of Interest
References
- European Environment Agency. Trends and Projections in Europe 2024; European Environment Agency: Copenhagen, Denmark, 2024. [Google Scholar]
- Kotlarski, S.; Gobiet, A.; Morin, S.; Olefs, M.; Rajczak, J.; Samacoïts, R. 21st Century Alpine Climate Change. Clim. Dyn. 2023, 60, 65–86. [Google Scholar] [CrossRef]
- Ciancio, V.; Salata, F.; Falasca, S.; Curci, G.; Golasi, I.; de Wilde, P. Energy Demands of Buildings in the Framework of Climate Change: An Investigation across Europe. Sustain. Cities Soc. 2020, 60, 102213. [Google Scholar] [CrossRef]
- Cattivelli, V. Macro-Regional Strategies, Climate Policies and Regional Climatic Governance in the Alps. Climate 2023, 11, 37. [Google Scholar] [CrossRef]
- Stewart, I.D.; Oke, T.R. Local Climate Zones for Urban Temperature Studies. Bull. Am. Meteorol. Soc. 2012, 93, 1879–1900. [Google Scholar] [CrossRef]
- Salvati, A.; Palme, M.; Inostroza, L. Key Parameters for Urban Heat Island Assessment in A Mediterranean Context: A Sensitivity Analysis Using the Urban Weather Generator Model. IOP Conf. Ser. Mater. Sci. Eng. 2017, 245, 082055. [Google Scholar] [CrossRef]
- Sismanidis, P.; Bechtel, B.; Perry, M.; Ghent, D. The Seasonality of Surface Urban Heat Islands across Climates. Remote Sens. 2022, 14, 2318. [Google Scholar] [CrossRef]
- Sadiq Khan, M.; Ullah, S.; Liding, C. Variations in Surface Urban Heat Island and Urban Cool Is-Land Intensity: A Review Across Major Climate Zones. Chin. Geogr. Sci. 2023, 33, 983–1000. [Google Scholar] [CrossRef]
- Hu, L.; Brunsell, N.A. The Impact of Temporal Aggregation of Land Surface Temperature Data for Surface Urban Heat Island (SUHI) Monitoring. Remote Sens. Environ. 2013, 134, 162–174. [Google Scholar] [CrossRef]
- Bokaie, M.; Zarkesh, M.K.; Arasteh, P.D.; Hosseini, A. Assessment of Urban Heat Island Based on the Relationship Between Land Surface Temperature and Land Use/Land Cover in Tehran. Sustain. Cities Soc. 2016, 23, 94–104. [Google Scholar] [CrossRef]
- Karakuş, C.B. The Impact of Land Use/Land Cover (LULC) Changes on Land Surface Temperature in Sivas City Center and Its Surroundings and Assessment of Urban Heat Island. Asia. Pac. J. Atmos. Sci. 2019, 55, 669–684. [Google Scholar] [CrossRef]
- Guo, G.; Wu, Z.; Xiao, R.; Chen, Y.; Liu, X.; Zhang, X. Impacts of Urban Biophysical Composition on Land Surface Temperature in Urban Heat Island Clusters. Landsc. Urban Plan. 2015, 135, 1–10. [Google Scholar] [CrossRef]
- Chang, Y.; Xiao, J.; Li, X.; Weng, Q. Monitoring Diurnal Dynamics of Surface Urban Heat Island for Urban Agglomerations Using ECOSTRESS Land Surface Temperature Observations. Sustain. Cities Soc. 2023, 98, 104833. [Google Scholar] [CrossRef]
- Wang, J.; Cui, X.; Zhao, F.; Huang, M.; Guo, Y.; Wang, Q.; Shao, B.; Tong, Y. ECOSTRESS-Based Analysis of Diurnal Urban Heat Island Intensity and Thermal Dynamics Across LCZ in Six Chinese Cities with Diverse Terrain and Elevation. IEEE J. Sel. Top. Appl. Earth Obs. Remote Sens. 2025, 18, 15236–15248. [Google Scholar] [CrossRef]
- Wei, L.; Sobrino, J.A. Surface Urban Heat Island Analysis Based on Local Climate Zones Using ECOSTRESS and Landsat Data: A Case Study of Valencia City (Spain). Int. J. Appl. Earth Obs. Geoinf. 2024, 130, 103875. [Google Scholar] [CrossRef]
