Sign in to use this feature.

Years

Between: -

Subjects

remove_circle_outline
remove_circle_outline
remove_circle_outline
remove_circle_outline
remove_circle_outline
remove_circle_outline
remove_circle_outline
remove_circle_outline
remove_circle_outline

Journals

remove_circle_outline
remove_circle_outline
remove_circle_outline
remove_circle_outline
remove_circle_outline
remove_circle_outline
remove_circle_outline
remove_circle_outline

Article Types

Countries / Regions

remove_circle_outline
remove_circle_outline
remove_circle_outline
remove_circle_outline

Search Results (168)

Search Parameters:
Keywords = magic performance

Order results
Result details
Results per page
Select all
Export citation of selected articles as:
13 pages, 635 KB  
Article
About Implementation of Magic State Injection in Heavy-Hexagon Structure
by Hansol Kim, Wonjae Choi and Younghun Kwon
Mathematics 2025, 13(23), 3874; https://doi.org/10.3390/math13233874 - 3 Dec 2025
Viewed by 407
Abstract
Implementing fault-tolerant quantum computing necessitates the realization of logical non-Clifford gates, which requires the preparation of specific quantum states known as magic states. However, IBM’s heavy-hexagon structure, which has limited qubit connectivity, presents challenges in adapting quantum error correction codes such as the [...] Read more.
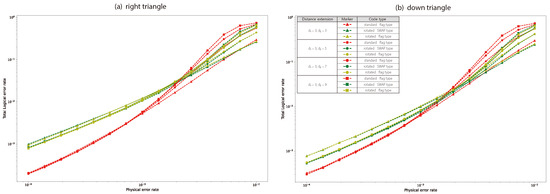
Implementing fault-tolerant quantum computing necessitates the realization of logical non-Clifford gates, which requires the preparation of specific quantum states known as magic states. However, IBM’s heavy-hexagon structure, which has limited qubit connectivity, presents challenges in adapting quantum error correction codes such as the surface code. Several methods have been proposed to address these challenges by adapting the surface code to the heavy-hexagon architecture. In this study, we implement the magic state injection process within two distinct implementations of surface codes (standard and rotated methods) suitable for the heavy-hexagon structure and compare their logical error rates. Furthermore, we propose initialization methods to enhance the performance of magic state injection in the heavy-hexagon structure, thereby efficiently achieving logical non-Clifford gates with reduced error rates. Full article
(This article belongs to the Special Issue Recent Advances in Quantum Information and Quantum Computing)
Show Figures

Figure 1

17 pages, 1924 KB  
Article
Comparison of the Genetic Basis of Yield Traits Between Main and Ratoon Rice in an Eight-Way MAGIC Population
by Zhongmin Han, Ahmed Sherif, Mohammed Ayaad, Yongzhong Xing and Yuncai Lu
Plants 2025, 14(22), 3527; https://doi.org/10.3390/plants14223527 - 19 Nov 2025
Viewed by 319
Abstract
Ratoon rice plays a crucial role in sustainable rice production due to its potential for additional harvests; however, the genetic basis of its yield remains to be explored. In this study, we aimed to precisely dissect the genetic basis of yield in ratoon [...] Read more.
Ratoon rice plays a crucial role in sustainable rice production due to its potential for additional harvests; however, the genetic basis of its yield remains to be explored. In this study, we aimed to precisely dissect the genetic basis of yield in ratoon rice by selecting 302 eight-way MAGIC lines that achieved synchronized heading within a 10-day period through staggered sowing. The eight parental lines exhibited distinct yield performances across both main and ratoon crops. Significant correlations were observed between the main and ratoon crops concerning panicle length (R = 0.67) and spikelets per panicle (R = 0.36). Genome-wide association studies (GWAS) revealed a total of 17 quantitative trait loci (QTLs) associated with five yield-related traits in both main and ratoon crops. Specifically, seven QTLs were detected for yield components in the main crop, while six QTLs were identified in the ratoon crop, in addition to five QTLs associated with ratooning ability. Notably, only one QTL, qPL1, was commonly detected in both crops, exhibiting opposite effects on tiller number across crop types. Among the QTLs specifically identified in the ratoon crop, qGY10 demonstrated the largest effect on ratoon grain yield without compromising the performance of the main crop. The known gene, Ghd7.1, exhibited pleiotropic effects on both ratooning ability and ratoon grain yield. Candidate gene analysis prioritized likely causal genes and defined key haplotypes within these QTL intervals by leveraging the genomic diversity of the eight founders. These findings underscore the distinct genetic determinants for yields in main and ratoon crops, providing a genetic basis for breeding high-yielding varieties in both crop types. Full article
(This article belongs to the Special Issue Advances in Genome-Wide Studies of Complex Agronomic Traits in Crops)
Show Figures

