Sign in to use this feature.

Years

Between: -

Subjects

remove_circle_outline
remove_circle_outline
remove_circle_outline
remove_circle_outline
remove_circle_outline
remove_circle_outline
remove_circle_outline
remove_circle_outline
remove_circle_outline

Journals

remove_circle_outline
remove_circle_outline
remove_circle_outline
remove_circle_outline
remove_circle_outline
remove_circle_outline
remove_circle_outline
remove_circle_outline
remove_circle_outline
remove_circle_outline
remove_circle_outline
remove_circle_outline
remove_circle_outline
remove_circle_outline
remove_circle_outline
remove_circle_outline
remove_circle_outline
remove_circle_outline
remove_circle_outline

Article Types

Countries / Regions

remove_circle_outline
remove_circle_outline
remove_circle_outline
remove_circle_outline
remove_circle_outline
remove_circle_outline

Search Results (2,874)

Search Parameters:
Keywords = low-viscosity

Order results
Result details
Results per page
Select all
Export citation of selected articles as:
22 pages, 2265 KB  
Article
Utilization of Low-Viscosity Sustainable Quaternary Microemulsification Fuels Containing Waste Frying Oil–Diesel Fuel–Bio-Alcohols in a Turbocharged-CRDI Diesel Engine
by Huseyin Sanli
Sustainability 2025, 17(19), 8835; https://doi.org/10.3390/su17198835 - 2 Oct 2025
Abstract
In this study, low-viscosity (<5 mm2·s−1, fits European Biodiesel Standard-EN 14214) quaternary microemulsification fuels were developed and tested in a CRDI diesel engine to evaluate their effects on engine performance, injection, combustion, and emission characteristics. The fuels were formulated [...] Read more.
In this study, low-viscosity (<5 mm2·s−1, fits European Biodiesel Standard-EN 14214) quaternary microemulsification fuels were developed and tested in a CRDI diesel engine to evaluate their effects on engine performance, injection, combustion, and emission characteristics. The fuels were formulated using 50% petro-diesel, 30% waste frying oil (without converting biodiesel), and a combination of 10% n-butanol with either 10% methanol or 10% ethanol. Engine tests were conducted at constant speed of 2000 rpm and five different engine loads. The results indicated that both microemulsified fuels exhibited increased brake specific fuel consumption by about 20% and brake specific energy consumption by around 8% compared to petro-diesel, while thermal efficiency decreased by about 8%. Injection timing for both pilot and main injections occurred earlier with the emulsification fuels, and higher injection amount and injection rate values were observed at all loads. As engine load increased, the peak cylinder pressures of the emulsified fuels surpassed those of petro-diesel, although the crank angles at which these peak values were attained were similar. The combustion duration was shorter for both quaternary fuels, with similar maximum pressure rise rates to petro-diesel. Emulsification fuels caused higher exhaust emissions (especially THC) and this difference increased with increasing load. When comparing two formulations, the methanol-containing fuel demonstrated slightly better results than the ethanol-containing blend. These findings suggest that microemulsified fuels containing bio-alcohols and waste frying oil can be sustainable fuel alternatives for partial petro-diesel substitution if the injection settings are adapted in accordance with the properties of these fuels. Full article
(This article belongs to the Topic Advanced Bioenergy and Biofuel Technologies)
Show Figures

Figure 1

15 pages, 1556 KB  
Article
Physicochemical Characterization of Soluble and Insoluble Fibers from Berry Pomaces
by Jolita Jagelavičiūtė, Simona Šimkutė, Aurelija Kairė, Gabrielė Kaminskytė, Loreta Bašinskienė and Dalia Čižeikienė
Gels 2025, 11(10), 796; https://doi.org/10.3390/gels11100796 - 2 Oct 2025
Abstract
Berry pomace is a valuable source of dietary fiber (DF) with promising applications in functional food development. This study aimed to evaluate and compare the technological and rheological properties of soluble (SDF) and insoluble (IDF) fiber fractions isolated from cranberry, black currant, lingonberry, [...] Read more.
Berry pomace is a valuable source of dietary fiber (DF) with promising applications in functional food development. This study aimed to evaluate and compare the technological and rheological properties of soluble (SDF) and insoluble (IDF) fiber fractions isolated from cranberry, black currant, lingonberry, and sea buckthorn pomace. SDF fractions demonstrated higher water solubility and lower swelling capacity, compared with IDF fractions. Meanwhile, water and oil retention capacities depended on fiber type and the sources of pomace. Fractionation notably affected color parameters, with SDFs generally being lighter. Rheological analysis revealed pseudoplastic, shear-thinning behavior in all SDF samples, with viscosity dependent on both pH and shear rate. In particular, the black currant SDF demonstrated higher yield stress compared to other SDFs, suggesting enhanced resistance to deformation and superior structural stability under low shear conditions. The consistency coefficient varied across samples, indicating differences in gel-forming potential. These findings highlight the importance of berry source and fiber fraction in determining functionality. The distinct hydration, binding, and rheological properties suggest that both SDF and IDF from berry pomace can be strategically applied as thickeners, stabilizers, or texture enhancers in food systems. This study supports the valorization of berry by-products as sustainable and functional ingredients in the formulation of fiber-enriched foods. Full article
(This article belongs to the Special Issue Food Hydrogels: Synthesis, Characterization and Applications)
Show Figures