- Pappaccogli, G.; Esposito, A.; Buccolieri, R. Summer Diurnal LST Variability Across Local Climate Zones Using ECOSTRESS Data in Lecce and Milan. Atmosphere 2025, 16, 377. [Google Scholar] [CrossRef]
- Morrison, W.; Grimmond, S.; Kotthaus, S. Simulating Satellite Urban Land Surface Temperatures: Sensitivity to Sensor View Angle and Assumed Landscape Complexity. Remote Sens. Environ. 2023, 293, 113579. [Google Scholar] [CrossRef]
- Xia, W.; Tariq, A.; El-Askary, H.; Aslam, R.W.; Barboza, E.; Kucher, D.E.; Youssef, Y.M.; Kraiem, H. Tackling Data Quality Challenges in Remote Sensing: Solutions for Reliable Urban Heat Island Analysis. IEEE J. Sel. Top. Appl. Earth Obs. Remote Sens. 2025, 18, 20117–20128. [Google Scholar] [CrossRef]
- Vallati, A.; Vollaro, A.D.L.; Golasi, I.; Barchiesi, E.; Caranese, C. On the Impact of Urban Micro Climate on the Energy Consumption of Buildings. Energy Procedia 2015, 82, 506–511. [Google Scholar] [CrossRef]
- Pisello, A.L.; Pignatta, G.; Castaldo, V.L.; Cotana, F. The Impact of Local Microclimate Boundary Conditions on Building Energy Performance. Sustainability 2015, 7, 9207–9230. [Google Scholar] [CrossRef]
- Li, X.; Zhou, Y.; Yu, S.; Jia, G.; Li, H.; Li, W. Urban Heat Island Impacts on Building Energy Consumption: A Review of Approaches and Findings. Energy 2019, 174, 407–419. [Google Scholar] [CrossRef]
- Boccalatte, A.; Fossa, M.; Gaillard, L.; Menezo, C. Microclimate and Urban Morphology Effects on Building Energy Demand in Different European Cities. Energy Build. 2020, 224, 110129. [Google Scholar] [CrossRef]
- Salvalai, G.; Zhu, Y.; Sesana, M.M. From Building Energy Modeling to Urban Building Energy Modeling: A Review of Recent Research Trend and Simulation Tools. Energy Build. 2024, 319, 114500. [Google Scholar] [CrossRef]
- Manapragada, N.V.S.K.; Natanian, J. Urban Microclimate and Energy Modeling: A Review of Integration Approaches. Sustainability 2025, 17, 3025. [Google Scholar] [CrossRef]
- Hong, T.; Chen, Y.; Luo, X.; Luo, N.; Lee, S.H. Ten Questions on Urban Building Energy Modeling. Build. Environ. 2020, 168, 106508. [Google Scholar] [CrossRef]
- He, L.; Geng, X.-W.; Huo, H.-Y.; Lian, Y.; Xi, Q.; Feng, W.; Tu, M.-C.; Leng, P. Simulation of Urban Thermal Environment Based on Urban Weather Generator: Narrative Review. Urban Sci. 2025, 9, 275. [Google Scholar] [CrossRef]
- Ren, Z. A Literature Review on the Use of Weather Data for Building Thermal Simulations. Energies 2025, 18, 3653. [Google Scholar] [CrossRef]
- Salvati, A.; Monti, P.; Coch Roura, H.; Cecere, C. Climatic Performance of Urban Textures: Analysis Tools for a Mediterranean Urban Context. Energy Build. 2019, 185, 162–179. [Google Scholar] [CrossRef]
- Joshi, M.Y.; Rodler, A.; Musy, M.; Guernouti, S.; Cools, M.; Teller, J. Identifying Urban Morphological Archetypes for Microclimate Studies Using a Clustering Approach. Build. Environ. 2022, 224, 109574. [Google Scholar] [CrossRef]
- Esposito, A.; Pappaccogli, G.; Donateo, A.; Salizzoni, P.; Maffeis, G.; Semeraro, T.; Santiago, J.L.; Buccolieri, R. Urban Morphology and Surface Urban Heat Island Relationship During Heat Waves: A Study of Milan and Lecce (Italy). Remote Sens. 2024, 16, 4496. [Google Scholar] [CrossRef]