Figure 1

15 pages, 257 KB  
Article
Magic and the Postsecular: Disenchantment and Participatory Consciousness
by Simon Dein
Religions 2025, 16(11), 1413; https://doi.org/10.3390/rel16111413 - 6 Nov 2025
Viewed by 627
Abstract
This paper examines postsecularism, magic and disenchantment in the West with an emphasis on Wicca. Following a discussion of postsecularism, it provides a critical overview of the Weberian notion of disenchantment which describes the decline in magic in modernity. Magic, far from disappearing [...] Read more.
This paper examines postsecularism, magic and disenchantment in the West with an emphasis on Wicca. Following a discussion of postsecularism, it provides a critical overview of the Weberian notion of disenchantment which describes the decline in magic in modernity. Magic, far from disappearing in the postsecular, has been transformed through a process of psychologization. While there is substantial evidence for the persistence of magic in modernity, the question is how it persists. The notion of participatory consciousness is deployed to account for its persistence. Participatory consciousness allows us to understand the ways that everyday life blends secular, spiritual, and religious aspects—a central theme of the postsecular condition. This paper deploys secondary ethnographic data pertaining to phenomenological studies of Wiccan rituals. Wiccans demonstrate an interest in spirituality that aligns with nature. There is a complex relationship between secular and religious ideas with a blending of spiritual practices with modern technology and individualized spiritual paths. Through the performance of rituals, practitioners transition from an ‘ordinary’ to a ‘magical’ worldview—a form of participatory consciousness involving analogical thinking, imagination, meaning and affect associated with an holistic and enchanted worldview where there are meaningful connections between people, events, and objects. Full article
16 pages, 34460 KB  
Article
A Mixed Reality-Based Training and Guidance System for Quality Control
by Luzia Saraiva, João Henriques, José Silva, André Barbosa and Serafim M. Oliveira
Computers 2025, 14(11), 479; https://doi.org/10.3390/computers14110479 - 3 Nov 2025
Viewed by 486
Abstract
The increasing demand for customized products has raised the significant challenges of increasing performance and reducing costs in the industry. Facing that demand requires operators to enhance their capabilities to cope with complexity, demanding skills, and higher cognitive levels, performance, and errors. To [...] Read more.
The increasing demand for customized products has raised the significant challenges of increasing performance and reducing costs in the industry. Facing that demand requires operators to enhance their capabilities to cope with complexity, demanding skills, and higher cognitive levels, performance, and errors. To overcome this scenario, a virtual instructor framework is proposed to instruct operators and support procedural quality, enabled by the use of You Only Look Once (YOLO) models and by equipping the operators with Magic Leap 2 as a Head-Mounted Display (HMD). The framework relies on key modules, such as Instructor, Management, Core, Object Detection, 3D Modeling, and Storage. A use case in the automotive industry helped validate the Proof-of-concept (PoC) of the proposed framework. This framework can contribute to guiding the development of new tools supporting assembly operations in the industry. Full article
Show Figures

