Sign in to use this feature.

Years

Between: -

Subjects

remove_circle_outline
remove_circle_outline
remove_circle_outline
remove_circle_outline
remove_circle_outline
remove_circle_outline
remove_circle_outline
remove_circle_outline
remove_circle_outline

Journals

Article Types

Countries / Regions

Search Results (117)

Search Parameters:
Keywords = micromodel

Order results
Result details
Results per page
Select all
Export citation of selected articles as:
27 pages, 10336 KB  
Article
Three-Dimensional Porous Media Design and Validation for Fluid Flow Applications in Hydrocarbon Reservoirs
by Omer A. Omer, Khaled S. Al-Salem and Zeyad Almutairi
Micromachines 2026, 17(4), 430; https://doi.org/10.3390/mi17040430 - 31 Mar 2026
Viewed by 411
Abstract
This study introduces a computational method for designing realistic, geometrically controlled three-dimensional (3-D) micromodels of porous media to investigate fluid flow in hydrocarbon reservoirs. The methodology utilizes a virtual framework of cubes where an arbitrary, continuous 3-D pore network is generated via two-dimensional [...] Read more.
This study introduces a computational method for designing realistic, geometrically controlled three-dimensional (3-D) micromodels of porous media to investigate fluid flow in hydrocarbon reservoirs. The methodology utilizes a virtual framework of cubes where an arbitrary, continuous 3-D pore network is generated via two-dimensional (2-D) sketches. A key strength of this deterministic, cube-by-cube approach is the ability to independently control porosity and permeability by adjusting channel size and connectivity, facilitating the systematic study of spatial heterogeneity. Six digital models were developed with porosities ranging from 18.4% to 44.4%. Unlike traditional stochastic algorithms, this explicit geometric control enabled the accurate extraction of pore volume distributions and the establishment of a robust power-law relationship between localized porosity and specific surface area. Statistical analysis confirmed a linear correlation between porosity and pore dimensions. While focusing on design and validation, these models are 3-D printable and provide exact boundary conditions for CFD simulations. Single-phase simulations confirmed the capability to decouple absolute permeability from porosity. Consequently, this framework bridges the gap between numerical simulations and physical laboratory experiments to optimize Enhanced Oil Recovery (EOR) processes. Full article
Show Figures

Figure 1

26 pages, 9769 KB  
Article
Numerical Investigation of Masonry Walls Using Mega-Interlocking Concrete Blocks
by Antoon Labib, Bowen Zeng, Carlos Cruz-Noguez and Yong Li
Modelling 2026, 7(2), 66; https://doi.org/10.3390/modelling7020066 - 29 Mar 2026
Viewed by 367
Abstract
Conventional concrete masonry construction consists of an assemblage of concrete blocks, mortar, grout, and steel reinforcement. While effective, this constructive method is constrained by its low productivity. In recent decades, advances in construction and manufacturing technologies now allow for the production of larger [...] Read more.
Conventional concrete masonry construction consists of an assemblage of concrete blocks, mortar, grout, and steel reinforcement. While effective, this constructive method is constrained by its low productivity. In recent decades, advances in construction and manufacturing technologies now allow for the production of larger and more complex block typologies, enabling designers to reassess conventional designs to optimize structural performance and construction efficiency. As such, this study introduces the “mega-interlocking block”, a novel block that integrates the benefits of mega blocks (i.e., blocks with larger sizes) with a newly designed interlocking mechanism to enhance structural performance and expedite the construction of masonry walls in work sites where forklifts, scissor lifts and other smaller crane equipment are available. A numerical study was conducted to evaluate the in-plane (IP) and out-of-plane (OOP) behaviors of masonry walls constructed with mega-interlocking blocks, including both unreinforced masonry (URM) and reinforced masonry (RM) configurations, compared to standard block walls. A simplified micro-modeling approach was utilized to account for various possible failure modes associated with masonry structures. Results indicate that mega-interlocking blocks significantly improve wall stiffness and load-bearing capacity under IP loading, both with and without mortar, outperforming standard block walls. Under OOP loading, interlocking blocks provide moderate performance gains when mortar is present, though their effectiveness diminishes in mortarless configurations. For URM walls under IP loading, the implementation of mega-interlocking blocks yielded substantial improvements in stiffness and capacity, with the most notable benefits observed in walls with larger aspect ratios. Although the relative advantages in RM walls were less pronounced due to the homogenizing effects of grout and reinforcement, mega-interlocking blocks still demonstrated robust structural performance, making them a promising alternative to standard masonry units. Full article
(This article belongs to the Section Modelling in Engineering Structures)
Show Figures

