Sign in to use this feature.

Years

Between: -

Subjects

remove_circle_outline
remove_circle_outline
remove_circle_outline
remove_circle_outline
remove_circle_outline
remove_circle_outline
remove_circle_outline
remove_circle_outline
remove_circle_outline

Journals

Article Types

Countries / Regions

remove_circle_outline
remove_circle_outline
remove_circle_outline

Search Results (463)

Search Parameters:
Keywords = manure-applied soil

Order results
Result details
Results per page
Select all
Export citation of selected articles as:
13 pages, 1964 KB  
Article
Effects of Pig Manure Compost Application Timing (Spring/Autumn) on N2O Emissions and Maize Yields in Northeast China
by Dan Dong, Weichao Yang, Mingfu Gao, Jian Gu, Hao Sun, Shuang Kong and Hui Xu
Agronomy 2025, 15(11), 2487; https://doi.org/10.3390/agronomy15112487 - 26 Oct 2025
Viewed by 223
Abstract
Animal manure application is widely recognized for its agronomic benefits in enhancing soil fertility and crop productivity through organic matter enrichment and nutrient supply, but the critical application time governing its greenhouse gas emission trade-offs remains unresolved. The objective of this study was [...] Read more.
Animal manure application is widely recognized for its agronomic benefits in enhancing soil fertility and crop productivity through organic matter enrichment and nutrient supply, but the critical application time governing its greenhouse gas emission trade-offs remains unresolved. The objective of this study was to investigate the effects of pig manure compost application timing on nitrous oxide (N2O) emissions and maize yields in Northeast China through a four-year field experiment. The treatments included: (1) inorganic fertilizers (NPK); (2) NPK plus pig manure compost applied in spring (NPK-MS); and (3) NPK plus pig manure compost applied in autumn (NPK-MA). The N2O fluxes, NH4+-N contents, NO3-N contents, and maize yields were analyzed. The results showed that compared with NPK, NPK-MA increased N2O emissions by 44.4%. Applying pig manure compost in autumn promotes N2O emissions during the freeze–thaw period. However, there was no significant effect of NPK-MS on N2O emissions compared with NPK (p > 0.05). Spring-applied manure compost (NPK-MS) resulted in an 11.9% increase in maize yield compared to NPK. In contrast, autumn-applied manure compost (NPK-MA) did not significantly affect maize yield (p > 0.05). Furthermore, yield-scaled N2O emissions were significantly increased in NPK-MA (p < 0.05). Overall, spring application of pig manure compost is recommended for increasing maize yield without significantly increasing N2O emissions while in Northeast China. Full article
Show Figures

Figure 1

14 pages, 4106 KB  
Article
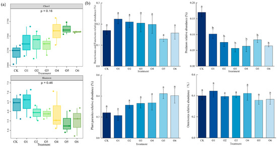
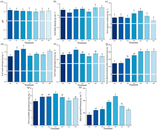
Effects of Different Organic Fertilizer Gradients on Soil Nematodes and Physicochemical Properties in Subalpine Meadows of the Qinghai-Tibetan Plateau
by Rong Dai, Suxing Liu, Zhengwen Wang, Xiayan Zhou, Yajun Bai, Guoli Yin and Wenxia Cao
Agronomy 2025, 15(10), 2403; https://doi.org/10.3390/agronomy15102403 - 16 Oct 2025
Viewed by 210
Abstract
Grassland degradation stems from disordered energy flow and material cycling caused by heavy grazing pressure. Fertilization is an effective measure to restore degraded grasslands. However, the mechanisms through which organic fertilizers influence soil nematode communities remain poorly understood. The objective of this study [...] Read more.
Grassland degradation stems from disordered energy flow and material cycling caused by heavy grazing pressure. Fertilization is an effective measure to restore degraded grasslands. However, the mechanisms through which organic fertilizers influence soil nematode communities remain poorly understood. The objective of this study was to explore the correlation between soil nematode community structure and key environmental variables, and to identify the optimal local fertilization rates. This study was conducted in subalpine meadows located in the southeastern Qinghai-Tibetan Plateau, where organic fertilizer was applied for two consecutive years. The type of organic fertilizer is fully decomposed sheep manure. A total of seven treatments were established, including a no-fertilizer control group (CK) and six organic-fertilizer-application gradient groups (O1 to O6). The application rates of organic fertilizer for the gradient groups were as follows: 2250 kg·ha−1, 3750 kg·ha−1, 5250 kg·ha−1, 6650 kg·ha−1, 8250 kg·ha−1, and 9750 kg·ha−1, respectively. The results demonstrated that organic fertilizer significantly improved soil fertility and increased the relative abundance of phytophagous nematodes. In the soil nematode community, Aporcelaimellus, Criconemoides and Acrobeles were the dominant genera. Key environmental factors, including alkaline nitrogen (AN), soil bulk density (BD), soil pH (pH), and aboveground biomass (AGB), were identified as the primary drivers of changes in nematode community structure across different trophic types. The results of the principal component analysis (PCA) showed that O4 (6750 kg·ha−1, corresponding to 135 kg·ha−1 nitrogen and 67.5 kg·ha−1 phosphorus) was the ideal fertilizer rate for the region. This approach aimed to provide a scientific foundation for the enhanced restoration of degraded subalpine meadows. Full article
(This article belongs to the Section Grassland and Pasture Science)
Show Figures