Figure 1

32 pages, 11240 KB  
Article
Active and Passive Control Strategies for Ride Stability and Handling Enhancement in Three-Wheelers
by Dumpala Gangi Reddy and Ramarathnam Krishna Kumar
Vehicles 2025, 7(4), 126; https://doi.org/10.3390/vehicles7040126 - 30 Oct 2025
Viewed by 628
Abstract
Three-wheeled vehicles are increasingly adopted as sustainable transport solutions, but their asymmetric design and lightweight structure make them vulnerable to ride discomfort and rollover instability. This study develops a high-fidelity 12-degrees-of-freedom (DOF) dynamic model in MATLAB/Simulink and MSC ADAMS to analyze and improve [...] Read more.
Three-wheeled vehicles are increasingly adopted as sustainable transport solutions, but their asymmetric design and lightweight structure make them vulnerable to ride discomfort and rollover instability. This study develops a high-fidelity 12-degrees-of-freedom (DOF) dynamic model in MATLAB/Simulink and MSC ADAMS to analyze and improve ride comfort, handling, and roll stability. The model captures longitudinal, lateral, vertical, roll, pitch, and yaw motions, along with tire dynamics represented through the Magic Formula, and is validated using real-world data from an instrumented test vehicle. In this research, both active and passive control strategies were separately implemented and studied. The active strategy involves an Active Vehicle Roll Dynamics Control (VRDC) system with an active rear suspension to suppress roll and yaw during aggressive maneuvers. The passive strategy focuses on improving rollover resistance by modulating throttle input based on sensor data from gyroscopes, accelerometers, and compasses. Simulation and experimental results show that each strategy, when applied independently, enhances roll stability, reduces yaw rate deviations, and improves handling performance. These findings demonstrate the effectiveness of both approaches in improving the safety and dynamic behavior of electric three-wheeled vehicles under real-world conditions. Full article
(This article belongs to the Special Issue Advanced Vehicle Dynamics and Autonomous Driving Applications)
Show Figures

Figure 1

17 pages, 4206 KB  
Article
Aroma Profiling and Sensory Association of Six Raspberry Cultivars Using HS-SPME/GC-MS and OPLS-HDA
by Jovana Ljujić, Boban Anđelković, Ivana Sofrenić, Katarina Simić, Ljubodrag Vujisić, Nevena Batić, Stefan Ivanović and Dejan Gođevac
Foods 2025, 14(21), 3599; https://doi.org/10.3390/foods14213599 - 22 Oct 2025
Viewed by 594
Abstract
In this study, six club raspberry varieties were examined for their aromatic profiles and sensory qualities, and statistical approaches were used to determine how aroma components affect consumer impressions. Analysis of the aroma’s chemical composition was performed utilizing headspace SPME and GC-MS. MS-DIAL [...] Read more.
In this study, six club raspberry varieties were examined for their aromatic profiles and sensory qualities, and statistical approaches were used to determine how aroma components affect consumer impressions. Analysis of the aroma’s chemical composition was performed utilizing headspace SPME and GC-MS. MS-DIAL -v5.5.250627 software was used to identify components from commercial libraries, after 10 repetitions for each variety, followed by manual verification. A sensory evaluation of fresh fruits, with 55 volunteers, was statistically analyzed and linked to chemical composition using multivariate analysis and the OPLS-HDA classification method, which was employed for the first time. Tula Magic was scored the highest in the sensory evaluation compared to Adelita, Himbo Top, Glen Dee, San Rafael, and Cascade Harvest. 2-Heptanol (fresh, lemongrass-like, herbal, floral, fruity, green), heptanal (fresh, aldehydic, fatty, green, herbal), and 2-methyl-6-hepten-1-ol (oily-green, herbaceous-citrusy) separated Tula Magic from the other varieties assessed. The same components were recognized in OPLS as positive contributors to the flavor score, while terpenoids like trans-β-ionone, α-ionone, and α,β-dihydro-β-ionone, as well as 2-heptanone, scored slightly lower. This suggests that a fine balance between the individual components is key to the overall aroma sensation. Full article
(This article belongs to the Special Issue Innovative Applications of Metabolomics in Food Science)
Show Figures