Figure 1

21 pages, 6942 KB  
Article
The Synergistic Impacts of Wormhole Length and Pressure-Depletion Rate on Cyclic Solvent Injection: An Experimental Study Utilizing Microfluidic Systems
by Sepideh Palizdan, Farshid Torabi, Ali Cheperli and Seyed Hossein Hashemi
Processes 2026, 14(6), 912; https://doi.org/10.3390/pr14060912 - 12 Mar 2026
Viewed by 344
Abstract
Cold Heavy Oil Production with Sands (CHOPS) creates high-permeability wormhole networks that strongly influence post-CHOPS recovery performance. Although CSI is a promising post-CHOPS recovery method, the coupled effects of wormhole coverage and pressure depletion strategy on oil recovery remain insufficiently understood. In this [...] Read more.
Cold Heavy Oil Production with Sands (CHOPS) creates high-permeability wormhole networks that strongly influence post-CHOPS recovery performance. Although CSI is a promising post-CHOPS recovery method, the coupled effects of wormhole coverage and pressure depletion strategy on oil recovery remain insufficiently understood. In this study, microfluidic systems were employed to investigate the combined influence of wormhole length and pressure depletion strategy on CSI performance. Micromodels with varying wormhole lengths were used under different pressure-depletion strategies to examine oil production behavior over multiple CSI cycles. Macroscopic recovery trends were analyzed alongside microscopic observations of oil displacement, gas nucleation, and foamy oil development. The results show that increasing wormhole length enhances reservoir connectivity and solvent access, resulting in a 19% improvement in the total recovery factor by 19%. Lower depletion rates favor early cycles and capillary-driven recovery, whereas higher depletion rates become more effective in later cycles as gas expansion and foamy oil-assisted mechanisms intensify. An incremental pressure-depletion strategy that exploits this transition yielded the highest cumulative recovery rate at 46.3%. These findings show that wormholes amplify the impact of pressure depletion rate during CSI by enhancing reservoir connectivity and pressure communication, thereby increasing the effectiveness of adaptive depletion strategies in post-CHOPS reservoirs. Full article
(This article belongs to the Special Issue Advances in Enhancing Unconventional Oil/Gas Recovery, 3rd Edition)
Show Figures