Figure 1

12 pages, 440 KB  
Article
Use of Cattle Manure as Auxiliary Material to Gypsum to Ameliorate Saline–Alkali Soils
by Jinjing Lu, Longyan Zhang, Ruixin Song, Hanxuan Zeng, Jianpeng Cao, Zefeng Qin, Zhiping Yang, Qiang Zhang, Jianhua Li and Bin Wang
Agronomy 2025, 15(10), 2378; https://doi.org/10.3390/agronomy15102378 - 12 Oct 2025
Viewed by 438
Abstract
Soil salinization is a major threat to agriculture and food security globally. The effectiveness of amendments on soil quality and crop production is management-dependent, and low-cost management practices are essential for developing countries. In this 3-year field study, the effects of cattle manure [...] Read more.
Soil salinization is a major threat to agriculture and food security globally. The effectiveness of amendments on soil quality and crop production is management-dependent, and low-cost management practices are essential for developing countries. In this 3-year field study, the effects of cattle manure and gypsum amendments on the physicochemical properties of saline–alkali soil were evaluated. We found that both single gypsum and mixed amendments significantly reduced soil hardness, bulk density, pH, and soil salt content in 20–40 cm in 2015 and 2017. A more significant decrease in soil EC and density was observed with the mixed amendments compared to single gypsum after three years of reclamation. Specifically, applying mixed amendments (M-G15) led to a significant increase in Hordeum yield by 60.94%, whereas the application of single gypsum increased Hordeum yield by 25.20–53.14%. This indicated that co-application of cattle manure can reduce the amount of gypsum needed to achieve similar improvements in soil properties and Hordeum yield, with a long-term cumulative effect. Na+/(Ca2+ + Mg2+) showed the largest negative contribution to Hordeum yield under amendments, while soil bulk density showed the second largest number of negative effects on Hordeum yield under mixed amendments. Single gypsum improved the soil’s physical quality during the early stage of saline–alkali soil remediation, and mixed amendments improved the soil’s physicochemical properties and Hordeum yield during the late stage of remediation. Na+/(Ca2+ + Mg2+) in topsoil was confirmed to be the dominant factor under the mixed amendments affecting Hordeum yield, followed by the soil bulk density. These results confirm that the co-application with cattle manure achieves a similar reclamation effect with a reduced gypsum dosage, thereby lowering the reclamation costs of saline–alkali land in semi-arid areas. Full article
(This article belongs to the Section Soil and Plant Nutrition)
Show Figures

Figure 1

26 pages, 4175 KB  
Article
Rhizosphere Engineering in Saline Soils: Role of PGPR and Organic Manures in Root–Soil Biochemical Interactions for Allium Crops
by Tarek Alshaal, Nevien Elhawat and Szilvia Veres
Plants 2025, 14(19), 3075; https://doi.org/10.3390/plants14193075 - 4 Oct 2025
Viewed by 505
Abstract
Soil salinity disrupts rhizosphere interactions, impairing root–microbe symbioses, nutrient uptake, and water relations in onion (Allium cepa L.) and garlic (Allium sativum L.). This study evaluated the efficacy of biofertilizers (Azotobacter chroococcum SARS 10 and Azospirillum lipoferum SP2) and organic [...] Read more.
Soil salinity disrupts rhizosphere interactions, impairing root–microbe symbioses, nutrient uptake, and water relations in onion (Allium cepa L.) and garlic (Allium sativum L.). This study evaluated the efficacy of biofertilizers (Azotobacter chroococcum SARS 10 and Azospirillum lipoferum SP2) and organic amendments (sewage sludge and poultry manure) in salt-affected soils in Kafr El-Sheikh, Egypt. Five treatments were applied: (T1) control (no amendments); (T2) biofertilizer (3 L/ha for onion, 12 L/ha for garlic) + inorganic P (150 kg/ha P2O5 for onion, 180 kg/ha for garlic) and K (115 kg/ha K2SO4 for onion, 150 kg/ha for garlic); (T3) 50% inorganic N (160 kg/ha for onion, 127.5 kg/ha for garlic) + 50% organic manure (6000 kg/ha for onion, 8438 kg/ha for garlic) + P and K; (T4) biofertilizer + T3; and (T5) conventional inorganic NPK (320 kg/ha N for onion, 255 kg/ha N for garlic + P and K). Soil nutrients (N, P, K), microbial biomass carbon (MBC), dehydrogenase activity, and microbial populations were analyzed using standard protocols. Plant growth (chlorophyll, photosynthetic rate), stress indicators (malondialdehyde, proline), and yield (bulb diameter, fresh yield) were measured. Treatment T4 increased MBC by 30–40%, dehydrogenase activity by 25–35%, available N (39.7 mg/kg for onion, 35.7 mg/kg for garlic), P (17.9 mg/kg for onion), and K (108 mg/kg for garlic). Soil organic matter rose by 8–12%, and cation exchange capacity by 26–36%. Chlorophyll content improved by 25%, malondialdehyde decreased by 20–30%, and fresh yields increased by 20–30% (12.17 tons/ha for garlic). A soybean bioassay confirmed sustained fertility with 20–25% higher dry weight and 30% greater N uptake in T4 plots. These findings highlight biofertilizers and organic amendments as sustainable solutions for Allium productivity in saline rhizospheres. Full article
(This article belongs to the Topic Plant-Soil Interactions, 2nd Volume)
Show Figures