Figure 1

22 pages, 3800 KB  
Article
Study on Carboxymethylation Modification of Konjac Gum and Its Effect in Drilling Fluid and Fracturing Fluid
by Yongfei Li, Pengli Guo, Kun Qu, Weichao Du, Yanling Wang and Gang Chen
Gels 2025, 11(10), 792; https://doi.org/10.3390/gels11100792 - 2 Oct 2025
Abstract
With the continuous progress and innovation of petroleum engineering technology, the development of new oilfield additives with superior environmental benefits has attracted widespread attention. Konjac glucomannan (KGM) is a natural resource characterized by abundant availability, low cost, biodegradability, and environmental compatibility. Konjac gum [...] Read more.
With the continuous progress and innovation of petroleum engineering technology, the development of new oilfield additives with superior environmental benefits has attracted widespread attention. Konjac glucomannan (KGM) is a natural resource characterized by abundant availability, low cost, biodegradability, and environmental compatibility. Konjac gum easily forms a weak gel network in water, but its water solubility and thermal stability are poor, and it is easily degraded at high temperatures. Therefore, its application in drilling fluid and fracturing fluid is limited. In this paper, a method of carboxymethyl modification of KGM was developed, and a carboxymethyl group was introduced to adjust KGM’s hydrogel forming ability and stability. Carboxymethylated Konjac glucomannan (CMKG) is a water-soluble anionic polysaccharide derived from natural Konjac glucomannan. By introducing carboxymethyl groups, CMKG overcomes the limitations of the native polymer, such as poor solubility and instability, while retaining its safe and biocompatible nature, making it an effective natural polymer additive for oilfield applications. The results show that when used as a drilling fluid additive, CMKG can form a stable three-dimensional gel network through molecular chain cross-linking, significantly improving the rheological properties of the mud. Its unique gel structure can enhance the encapsulation of clay particles and inhibit clay hydration expansion. When used as a fracturing fluid thickener, the viscosity of the gel system formed by CMKG at 0.6% (w/v) is superior to that of the weak gel system of KGM. The heat resistance/shear resistance tests confirm that the gel structure remains intact under high-temperature and high-shear conditions, meeting the sand-carrying capacity requirements for fracturing operations. The gel-breaking experiment shows that the system can achieve controlled degradation within 300 min, in line with on-site gel-breaking specifications. This modification process not only improves the rheological properties and water solubility of the CMKG gel but also optimizes the gel stability and controlled degradation through molecular structure adjustment. Full article
Show Figures

Graphical abstract

21 pages, 2132 KB  
Article
Optimized Ion-Sensitive Hydrogels Based on Gellan Gum and Arabinogalactan for the Treatment of Dry Eye Disease
by Valentina Paganini, Silvia Tampucci, Sofia Gisella Brignone, Mariacristina Di Gangi, Daniela Monti, Susi Burgalassi and Patrizia Chetoni
Gels 2025, 11(10), 787; https://doi.org/10.3390/gels11100787 - 1 Oct 2025
Abstract
Dry eye disease (DED) is a multifactorial condition characterized by insufficient tear film stability and ocular discomfort. Conventional artificial tears offer limited efficacy due to short precorneal residence time. This study aimed to develop and optimize ion-sensitive in situ gelling formulations based on [...] Read more.
Dry eye disease (DED) is a multifactorial condition characterized by insufficient tear film stability and ocular discomfort. Conventional artificial tears offer limited efficacy due to short precorneal residence time. This study aimed to develop and optimize ion-sensitive in situ gelling formulations based on low-acyl gellan gum (GG) and arabinogalactan (AG) to enhance retention and therapeutic efficacy in DED. Various buffer systems were screened to identify optimal gelation conditions upon interaction with artificial tear fluid (ATF). Formulations were characterized by pH, osmolality, wettability, thermal behavior, viscosity, and viscoelastic properties. A Design of Experiments (DoE) approach was employed to understand the influence of GG and AG concentrations on rheological behavior. The selected formulation, GG(0.1%)/AG(0.2%), demonstrated a significant viscosity increase upon ATF dilution, suitable viscoelastic properties, enhanced mucoadhesion compared to hyaluronic acid, improved ferning patterns, no cytotoxic effects, and stability over time. In vivo studies in rabbits confirmed prolonged precorneal retention of the fluorescently labeled formulation. These results suggest that the GG/AG-based hydrogel is a promising strategy for improving the performance of artificial tears in DED treatment. Full article
(This article belongs to the Special Issue Novel Gels for Topical Applications)
Show Figures