Figure 1

27 pages, 6051 KB  
Article
Enhancing Structural Resilience: Numerical Modeling of Steel Frames Filled with Concrete Block Masonry Under Cyclic Loads
by Rodrigo Felipe Santos, José Carlos Lopes Ribeiro, Roberto Márcio da Silva, Leonardo Gonçalves Pedroti, Alba Bruna Cintra de Grandi, Ruan Richelly Santos, Ariel Miranda de Souza and José Maria Franco de Carvalho
Buildings 2026, 16(4), 784; https://doi.org/10.3390/buildings16040784 - 14 Feb 2026
Viewed by 282
Abstract
This article presents numerical models for unbraced steel frames filled with structural masonry under cyclic loads, offering insights into their behavior and design potential. Using simplified micro-modeling in ABAQUS with the Concrete Damage Plasticity (CDP) model, the study accurately represents masonry interactions and [...] Read more.
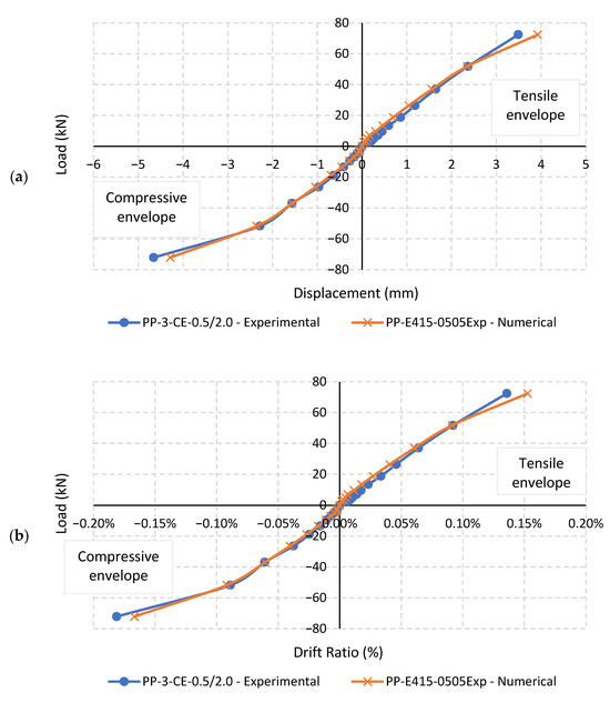
This article presents numerical models for unbraced steel frames filled with structural masonry under cyclic loads, offering insights into their behavior and design potential. Using simplified micro-modeling in ABAQUS with the Concrete Damage Plasticity (CDP) model, the study accurately represents masonry interactions and shows strong agreement with experimental data (R2 = 0.977). Results indicate that the fracture energy of laying joints and the friction coefficient between masonry and steel frames critically influence displacement, collapse mechanisms, and overall stiffness. Key findings reveal that the masonry infill increases frame stiffness by approximately ten times compared to the empty frame, reducing lateral deformations to less than 0.17% of the drift ratio. Masonry infills significantly enhance frame rigidity, acting as efficient bracing elements and reducing deformations, which is particularly valuable for seismic-resistant design. The research confirms the reliability of the CDP model for complex masonry behavior, validates simplified approaches for reduced computational cost, and highlights the need to incorporate friction effects in simulations. These findings provide a basis for future technical standards and offer practical strategies for engineers working with composite steel–masonry systems. Full article
(This article belongs to the Section Building Structures)
Show Figures

Figure 1

16 pages, 8036 KB  
Article
Integrated Multi-Scale Risk Assessment of Reservoir Bank Collapse: A Case Study of Xiluodu Reservoir, China
by Xiaodong Wang, Zihan Wang, Hongjian Liu and Yunchang Liang
Appl. Sci. 2026, 16(3), 1304; https://doi.org/10.3390/app16031304 - 27 Jan 2026
Viewed by 315
Abstract
Reservoir bank collapse is a critical geological hazard during the operation of large-scale water conservancy projects, controlled by unique hydrodynamic mechanisms induced by reservoir impoundment, and differs significantly from ordinary landslides. Traditional risk assessment methods, however, often struggle to achieve effective integration between [...] Read more.
Reservoir bank collapse is a critical geological hazard during the operation of large-scale water conservancy projects, controlled by unique hydrodynamic mechanisms induced by reservoir impoundment, and differs significantly from ordinary landslides. Traditional risk assessment methods, however, often struggle to achieve effective integration between macro-regional zoning and micro-mechanical analysis. Against this limitation, this study proposes a GIS-integrated multi-scale risk screening framework to achieve the preliminary integration of qualitative regional evaluation and quantitative site-specific analysis. Compared with traditional multi-scale studies, the innovations of this research are as follows: (1) a customized GIS component was developed to realize semi-automatic profile extraction from high-resolution DEMs and batch Bishop stability calculations, overcoming the bottleneck of spatializing micro-models over large areas; (2) a “bottom-up” dynamic feedback mechanism was established, utilizing the quantitative safety factor from site-specific evaluations as an explicit indicator for the conservative screening correction of the macro-regional risk map. Applied to the Xiluodu Reservoir, this framework illustrates a potential multi-scale approach for cross-scale risk screening driven by physical–mechanical mechanisms. This provides both a global perspective and a localized physical basis, offering a strategic screening tool for reservoir management. By linking failure mechanisms directly to spatial impacts, the framework provides a plausible conservative feedback rule for risk-informed decision-making in complex reservoir settings. Full article
Show Figures