Figure 1

21 pages, 5363 KB  
Article
Organic Fertilizers Promote Accumulation of Mineral Nutrients in Citrus Leaves by Affecting Soil Biochemical Properties and Bacteria
by Lei Yang, Min Wang, Jianjun Yu, Shuang Li and Lin Hong
Plants 2025, 14(18), 2826; https://doi.org/10.3390/plants14182826 - 10 Sep 2025
Viewed by 589
Abstract
This study aimed to investigate the influence of different organic fertilizers and their concentrations on the growth of ‘Orah’ (Citrus reticulata Blanco) seedlings, as well as on the mineral nutrient contents, chemical and biological properties, and microbial community of the [...] Read more.
This study aimed to investigate the influence of different organic fertilizers and their concentrations on the growth of ‘Orah’ (Citrus reticulata Blanco) seedlings, as well as on the mineral nutrient contents, chemical and biological properties, and microbial community of the soil. Five types of organic fertilizers and three concentrations were studied. The seedling growth indexes, leaf mineral elements, soil mineral elements, soil enzyme activity, and soil microorganisms were measured. The results showed that organic fertilization significantly increased the contents of eight mineral elements in leaves, depending on the types and concentrations used. Specifically, rapeseed cake fertilizer was found to significantly increase the content of iron (Fe), manganese (Mn), and zinc (Zn) in the leaves. Furthermore, compared with applying only chemical fertilizers or no fertilizers at all, the application of organic fertilizer significantly increased the content of soil organic matter (SOM) and several mineral elements in the soil. The bacterial species composition of soil treated with common organic fertilizer and bio-organic fertilizer, and sheep manure were similar; however, the bacterial composition was significantly different in the soil which been treated with rapeseed cake compared to these other three fertilizers. Additionally, PICRUSt function predicting indicates that the core microbial community in the rapeseed cake group could promote synthesis and the transport of sugar, iron and other substances. Organic fertilizer can change soil chemical and biological properties by affecting the core microbial community structure, and further promote accumulation of mineral elements in the leaves of citrus seedlings. Full article
Show Figures

Figure 1

24 pages, 4182 KB  
Article
Nutrient Balances and Forage Productivity in Permanent Grasslands Under Different Fertilisation Regimes in Western Poland Conditions
by Anna Paszkiewicz-Jasińska, Wojciech Stopa, Jerzy Barszczewski, Dorota Gryszkiewicz-Zalega and Barbara Wróbel
Agronomy 2025, 15(9), 2079; https://doi.org/10.3390/agronomy15092079 - 29 Aug 2025
Viewed by 571
Abstract
Effective nutrient management in grassland ecosystems is essential for maintaining soil nutrient balance and ensuring high forage productivity. A field experiment was conducted between 2022 and 2024 on a permanent dry meadow at the Experimental Station in Poznań-Strzeszyn, western Poland. The trial, established [...] Read more.
Effective nutrient management in grassland ecosystems is essential for maintaining soil nutrient balance and ensuring high forage productivity. A field experiment was conducted between 2022 and 2024 on a permanent dry meadow at the Experimental Station in Poznań-Strzeszyn, western Poland. The trial, established in autumn 2021, was carried out under production conditions on large plots (140 m2 each). Plots were assigned to different fertilisation regimes, varying in both type and dosage. The treatments included an unfertilised control, three levels of annual mineral NPK fertilisation (NPK1, NPK2, NPK3), three levels of annually applied farmyard manure (FYM1, FYM2, FYM3), and three levels of mineral and organic fertilisers applied every two years (NPK1/FYM1, NPK2/FYM2, NPK3/FYM3). Throughout the study, botanical composition, annual dry matter yield (DMY), nitrogen (N), phosphorus (P), and potassium (K) content in the plant biomass were assessed. A simplified nutrient balance was calculated based on nutrient input from fertilisers and nutrient output with harvested yield. The average N balance across three years ranged from −12.17 kg N ha−1 in control to +20.6 kg N ha−1 in FYM3. For phosphorus, average balances ranged from −7.2 kg P ha−1 in the control to +9.8 kg P ha−1 in FYM3. In contrast, potassium balances were mostly negative: from −51.7 kg K ha−1 in FYM1 to −7.4 kg K ha−1 in NPK1. The most balanced nutrient budgets were observed under alternate NPK/FYM fertilisation, with moderate surpluses of N and P and a smaller K deficit compared to FYM applied alone. In contrast, inorganic and organic fertilisation applied separately resulted in greater nutrient surpluses or a pronounced potassium deficit. This study emphasises the importance of balanced nutrient management in permanent meadows, showing that moderate fertilisation strategies, such as alternating FYM and mineral NPK, can maintain productivity, and reduce environmental impacts. These findings provide a practical basis for developing sustainable grassland management practices under variable climatic conditions. Full article
(This article belongs to the Special Issue Multifunctionality of Grassland Soils: Opportunities and Challenges)
Show Figures

