Sign in to use this feature.

Years

Between: -

Subjects

remove_circle_outline
remove_circle_outline
remove_circle_outline
remove_circle_outline
remove_circle_outline

Journals

Article Types

Countries / Regions

Search Results (20)

Search Parameters:
Keywords = mammographic microcalcification

Order results
Result details
Results per page
Select all
Export citation of selected articles as:
14 pages, 1477 KB  
Article
Mammographic Calcifications in Lung Transplant Recipients: Prevalence and Evolution
by Jonathan Saenger, Jasmin Happe, Caroline Maier, Bjarne Kerber, Ela Uenal, Denise Bos, Thomas Frauenfelder and Andreas Boss
Biomedicines 2025, 13(9), 2318; https://doi.org/10.3390/biomedicines13092318 - 22 Sep 2025
Cited by 1 | Viewed by 967
Abstract
Objective: To investigate the prevalence and progression of macrocalcifications or sporadic scattered microcalcifications, breast arterial calcifications (BAC) and grouped microcalcifications in women undergoing lung transplantation (LTX). Materials and Methods: In this retrospective single-center cohort study, 176 adult female patients who underwent mammography between [...] Read more.
Objective: To investigate the prevalence and progression of macrocalcifications or sporadic scattered microcalcifications, breast arterial calcifications (BAC) and grouped microcalcifications in women undergoing lung transplantation (LTX). Materials and Methods: In this retrospective single-center cohort study, 176 adult female patients who underwent mammography between 2008 and 2025 were included: 82 LTX recipients and 94 age-matched controls. Mammographic findings were assessed using standardized BI-RADS criteria and a visual BAC scoring system. Clinical and demographic data were extracted from electronic medical records. Multivariable logistic regression and cumulative incidence analysis were used to evaluate associations and progression patterns. Interobserver agreement was assessed using Fleiss’ kappa. Results: BAC and grouped microcalcifications were significantly more prevalent in the LTX group in the last mammography (BAC: OR 6.57, 95% CI 2.34–20.7; microcalcifications: OR 14.6, 95% CI 3.93–73.9; both p < 0.001). Cumulative incidence analysis showed accelerated progression of BAC and grouped microcalcifications in LTX recipients (p ≤ 0.01), while macrocalcifications or sporadic scattered microcalcification progression did not differ significantly. BAC was often more extensive and potentially mimicked malignant findings. Interobserver agreement was highest for the four-level BAC scoring system (κ = 0.61), followed by BAC presence (κ = 0.59) and macrocalcifications (κ = 0.51), while grouped microcalcifications showed only fair agreement (κ = 0.33). Conclusions: Lung transplant recipients demonstrate significantly higher prevalence and faster progression of BAC and grouped microcalcifications compared to controls, complicating mammographic interpretation. Given their elevated risk of aggressive malignancies and diagnostic overlap between benign and suspicious calcifications, transplant recipients may benefit from tailored screening strategies. Full article
(This article belongs to the Special Issue Imaging Technology for Human Diseases)
Show Figures

Figure 1

11 pages, 1164 KB  
Article
Contrast-Enhanced Mammography-Guided Biopsy in Patients with Extensive Suspicious Microcalcifications
by Yun-Chung Cheung, Wai-Shan Chung, Ya-Chun Tang and Chia-Wei Li
Cancers 2025, 17(18), 3086; https://doi.org/10.3390/cancers17183086 - 22 Sep 2025
Cited by 1 | Viewed by 1129
Abstract
Objectives: To investigate the feasibility of contrast-enhanced mammography-guided biopsy (CEM-Bx) to diagnose cancer via targeting the associated enhancements in the patients with extensive suspicious microcalcifications. Methods: All the women with extensive suspicious microcalcifications were mammographically screened. Contrast-enhanced mammography was first examined, [...] Read more.
Objectives: To investigate the feasibility of contrast-enhanced mammography-guided biopsy (CEM-Bx) to diagnose cancer via targeting the associated enhancements in the patients with extensive suspicious microcalcifications. Methods: All the women with extensive suspicious microcalcifications were mammographically screened. Contrast-enhanced mammography was first examined, followed by CEM-Bx if there was any relevant enhancement; otherwise, patients without enhancement were submitted to conventional mammography-guided biopsy (MG-Bx). We recorded and analyzed the histological results, morphologies and distributions of the microcalcifications. The outcomes were also compared to those patients (control group) who did not assess with CEM and received MG-Bx only by the Wilcoxon rank-sum test. Results: Between November 2021 and November 2023, a total of 61 participants participated in the test. A total of 26 women underwent CEM-Bx, and 35 underwent MG-Bx. In total, 19 of the 26 CEM-Bx were diagnosed as cancer, and none by MG-Bx. The cancer diagnostic rates (CDRs) identified by CEM-Bx were 81.8% for regional microcalcifications and 66.7% for segmental or diffuse distributions. The CDR of the test group was higher than the control group, 31.4% to 20%, respectively. Otherwise, the CDR of CEM-Bx was significantly higher than MG-Bx in the control group (73.08% to 20%, p-valve < 0.01). Conclusions: CEM-Bx was a safe and feasible procedure. With identification of the enhanced target, CEM-Bx faithfully performed among the extensive distributed suspicious microcalcifications. Although CEM-Bx improves CDR, larger prospective trials with surgical validation of all lesions are needed before widespread adoption. Full article
(This article belongs to the Special Issue Advances in Oncological Imaging (2nd Edition))
Show Figures