Figure 1

24 pages, 3151 KB  
Article
Sustainable Mixed-Traffic Micro-Modeling in Intelligent Connected Environments: Construction and Simulation Analysis
by Yang Zhao, Xiaoqiang Zhang, Haoxing Zhang, Xue Lei, Jianjun Wang and Mei Xiao
Sustainability 2026, 18(2), 960; https://doi.org/10.3390/su18020960 - 17 Jan 2026
Viewed by 387
Abstract
Sustainable urban mobility necessitates traffic regimes that enhance operational efficiency and improve traffic safety and flow stability; the rise in intelligent connected vehicles (ICVs) provides a salient mechanism to meet this imperative. This paper aims to investigate the mixed traffic flow characteristics in [...] Read more.
Sustainable urban mobility necessitates traffic regimes that enhance operational efficiency and improve traffic safety and flow stability; the rise in intelligent connected vehicles (ICVs) provides a salient mechanism to meet this imperative. This paper aims to investigate the mixed traffic flow characteristics in an intelligent connected environment, using one-way single-lane, double-lane, and three-lane straight highways as modeling objects. Combining the different driving characteristics of human-driven vehicles (HDVs) and ICVs, a single-lane mixed traffic flow model and a multi-lane mixed traffic flow model are established based on the intelligent driver model (IDM) and flexible symmetric two-lane cellular automata model (FSTCAM). The mixed traffic flow in the intelligent connected environment is then simulated using MATLAB R2021a. The research results indicate that the integration of ICVs can improve the speed, flow, and critical density of traffic flow. The increase in the proportion of ICVs can reduce the congestion ratio and speed difference between front and rear vehicles at the same density. As the proportion of ICVs increases, the frequency of lane-changing for HDVs gradually increases, while the frequency of lane-changing for ICVs gradually decreases. The overall lane-changing frequency shows a trend of first increasing and then decreasing. In addition, with the continuous infiltration of ICVs, the area of road congestion gradually decreases, and congestion is significantly alleviated. The speed fluctuation of following vehicles gradually decreases. When the infiltration rate reaches a high level, vehicles travel at a stable speed and remain in a relatively steady state. The findings substantiate the potential of ICV-enabled operations to advance efficiency-oriented and stability-enhancing urban mobility and to inform evidence-based traffic management and policy design. Full article
Show Figures

Figure 1

29 pages, 8024 KB  
Article
Numerical Study of the Out-of-Plane Response of Dry-Stack Double-Wythe Brick Walls with Header Bricks
by Fırat Kıpçak
Buildings 2025, 15(23), 4342; https://doi.org/10.3390/buildings15234342 - 28 Nov 2025
Viewed by 671
Abstract
Walls in masonry structures exhibit sensitive behavior under out-of-plane displacements. Although numerous studies address in-plane behavior, research focusing on out-of-plane response remains limited. The performance of masonry walls is influenced by several factors, including material characteristics, construction defects, mortar quality, support conditions, wall [...] Read more.
Walls in masonry structures exhibit sensitive behavior under out-of-plane displacements. Although numerous studies address in-plane behavior, research focusing on out-of-plane response remains limited. The performance of masonry walls is influenced by several factors, including material characteristics, construction defects, mortar quality, support conditions, wall slenderness, and the properties of openings. Because of those parameters, detailed experimental and numerical studies are required to understand the behavior. Double- or multi-wythe masonry is commonly used, and header (or through) bricks are often placed to ensure interlocking between the wythes. The number and arrangement of the header bricks directly influence the wall behavior. Particularly after recent earthquakes, significant damage has been observed in multi-wythe walls, and the role of header bricks in wall performance is not yet fully understood. This study investigates the out-of-plane behavior of double-wythe, two-sided brick walls, in which header bricks are used only in the out-of-plane direction. Numerical analyses were performed on eight different wall models. In these models, header bricks with varying quantities and arrangements were placed perpendicular to the wythes. Lateral load analyses were conducted using the finite element method and micro-modeling technique implemented in ABAQUS software (Version 2022). Two models were validated using the referenced experimental results. The findings indicate that all walls that incorporate header brick exhibit higher lateral capacities. When compared to the reference wall model, the load-to-weight ratio increased with the increase in the number of header bricks. The lateral capacity ratio increased by factors of 1.29, 1.50, 1.68, and 1.81 in walls containing one, two, three, and four vertical rows of header bricks, respectively. When the header bricks were distributed uniformly throughout the wall, the capacity increased by a factor of 1.61. These results demonstrate that the header brick pattern also affects the wall capacity. Additionally, the presence of header bricks directly influences the failure mechanism of the wall. Full article
(This article belongs to the Section Building Materials, and Repair & Renovation)
Show Figures