Figure 1

28 pages, 1813 KB  
Article
Optimizing Caraway Growth, Yield and Phytochemical Quality Under Drip Irrigation: Synergistic Effects of Organic Manure and Foliar Application with Vitamins B1 and E and Active Yeast
by Ahmed A. Hassan, Amir F.A. Abdel-Rahim, Ghadah H. Al Hawas, Wadha Kh. Alshammari, Reda M.Y. Zewail, Ali A. Badawy and Heba S. El-Desouky
Horticulturae 2025, 11(8), 977; https://doi.org/10.3390/horticulturae11080977 - 18 Aug 2025
Viewed by 674
Abstract
Despite its value as a culinary, medicinal, and essential oil crop, caraway struggles to grow and develop its biochemical quality in drought-prone sandy soils. To tackle this challenge, we conducted two field trials under drip irrigation, testing four rates of organic manure (0, [...] Read more.
Despite its value as a culinary, medicinal, and essential oil crop, caraway struggles to grow and develop its biochemical quality in drought-prone sandy soils. To tackle this challenge, we conducted two field trials under drip irrigation, testing four rates of organic manure (0, 5, 10, and 15 ton/hectare (ha) and three foliar biostimulants: vitamin B1 (50 and 100 mg L−1), vitamin E (50 and 100 mg L−1), and active yeast (100 and 150 mL L−1). We used a randomized split-plot design with three replicates, assigning manure rates to main plots and biostimulants to subplots. We measured plant height, stem diameter, branch number, dry biomass, umbels per plant, 1000-seed weight, seed yield (per plant and per ha), essential oil content, chlorophyll a and b, carotenoids, and leaf N, P, and K. All treatments outperformed the unfertilized control. Applying 15 ton/ha of manure alone increased mean plant height by 185.3 cm, stem diameter by 2.93 mm, branch number by 14.5, and herbal weight by 91.97 g across both seasons—a gain of about 11–15%. Foliar application of vitamin B1 at 100 mg L−1 (without manure) achieved even larger gains: mean plant height improved by 176.5 cm, stem diameter by 2.6 mm, branches number by 15.1, and herbal biomass by 103.95 g (20–36% growth increases). It also boosted essential oil yield by 1.89 mL per plant (16–50%) and enhanced nutrient uptake. The most pronounced synergy emerged when combining 15 ton/ha of manure with 100 mg L−1 vitamin B1, raising seed yield to 1698.8 kg/ha (35%), plant height to 184.7 cm (52%), number of branches to 17.4 per plant (56%), umbels to 38.1 per plant (42%), 1000-seed weight to 16.9 g (48%), and essential oil yield to 2.3 mL per plant (115%), compared to the control. Chlorophyll a increased by 50%, chlorophyll b by 33%, carotenoids by 35%, and leaf N, P, and K by 43%, 90%, and 76%, respectively. Manure combined with vitamin E or yeast delivered moderate improvements. These findings demonstrate that integrating organic manure with targeted foliar biostimulants—especially vitamin B1—under drip irrigation, is a sustainable strategy to maximize caraway yield, oil content, and nutritional quality on marginal sandy soils. Full article
(This article belongs to the Special Issue Advances in Sustainable Cultivation of Horticultural Crops)
Show Figures