Figure 1

13 pages, 970 KB  
Article
Imaging Biomarkers for HER2-Positive Breast Cancer: Evidence from an Observational Study
by Sara Boemi, Alessia Pagana and Maria Teresa Bruno
J. Clin. Med. 2025, 14(14), 5056; https://doi.org/10.3390/jcm14145056 - 17 Jul 2025
Cited by 1 | Viewed by 2033
Abstract
Background: Mammographic microcalcifications (MCs) are a common early radiological finding in breast cancer, but their significance in relation to molecular subtypes, particularly HER2-positive tumors, remains under investigation. Objectives: To evaluate the association between MCs and HER2 status in invasive breast cancer. [...] Read more.
Background: Mammographic microcalcifications (MCs) are a common early radiological finding in breast cancer, but their significance in relation to molecular subtypes, particularly HER2-positive tumors, remains under investigation. Objectives: To evaluate the association between MCs and HER2 status in invasive breast cancer. Methods: A retrospective study was conducted on 185 patients treated at a breast unit between 2018 and 2023. Clinical, histological, and molecular data were analyzed. Logistic regression was used to identify independent predictors of MCs. Results: MCs were present in 27% of HER2-positive patients and 16.15% of HER2-negative patients (p < 0.001). HER2 positivity was the only significant independent predictor (OR = 5.89; 95% CI: 2.42–14.30; p < 0.001). Age, breast density, and histology were not associated. Conclusions: MCs are significantly associated with HER2 positivity and may serve as an early imaging marker of aggressive disease, supporting the integration of radiologic and molecular diagnostics. Full article
(This article belongs to the Section Nuclear Medicine & Radiology)
Show Figures

Figure 1

15 pages, 1557 KB  
Article
Association Between Microcalcification Patterns in Mammography and Breast Tumors in Comparison to Histopathological Examinations
by Iqbal Hussain Rizuana, Ming Hui Leong, Geok Chin Tan and Zaleha Md. Isa
Diagnostics 2025, 15(13), 1687; https://doi.org/10.3390/diagnostics15131687 - 2 Jul 2025
Cited by 3 | Viewed by 3970
Abstract
Background/Objectives: Accurately correlating mammographic findings with corresponding histopathologic features is considered one of the essential aspects of mammographic evaluation, guiding the next steps in cancer management and preventing overdiagnosis. The objective of this study was to evaluate patterns of mammographic microcalcifications and their [...] Read more.
Background/Objectives: Accurately correlating mammographic findings with corresponding histopathologic features is considered one of the essential aspects of mammographic evaluation, guiding the next steps in cancer management and preventing overdiagnosis. The objective of this study was to evaluate patterns of mammographic microcalcifications and their association with histopathological findings related to various breast tumors. Methods: 110 out of 3603 women had microcalcification of BIRADS 3 or higher and were subjected to stereotactic/ultrasound (USG) guided biopsies, and hook-wire localization excision procedures. Ultrasound and mammography images were reviewed by experienced radiologists using the standard American College of Radiology Breast-Imaging Reporting and Data System (ACR BI-RADS). Results: Our study showed that features with a high positive predictive value (PPV) of breast malignancy were heterogeneous (75%), fine linear/branching pleomorphic microcalcifications (66.7%), linear (100%), and segmental distributions (57.1%). Features that showed a higher risk of association with ductal carcinoma in situ (DCIS) were fine linear/branching pleomorphic (odds ratio (OR): 3.952), heterogeneous microcalcifications (OR: 3.818), segmental (OR: 5.533), linear (OR: 3.696), and regional (OR: 2.929) distributions. Furthermore, the features with higher risks associated with invasive carcinoma had heterogeneous (OR: 2.022), fine linear/branching pleomorphic (OR: 1.187) microcalcifications, linear (OR: 6.2), and regional (OR: 2.543) distributions. The features of associated masses in mammograms that showed a high PPV of malignancy had high density (75%), microlobulation (100%), and spiculated margins (75%). Conclusions: We concluded that specific patterns and distributions of microcalcifications were indeed associated with a higher risk of malignancy. Those with fine linear or branching pleomorphic and segmental distribution were at a higher risk of DCIS, whereas those with heterogeneous morphology with a linear distribution were at a higher risk of invasive carcinoma. Full article
(This article belongs to the Special Issue Recent Advances in Breast Cancer Imaging)
Show Figures

