About Implementation of Magic State Injection in Heavy-Hexagon Structure
Abstract
1. Introduction
2. Surface Code on Heavy-Hexagon Structure
2.1. Surface Code on Standard Heavy-Hexagon Structure (Standard Method)
2.2. Surface Code on Rotated Heavy-Hexagon Structure (Rotated Method)
2.3. Comparison of Two Methods
3. Magic State Injection
3.1. Injection Method
3.2. Injection Error
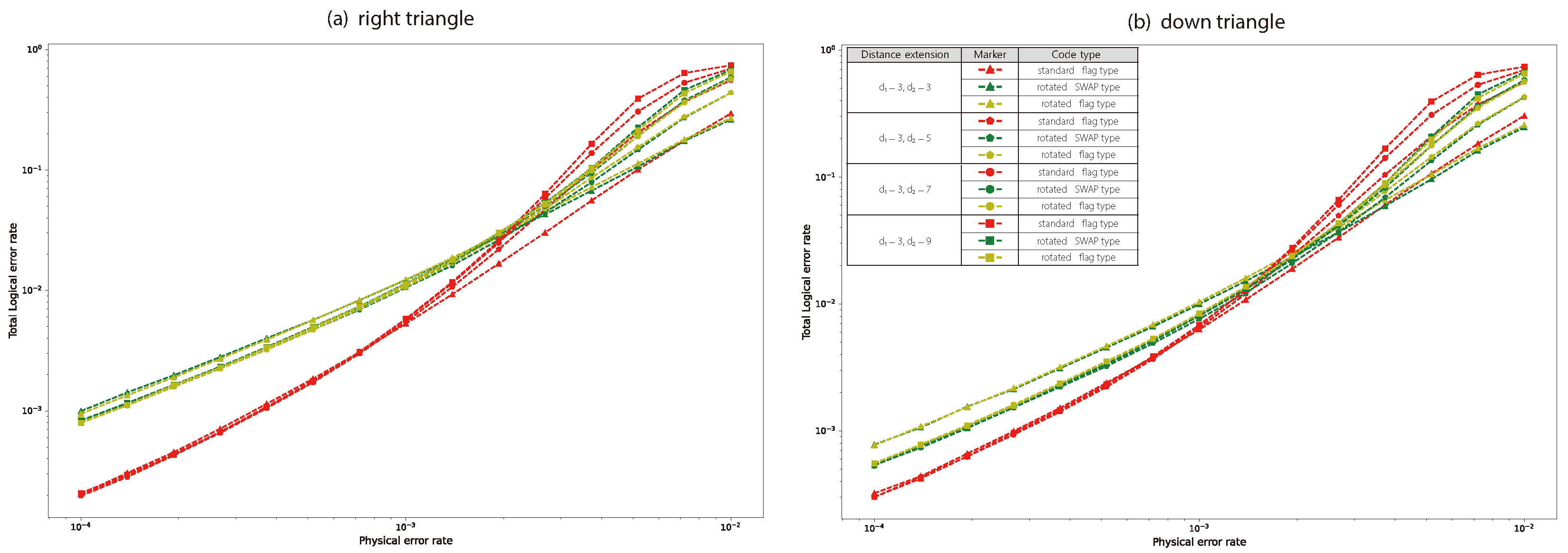
4. Performance Comparison: Standard vs. Rotated Methods
5. Conclusions and Discussion
Author Contributions
Funding
Institutional Review Board Statement
Informed Consent Statement
Data Availability Statement
Conflicts of Interest
Appendix A. Magic State Injection Process
Appendix B. Error Detecting on Magic State Injection

Appendix C. Experimental Setup
References
- Nielsen, M.A.; Chuang, I.L. Quantum Computation and Quantum Information; Cambridge University Press: Cambridge, UK, 2010. [Google Scholar]
- Bennett, C.H.; Brassard, G. Quantum cryptography: Public key distribution and coin tossing. Theor. Comput. Sci. 2014, 560, 7. [Google Scholar] [CrossRef]
- Shor, P.W. Polynomial-Time Algorithms for Prime Factorization and Discrete Logarithms on a Quantum Computer. SIAM Rev. 1999, 41, 303–332. [Google Scholar] [CrossRef]
- Grover, L.K. Quantum Computers Can Search Rapidly by Using Almost Any Transformation. Phys. Rev. Lett. 1998, 80, 4329–4332. [Google Scholar] [CrossRef]
- Bae, J.; Kwon, Y. Generalized quantum search Hamiltonian. Phys. Rev. A 2002, 66, 012314. [Google Scholar] [CrossRef][Green Version]
- Abrams, D.S.; Lloyd, S. Quantum Algorithm Providing Exponential Speed Increase for Finding Eigenvalues and Eigenvectors. Phys. Rev. Lett. 1999, 83, 5162–5165. [Google Scholar] [CrossRef]
- Park, S.; Bae, J.; Kwon, Y. Wavelet quantum search algorithm with partial information. Chaos Solitons Fractals 2007, 32, 1371–1374. [Google Scholar] [CrossRef][Green Version]
- Namkung, M.; Kwon, Y. Coherence and Entanglement Dynamics in Training Variational Quantum Perceptron. Entropy 2020, 22, 1277. [Google Scholar] [CrossRef]
- Barends, R.; Kelly, J.; Megrant, A.; Veitia, A.; Sank, D.; Jeffrey, E.; White, T.C.; Mutus, J.; Fowler, A.G.; Campbell, B.; et al. Superconducting quantum circuits at the surface code threshold for fault tolerance. Nature 2014, 508, 500–503. [Google Scholar] [CrossRef]
- Kang, J.; Kim, C.; Kim, Y.; Kwon, Y. New design of three-qubit system with three transmons and a single fixed-frequency resonator coupler. Sci. Rep. 2025, 15, 12134. [Google Scholar] [CrossRef]
- Krinner, S.; Lacroix, N.; Remm, A.; Paolo, A.D.; Genois, E.; Leroux, C.; Hellings, C.; Lazar, S.; Swiadek, F.; Herrmann, J.; et al. Realizing repeated quantum error correction in a distance-three surface code. Nature 2022, 605, 669. [Google Scholar] [CrossRef]