Figure 1

33 pages, 592 KB  
Systematic Review
Exploring the Use of Magic Tricks with Students with Disabilities to Meet the Universal Design for Learning Engagement Consideration of Nurturing Joy and Play: A Systematic Narrative Review
by Dan Ezell
Educ. Sci. 2025, 15(9), 1212; https://doi.org/10.3390/educsci15091212 - 12 Sep 2025
Viewed by 1204
Abstract
This systematic narrative review explores implementing the use of magic tricks for individuals with disabilities as a strategy to increase student engagement and meet the 2024 Universal Design for Learning (UDL) Guidelines 3.0 for Engagement Consideration 7.3: Nurture joy and play. The author [...] Read more.
This systematic narrative review explores implementing the use of magic tricks for individuals with disabilities as a strategy to increase student engagement and meet the 2024 Universal Design for Learning (UDL) Guidelines 3.0 for Engagement Consideration 7.3: Nurture joy and play. The author is a university faculty member in the field of special education and a professional magician. With 30+ years of using magic in educational settings, the author uses the unique combination of understanding pedagogy and the art of magic to make educational inferences of how to successfully nurture joy and play using simple-to-learn magic tricks. Therefore, the intention of this article is to showcase empirical studies that specifically focus on the educational benefits of learning and performing magic tricks and how they may align with nurturing joy and play. A systematic narrative review was conducted using predetermined inclusion and exclusion criteria across six databases (JSTOR, ERIC, DOAJ, EBSCO, ProQuest and Google Scholar) resulting in a total of 153 articles. This review follows the Preferred Reporting Items for Systematic Reviews and Meta-Analyses (PRISMA) guidelines and uses an integrative narrative synthesis. Overall, the findings reveal there are many overlapping elements between the experiences of learning and performing magic tricks and nurturing joy and play. Both learning and performing magic tricks can be used to increase engagement for students with disabilities in the classroom setting. Therefore, the findings suggest that teachers may potentially meet the UDL’s nurturing joy and play engagement consideration by incorporating magic tricks in their classrooms. Full article
Show Figures

Figure 1

21 pages, 2572 KB  
Article
Comparative Removal Properties of Sodium Magadiite and Its Protonic Form on Basic-Blue 41 from Contaminated Aqueous Solution
by Thamer S. Alraddadi, Mohd Gulfam Alam, Rawan Al-Faze, Saheed A. Popoola, Souad Rakass, Hicham Oudghiri Hassani and Fethi Kooli
Inorganics 2025, 13(9), 303; https://doi.org/10.3390/inorganics13090303 - 9 Sep 2025
Viewed by 839
Abstract
Sodium magadiite (Na-Mgd) was hydrothermally prepared and converted to its protonic (H-Mgd) form by reaction with hydrochloric (HCl) solution. The obtained products were studied as adsorbents for basic blue 41 (BB-41) removal from polluted aqueous solution. Na-Mgd and H-Mgd were characterized by different [...] Read more.
Sodium magadiite (Na-Mgd) was hydrothermally prepared and converted to its protonic (H-Mgd) form by reaction with hydrochloric (HCl) solution. The obtained products were studied as adsorbents for basic blue 41 (BB-41) removal from polluted aqueous solution. Na-Mgd and H-Mgd were characterized by different techniques. Powder X-ray (PXRD) diffraction data confirmed a pure Na-Mag phase and its conversion to acidic form (H-Mgd) with shift in d001 value from 1.54 nm to 1.12 nm. X-ray fluorescence (XRF) data supported the exchange of Na cations by protons for H-Mag. 29Si magic angle spinning nuclear magnetic resonance (MAS-NMR) indicated a change in the local environment of silicon nucleus when Na-Mgd was treated with HCl solution. The BB-41 removal dyes were investigated throughout the batch process. Effects of selected parameters, for example, the adsorbent dosage, pH of the BB-41 solution, pH of the H-Mag solid, and starting concentration, were explored. The equilibrium data were fitted to the Langmuir and Freundlich isotherm models. The maxima removal capacities of Na-Mgd and H-Mgd were 219 mg/g and 114 mg/g, respectively. The regeneration and reusability tests were performed using initial concentrations of 50 mg/L and 200 mg/L for seven cycles. The efficiency was maintained for 5 to 6 cycles with a decline of 10% using low initial concentration; however, a decline of efficiency to 30 to 50% was achieved when a higher initial concentration was employed after 3 to 4 regeneration tests for Na-Mgd and H-Mgd samples. Adsorber batch design using the Langmuir and Freundlich isotherm parameters was used to predict its performance for commercial usage. The predicted masses of H-Mgd were higher than those of Na-Mgd to treat different effluent volumes contaminated with 200 mg/L of BB-41 dyes at desired removal percentages. Full article
(This article belongs to the Special Issue Advances in Metal Ion Research and Applications)
Show Figures