Figure 1

24 pages, 7554 KB  
Article
Comparative Evaluation of Machine Learning-Based Radiomics and Deep Learning for Breast Lesion Classification in Mammography
by Alessandro Stefano, Fabiano Bini, Eleonora Giovagnoli, Mariangela Dimarco, Nicolò Lauciello, Daniela Narbonese, Giovanni Pasini, Franco Marinozzi, Giorgio Russo and Ildebrando D’Angelo
Diagnostics 2025, 15(8), 953; https://doi.org/10.3390/diagnostics15080953 - 9 Apr 2025
Cited by 12 | Viewed by 3431
Abstract
Background: Breast cancer is the second leading cause of cancer-related mortality among women, accounting for 12% of cases. Early diagnosis, based on the identification of radiological features, such as masses and microcalcifications in mammograms, is crucial for reducing mortality rates. However, manual interpretation [...] Read more.
Background: Breast cancer is the second leading cause of cancer-related mortality among women, accounting for 12% of cases. Early diagnosis, based on the identification of radiological features, such as masses and microcalcifications in mammograms, is crucial for reducing mortality rates. However, manual interpretation by radiologists is complex and subject to variability, emphasizing the need for automated diagnostic tools to enhance accuracy and efficiency. This study compares a radiomics workflow based on machine learning (ML) with a deep learning (DL) approach for classifying breast lesions as benign or malignant. Methods: matRadiomics was used to extract radiomics features from mammographic images of 1219 patients from the CBIS-DDSM public database, including 581 cases of microcalcifications and 638 of masses. Among the ML models, a linear discriminant analysis (LDA) demonstrated the best performance for both lesion types. External validation was conducted on a private dataset of 222 images to evaluate generalizability to an independent cohort. Additionally, a deep learning approach based on the EfficientNetB6 model was employed for comparison. Results: The LDA model achieved a mean validation AUC of 68.28% for microcalcifications and 61.53% for masses. In the external validation, AUC values of 66.9% and 61.5% were obtained, respectively. In contrast, the EfficientNetB6 model demonstrated superior performance, achieving an AUC of 81.52% for microcalcifications and 76.24% for masses, highlighting the potential of DL for improved diagnostic accuracy. Conclusions: This study underscores the limitations of ML-based radiomics in breast cancer diagnosis. Deep learning proves to be a more effective approach, offering enhanced accuracy and supporting clinicians in improving patient management. Full article
(This article belongs to the Special Issue Updates on Breast Cancer: Diagnosis and Management)
Show Figures

Figure 1

19 pages, 6319 KB  
Review
Histopathological Analysis of Vacuum-Assisted Breast Biopsy in Relation to Microcalcification Findings on Mammography: A Pictorial Review
by Jana Bebek, Nikolina Novak, Marina Dasović, Eugen Divjak, Čedna Tomasović-Lončarić, Boris Brkljačić and Gordana Ivanac
Biomedicines 2025, 13(3), 737; https://doi.org/10.3390/biomedicines13030737 - 18 Mar 2025
Viewed by 4191
Abstract
Mammography is an essential tool in breast screening, often revealing lesions that appear as microcalcifications with or without an associated mass. Decisions about biopsy requirements are guided by the BI-RADS system, aiming to confirm the histopathology of suspicious lesions while avoiding unnecessary procedures. [...] Read more.
Mammography is an essential tool in breast screening, often revealing lesions that appear as microcalcifications with or without an associated mass. Decisions about biopsy requirements are guided by the BI-RADS system, aiming to confirm the histopathology of suspicious lesions while avoiding unnecessary procedures. A vacuum-assisted breast biopsy (VABB) is a minimally invasive procedure for diagnosing breast abnormalities. Precise lesion targeting is ensured under stereotactic guidance, reducing the need for repeated procedures. Compared to traditional core needle biopsy (CNB) and fine-needle aspiration cytology (FNAC), it differs in using vacuum assistance to gather more tissue volume, increasing diagnostic accuracy and reducing the likelihood of histological underestimation. This is particularly crucial in cases where microcalcifications are the primary finding, as they are often the earliest signs of ductal carcinoma in situ (DCIS). Managing such findings requires precise diagnostic tools to differentiate benign from malignant lesions without subjecting patients to unnecessary surgical interventions. Building on several years of experience in our department, we have assembled a selection of ten interesting cases encountered in our clinical practice. Each case is documented with paired mammographic images and their corresponding image of histopathological findings, offering a comprehensive view of the diagnostic journey. These cases were selected for their educational value, highlighting the integration of imaging modalities, histopathological evaluation, and clinical decision-making. All cases underwent an extensive diagnostic workup at our facility. This compilation aims to provide valuable insights for both clinicians and researchers, offering a deeper understanding of advanced diagnostic techniques and their role in improving patient outcomes. Full article
(This article belongs to the Special Issue Breast Cancer: New Diagnostic and Therapeutic Approaches)
Show Figures