Figure 1

27 pages, 1957 KB  
Article
Vegetable Productivity, Soil Physicochemical and Biochemical Properties, and Microbiome in Response to Organic Substitution in an Intensive Greenhouse Production System
by Xing Liu, Haohui Xu, Yanan Cheng, Ying Zhang, Yonggang Li, Fei Wang, Changwei Shen and Bihua Chen
Agriculture 2025, 15(14), 1493; https://doi.org/10.3390/agriculture15141493 - 11 Jul 2025
Viewed by 580
Abstract
Partial substitution of mineral N fertilizer with manure (organic substitution) is considered as an effective way to reduce N input in intensive agroecosystems. Here, based on a 3-year field experiment, we assessed the influence of different organic substitution ratios (15%, 30%, 45%, and [...] Read more.
Partial substitution of mineral N fertilizer with manure (organic substitution) is considered as an effective way to reduce N input in intensive agroecosystems. Here, based on a 3-year field experiment, we assessed the influence of different organic substitution ratios (15%, 30%, 45%, and 60%, composted chicken manure applied) on vegetable productivity and soil physicochemical and biochemical properties as well as microbiome (metagenomic sequencing) in an intensive greenhouse production system (cucumber-tomato rotation). Organic substitution ratio in 30% got a balance between stable vegetable productivity and maximum N reduction. However, higher substitution ratios decreased annual vegetable yield by 23.29–32.81%. Organic substitution (15–45%) improved soil fertility (12.18–19.94% increase in soil total organic carbon content) and such improvement was not obtained by higher substitution ratio. Soil mean enzyme activity was stable to organic substitution despite the activities of some selected enzymes changed (catalase, urease, sucrase, and alkaline phosphatase). Organic substitution changed the species and functional structures rather than diversity of soil microbiome, and enriched the genes related to soil denitrification (including nirK, nirS, and nosZ). Besides, the 30% of organic substitution obviously enhanced soil microbial network complexity and this enhancement was mainly associated with altered soil pH. At the level tested herein, organic substitution ratio in 30% was suitable for greenhouse vegetable production locally. Long-term influence of different organic substitution ratios on vegetable productivity and soil properties in intensive greenhouse system needs to be monitored. Full article
(This article belongs to the Section Agricultural Systems and Management)
Show Figures

Figure 1

23 pages, 4607 KB  
Article
Threshold Soil Moisture Levels Influence Soil CO2 Emissions: A Machine Learning Approach to Predict Short-Term Soil CO2 Emissions from Climate-Smart Fields
by Anoop Valiya Veettil, Atikur Rahman, Ripendra Awal, Ali Fares, Timothy R. Green, Binita Thapa and Almoutaz Elhassan
Sustainability 2025, 17(13), 6101; https://doi.org/10.3390/su17136101 - 3 Jul 2025
Cited by 1 | Viewed by 1194
Abstract
Machine learning (ML) models are widely used to analyze the spatiotemporal impacts of agricultural practices on environmental sustainability, including the contribution to global greenhouse gas (GHG) emissions. Management practices, such as organic amendment applications, are critical pillars of Climate-smart agriculture (CSA) strategies that [...] Read more.
Machine learning (ML) models are widely used to analyze the spatiotemporal impacts of agricultural practices on environmental sustainability, including the contribution to global greenhouse gas (GHG) emissions. Management practices, such as organic amendment applications, are critical pillars of Climate-smart agriculture (CSA) strategies that mitigate GHG emissions while maintaining adequate crop yields. This study investigated the critical threshold of soil moisture level associated with soil CO2 emissions from organically amended plots using the classification and regression tree (CART) algorithm. Also, the study predicted the short-term soil CO2 emissions from organically amended systems using soil moisture and weather variables (i.e., air temperature, relative humidity, and solar radiation) using multilinear regression (MLR) and generalized additive models (GAMs). The different organic amendments considered in this study are biochar (2268 and 4536 kg ha−1) and chicken and dairy manure (0, 224, and 448 kg N/ha) under a sweet corn crop in the greater Houston area, Texas. The results of the CART analysis indicated a direct link between soil moisture level and the magnitude of CO2 flux emission from the amended plots. A threshold of 0.103 m3m−3 was calculated for treatment amended by biochar level I (2268 kg ha−1) and chicken manure at the N recommended rate (CXBX), indicating that if the soil moisture is less than the 0.103 m3m−3 threshold, then the median soil CO2 emission is 142 kg ha−1 d−1. Furthermore, applying biochar at a rate of 4536 kg ha−1 reduced the soil CO2 emissions by 14.5% compared to the control plots. Additionally, the results demonstrate that GAMs outperformed MLR, exhibiting the highest performance under the combined effect of chicken and biochar. We conclude that quantifying soil moisture thresholds will provide valuable information for the sustainable mitigation of soil CO2 emissions. Full article
Show Figures