Figure 1

14 pages, 1222 KB  
Article
Application of the Combined QCM-D/LSPR Aptasensor for Penicillin G Detection
by Sandro Spagnolo, Kiran Sontakke, Lukas Dubbert, Matthias Urban, Tomas Lednicky, Andrea Csaki, Katrin Wondraczek, Wolfgang Fritzsche and Tibor Hianik
Biosensors 2025, 15(10), 652; https://doi.org/10.3390/bios15100652 - 1 Oct 2025
Abstract
Penicillin G (PEN) is a widely used antibiotic for treating microbial infections. However, its extensive use in veterinary medicine can lead to accumulation in animal-derived products, particularly milk and meat. This highlights the urgent need for rapid and sensitive antibiotic detection methods. In [...] Read more.
Penicillin G (PEN) is a widely used antibiotic for treating microbial infections. However, its extensive use in veterinary medicine can lead to accumulation in animal-derived products, particularly milk and meat. This highlights the urgent need for rapid and sensitive antibiotic detection methods. In this study, we employed DNA aptamers for the detection of PEN and for the analysis of aptamer specificity using a combined approach based on quartz crystal microbalance with dissipation monitoring (QCM-D) and localized surface plasmon resonance (LSPR). QCM-D measures changes in resonant frequency, Δf, and dissipation, ΔD, while LSPR monitors wavelength shifts in the extinction spectra corresponding to changes at the surface of gold nanoparticles (AuNPs). Thiolated aptamers were chemisorbed onto the surface of AuNPs with a diameter of 80 nm. In the presence of PEN, a redshift in the extinction spectra and a decrease in resonant frequency were observed, accompanied by an increase in dissipation due to surface viscosity effects. Significant changes in both acoustic and LSPR signals were observed at PEN concentrations as low as 1 nM. The limits of detection (LOD) for PEN, determined by QCM-D (3.0 nM, or 1.05 ng/mL)) and LSPR (3.1 nM, or 1.09 ng/mL), were similar and both were lower than the maximum residue limit (MRL) for PEN established by the EU (4 ng/mL). Full article
(This article belongs to the Special Issue Feature Papers in Nano- and Micro-Technologies in Biosensors 2025)
Show Figures

Graphical abstract

23 pages, 2593 KB  
Article
A Nonlinear Visco-Elasto-Plastic Bingham Fatigue Model of Soft Rock Under Cyclic Loading
by Yonghui Li, Yi Liang, Anyuan Sun and Feng Zhu
Mathematics 2025, 13(19), 3138; https://doi.org/10.3390/math13193138 - 1 Oct 2025
Abstract
The fatigue constitutive model under cyclic loading is of vital importance for studying the fatigue deformation characteristics of soft rocks. In this paper, based on the classical Bingham model, a modified Bingham fatigue model for describing the fatigue deformation characteristics of soft rocks [...] Read more.
The fatigue constitutive model under cyclic loading is of vital importance for studying the fatigue deformation characteristics of soft rocks. In this paper, based on the classical Bingham model, a modified Bingham fatigue model for describing the fatigue deformation characteristics of soft rocks under cyclic loading was developed. Firstly, the traditional constant-viscosity component was replaced by an improved nonlinear viscoelastic component related to the number of cycles. The elastic component was replaced by an improved nonlinear elastic component that decays as the number of cycle loads increases. Meanwhile, by decomposing the cyclic dynamic loads into static loads and alternating loads, a one-dimensional nonlinear viscoelastic-plastic Bingham fatigue model was developed. Furthermore, a rock fatigue yield criterion was proposed, and by using an associated flow rule compatible with this criterion, the one-dimensional fatigue model was extended to a three-dimensional constitutive formulation under complex stress conditions. Finally, the applicability of the developed Bingham fatigue model was verified through fitting with experimental data, and the parameters of the model were identified. The model fitting results show high consistency with experimental data, with correlation coefficients exceeding 0.978 and 0.989 under low and high dynamic stress conditions, respectively, and root mean square errors (RMSEs) below 0.028. Comparative analysis between theoretical predictions and existing soft rock fatigue test data demonstrates that the developed Bingham fatigue model more effectively captures the complete fatigue deformation process under cyclic loading, including the deceleration, constant velocity, and acceleration phases. With its simplified component configuration and straightforward combination rules, this model provides a valuable reference for studying fatigue deformation characteristics of rock materials under dynamic loading conditions. Full article
Show Figures