Figure 1

12 pages, 1445 KB  
Article
Mammographic Vascular Microcalcifications as a Surrogate Parameter for Coronary Heart Disease: Correlation to Cardiac Computer Tomography and Proposal of a Classification Score
by Jonathan Andreas Saenger, Ela Uenal, Eugen Mann, Stephan Winnik, Urs Eriksson and Andreas Boss
Diagnostics 2024, 14(24), 2803; https://doi.org/10.3390/diagnostics14242803 - 13 Dec 2024
Cited by 3 | Viewed by 2003
Abstract
Objective: This study develops a BI-RADS-like scoring system for vascular microcalcifications in mammographies, correlating breast arterial calcification (BAC) in a mammography with coronary artery calcification (CAC), and specifying differences between microcalcifications caused by BAC and microcalcifications potentially associated with malignant disease. Materials and [...] Read more.
Objective: This study develops a BI-RADS-like scoring system for vascular microcalcifications in mammographies, correlating breast arterial calcification (BAC) in a mammography with coronary artery calcification (CAC), and specifying differences between microcalcifications caused by BAC and microcalcifications potentially associated with malignant disease. Materials and Methods: This retrospective single-center cohort study evaluated 124 consecutive female patients (with a median age of 57 years). The presence of CAC was evaluated based on the Agatston score obtained from non-enhanced coronary computed tomography, and the calcifications detected in the mammography were graded on a four-point Likert scale, with the following criteria: (1) no visible or sporadically scattered microcalcifications, (2) suspicious microcalcification not distinguishable from breast arterial calcification, (3) minor breast artery calcifications, and (4) major breast artery calcifications. Inter-rater agreement was assessed in three readers using the Fleiss’ kappa, and the correlation between CAC and BAC was evaluated using the Spearman’s rank-order and by the calculation of sensitivity/specificity. Results: The reliability of the visual classification of BAC was high, with an overall Fleiss’ kappa for inter-rater agreement of 0.76 (ranging between 0.62 and 0.89 depending on the score). In 15.1% of patients, a BAC score of two was assigned indicating calcifications indistinguishable regarding vascular or malignant origin. In 17.7% of patients, minor or major breast artery calcifications were found (BAC 3–4). BAC was more prevalent among the patients with CAC (p < 0.001), and the severity of CAC increased with the BAC score; in the group with a BAC score of one, 15% of patients exhibited mild and severe CAC, in those with a BAC of two, this was 31%, in those with BAC of three, this was 38%, and in those with a BAC of four, this was 44%. The sensitivity for detecting CAC, based on the mammographic BAC score, was 30.3% at a specificity of 96.7%. Conclusions: The standardized visual grading of BAC in mammographies on a four-point scale is feasible with substantial interobserver agreement, potentially improving the treatment of patients with suspicious microcalcifications and CAC. Full article
(This article belongs to the Section Medical Imaging and Theranostics)
Show Figures