Graphical abstract

21 pages, 3693 KB  
Article
Electrochemistry–Mass Spectrometry for Generation and Identification of Metabolites of Selected Drugs from Different Therapeutic Groups in Comparison with In Vitro and In Vivo Approaches
by Małgorzata Szultka-Młyńska
Separations 2025, 12(9), 243; https://doi.org/10.3390/separations12090243 - 5 Sep 2025
Viewed by 870
Abstract
The metabolism of antibiotics, antidepressants, and cardiovascular drugs has been investigated widely over the last few decades. The aim of this study was to develop an efficient analytical protocol based on the combination of electrochemistry (EC) and mass spectrometry for the identification of [...] Read more.
The metabolism of antibiotics, antidepressants, and cardiovascular drugs has been investigated widely over the last few decades. The aim of this study was to develop an efficient analytical protocol based on the combination of electrochemistry (EC) and mass spectrometry for the identification of electrochemical products (potential pharmacologically active metabolites) of selected drugs (enalapril, metronidazole, midazolam, propranolol, venlafaxine). The electrochemical mimicry of the oxidative phase I and II metabolism was achieved in a thin-layer cell equipped with different working electrodes (magic diamond (MD), glassy carbon (GC), gold (Au), platinum (Pt)). The structures of the electrochemically generated metabolites were elucidated based on accurate mass ion data and tandem mass spectrometry (MS/MS) experiments. The in silico prediction of the main sites of selected drugs’ metabolism was performed using Biotransformer 3.0, GLORYx, and Xenosite software. Moreover, incubation with liver microsomes (LMs) was performed to examine the proposed metabolic pathways of target compounds. The data from in vitro experiments agreed with the data from electrochemical oxidation, which predicted some potential metabolites found in the real samples from patients. For enzymatic incubation, N-dealkylation, O-demethylation, and hydroxylation were the metabolic pathways involved mainly in their metabolism. Their in vitro phase II metabolites were identified as glucuronic acid conjugates. Finally, different in vivo phase I and II metabolites were identified for the studied drugs, including metabolic pathways for in vivo phase I N-demethylation, N-dealkylation, O-demethylation, and hydroxylation, while the metabolic pathways for in vivo phase II metabolites were identified as glucuronic acid conjugates. Full article
(This article belongs to the Special Issue Separation Techniques in Drug Analysis)
Show Figures

Figure 1

16 pages, 3781 KB  
Systematic Review
Augmented Reality in Dental Extractions: Narrative Review and an AR-Guided Impacted Mandibular Third-Molar Case
by Gerardo Pellegrino, Carlo Barausse, Subhi Tayeb, Elisabetta Vignudelli, Martina Casaburi, Stefano Stradiotti, Fabrizio Ferretti, Laura Cercenelli, Emanuela Marcelli and Pietro Felice
Appl. Sci. 2025, 15(17), 9723; https://doi.org/10.3390/app15179723 - 4 Sep 2025
Viewed by 1509
Abstract
Background: Augmented-reality (AR) navigation is emerging as a means of turning pre-operative cone-beam CT data into intuitive, in situ guidance for difficult tooth removal, yet the scattered evidence has never been consolidated nor illustrated with a full clinical workflow. Aims: This [...] Read more.
Background: Augmented-reality (AR) navigation is emerging as a means of turning pre-operative cone-beam CT data into intuitive, in situ guidance for difficult tooth removal, yet the scattered evidence has never been consolidated nor illustrated with a full clinical workflow. Aims: This study aims to narratively synthesise AR applications limited to dental extractions and to illustrate a full AR-guided clinical workflow. Methods: We performed a PRISMA-informed narrative search (PubMed + Cochrane, January 2015–June 2025) focused exclusively on AR applications in dental extractions and found nine eligible studies. Results: These pilot reports—covering impacted third molars, supernumerary incisors, canines, and cyst-associated teeth—all used marker-less registration on natural dental surfaces and achieved mean target-registration errors below 1 mm with headset set-up times under three minutes; the only translational series (six molars) recorded a mean surgical duration of 21 ± 6 min and a System Usability Scale score of 79. To translate these findings into practice, we describe a case of AR-guided mandibular third-molar extraction. A QR-referenced 3D-printed splint, intra-oral scan, and CBCT were fused to create a colour-coded hologram rendered on a Magic Leap 2 headset. The procedure took 19 min and required only a conservative osteotomy and accurate odontotomy that ended without neurosensory disturbance (VAS pain 2/10 at one week). Conclusions: Collectively, the literature synthesis and clinical demonstration suggest that current AR platforms deliver sub-millimetre accuracy, minimal workflow overhead, and high user acceptance in high-risk extractions while highlighting the need for larger, controlled trials to prove tangible patient benefit. Full article
Show Figures