- Zhao, Y.; Ye, Y.; Huang, H.-L.; Zhang, Y.; Wu, D.; Guan, H.; Zhu, Q.; Wei, Z.; He, T.; Cao, S.; et al. Realization of an error-correcting surface code with superconducting qubits. Phys. Rev. Lett. 2022, 129, 030501. [Google Scholar] [CrossRef]
- Postler, L.; Heußen, S.; Pogorelov, I.; Rispler, M.; Feldker, T.; Meth, M.; Marciniak, C.D.; Stricker, R.; Ringbauer, M.; Blatt, R.; et al. Demonstration of fault-tolerant universal quantum gate operations. Nature 2022, 605, 675. [Google Scholar] [CrossRef]
- Google Quantum, A.I. Suppressing quantum errors by scaling a surface code logical qubit. Nature 2023, 614, 676. [Google Scholar] [CrossRef] [PubMed]
- Gupta, R.S.; Sundaresan, N.; Alexander, T.; Wood, C.J.; Merkel, S.T.; Healy, M.B.; Hillenbrand, M.; Jochym-O’Connor, T.; Wootton, J.R.; Yoder, T.J.; et al. Encoding a magic state with beyond break-even fidelity. Nature 2024, 625, 259–263. [Google Scholar] [CrossRef] [PubMed]
- Bluvstein, D.; Evered, S.J.; Geim, A.A.; Li, S.H.; Zhou, H.; Manovitz, T.; Ebadi, S.; Cain, M.; Kalinowski, M.; Hangleiter, D.; et al. Logical quantum processor based on reconfigurable atom arrays. Nature 2024, 626, 58. [Google Scholar] [CrossRef]
- Hetenyi, B.; Wootton, J.R. Creating entangled logical qubits in the heavy-hex lattice with topological codes. Quantum 2024, 5, 040334. [Google Scholar] [CrossRef]
- Kim, Y.; Kim, H.; Kang, J.; Choi, W.; Kwon, Y. Effectiveness of the syndrome extraction circuit with flag qubits on IBM quantum hardware. arXiv 2024, arXiv:2403.10217. [Google Scholar] [CrossRef]
- Kim, Y.; Sevior, M.; Usman, M. Magic State Injection on IBM Quantum Processors Above the Distillation Threshold. arXiv 2024, arXiv:2412.01446. [Google Scholar] [CrossRef]
- Kim, Y.; Sevior, M.; Usman, M. Transversal cnot gate with multicycle error correction. Phys. Rev. Appl. 2025, 23, 024074. [Google Scholar] [CrossRef]
- Google Quantum AI and Collaborators. Quantum error correction below the surface code threshold. Nature 2025, 638, 920–926. [Google Scholar] [CrossRef]
- Eastin, B.; Knill, E. Restrictions on transversal encoded quantum gate sets. Phys. Rev. Lett. 2009, 102, 110502. [Google Scholar] [CrossRef] [PubMed]
- Zeng, B.; Cross, A.; Chuang, I.L. Transversality versus universality for additive quantum codes. IEEE Trans. Inf. Theory 2011, 57, 62726284. [Google Scholar] [CrossRef]
- Bravyi, S.; Kitaev, A. Universal quantum computation with ideal Clifford gates and noisy ancillas. Phys. Rev. A 2005, 71, 022316. [Google Scholar] [CrossRef]
- Horsman, D.; Fowler, A.G.; Devitt, S.; Van Meter, R. Surface code quantum computing by lattice surgery. New J. Phys. 2012, 14, 123011. [Google Scholar] [CrossRef]