- Statistical Office of the European Union (Eurostat). Energy Statistics—Cooling and Heating Degree Days; Statistical Office of the European Union (Eurostat): Luxembourg, 2021. [Google Scholar]
- Istituto Superiore per la Protezione e la Ricerca Ambientale (ISPRA)—Sezione Climatologia Operativa. Valori Climatici Normali in Italia; Istituto Superiore per la Protezione e la Ricerca Ambientale (ISPRA)—Sezione Climatologia Operativa: Rome, Italy, 2022. [Google Scholar]
- Hook, S.; Hulley, G. ECOSTRESS Swath Land Surface Temperature and Emissivity Instantaneous L2 Global 70 m V002 [Data Set]; NASA Land Processes Distributed Active Archive Center: Sioux Falls, SD, USA, 2022. [Google Scholar] [CrossRef]
- Mazzarino, P.R.; Finocchiaro, S.; Barbierato, L.; Schiera, D.S.; Bottaccioli, L.; Patti, E. An Automated Tool for Urban Building Energy Modelling: From Sparse Datasets to CityJSON. In Proceedings of the 2024 IEEE International Conference on Environment and Electrical Engineering and 2024 IEEE Industrial and Commercial Power Systems Europe (EEEIC/I&CPS Europe), Rome, Italy, 17–20 June 2024; pp. 1–7. [Google Scholar]
- Morales, R.D.; Audenaert, A.; Verbeke, S. Integrating CityJSON with Building Performance Simulation: A Case Study of Summer Indoor Overheating in Antwerp. In Proceedings of the 19th International Building Performance Simulation Association Conference, Brisbane, Australia, 24–27 August 2025. [Google Scholar]
- Provincia Autonoma di Bolzano Alto Adige MapView. Available online: https://mapview.civis.bz.it/ (accessed on 22 December 2025).
- Demuzere, M.; Kittner, J.; Martilli, A.; Mills, G.; Moede, C.; Stewart, I.D.; van Vliet, J.; Bechtel, B. A Global Map of Local Climate Zones to Support Earth System Modelling and Urban-Scale Environmental Science. Earth Syst. Sci. Data 2022, 14, 3835–3873. [Google Scholar] [CrossRef]
- ANSI/ASHRAE 140-2007; Method of Test for Evaluating Building Performance Simulation Software. American Society of Heating, Refrigerating and Air-Conditioning Engineers, Inc.: Peachtree Corners, GA, USA, 2007.
- EN 16798-1:2019; Energy Performance of Buildings—Ventilation for Buildings—Part 1: Indoor Environmental Input Parameters for Design and Assessment of Energy Performance of Buildings Addressing Indoor Air Quality, Thermal Environment, Lighting and Acoustics—Modules M1-6. European Committee for Standardization. European Committee for Standardization: Brussels, Belgium, 2019.
- EN 15193-1:2021; Energy Performance of Buildings—Energy Requirements for Lighting—Part 1: Specifications-–Module 9. European Committee for Standardization: Brussels, Belgium, 2021.
- DPP Nr. 6 Del 18.03.2025; Regolamento Di Esecuzione in Materia Di Prestazione Energetica Nell’edilizia, in Attuazione Della Direttiva (UE) 2024/1275, e Di Bonus Energia. Provincia Autonoma di Bolzano Alto Adige: Bolzano, Italy, 2025.
- ISO 7730:2025; Ergonomics of the Thermal Environment—Analytical Determination and Interpretation of Thermal Comfort Using Calculation of the PMV and PPD Indices and Local Thermal Comfort Criteria. International Organization for Standardization: Geneva, Switzerland, 2025.