Figure 1

14 pages, 3060 KB  
Article
Radiological Features of Male Breast Neoplasms: How to Improve the Management of a Rare Disease
by Luca Nicosia, Luciano Mariano, Anna Carla Bozzini, Filippo Pesapane, Vincenzo Bagnardi, Samuele Frassoni, Chiara Oriecuia, Valeria Dominelli, Antuono Latronico, Simone Palma, Massimo Venturini, Federico Fontana, Francesca Priolo, Ida Abiuso, Claudia Sangalli and Enrico Cassano
Diagnostics 2024, 14(1), 104; https://doi.org/10.3390/diagnostics14010104 - 3 Jan 2024
Cited by 4 | Viewed by 2998
Abstract
The primary aim of our study was to assess the main mammographic and ultrasonographic features of invasive male breast malignancies. The secondary aim was to evaluate whether a specific radiological presentation would be associated with a worse receptor profile. Radiological images (mammography and/or [...] Read more.
The primary aim of our study was to assess the main mammographic and ultrasonographic features of invasive male breast malignancies. The secondary aim was to evaluate whether a specific radiological presentation would be associated with a worse receptor profile. Radiological images (mammography and/or ultrasound) of all patients who underwent surgery for male invasive breast cancer in our institution between 2008 and 2023 were retrospectively analyzed by two breast radiologists in consensus. All significant features of radiological presentation known in the literature were re-evaluated. Fifty-six patients were selected. The mean age at surgery of patients was 69 years (range: 35–81); in 82% of cases (46 patients), the histologic outcome was invasive ductal carcinoma. A total of 28 out of 56 (50%) patients had preoperative mammography; in 9/28 cases (32%), we found a mass with microcalcifications on mammography. The mass presented high density in 25 out of 28 patients (89%); the mass showed irregular margins in 15/28 (54%) cases. A total of 46 out of 56 patients had preoperative ultrasounds. The lesion showed a solid mass in 41/46 (89%) cases. In 5/46 patients (11%), the lesion was a mass with a mixed (partly liquid–partly solid) structure. We did not find any statistically significant correlation between major types of radiological presentation and tumor receptor arrangement. Knowledge of the main radiologic presentation patterns of malignant male breast neoplasm can help better manage this type of disease, which is rare but whose incidence is increasing. Full article
(This article belongs to the Special Issue Recent Advances in Breast Imaging)
Show Figures

Figure 1

12 pages, 17141 KB  
Article
Development of a Mammography Calcification Detection Algorithm Using Deep Learning with Resolution-Preserved Image Patch Division
by Miu Sakaida, Takaaki Yoshimura, Minghui Tang, Shota Ichikawa and Hiroyuki Sugimori
Algorithms 2023, 16(10), 483; https://doi.org/10.3390/a16100483 - 18 Oct 2023
Cited by 10 | Viewed by 4470
Abstract
Convolutional neural networks (CNNs) in deep learning have input pixel limitations, which leads to lost information regarding microcalcification when mammography images are compressed. Segmenting images into patches retains the original resolution when inputting them into the CNN and allows for identifying the location [...] Read more.
Convolutional neural networks (CNNs) in deep learning have input pixel limitations, which leads to lost information regarding microcalcification when mammography images are compressed. Segmenting images into patches retains the original resolution when inputting them into the CNN and allows for identifying the location of calcification. This study aimed to develop a mammographic calcification detection method using deep learning by classifying the presence of calcification in the breast. Using publicly available data, 212 mammograms from 81 women were segmented into 224 × 224-pixel patches, producing 15,049 patches. These were visually classified for calcification and divided into five subsets for training and evaluation using fivefold cross-validation, ensuring image consistency. ResNet18, ResNet50, and ResNet101 were used for training, each of which created a two-class calcification classifier. The ResNet18 classifier achieved an overall accuracy of 96.0%, mammogram accuracy of 95.8%, an area under the curve (AUC) of 0.96, and a processing time of 0.07 s. The results of ResNet50 indicated 96.4% overall accuracy, 96.3% mammogram accuracy, an AUC of 0.96, and a processing time of 0.14 s. The results of ResNet101 indicated 96.3% overall accuracy, 96.1% mammogram accuracy, an AUC of 0.96, and a processing time of 0.20 s. This developed method offers quick, accurate calcification classification and efficient visualization of calcification locations. Full article
(This article belongs to the Special Issue Artificial Intelligence for Medical Imaging)
Show Figures