Figure 1

17 pages, 801 KB  
Article
When Words Become Voice: Intermedial Storytelling and Identity in the Georgian Folk Tale Master and Pupil
by Gül Mükerrem Öztürk
Arts 2025, 14(4), 94; https://doi.org/10.3390/arts14040094 - 12 Aug 2025
Viewed by 877
Abstract
This article closely examines the Georgian folk tale Master and Pupil, focusing on the intermedial transformation of its sequential narrative structure as an instance of oral storytelling. The tale is analyzed within the broader discourses of performativity, voice, and narrative subjectivity through [...] Read more.
This article closely examines the Georgian folk tale Master and Pupil, focusing on the intermedial transformation of its sequential narrative structure as an instance of oral storytelling. The tale is analyzed within the broader discourses of performativity, voice, and narrative subjectivity through the lenses of performance theory, media formalism, and the Aarne–Thompson–Uther (ATU) classification system (Type 325). The study reveals a transition in the tale from silence to vocal authority; here, voice functions not only as a means of communication but also as a vehicle for resistance, transformation, and the negotiation of identity. Master and Pupil emerges, beyond a magical apprenticeship narrative, as a multilayered performance of disembodiment and symbolic transmission through an intermedial perspective; in this context, musicality and vocality operate as liminal forces. The pupil’s acquisition of voice signifies both a narrative rupture and a restructuring of hierarchical relations. Furthermore, the article situates the tale within the broader matrix of the Georgian oral storytelling tradition, demonstrating how recurring motifs surrounding the transformation of voice reflect culturally embedded patterns of media convergence and embodied knowledge. By foregrounding the tale’s intermedial dynamics, this study reframes folk tales as a fluid site of aesthetic, cultural, and epistemic negotiations. Full article
Show Figures