Figure 1

13 pages, 2781 KB  
Article
Displacement Efficiency Under Pulsatile Injection: The Roles of Frequency, Amplitude, and Porosity
by Darezhat Bolysbek, Alibek Kuljabekov, Kenbai Uzbekaliyev and Zhumabek Zhantayev
Processes 2025, 13(11), 3553; https://doi.org/10.3390/pr13113553 - 4 Nov 2025
Viewed by 640
Abstract
This study investigates how pulsatile injection influences two-phase displacement efficiency in a pore-scale micromodel, with emphasis on the roles of porosity, amplitude, and frequency. Simulations were performed using a conservative level-set formulation in COMSOL Multiphysics across three porosity levels (φ ≈ 0.75, 0.50, [...] Read more.
This study investigates how pulsatile injection influences two-phase displacement efficiency in a pore-scale micromodel, with emphasis on the roles of porosity, amplitude, and frequency. Simulations were performed using a conservative level-set formulation in COMSOL Multiphysics across three porosity levels (φ ≈ 0.75, 0.50, 0.30) and a range of amplitudes (25–75%) and frequencies (0–200 Hz), with fixed fluid properties and wettability. In the baseline (non-pulsed) regime, residual saturation decreased with increasing inlet velocity but reached a plateau, indicating a velocity-limited mobilization. Superimposing sinusoidal pulsations led to improved displacement only within finite frequency bands. For each porosity, a “working window” emerged, where residual saturation reached a minimum: this optimum shifted toward lower frequencies and higher amplitudes with decreasing φ. These trends were quantified using the normalized residual saturation Sres/Sref and linked to the dimensionless Strouhal number St, defined via the capillary time scale. Phase maps and velocity fields confirmed that at optimal conditions, pulsations activated transverse throats and suppressed capillary bridges, while excessive frequencies led to inefficient re-entrapment. A fixed observation time was used to enable consistent comparison across regimes. The findings delineate the parameter ranges under which pulsations yield tangible benefit and suggest practical guidance for tuning flow modulation based on pore structure. Full article
(This article belongs to the Section Automation Control Systems)
Show Figures

Figure 1

23 pages, 8290 KB  
Article
Experimental and Numerical Investigation of Fines Migration Mechanisms in Porous Media: Implications for Marine Gas Hydrate Production
by Shuang Cindy Cao, Mengzhen Cao, Yanli Yuan, Jongwon Jung and Xiaoshuang Li
J. Mar. Sci. Eng. 2025, 13(10), 2002; https://doi.org/10.3390/jmse13102002 - 18 Oct 2025
Cited by 2 | Viewed by 1059
Abstract
Fines migration and clogging in porous media have significant implications for engineering applications. For example, during the extraction of marine gas hydrates, fines migration can lead to pore clogging and reduced permeability. This study combines micromodel experiments with DEM-CFD simulations to investigate the [...] Read more.
Fines migration and clogging in porous media have significant implications for engineering applications. For example, during the extraction of marine gas hydrates, fines migration can lead to pore clogging and reduced permeability. This study combines micromodel experiments with DEM-CFD simulations to investigate the effects of fine type (latex/mica), fine shape (spherical/flake), pore size (50 to 700 μm), and pore fluid composition (DW/brine) on fines migration, fine clogging behavior, and the evolution of host sediment porosity. Experiments demonstrate that clogging is geometrically influenced by the relationship between pore size and fines dimensions. Even when the size of fines (mica) is smaller than the pore throat size, their aggregates can still lead to clogging at very low concentrations (0.1–0.2%). The aggregate size of irregular mica is affected by changes in pore fluid properties, which may occur due to the freshening of pore water during hydrate dissociation. Furthermore, a moving gas/liquid interface concentrates fines, thereby increasing the risk of pore clogging. Simulations further reveal that fines migration causes dynamic changes in porosity, which requires a comprehensive consideration of the coupled effects of fine type, fluid velocity, pore size, and fluid chemistry. This study elucidates the microscopic mechanisms and quantifies the macroscopic effects of fines migration behavior in porous media, providing a theoretical foundation for further research. Full article
(This article belongs to the Section Geological Oceanography)
Show Figures