Figure 1

20 pages, 6737 KB  
Article
Persistent Homology-Based Machine Learning Method for Filtering and Classifying Mammographic Microcalcification Images in Early Cancer Detection
by Aminah Abdul Malek, Mohd Almie Alias, Fatimah Abdul Razak, Mohd Salmi Md Noorani, Rozi Mahmud and Nur Fariha Syaqina Zulkepli
Cancers 2023, 15(9), 2606; https://doi.org/10.3390/cancers15092606 - 4 May 2023
Cited by 13 | Viewed by 3841
Abstract
Microcalcifications in mammogram images are primary indicators for detecting the early stages of breast cancer. However, dense tissues and noise in the images make it challenging to classify the microcalcifications. Currently, preprocessing procedures such as noise removal techniques are applied directly on the [...] Read more.
Microcalcifications in mammogram images are primary indicators for detecting the early stages of breast cancer. However, dense tissues and noise in the images make it challenging to classify the microcalcifications. Currently, preprocessing procedures such as noise removal techniques are applied directly on the images, which may produce a blurry effect and loss of image details. Further, most of the features used in classification models focus on local information of the images and are often burdened with details, resulting in data complexity. This research proposed a filtering and feature extraction technique using persistent homology (PH), a powerful mathematical tool used to study the structure of complex datasets and patterns. The filtering process is not performed directly on the image matrix but through the diagrams arising from PH. These diagrams will enable us to distinguish prominent characteristics of the image from noise. The filtered diagrams are then vectorised using PH features. Supervised machine learning models are trained on the MIAS and DDSM datasets to evaluate the extracted features’ efficacy in discriminating between benign and malignant classes and to obtain the optimal filtering level. This study reveals that appropriate PH filtering levels and features can improve classification accuracy in early cancer detection. Full article
(This article belongs to the Special Issue Artificial Intelligence and Machine Learning in Precision Oncology)
Show Figures

Figure 1

12 pages, 7744 KB  
Article
Low-Risk Women with Suspicious Microcalcifications in Mammography—Can an Additional Breast MRI Reduce the Biopsy Rate?
by Patrik Pöschke, Evelyn Wenkel, Carolin C. Hack, Matthias W. Beckmann, Michael Uder and Sabine Ohlmeyer
Diagnostics 2023, 13(6), 1197; https://doi.org/10.3390/diagnostics13061197 - 22 Mar 2023
Cited by 4 | Viewed by 4064
Abstract
Background: In the German Mammography Screening Program, 62% of ductal carcinoma in situ (DCIS) and 38% of invasive breast cancers are associated with microcalcifications (MCs). Vacuum-assisted stereotactic breast biopsies are necessary to distinguish precancerous lesions from benign calcifications because mammographic discrimination is not [...] Read more.
Background: In the German Mammography Screening Program, 62% of ductal carcinoma in situ (DCIS) and 38% of invasive breast cancers are associated with microcalcifications (MCs). Vacuum-assisted stereotactic breast biopsies are necessary to distinguish precancerous lesions from benign calcifications because mammographic discrimination is not possible. The aim of this study was to investigate if breast magnetic resonance imaging (MRM) could assist the evaluation of MCs and thus help reduce biopsy rates. Methods: In this IRB-approved study, 58 women (mean age 58 +/− 24 years) with 59 suspicious MC clusters in the MG were eligible for this prospective single-center trial. Additional breast magnetic resonance imaging (MRI) was conducted before biopsy. Results: The breast MRI showed a sensitivity of 86%, a specificity of 84%, a positive predictive value (PPV) of 75% and a negative predictive value (NPV) of 91% for the differentiation between benign and malignant in these 59 MCs found with MG. Breast MRI in addition to MG could increase the PPV from 36% to 75% compared to MG alone. The MRI examination led to nine additional suspicious classified lesions in the study cohort. A total of 55% (5/9) of them turned out to be malignant. A total of 32 of 59 (54 %) women with suspicious MCs and benign histology were classified as non-suspicious by MRI. Conclusion: An additionally performed breast MRI could have increased the diagnostic reliability in the assessment of MCs. Further, in our small cohort, a considerable number of malignant lesions without mammographically visible MCs were revealed. Full article
(This article belongs to the Special Issue Advances in Diagnostic Medical Imaging in 2023)
Show Figures