- Nakagawa, S.; Schielzeth, H. A General and Simple Method for Obtaining R2 from Generalized Linear Mixed-Effects Models. Methods Ecol. Evol. 2013, 4, 133–142. [Google Scholar] [CrossRef]
- Richardson, J.T.E. Eta Squared and Partial Eta Squared as Measures of Effect Size in Educational Research. Educ. Res. Rev. 2011, 6, 135–147. [Google Scholar] [CrossRef]









| Building Envelope Surface | Non-Insulated | Well-Insulated | nZEB |
|---|---|---|---|
| Opaque | 1.05 W m−2 K−1 | 0.19 W m−2 K−1 | 0.19 W m−2 K−1 |
| Window | 3.12 W m−2 K−1 | 1.62 W m−2 K−1 | 1.06 W m−2 K−1 |
| Time of Day | Class | 2019 | 2020 | 2021 | 2022 | 2023 | 2024 | 2025 |
|---|---|---|---|---|---|---|---|---|
| 12 a.m. to 6 a.m. | Residential | −0.3 (±5.0) | −3.9 (±7.5) | 0.0 (±0.6) | 2.7 (±0.8) | −3.0 (±1.0) | 2.8 (±0.6) | 2.8 (±0.9) |
| Commercial | 1.3 (±3.2) | −3.8 (±6.6) | 0.3 (±0.4) | 3.1 (±0.9) | −3.0 (±1.1) | 2.6 (±0.6) | 2.4 (±1.5) | |
| Industrial | 2.0 (±0.4) | −2.1 (±4.5) | 0.5 (±0.3) | 3.7 (±0.5) | −3.3 (±0.8) | 2.6 (±0.5) | 2.9 (±1.3) | |
| Others | −0.4 (±5.2) | −3.7 (±7.6) | −0.0 (±0.7) | 2.7 (±0.9) | −2.9 (±1.1) | 2.7 (±0.7) | 2.6 (±1.2) | |
| 6 a.m. to 1 p.m. | Residential | 5.0 (±1.1) | 2.0 (±0.8) | 1.0 (±1.0) | 4.6 (±0.9) | 5.0 (±0.9) | 5.1 (±1.1) | 4.9 (±0.9) |
| Commercial | 5.9 (±1.1) | 2.6 (±1.0) | 1.7 (±0.9) | 5.0 (±0.8) | 6.0 (±1.2) | 5.5 (±1.3) | 5.7 (±0.9) | |
| Industrial | 7.0 (±1.4) | 3.6 (±0.6) | 2.8 (±0.9) | 5.5 (±0.8) | 7.1 (±0.9) | 6.7 (±1.3) | 6.6 (±0.6) | |
| Others | 5.0 (±1.1) | 2.0 (±0.9) | 1.0 (±0.9) | 4.6 (±0.9) | 5.0 (±0.9) | 4.9 (±1.3) | 4.9 (±0.9) | |
| 1 p.m. to 8 p.m. | Residential | 5.5 (±1.2) | 5.0 (±1.1) | 7.0 (±1.5) | 9.2 (±1.4) | 7.1 (±1.2) | 6.0 (±1.6) | 7.9 (±1.7) |
| Commercial | 6.7 (±1.3) | 6.7 (±1.5) | 8.6 (±1.9) | 10.5 (±1.4) | 8.5 (±1.7) | 7.1 (±1.7) | 9.7 (±2.2) | |
| Industrial | 7.9 (±1.1) | 8.0 (±0.9) | 10.3 (±1.7) | 11.7 (±1.2) | 9.8 (±1.1) | 7.7 (±2.1) | 11.7 (±1.3) | |
| Others | 5.6 (±1.2) | 5.2 (±1.2) | 7.1 (±1.5) | 9.3 (±1.4) | 7.2 (±1.2) | 6.2 (±1.5) | 8.0 (±1.7) | |
| 8 p.m. to 12 a.m. | Residential | 1.0 (±0.7) | - | −5.2 (±2.7) | - | −0.2 (±0.9) | - | - |
| Commercial | 1.4 (±0.7) | - | −2.9 (±3.2) | - | −0.3 (±1.0) | - | - | |
| Industrial | 1.7 (±0.5) | - | 0.3 (±0.6) | - | −0.1 (±0.8) | - | - | |
| Others | 1.0 (±0.8) | - | −4.9 (±2.7) | - | −0.3 (±1.0) | - | - |
| Variable | Metric | SR-SU1 | SR-SU2 | SR-SU3 | SU1-SU2 | SU1-SU3 | SU2-SU3 |
|---|---|---|---|---|---|---|---|
| Air Temperature (°C) | Mean (Std) | 0.2 (±1.5) | −2.3 (±1.4) | −0.9 (±1.2) | −2.5 (±0.7) | −1.1 (±0.9) | 1.5 (±0.8) |
| Minimum | −5.2 | −9.2 | −6.2 | −5.6 | −3.9 | −1.1 | |
| Maximum | 6.6 | 4.4 | 4.5 | −0.6 | 2.4 | 5.3 | |
| Relative Humidity (%) | Mean (Std) | 16.1 (±10.9) | 16.8 (±9.7) | 9.2 (±8.9) | 0.7 (±4.2) | −6.9 (±7) | −7.6 (±5.8) |
| Minimum | −28.7 | −27.6 | −27.4 | −22.7 | −36.8 | −30.3 | |
| Maximum | 51.7 | 54.5 | 49.2 | 21.9 | 10.2 | 8.9 | |
| Global Hor. Irradiation (Wh m−2 day−1) | Mean (Std) | −113.0 (±494.4) | 19.3 (±429) | −23.6 (±502.7) | 132.3 (±193.6) | 89.5 (±207.5) | −42.8 (±212.6) |