Figure 1

19 pages, 17113 KB  
Article
Effectiveness of Nitrification Inhibitor in Reducing N2O Emissions Depends on Soil Acidification Mitigation in Acid Soils
by Jing Wang, Qiao Huang, Debang Yu, Yuxuan Zhang, Yves Uwiragiye, Nyumah Fallah, Meiqi Chen and Yi Cheng
Agronomy 2025, 15(7), 1536; https://doi.org/10.3390/agronomy15071536 - 25 Jun 2025
Viewed by 1494
Abstract
The addition of alkaline amendments is considered an important strategy to alleviate soil acidification, with profound impacts on soil nitrogen (N) transformations such as nitrification as well as greenhouse gas (GHG) nitrous oxide (N2O) emissions. Nitrification inhibitors (NIs) have been widely [...] Read more.
The addition of alkaline amendments is considered an important strategy to alleviate soil acidification, with profound impacts on soil nitrogen (N) transformations such as nitrification as well as greenhouse gas (GHG) nitrous oxide (N2O) emissions. Nitrification inhibitors (NIs) have been widely recognized to effectively mitigate N2O emissions by depressing the nitrification process. However, the effectiveness of NIs on N2O emissions reduction under different alkaline amendments remains largely unknown, hindering our knowledge of the optimal soil acidification mitigation strategies. In this study, the effects of NIs in combination with different alkaline amendments on N2O emissions were assessed on typical acid soils collected from four sites during a 28-day aerobic incubation experiment. Treatments included four alkaline amendments (quicklime, chicken manure, cow dung, biochar) and no amendment control, designated as CaO, CM, CD, BC, and CK, combined with a typical NI (3,4 dimethylpyrazole phosphate, DMPP) applied at 2 mg soil kg−1 or non-NI applied, respectively. Both individual amendments and their combination with DMPP significantly elevated the soil pH by 4.9–64.2% compared with the CK treatment, with the effectiveness ranking as CaO > CM ≈ CD > BC. Cumulative N2O emissions were stimulated by the individual application of CaO, CM, and CD but were reduced by BC application compared with the CK treatment. Changes in N2O emissions were positively correlated with the responses of the net N mineralization and nitrification rates to individual amendments, which were regulated by changes in the soil pH. The suppressive effects of NI combined with individual amendments on N2O emissions were significant in the CaO treatment with a reduction ranging from 3.3% to 60.2%, which was attributed to decreased abundances of ammonia-oxidizing bacteria (AOB). Therefore, we concluded that the combined application of CaO and DMPP could be considered as a suitable mitigation strategy for addressing soil acidification through optimized N management. Additionally, BC can serve as a supplementary practice to simultaneously improve soil fertility. These insights are crucial for developing integrated fertilization management strategies to mitigate soil acidification with low N loss risks. Full article
(This article belongs to the Section Soil and Plant Nutrition)
Show Figures

Graphical abstract

16 pages, 728 KB  
Article
Agronomic Use of Urban Composts from Decentralized Composting Scenarios: Implications for a Horticultural Crop and Soil Properties
by Cristina Álvarez-Alonso, María Dolores Pérez-Murcia, Natalia Manrique, F. Javier Andreu-Rodríguez, Miguel Ángel Mira-Urios, Ignacio Irigoyen, Marga López, Luciano Orden, Raúl Moral, Isabel Nogués and María Ángeles Bustamante
Agronomy 2025, 15(7), 1520; https://doi.org/10.3390/agronomy15071520 - 22 Jun 2025
Cited by 1 | Viewed by 1139
Abstract
Circular economy in the context of municipal organic waste management has boosted the emergence of novel composting scenarios, such as community composting and decentralized urban composting in small installations, which favors localized management and valorization of organic waste streams. However, there is little [...] Read more.
Circular economy in the context of municipal organic waste management has boosted the emergence of novel composting scenarios, such as community composting and decentralized urban composting in small installations, which favors localized management and valorization of organic waste streams. However, there is little information about the agronomic use of the composts obtained from these new organic waste management systems as an alternative for inorganic fertilization in crop production. In this work, municipal solid waste-derived composts from two decentralized composting scenarios (CM1 and CM2 from community composting, and CM3 and CM4 from decentralized urban small-scale composting plants) were applied and mixed in the top layer of a calcareous clayey-loam soil to assess their effects as alternative substitutes for conventional soil inorganic fertilization (IN) during two successive cultivation cycles of lettuce (Lactuca sativa L.) grown in pots with the amended soils. These treatments were also compared with an organic waste (goat–rabbit manure, E) and a control treatment without fertilization (B). The effects of the fertilizing treatments on the crop yield and quality, as well as on the properties of the soil considered were studied. In general, the application of the different composts did not produce negative effects on lettuce yield and quality. The compost-derived fertilization showed similar lettuce yields compared to the inorganic and manure-derived fertilizations (IN and E, respectively), and higher yields than the soil without amendment (B), with increases in the initial yield values of B, for the first cycle from 34.2% for CM1 to 53.8% for CM3, and from 20.3% for CM3 to 92.4% for CM1 in the second cycle. Furthermore, the organically amended soils showed a better crop development, obtaining higher values than the control treatment in the parameters studied. In addition, the incorporation of the organic treatments improved the soil characteristics, leading to 1.3 and 1.2 times higher organic matter contents in the soils with CM2 and in the soils with CM1, CM3, and E, respectively, compared to the control soil without fertilizing treatment (B), and 2.0 and 1.8 times greater organic matter contents, respectively, compared to soil with inorganic fertilization (IN). Therefore, the use of municipal solid waste-derived composts from these new organic waste management systems, such as the decentralized composting scenarios studied (community composting and urban decentralized small-scale composting plants), is presented, not only as a sustainable valorization method, but also as an alternative for the use of inorganic fertilizers in lettuce cultivation, while enhancing soil properties, contributing to increasing the circularity of agriculture. Full article
Show Figures