Figure 1

11 pages, 4914 KB  
Article
Chest CT for Breast Cancer Diagnosis
by Elise Desperito, Lawrence Schwartz, Kathleen M. Capaccione, Brian T. Collins, Sachin Jamabawalikar, Boyu Peng, Rebecca Patrizio and Mary M. Salvatore
Life 2022, 12(11), 1699; https://doi.org/10.3390/life12111699 - 26 Oct 2022
Cited by 25 | Viewed by 11425
Abstract
Background: We report the results of our retrospective analysis of the ability of standard chest CT scans to correctly diagnose cancer in the breast. Methods: Four hundred and fifty-three consecutive women with chest CT scans (contrast and non-contrast) preceding mammograms within one year [...] Read more.
Background: We report the results of our retrospective analysis of the ability of standard chest CT scans to correctly diagnose cancer in the breast. Methods: Four hundred and fifty-three consecutive women with chest CT scans (contrast and non-contrast) preceding mammograms within one year comprise the study population. All chest CT images were reviewed by an experienced fellowship-trained chest radiologist and mammograms by an experienced fellowship-trained mammographer without the benefit of prior or ancillary studies; only four mammographic views were included for analysis. The size, location, and shape of breast masses were documented; on CT, the average Hounsfield units were measured. On both imaging modalities, the presence of lymphadenopathy, architectural distortion, skin thickening, and microcalcifications were recorded. Ultimately, the interpreting radiologist was asked to decide if a biopsy was indicated, and these recommendations were correlated with the patient’s outcome. Findings: Nineteen of four hundred and fifty-three patients had breast cancer at the time of the mammography. Breast masses were the most common finding on chest CT, leading to the recommendation for biopsy. Hounsfield units were the most important feature for discerning benign from malignant masses. CT sensitivity, specificity, and accuracy of CT for breast cancer detection was 84.21%, 99.3%, and 98.68% compared to 78.95%, 93.78%, and 93.16% for four-view mammography. Chest CT scans with or without contrast had similar outcomes for specificity and accuracy, but sensitivity was slightly less without contrast. Chest CT alone, without the benefit of prior exams and patient recall, correctly diagnosed cancer with a p-value of <0.0001 compared to mammography with the same limitations. Conclusion: Chest CT accurately diagnosed breast cancer with few false positives and negatives and did so without the need for patient recall for additional imaging. Full article
Show Figures

Figure 1

14 pages, 1384 KB  
Article
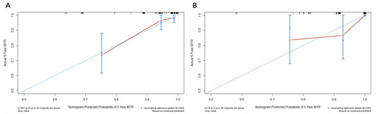
A Novel Nomogram for Predicting Prognosis and Tailoring Local Therapy Decision for Ductal Carcinoma In Situ after Breast Conserving Surgery
by Feifei Xu, Lu Cao, Cheng Xu, Gang Cai, Rong Cai, Weixiang Qi, Shubei Wang, Kunwei Shen, Weimin Chai and Jiayi Chen
J. Clin. Med. 2022, 11(17), 5188; https://doi.org/10.3390/jcm11175188 - 1 Sep 2022
Cited by 3 | Viewed by 2248
Abstract
Purpose: We sought to explore the role of nomogram-combined biomarkers, mammographic microcalcification and inflammatory hematologic markers in guiding local therapy decisions in ductal carcinoma in situ (DCIS) subgroups with different ipsilateral breast tumour recurrence (IBTR) risk. Methods: Between January 2009 and December 2018, [...] Read more.
Purpose: We sought to explore the role of nomogram-combined biomarkers, mammographic microcalcification and inflammatory hematologic markers in guiding local therapy decisions in ductal carcinoma in situ (DCIS) subgroups with different ipsilateral breast tumour recurrence (IBTR) risk. Methods: Between January 2009 and December 2018, consecutive patients with DCIS and breast conserving surgery (BCS) were enrolled and randomly assigned to a training cohort (n = 181) and internally validation cohort (n = 78). Multivariate analyses were performed to identify predictors of IBTR. Model performance was evaluated by the concordance index (C-index) and calibration plot. The time-to-event curves were calculated by the Kaplan–Meier methods and compared by the log-rank test. Results: In total, 259 patients were enrolled and 182 of them received whole breast irradiation (WBI). After a median follow-up of 51.02 months, 23 IBTR events occurred in the whole cohort. By multivariate analyses of training cohort, presence of microinvasion, Ki67 index >14%, mammographic-clustered fine linear microcalcifications and neutrophil/lymphocyte ratio before BCS (preop-NLR), >1.1 remained independent risk factors of IBTR to develop a nomogram. The C-indexes of the nomogram were 0.87 and 0.86 in the training and internal validation set, respectively. Calibration plots illustrated good agreement between the predictions and actual observations for 5-year IBTR. Cut-off values of nomogram point were identified as 53 and 115 points, which divided all patients into low-, intermediate- and high-risk groups. Significant differences in IBTR existed between low-, intermediate- and high-risk subgroups (p < 0.01). For the whole cohort and ER-positive tumours, the benefit of WBI was found only in the intermediate-risk subgroup, but not in those with low or high risk. Fourteen out of 23 IBTRs occurred outside the original quadrant and all occurred in the high-risk group. Conclusions: The novel nomogram demonstrated potential to separate the risk of IBTR and locations of IBTR. For the whole cohort and ER-positive tumours, the benefit of WBI was restricted to an intermediate-risk subgroup. Full article
(This article belongs to the Section Oncology)
Show Figures