Figure 1

26 pages, 8981 KB  
Article
Insights into Foamy Oil Phenomenon in Porous Media: Experimental and Numerical Investigation
by Morteza Sabeti, Farshid Torabi and Ali Cheperli
Processes 2025, 13(10), 3067; https://doi.org/10.3390/pr13103067 - 25 Sep 2025
Viewed by 818
Abstract
Cyclic Solvent Injection (CSI) is a method for enhanced heavy oil recovery, offering a reduced environmental impact. CSI processes typically involve fluid flow through both wormholes and the surrounding porous media in reservoirs. Therefore, understanding how foamy oil behavior differs between bulk phases [...] Read more.
Cyclic Solvent Injection (CSI) is a method for enhanced heavy oil recovery, offering a reduced environmental impact. CSI processes typically involve fluid flow through both wormholes and the surrounding porous media in reservoirs. Therefore, understanding how foamy oil behavior differs between bulk phases and porous media is crucial for optimizing CSI operations. However, despite CSI’s advantages, limited research has explained why foamy oil, a key mechanism in CSI, displays weaker strength and stability in bulk phases than in porous media. To address this gap, three advanced visual micromodels were employed to monitor bubble behavior from nucleation through collapse under varying porosity with a constant pressure reduction. A sandpack depletion test in a large cylindrical model further validated the non-equilibrium bubble-reaction kinetics observed in the micromodels. Experiments showed that, under equivalent operating conditions, bubble nucleation in porous media required less energy and initiated more rapidly than in a bulk phase. Micromodels with lower porosity demonstrated up to a 2.5-fold increase in foamy oil volume expansion and higher bubble stability. Moreover, oil production in the sandpack declined sharply at pressures below 1800 kPa, indicating the onset of critical gas saturation, and yielded a maximum recovery of 37% of the original oil in place. These findings suggest that maintaining reservoir pressure above critical gas saturation pressure enhances oil recovery performance during CSI operations. Full article
(This article belongs to the Special Issue Recent Developments in Enhanced Oil Recovery (EOR) Processes)
Show Figures

Graphical abstract

14 pages, 2489 KB  
Article
Ethoxylation-Dependent Self-Assembly Behavior and Enhanced Oil Recovery Performance of P(AA-AAEOn) Amphiphilic Copolymers
by Xiqiu Wang, Shixiu Wang, Kaitao Xin, Guangyu Wang, Liping Pan, Yannan Ji and Weiping Lu
Polymers 2025, 17(17), 2269; https://doi.org/10.3390/polym17172269 - 22 Aug 2025
Viewed by 958
Abstract
This study examined a novel ethoxy-segment-regulated hydrophobic associative amphiphilic copolymer, P(AA-AAEOn), and systematically evaluated its solution self-assembly behavior and enhanced oil recovery (EOR) performance. The influence of ethylene oxide (EO) chain length and polymer concentration on particle size distribution and aggregation [...] Read more.
This study examined a novel ethoxy-segment-regulated hydrophobic associative amphiphilic copolymer, P(AA-AAEOn), and systematically evaluated its solution self-assembly behavior and enhanced oil recovery (EOR) performance. The influence of ethylene oxide (EO) chain length and polymer concentration on particle size distribution and aggregation morphology was analyzed using dynamic light scattering (DLS). The results revealed a concentration-dependent transition from intramolecular to intermolecular association, accompanied by a characteristic decrease followed by an increase in hydrodynamic diameter. At a fixed AA:AAEOn molar ratio (400:1), increasing EO segment length increased aggregate size and improved colloidal stability. Viscometric analysis showed that longer EO chains markedly increased molecular chain flexibility and solution viscosity. Interfacial tension measurements demonstrated superior interfacial activity of P(AA-AAEOn) compared to polyacrylic acid (PAA), and longer EO chains further reduced oil–water interfacial tension. Emulsification tests verified its strong ability to emulsify crude oil. Sandpack flooding experiments and micromodel studies demonstrated effective conformance control and high displacement efficiency, achieving up to 30.65% incremental oil recovery. These findings offered essential insights for designing hydrophobic associative polymers with tunable interfacial properties for EOR applications. Full article
(This article belongs to the Section Polymer Applications)
Show Figures