Graphical abstract

15 pages, 2577 KB  
Article
Rapeseed Green Manure Coupled with Biochar and Vermicompost Enhances Soil Aggregates and Fungal Communities in Gleyed Paddy Fields
by Zhenhao Zhu, Shihong Gao, Yuhao Zhang, Guohan Si, Xiangyu Xu, Chenglin Peng, Shujun Zhao, Wei Liu, Qiang Zhu and Mingjian Geng
Agronomy 2025, 15(7), 1510; https://doi.org/10.3390/agronomy15071510 - 21 Jun 2025
Viewed by 660
Abstract
The gleyed paddy soils in subtropical China, characterized by poor structure, high reductive substances, and low fertility, pose challenges to sustainable agriculture. This study investigates the improvement effects of applying rapeseed green manure in combination with biochar or vermicompost through field experiments, aiming [...] Read more.
The gleyed paddy soils in subtropical China, characterized by poor structure, high reductive substances, and low fertility, pose challenges to sustainable agriculture. This study investigates the improvement effects of applying rapeseed green manure in combination with biochar or vermicompost through field experiments, aiming to provide a theoretical basis for the organic improvement of gleyed paddy soils. The experiment included four treatments: control (CK), rapeseed green manure (GM), GM + biochar (GMB), and GM + vermicompost (GMVC). Soil physicochemical properties, aggregate stability, and fungal communities were analyzed after rice harvest. GM significantly increased the total nitrogen (TN) content in the 0–10 cm soil layer and decreased the Fe2+ and total glomalin-related soil protein (T-GRSP) contents. GMVC further increased the pH value, available potassium (AK) content, and Shannon index in the 0–10 cm soil layer, decreased the available phosphorus (AP) content, and increased the proportion of macro-aggregates (>2000 µm) and decreased the fractal dimension (D) in the 10–20 cm soil layer. Compared with GMVC, GMB more significantly increased the soil organic carbon content and regulated the ratio of EE-GRSP/T-GRSP in the 0–10 cm soil layer. Fungal community analysis showed Ascomycota dominance. Pearson analysis showed Westerdykella enrichment significantly correlated with reduced T-GRSP. Monte Carlo tests identified pH and SOC as key factors shaping fungal communities. The GMB strategy mitigates reductive stress, enhances nutrient availability, and activates microbial functionality. These findings offer insights and frameworks for sustainable soil management in subtropical rice agroecosystems. Full article
Show Figures

Figure 1

20 pages, 4784 KB  
Article
Short-Term Application of Alfalfa Green Manure Increases Maize Yield and Soil Fertility While Altering Microbial Communities in Karst Yellow Clay Soil
by Xiaoye Gao, Shimei Yang, Yan He, Qiumei Zhao and Tao Zhang
Microorganisms 2025, 13(7), 1445; https://doi.org/10.3390/microorganisms13071445 - 21 Jun 2025
Viewed by 458
Abstract
Green manure effectively improves soil nutrients and crop yields, yet its partial substitution for chemical nitrogen fertilizer (CF) in maize systems remains underexplored in ecologically fragile Karst landscapes. To assess the effect of alfalfa green manure on maize yield, soil nutrients, enzymes, and [...] Read more.
Green manure effectively improves soil nutrients and crop yields, yet its partial substitution for chemical nitrogen fertilizer (CF) in maize systems remains underexplored in ecologically fragile Karst landscapes. To assess the effect of alfalfa green manure on maize yield, soil nutrients, enzymes, and microorganisms, we conducted a two-year field experiment comprising eight treatments: four CF levels (100%, 80%, 60%, and 0% of recommended CF) applied alone or combined with alfalfa green manure (CF100, AL_CF100, CF80, AL_CF80, CF60, AL_CF60, CF0, AL_CF0). The results showed that maize grain yield decreased with the sole reduction of chemical N fertilizer. Compared to the CF100 treatment, the AL_CF100 and AL_CF80 treatments significantly increased grain yield by an average of 21.8% and 16.9%, respectively. Additionally, the AL_CF60 treatment maintained maize grain yield in 2020 and significantly increased it in 2021. The AL_CF100 treatment significantly enhanced soil available N (AN) content, while soil Olsen-P (SOP) content and soil quality index (SQI) were significantly improved in the AL_CF100, AL_CF80, and AL_CF60 treatments. Alfalfa green manure application had no significant effect on soil bacterial and fungal communities. However, the CF rates positively influenced the relative abundances of bacterial phyla (Bacteroidota, Myxococcota, and Patescibacteria) and genera (Intrasporangium, Streptomyces, and Quadrisphaera), as well as fungal genera (Exophiala and Setophoma). α-Diversity analysis revealed that partial substitution of CF with alfalfa green manure did not significantly affect soil bacterial diversity (Ace, Shannon, and Sobs indices) or richness (Chao value). In contrast, chemical N fertilizer rates significantly altered the β-diversity of both bacteria and fungi. The soil AN, AK, sucrase activity, and the relative abundances of Bacteroidota, Streptomyces, and Instrasporangium showed significant positive relationship with maize grain yield. This study demonstrates that substituting 20% CF with alfalfa green manure optimizes maize productivity while enhancing soil health in Karst agroecosystems. Full article
(This article belongs to the Section Plant Microbe Interactions)
Show Figures