Figure 1

13 pages, 2038 KB  
Article
Mammographic Classification of Breast Cancer Microcalcifications through Extreme Gradient Boosting
by Haobang Liang, Jiao Li, Hejun Wu, Li Li, Xinrui Zhou and Xinhua Jiang
Electronics 2022, 11(15), 2435; https://doi.org/10.3390/electronics11152435 - 4 Aug 2022
Cited by 15 | Viewed by 4630
Abstract
In this paper, we proposed an effective and efficient approach to the classification of breast cancer microcalcifications and evaluated the mathematical model for calcification on mammography with a large medical dataset. We employed several semi-automatic segmentation algorithms to extract 51 calcification features from [...] Read more.
In this paper, we proposed an effective and efficient approach to the classification of breast cancer microcalcifications and evaluated the mathematical model for calcification on mammography with a large medical dataset. We employed several semi-automatic segmentation algorithms to extract 51 calcification features from mammograms, including morphologic and textural features. We adopted extreme gradient boosting (XGBoost) to classify microcalcifications. Then, we compared other machine learning techniques, including k-nearest neighbor (kNN), adaboostM1, decision tree, random decision forest (RDF), and gradient boosting decision tree (GBDT), with XGBoost. XGBoost showed the highest accuracy (90.24%) for classifying microcalcifications, and kNN demonstrated the lowest accuracy. This result demonstrates that it is essential for the classification of microcalcification to use the feature engineering method for the selection of the best composition of features. One of the contributions of this study is to present the best composition of features for efficient classification of breast cancers. This paper finds a way to select the best discriminative features as a collection to improve the accuracy. This study showed the highest accuracy (90.24%) for classifying microcalcifications with AUC = 0.89. Moreover, we highlighted the performance of various features from the dataset and found ideal parameters for classifying microcalcifications. Furthermore, we found that the XGBoost model is suitable both in theory and practice for the classification of calcifications on mammography. Full article
(This article belongs to the Special Issue Machine Learning in Big Data)
Show Figures

Figure 1

11 pages, 614 KB  
Article
Radiological Underestimation of Tumor Size as a Relevant Risk Factor for Positive Margin Rate in Breast-Conserving Therapy of Pure Ductal Carcinoma In Situ (DCIS)
by Gesche Schultek, Bernd Gerber, Toralf Reimer, Johannes Stubert, Steffi Hartmann, Annett Martin and Angrit Stachs
Cancers 2022, 14(10), 2367; https://doi.org/10.3390/cancers14102367 - 11 May 2022
Cited by 9 | Viewed by 2441
Abstract
Background: Radiological underestimation of the actual tumor size is a relevant problem in reaching negative margins in ductal carcinoma in situ (DCIS) associated with microcalcifications in breast-conserving therapy (BCT). The aim of this study is to evaluate whether the radiological underestimation of tumor [...] Read more.
Background: Radiological underestimation of the actual tumor size is a relevant problem in reaching negative margins in ductal carcinoma in situ (DCIS) associated with microcalcifications in breast-conserving therapy (BCT). The aim of this study is to evaluate whether the radiological underestimation of tumor size has an influence on the histopathological margin status. Methods: Patients who underwent BCT with preoperatively diagnosed pure DCIS were included (pooled analysis of two trials). Multiple factors were analysed regarding radiological underestimation ≥10 mm. Radiological underestimation was defined as mammographic minus histological tumor size in mm. Results: Positive margins occurred in 75 of 189 patients. Radiological underestimation ≥10 mm was an independent influencing factor (OR 5.80; 95%CI 2.55–13.17; p < 0.001). A radiological underestimation was seen in 70 patients. The following parameters were statistically significant associated with underestimation: pleomorphic microcalcifications (OR 3.77; 95%CI 1.27–11.18), clustered distribution patterns (OR 4.26; 95%CI 2.25–8.07), and mammographic tumor sizes ≤20 mm (OR 7.47; 95%CI 3.49–15.99). Only a mammographic tumor size ≤20 mm was an independent risk factor (OR 6.49; 95%CI 2.30–18.26; p < 0.001). Grading, estrogen receptor status, and comedo necrosis did not influence the size estimation. Conclusion: Radiological underestimation is an independent risk factor for positive margins in BCT of DCIS associated with microcalcifications predominantly occurring in mammographic small tumors. Full article
Show Figures

Figure 1

Back to TopTop