- Landahl, A.J.; Ryan-Anderson, C. Quantum computing by colorcode lattice surgery. arXiv 2014, arXiv:1407.5103. [Google Scholar] [CrossRef]
- Vuillot, C.; Lao, L.; Criger, B.; Almudéver, C.G.; Bertels, K.; Terhal, B.M. Code deformation and lattice surgery are gauge fixing. New J. Phys. 2019, 21, 033028. [Google Scholar] [CrossRef]
- Bravyi, S.; Haah, J. magic state distillation with low overhead. Phys. Rev. A 2012, 86, 052329. [Google Scholar] [CrossRef]
- O’Gorman, J.; Campbell, E.T. Quantum computation with realistic magic-state factories. Phys. Rev. A 2017, 95, 032338. [Google Scholar] [CrossRef]
- Gidney, C.; Shutty, N.; Jones, C. Magic state cultivation: Growing T states as cheap as CNOT gates. arXiv 2024, arXiv:2409.17595. [Google Scholar] [CrossRef]
- Kim, H.; Choi, W.; Kwon, Y. Implementation of Magic State Injection within Heavy-Hexagon Architecture. arXiv 2024, arXiv:2412.15751. [Google Scholar] [CrossRef]
- Gidney, C. Cleaner magic states with hook injection. arXiv 2023, arXiv:2302.12292. [Google Scholar] [CrossRef]
- Chamberland, C.; Noh, K. Very low overhead fault-tolerant magic state preparation using redundant ancilla encoding and flag qubits. npj Quantum Inf. 2020, 6, 91. [Google Scholar] [CrossRef]
- Li, Y. A magic state’s fidelity can be superior to the operations that created it. New J. Phys. 2015, 17, 023037. [Google Scholar] [CrossRef]
- Singh, S.; Darmawan, A.S.; Brown, B.J.; Puri, S. High-fidelity magic state preparation with a biased-noise architecture. Phys. Rev. A 2022, 105, 052410. [Google Scholar] [CrossRef]
- Lao, L.; Criger, B. Magic state injection on the rotated surface code. In Proceedings of the 19th ACM International Conference on Computing Frontiers, Turin, Italy, 17–22 May 2022. [Google Scholar]
- Gottesman, D. Stabilizer Codes and Quantum Error Correction; California Institute of Technology: Pasadena, CA, USA, 1997. [Google Scholar]
- Bravyi, S.B.; Kitaev, A.Y. Quantum codes on a lattice with boundary. arXiv 1998, arXiv:quant-ph/9811052. [Google Scholar] [CrossRef]
- Roffe, J. Quantum error correction: An introductory guide. Contemp. Phys. 2019, 60, 226. [Google Scholar] [CrossRef]
- Kitaev, A.Y. Fault-tolerant quantum computation by Anyons. Ann. Phys. 2003, 303, 2–30. [Google Scholar] [CrossRef]
- Fowler, A.G.; Mariantoni, M.; Martinis, J.M.; Cleland, A.N. Surface codes: Towards practical large-scale quantum computation. Phys. Rev. A 2012, 86, 032324. [Google Scholar] [CrossRef]
- Bravyi, S.; Englbrecht, M.; König, R.; Peard, N. Correcting coherent errors with surface codes. npj Quantum Inf. 2018, 4, 55. [Google Scholar] [CrossRef]
- IBM. IBM Quantum Experience Devices. 2025. Available online: https://quantum-computing.ibm.com/ (accessed on 7 November 2025).