| Minimum | −1577 | −1388 | −1747 | −316 | −512 | −564 | |
| Maximum | 1879 | 1736 | 2015 | 763 | 670 | 665 |
| Period | ΔTa (°C), Mean (±std) | ΔRH (pp), Mean (±std) | ΔEUI (kWh m−2), Median (IQR) |
|---|---|---|---|
| Night | −1.2 (±1.4) | 26.2 (±9.6) | 0.07 (0.00–0.16) |
| Morning | 0.5 (±0.5) | 14.8 (±3.9) | 1.94 (0.47–3.67) |
| Afternoon | 1.4 (±0.6) | 8.6 (±4.4) | 4.76 (2.25–6.74) |
| Evening | 0.1 (±0.9) | 14.7 (±8.1) | 1.43 (0.79–2.02) |
| Total | — | — | 8.26 (3.69–12.48) |
| Fixed Effect | EUI | PMV | η2 (EUI) | η2 (PMV) |
|---|---|---|---|---|
| Envelope | *** | *** | small | large |
| Weather Station | *** | *** | small | medium |
| WWR | *** | *** | large | medium |
| Envelope × WWR | *** | *** | small | medium |
| Random Effect (Group) | ✓ | ✓ | - | - |
| Marginal R2 | 0.58 | 0.75 | - | - |
| Conditional R2 | 0.90 | 0.88 | - | - |
| Pair | Hourly PMV | Sub-Daily PMV | Daily PMV |
|---|---|---|---|
| SU1–SU2 | 0.2 (0.2–0.4) | 0.2–0.3 | 0.2 (0.2–0.3) |
| SU1–SU3 | 0.2 (0.1–0.2) | 0.1–0.2 | 0.2 (0.1–0.2) |
| SU2–SU3 | 0.1 (0.1–0.1) | 0.1–0.1 | 0.1 (0.0–0.1) |
| Metric | Aggregation | Pearson r | Spearman ρ |
|---|---|---|---|
| EUI | Hourly | 0.05 | 0.01 |
| Daily | 0.05 | 0.02 | |
| PMV | Hourly | 0.14 | 0.12 |
| Daily | 0.16 | 0.13 |
Disclaimer/Publisher’s Note: The statements, opinions and data contained in all publications are solely those of the individual author(s) and contributor(s) and not of MDPI and/or the editor(s). MDPI and/or the editor(s) disclaim responsibility for any injury to people or property resulting from any ideas, methods, instructions or products referred to in the content. |
© 2026 by the authors. Licensee MDPI, Basel, Switzerland. This article is an open access article distributed under the terms and conditions of the Creative Commons Attribution (CC BY) license.
Share and Cite
da Silva, M.A.; Borelli, G.; Gasparella, A.; Pernigotto, G. Confronting Land Surface Temperature and Ground Station Data for Urban Heat Island Assessment and Urban Building Energy Modeling—A Case Study for Northern Italy. Energies 2026, 19, 724. https://doi.org/10.3390/en19030724
da Silva MA, Borelli G, Gasparella A, Pernigotto G. Confronting Land Surface Temperature and Ground Station Data for Urban Heat Island Assessment and Urban Building Energy Modeling—A Case Study for Northern Italy. Energies. 2026; 19(3):724. https://doi.org/10.3390/en19030724
Chicago/Turabian Styleda Silva, Mario Alves, Gregorio Borelli, Andrea Gasparella, and Giovanni Pernigotto. 2026. "Confronting Land Surface Temperature and Ground Station Data for Urban Heat Island Assessment and Urban Building Energy Modeling—A Case Study for Northern Italy" Energies 19, no. 3: 724. https://doi.org/10.3390/en19030724
APA Styleda Silva, M. A., Borelli, G., Gasparella, A., & Pernigotto, G. (2026). Confronting Land Surface Temperature and Ground Station Data for Urban Heat Island Assessment and Urban Building Energy Modeling—A Case Study for Northern Italy. Energies, 19(3), 724. https://doi.org/10.3390/en19030724