Figure 1

16 pages, 2704 KB  
Article
Shear Capacity of Masonry Walls Externally Strengthened via Reinforced Khorasan Jacketing
by Cagri Mollamahmutoglu, Mehdi Ozturk and Mehmet Ozan Yilmaz
Buildings 2025, 15(13), 2177; https://doi.org/10.3390/buildings15132177 - 22 Jun 2025
Cited by 1 | Viewed by 1606
Abstract
This study investigates the in-plane shear behavior of solid brick masonry walls, both unreinforced and retrofitted using Reinforced Khorasan Jacketing (RHJ), a traditional pozzolanic mortar technique rooted in Iranian and Ottoman architecture. Six one-block-thick English bond masonry walls were tested in three configurations: [...] Read more.
This study investigates the in-plane shear behavior of solid brick masonry walls, both unreinforced and retrofitted using Reinforced Khorasan Jacketing (RHJ), a traditional pozzolanic mortar technique rooted in Iranian and Ottoman architecture. Six one-block-thick English bond masonry walls were tested in three configurations: unreinforced with Horasan plaster (Group I), reinforced with steel mesh aligned to wall edges (Group II), and reinforced with mesh aligned diagonally (Group III). All the walls were plastered with 3.5 cm of Horasan mortar and tested after 18 months using diagonal compression, with load-displacement data recorded. A detailed 3D micro-modeling approach was employed in finite element simulations, with bricks and mortar modeled separately. The Horasan mortar was represented using an elastoplastic Mohr-Coulomb model with a custom softening law (parabolic-to-exponential), calibrated via inverse parameter fitting using the Nelder-Mead algorithm. The numerical predictions closely matched the experimental data. Reinforcement improved the shear strength significantly: Group II showed a 1.8 times increase, and Group III up to 2.7 times. Ductility, measured as post-peak deformation capacity, increased by factors of two (parallel) and three (diagonal). These enhancements transformed the brittle failure mode into a more ductile, energy-absorbing behavior. RHJ is shown to be a compatible, effective retrofit solution for historic masonry structures. Full article
(This article belongs to the Section Building Structures)
Show Figures

Figure 1

19 pages, 4332 KB  
Article
Numerical Simulation and Experimental Validation of Masonry Walls Strengthened with Stiff-Type Polyurea Under Seismic Loads
by Tae-Hee Lee, Jong-Wook Kim, Sangwon Lee and Jang-Ho Jay Kim
Appl. Sci. 2025, 15(12), 6912; https://doi.org/10.3390/app15126912 - 19 Jun 2025
Viewed by 1201
Abstract
The deterioration of aging masonry structures poses significant challenges to structural safety, particularly under seismic loading. In response to the growing need for effective retrofitting solutions, stiff-type polyurea (STPU) has emerged as a promising material due to its high tensile strength, durability, and [...] Read more.
The deterioration of aging masonry structures poses significant challenges to structural safety, particularly under seismic loading. In response to the growing need for effective retrofitting solutions, stiff-type polyurea (STPU) has emerged as a promising material due to its high tensile strength, durability, and rapid application characteristics. This study investigates the seismic performance of masonry walls retrofitted with STPU through both shaking table tests and finite element analysis (FEA). Three types of specimens (non-strengthened, STPU-strengthened, and STPU + GFRP-strengthened walls) were subjected to out-of-plane seismic loading with additional mass loading to simulate real-world conditions. Experimental results demonstrated that STPU significantly improved the ductility and seismic resistance of masonry walls, with the STPU + GFRP hybrid system showing the highest performance. A simplified micro-model using ABAQUS successfully captured the primary failure modes and load-bearing behavior observed in the experiments. Furthermore, a parametric study on STPU thickness identified 2 mm as the most efficient thickness considering both strengthening effect and material economy. These findings confirm the effectiveness of STPU as a retrofitting material and demonstrate the reliability of the proposed numerical modeling approach in predicting the seismic response of retrofitted masonry structures. Full article
(This article belongs to the Special Issue Simplified Seismic Analysis of Complex Civil Structures)
Show Figures