Figure 1

18 pages, 2736 KB  
Article
Synergistic Effects of Different Endophytic Actinobacteria Combined with Organic Fertilizer on Soil Nutrients and Microbial Diversity in Camellia oleifera
by Yinghe Peng, Kunpeng Cui, Huimin Jian, Zhen Zhang, Longsheng Chen, Yanming Xu, Zhigang Li, Hongsheng Liu, Ting Xu and Rui Wang
Microorganisms 2025, 13(6), 1396; https://doi.org/10.3390/microorganisms13061396 - 15 Jun 2025
Viewed by 683
Abstract
Camellia oleifera, a prominent species of edible oil tree in China, depends on improved soil fertility for its sustainable growth. Although the application of bacterial manure has been demonstrated to enhance soil nutrient conditions, the specific contributions of endophytes within fertilizers and [...] Read more.
Camellia oleifera, a prominent species of edible oil tree in China, depends on improved soil fertility for its sustainable growth. Although the application of bacterial manure has been demonstrated to enhance soil nutrient conditions, the specific contributions of endophytes within fertilizers and their interactions with soil microbial ecosystems remain inadequately explored. This study investigates the impact of organic fertilizers combined with three endophytes (CoT10, CoH27, and CoH17) on the physicochemical properties, enzymatic activities, and microbial diversity of soils in C. oleifera plantations. Findings indicate that the integration of endophytes with organic fertilizers significantly improved soil nutrient levels (including total nitrogen, total phosphorus, and hydrolysable nitrogen), enzymatic activities (such as phosphatase, amylase, and nitrate reductase), and microbial diversity compared to the application of organic fertilizer alone. Notably, the endophyte CoT10, when applied alone with organic fertilizer, resulted in increased levels of total nitrogen, total phosphorus, and hydrolysable nitrogen in the soil, as well as a marked enhancement in the activities of soil phosphatase, amylase, and nitrate reductase. Furthermore, the combination of CoT10 with other endophytes in organic fertilizer improved the functionality of the other microorganisms and the efficiency of organic fertilizer utilization. This study underscores the synergistic effects of endophytes and organic fertilizers, providing scientific insights and practical strategies for the sustainable cultivation of C. oleifera. Full article
Show Figures

Figure 1

18 pages, 2524 KB  
Article
From Solid Waste to Technosols: Evaluation of Aggregate Stability, Microbial Community and Biotoxicity
by Chenglong Ge, Denghui Zhang, Jinhao He, Yueshuai Huo, Lei Jiang and Xuan Zhang
Sustainability 2025, 17(12), 5393; https://doi.org/10.3390/su17125393 - 11 Jun 2025
Cited by 1 | Viewed by 644
Abstract
To meet the requirements for the efficient utilization of bulk solid wastes, technosols were cultivated using solid wastes as raw materials and their aggregate stability, bacterial community, mineralization process, and biological toxicity were investigated. A proportional mixture of four types of solid wastes [...] Read more.
To meet the requirements for the efficient utilization of bulk solid wastes, technosols were cultivated using solid wastes as raw materials and their aggregate stability, bacterial community, mineralization process, and biological toxicity were investigated. A proportional mixture of four types of solid wastes (fly ash, sludge, straw, and earthworm manure) resulted in the formation of aggregates with excellent pore structure after two months of cultivation and four samples were obtained. Their soil organic matter (SOM) and total nitrogen (TN) contents were higher than those in Chinese surface soil. A total of 215 genera were common to all four samples. The high organic matter content in straw, along with its lignin content and the fine organic particles generated during the straw degradation process were conducive to the formation of highly stable aggregates, making the quality with added straw superior to that with added vermicompost. Furthermore, the addition of straw was more beneficial for increasing potential mineralized organic carbon. Amongst the four tested samples, sample 3# exhibited the best soil nutrient supply capacity along with strong mineralization but weak carbon sequestration. A seed germination test confirmed that four samples were all biologically safe. This study marked a shift from “pollution control” towards “resource utilization” in dealing with bulk solid wastes. Additionally, applying technosols for soil remediation could present an effective solution to ecological restoration challenges in soil degradation such as mining sites. Full article
Show Figures

Figure 1

Back to TopTop