Figure 1

15 pages, 1361 KB  
Article
Radiomics with Clinical Data and [18F]FDG-PET for Differentiating Between Infected and Non-Infected Intracavitary Vascular (Endo)Grafts: A Proof-of-Concept Study
by Gijs D. van Praagh, Francine Vos, Stijn Legtenberg, Marjan Wouthuyzen-Bakker, Ilse J. E. Kouijzer, Erik H. J. G. Aarntzen, Jean-Paul P. M. de Vries, Riemer H. J. A. Slart, Lejla Alic, Bhanu Sinha and Ben R. Saleem
Diagnostics 2025, 15(15), 1944; https://doi.org/10.3390/diagnostics15151944 - 2 Aug 2025
Cited by 1 | Viewed by 820
Abstract
Objective: We evaluated the feasibility of a machine-learning (ML) model based on clinical features and radiomics from [18F]FDG PET/CT images to differentiate between infected and non-infected intracavitary vascular grafts and endografts (iVGEI). Methods: Three ML models were developed: one based on [...] Read more.
Objective: We evaluated the feasibility of a machine-learning (ML) model based on clinical features and radiomics from [18F]FDG PET/CT images to differentiate between infected and non-infected intracavitary vascular grafts and endografts (iVGEI). Methods: Three ML models were developed: one based on pre-treatment criteria to diagnose a vascular graft infection (“MAGIC-light features”), another using radiomics features from diagnostic [18F]FDG-PET scans, and a third combining both datasets. The training set included 92 patients (72 iVGEI-positive, 20 iVGEI-negative), and the external test set included 20 iVGEI-positive and 12 iVGEI-negative patients. The abdominal aorta and iliac arteries in the PET/CT scans were automatically segmented using SEQUOIA and TotalSegmentator and manually adjusted, extracting 96 radiomics features. The best-performing models for the MAGIC-light features and PET-radiomics features were selected from 343 unique models. Most relevant features were combined to test three final models using ROC analysis, accuracy, sensitivity, and specificity. Results: The combined model achieved the highest AUC in the test set (mean ± SD: 0.91 ± 0.02) compared with the MAGIC-light-only model (0.85 ± 0.06) and the PET-radiomics model (0.73 ± 0.03). The combined model also achieved a higher accuracy (0.91 vs. 0.82) than the diagnosis based on all the MAGIC criteria and a comparable sensitivity and specificity (0.70 and 1.00 vs. 0.76 and 0.92, respectively) while providing diagnostic information at the initial presentation. The AUC for the combined model was significantly higher than the PET-radiomics model (p = 0.02 in the bootstrap test), while other comparisons were not statistically significant. Conclusions: This study demonstrated the potential of ML models in supporting diagnostic decision making for iVGEI. A combined model using pre-treatment clinical features and PET-radiomics features showed high diagnostic performance and specificity, potentially reducing overtreatment and enhancing patient outcomes. Full article
(This article belongs to the Special Issue Artificial Intelligence-Driven Radiomics in Medical Diagnosis)
Show Figures

Figure 1

25 pages, 904 KB  
Review
Edible Mushroom Cultivation in Liquid Medium: Impact of Microparticles and Advances in Control Systems
by Juan Carlos Ferrer Romero, Oana Bianca Oprea, Liviu Gaceu, Siannah María Más Diego, Humberto J. Morris Quevedo, Laura Galindo Alonso, Lilianny Rivero Ramírez and Mihaela Badea
Processes 2025, 13(8), 2452; https://doi.org/10.3390/pr13082452 - 2 Aug 2025
Cited by 2 | Viewed by 3023
Abstract
Mushrooms are eukaryotic organisms with absorptive heterotrophic nutrition, capable of feeding on organic matter rich in cellulose and lignocellulose. Since ancient times, they have been considered allies and, in certain cultures, they were seen as magical beings or food of the gods. Of [...] Read more.
Mushrooms are eukaryotic organisms with absorptive heterotrophic nutrition, capable of feeding on organic matter rich in cellulose and lignocellulose. Since ancient times, they have been considered allies and, in certain cultures, they were seen as magical beings or food of the gods. Of the great variety of edible mushrooms identified worldwide, less than 2% are traded on the market. Although mushrooms have been valued for their multiple nutritional and healing benefits, some cultures perceive them as toxic and do not accept them in their culinary practices. Despite the existing skepticism, several researchers are promoting the potential of edible mushrooms. There are two main methods of mushroom cultivation: solid-state fermentation and submerged fermentation. The former is the most widely used and simplest, since the fungus grows in its natural environment; in the latter, the fungus grows suspended without developing a fruiting body. In addition, submerged fermentation is easily monitored and scalable. Both systems are important and have their limitations. This article discusses the main methods used to increase the performance of submerged fermentation with emphasis on the modes of operation used, types of bioreactors and application of morphological bioengineering of filamentous fungi, and especially the use of intelligent automatic control technologies and the use of non-invasive monitoring in fermentation systems thanks to the development of machine learning (ML), neural networks, and the use of big data, which will allow more accurate decisions to be made in the fermentation of filamentous fungi in submerged environments with improvements in production yields. Full article
Show Figures