Figure 1

22 pages, 7805 KB  
Article
Intelligent Prediction of Water-CO2 Relative Permeability in Heterogeneous Porous Media Towards Carbon Sequestration in Saline Aquifers
by Jiulong Wang, Junming Lao, Xiaotian Luo, Yiyang Zhou and Hongqing Song
Water 2025, 17(11), 1598; https://doi.org/10.3390/w17111598 - 25 May 2025
Cited by 3 | Viewed by 1389
Abstract
Relative permeability is a critical parameter governing multiphase fluid flow through porous media, significantly impacting recovery efficiency and CO2 sequestration potential in geological reservoirs. Accurately evaluating relative permeability in heterogeneous reservoirs remains challenging due to spatially variable porosity and permeability distributions. This [...] Read more.
Relative permeability is a critical parameter governing multiphase fluid flow through porous media, significantly impacting recovery efficiency and CO2 sequestration potential in geological reservoirs. Accurately evaluating relative permeability in heterogeneous reservoirs remains challenging due to spatially variable porosity and permeability distributions. This study presents a novel intelligent prediction approach for evaluating water-CO2 relative permeability in heterogeneous porous media by integrating fluid properties, heterogeneity characteristics, and relative permeability measurements from uniform porous media. We established a comprehensive training dataset through systematic micromodel experiments that captured various heterogeneity patterns and fluid conditions. Using this dataset, we developed an Artificial Neural Network (ANN) model that achieved exceptional accuracy with a Mean Squared Error below 0.0025. The model was then applied to predict relative permeability in heterogeneous reservoirs using site-specific relative permeability data obtained from core experiments as input parameters. To validate our approach, we incorporated the predicted relative permeability values into Computer Modelling Group (CMG) reservoir simulations of CO2 sequestration in saline aquifers. The simulation results demonstrated strong agreement with published literature, confirming the model’s predictive capability. This work provides a practical, efficient, and reliable methodology for predicting relative permeability in heterogeneous reservoirs, addressing a significant challenge in reservoir characterization and flow modeling. Full article
(This article belongs to the Special Issue Water, Geohazards, and Artificial Intelligence, 2nd Edition)
Show Figures

Figure 1

27 pages, 8076 KB  
Article
Micro-Modeling of Polymer–Masonry Wall Composites Under In-Plane Loading
by Houria Hernoune, Younes Ouldkhaoua, Benchaa Benabed, Rajab Abousnina, Vanissorn Vimonsatit, Ali Mohammed and Allan Manalo
J. Compos. Sci. 2025, 9(4), 179; https://doi.org/10.3390/jcs9040179 - 7 Apr 2025
Viewed by 2132
Abstract
Fiber-reinforced polymers (FRPs) are effective for strengthening masonry walls. Debonding at the polymer–masonry interface is a major concern, requiring further investigation into interface behavior. This study utilizes detailed micro-modeling finite element (FE) analysis to predict failure mechanisms and analyze the behavior of brick [...] Read more.
Fiber-reinforced polymers (FRPs) are effective for strengthening masonry walls. Debonding at the polymer–masonry interface is a major concern, requiring further investigation into interface behavior. This study utilizes detailed micro-modeling finite element (FE) analysis to predict failure mechanisms and analyze the behavior of brick masonry walls strengthened with externally bonded carbon fiber-reinforced polymer (CFRP) under in-plane loading. The research investigates three CFRP strengthening configurations (X, I, and H). The FE model incorporates the nonlinear behavior of brick masonry components using the Concrete Damage Plasticity (CDP) model and uses a cohesive interface approach to model unit–mortar interfaces and the bond joints between masonry and CFRPs. The results demonstrate that diagonal CFRP reinforcement enhances the ductility and capacity of masonry wall systems. The FE model accurately captures the crack propagation, fracture mechanisms, and shear strength of both unreinforced and reinforced walls. The study confirms that the model can reliably predict the structural behavior of these composite systems. Furthermore, the study compares predicted shear strengths with established design equations, highlighting the ACI 440.7R-10 and CNR-DT 200/2013 models as providing the most accurate predictions when compared to experimental results. Full article
(This article belongs to the Special Issue Characterization and Modeling of Composites, 4th Edition)
Show Figures

Figure 1

Back to TopTop