- Zhang, E.J.; Srinivasan, S.; Sundaresan, N.; Bogorin, D.F.; Martin, Y.; Hertzberg, J.B.; Chow, J.M. High-performance superconducting quantum processors via laser annealing of transmon qubits. Sci. Adv. 2022, 8, eabi6690. [Google Scholar] [CrossRef]
- Chao, R.; Reichardt, B.W. Fault-tolerant quantum computation with few qubits. npj Quantum Inf. 2018, 4, 42. [Google Scholar] [CrossRef]
- Chao, R.; Reichardt, B.W. Flag fault-tolerant error correction for any stabilizer code. PRX Quantum 2020, 1, 010302. [Google Scholar] [CrossRef]
- Lao, L.; Almudever, C.G. Fault-tolerant quantum error correction on near-term quantum processors using flag and bridge qubits. Phys. Rev. A 2020, 101, 032333. [Google Scholar] [CrossRef]
- Chamberl, C.; Zhu, G.; Yoder, T.J.; Hertzberg, J.B.; Cross, A.W. Topological and subsystem codes on low-degree graphs with flag qubits. Phys. Rev. X 2020, 10, 011022. [Google Scholar]
- Wu, A.; Li, G.; Zhang, H.; Guerreschi, G.G.; Ding, Y.; Xie, Y. Mapping Surface Code to Superconducting Quantum Processors. arXiv 2021, arXiv:2111.13729. [Google Scholar] [CrossRef]
- Gidney, C.; Newman, M.; Fowler, A.; Broughton, M. A fault tolerant honeycomb memory. Quantum 2021, 5, 605. [Google Scholar] [CrossRef]
- Kim, Y.; Kang, J.; Kwon, Y. Design of Quantum error correcting code for biased error on heavy-hexagon structure. arXiv 2022, arXiv:2211.14038. [Google Scholar] [CrossRef]
- Benito, C.; López, E.; Peropadre, B.; Bermudez, A. Comparative study of quantum error correction strategies for the heavy-hexagonal lattice. arXiv 2024, arXiv:2402.02185. [Google Scholar] [CrossRef]
- Wootton, J.R. Measurements of Floquet code plaquette stabilizers. arXiv 2022, arXiv:2210.13154. [Google Scholar] [CrossRef]
- Carroll, M.S.; Wootton, J.R.; Cross, A.W. Subsystem surface and compass code sensitivities to non-identical infidelity distributions on heavy-hex lattice. arXiv 2024, arXiv:2402.08203. [Google Scholar]
- Gidney, C. Stim: A fast stabilizer circuit simulator. Quantum 2021, 5, 497. [Google Scholar] [CrossRef]
- Higgott, O.; Gidney, C. Sparse Blossom: Correcting a million errors per core second with minimum-weight matching. arXiv 2023, arXiv:2303.15933. [Google Scholar] [CrossRef]
- Edmonds, J. Paths, trees, and Flowers. Can. J. Math. 1965, 17, 449–467. [Google Scholar] [CrossRef]
- Kolmogorov, V. Blossom V: A new implementation of a minimum cost perfect matching algorithm. Math. Program. Comput. 2009, 1, 43–67. [Google Scholar] [CrossRef]
- Fowler, A.G.; Whiteside, A.C.; Hollenberg, L.C. Towards practical classical processing for the surface code. Phys. Rev. Lett. 2012, 108, 180501. [Google Scholar] [CrossRef]
- Fowler, A.G. Minimum weight perfect matching of fault-tolerant topological quantum error correction in average O(1) parallel time. Quantum Inf. Comput. 2015, 15, 145–158. [Google Scholar] [CrossRef]








| Method | Stabilizer Measurement | Number of Physical Qubits | Number of CNOT Gates | Number of Readout Gates |
|---|---|---|---|---|
| Standard | Flag qubit | |||
| Rotated (SWAP) | Stabilizer folding | () | ||
| Rotated (flag) | Stabilizer folding | () |
Disclaimer/Publisher’s Note: The statements, opinions and data contained in all publications are solely those of the individual author(s) and contributor(s) and not of MDPI and/or the editor(s). MDPI and/or the editor(s) disclaim responsibility for any injury to people or property resulting from any ideas, methods, instructions or products referred to in the content. |
© 2025 by the authors. Licensee MDPI, Basel, Switzerland. This article is an open access article distributed under the terms and conditions of the Creative Commons Attribution (CC BY) license (https://creativecommons.org/licenses/by/4.0/).
Share and Cite
Kim, H.; Choi, W.; Kwon, Y. About Implementation of Magic State Injection in Heavy-Hexagon Structure. Mathematics 2025, 13, 3874. https://doi.org/10.3390/math13233874
Kim H, Choi W, Kwon Y. About Implementation of Magic State Injection in Heavy-Hexagon Structure. Mathematics. 2025; 13(23):3874. https://doi.org/10.3390/math13233874
Chicago/Turabian StyleKim, Hansol, Wonjae Choi, and Younghun Kwon. 2025. "About Implementation of Magic State Injection in Heavy-Hexagon Structure" Mathematics 13, no. 23: 3874. https://doi.org/10.3390/math13233874
APA StyleKim, H., Choi, W., & Kwon, Y. (2025). About Implementation of Magic State Injection in Heavy-Hexagon Structure. Mathematics, 13(23), 3874. https://doi.org/10.3390/math13233874