Figure 1

50 pages, 7974 KB  
Article
Multiple Histories of Russian Occultism and the Unfinished Modernity: Imperial Esoterica Versus Modernizations of Avant-Garde Conceptualism
by Dennis Ioffe
Histories 2025, 5(3), 34; https://doi.org/10.3390/histories5030034 - 29 Jul 2025
Viewed by 6397
Abstract
The essay offers an expansive and multi-stratified investigation into the role of esoteric traditions within the development of Russian modernity, reframing occultism not as an eccentric deviation but as a foundational epistemological regime integral to Russia’s aesthetic, philosophical, and political evolution. By analyzing [...] Read more.
The essay offers an expansive and multi-stratified investigation into the role of esoteric traditions within the development of Russian modernity, reframing occultism not as an eccentric deviation but as a foundational epistemological regime integral to Russia’s aesthetic, philosophical, and political evolution. By analyzing the arc from Petrine-era alchemical statecraft to the techno-theurgical aspirations of Russian Cosmism and the esoteric visual regimes of the avant-garde, this essay discloses the deep ontological entanglement between sacral knowledge and modernist radical experimentation. The work foregrounds figures such as Jacob Bruce, Wassily Kandinsky, and Kazimir Malevich, situating them within broader transnational currents of Hermeticism, Theosophy, and Rosicrucianism, while interrogating the role of occult infrastructures in both late-imperial and Soviet paradigms. Drawing on recent theoretical frameworks in the global history of esotericism and modernist studies, the long-read article elucidates the metaphysical substrata animating Russian Symbolism, Abstraction, Malevich’s non-Euclidian Suprematism and Moscow Conceptualism. This study contends that esotericism in Russia—far from marginal—served as a generative matrix for radical aesthetic innovation and ideological reconfiguration. It proposes a reconceptualization of Russian cultural history as a palimpsest of submerged sacral structures, where utopia and apocalypse, magic and technology, converge in a distinctively Russian cosmopoietic horizon. Ultimately, this essay reframes Russian and European occultism as an alternate technology of cognition and a performative semiotic universe shaping not only artistic modernism but also the very grammar of Russian historical imagination. Full article
(This article belongs to the Section Cultural History)
Show Figures

Figure 1

16 pages, 1672 KB  
Article
Effectiveness of a Case Management Intervention Combined with Physical Exercise Compared to Physical Exercise Alone in Older People with High Risk of Falls: A Protocol Study of a Randomized Clinical Trial
by Daiene Morais, Karina Gramani-Say, Mariana Luiz de Melo, Ana Laura Oliveira Dias, Verena Vassimon-Barroso, Jean Roberto Ponciano, Daniela Godoi-Jacomassi and Juliana Hotta Ansai
Healthcare 2025, 13(15), 1814; https://doi.org/10.3390/healthcare13151814 - 25 Jul 2025
Viewed by 843
Abstract
Background/Objectives: There is a need for randomized clinical trials with higher quality, especially for older people at high risk of falls, with interventions that consider individual needs, comprehensiveness of care, and connection with primary health care. We designed a randomized controlled trial [...] Read more.
Background/Objectives: There is a need for randomized clinical trials with higher quality, especially for older people at high risk of falls, with interventions that consider individual needs, comprehensiveness of care, and connection with primary health care. We designed a randomized controlled trial to examine the effects of a case management intervention combined with a physical exercise protocol on risk factors for falls, falls data, adherence, satisfaction, costs, and implementation in community-dwelling older adults with high risk of falls. Methods: A minimum of 60 community-dwelling older people with high falls risk will participate in the randomized controlled assessor-blinded trial (MAGIC—v. 2). The trial will be conducted in a regional health department of São Paulo state (Brazil), which includes 6 cities. Participants will be randomized to the Intervention Group (case management intervention based on all individual risk factors for falls identified by a multidimensional assessment, over 16 weeks, once a week, by telephone calls). Both groups will perform a physical exercise protocol based on falls prevention for 16 weeks (twice a week) in Health Units. The assessment will be performed at baseline, after 16 weeks of intervention, after 6-month follow-up, and after 12-month follow-up. Primary outcome measures include falls data and potentially modifiable risk factors for falls. Discussion: This study has the potential to facilitate the future implementation of the intervention based on case management with a focus on fall prevention in the health sectors. Trial registration: Brazilian Registry of Clinical Trials (ReBEC). Full article
(This article belongs to the Section Public Health and Preventive Medicine)
Show Figures

Figure 1

Back to TopTop