Figure 1

21 pages, 3445 KB  
Article
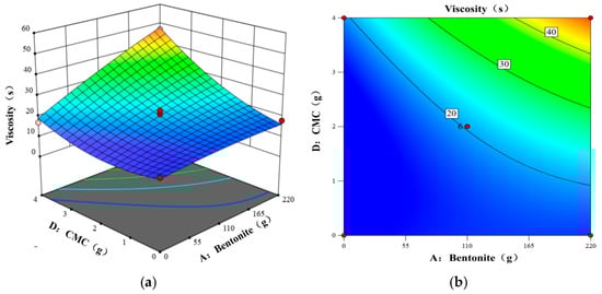
Optimization of the Borehole Wall Protection Slurry Ratio and Film-Forming Mechanism in Water-Rich Sandy Strata
by Xiaodong Liu, Meng Li, Peiyue Qiu, Liyun Tang, Zhenghong Liu and Fusheng Zhang
Eng 2025, 6(10), 251; https://doi.org/10.3390/eng6100251 - 1 Oct 2025
Abstract
Conventional slurry wall protection exhibits reduced film performance upon exposure to water in saturated sand layers with high permeability, frequently resulting in hole wall instability. Optimizing the slurry ratio to enhance film performance is thus critical for borehole stability. A multiple regression model [...] Read more.
Conventional slurry wall protection exhibits reduced film performance upon exposure to water in saturated sand layers with high permeability, frequently resulting in hole wall instability. Optimizing the slurry ratio to enhance film performance is thus critical for borehole stability. A multiple regression model was developed to determine the optimal slurry ratio for saturated sand. Slurry permeability tests assessed filtration loss, film formation time, and film morphology changes. Scanning electron microscopy (SEM) further elucidated the film formation mechanism. Bentonite, clay, Na2CO3, and sodium carboxymethyl cellulose (CMC) significantly affected the slurry’s properties: specific gravity and sand content increased with bentonite/clay; viscosity increased with CMC; and pH increased with Na2CO3. The optimized slurry (water–bentonite–Na2CO3–clay–CMC = 1000:220:32:110:1; specific gravity, 1.20 g/cm3; viscosity, 29 s) demonstrated low filtration loss and stable film morphology. SEM revealed that simultaneous CMC and clay addition (ratio of 1:110) improved film surface flatness, reduced porosity and pore size, enhanced formation surface filling, and produced a denser film. The optimized slurry ratio significantly enhanced film performance in saturated sand layers. The findings provide a theoretical and engineering framework for bored pile wall protection slurry design and film formation mechanisms. Full article
(This article belongs to the Section Chemical, Civil and Environmental Engineering)
Show Figures

Figure 1

11 pages, 1765 KB  
Article
Viscosity Analysis of Electron-Beam Degraded Gellan in Dilute Aqueous Solution
by Fathi Elashhab, Lobna Sheha, Nada Elzawi and Abdelsallam E. A. Youssef
Physchem 2025, 5(4), 40; https://doi.org/10.3390/physchem5040040 - 30 Sep 2025
Abstract
Gellan gum (Gellan), a versatile polysaccharide applied in gel formation and prebiotic formulations, is often processed to tailor its molecular properties. Previous studies employed gamma irradiation and chemical hydrolysis, though without addressing systematic scaling behavior. This study investigates the structural and conformational modifications [...] Read more.
Gellan gum (Gellan), a versatile polysaccharide applied in gel formation and prebiotic formulations, is often processed to tailor its molecular properties. Previous studies employed gamma irradiation and chemical hydrolysis, though without addressing systematic scaling behavior. This study investigates the structural and conformational modifications of Gellan in dilute aqueous salt solutions using a safer and eco-friendly approach: atmospheric low-dose electron beam (e-beam) degradation coupled with viscosity analysis. Native and E-beam-treated Gellan samples (0.05 g/cm3 in 0.1 M KCl) were examined by relative viscosity at varying temperatures, with intrinsic viscosity and molar mass determined via Solomon–Ciuta and Mark–Houwink relations. Molar mass degradation followed first-order kinetics, yielding rate constants and degradation lifetimes. Structural parameters, including radius of gyration and second virial coefficient, produced scaling coefficients of 0.62 and 0.15, consistent with perturbed coil conformations in a good solvent. The shape factor confirmed preservation of an ideal random coil structure despite irradiation. Conformational flexibility was further analyzed using theoretical models. Transition state theory (TST) revealed that e-beam radiation lowered molar mass and activation energy but raised activation entropy, implying reduced flexibility alongside enhanced solvent interactions. The freely rotating chain (FRC) model estimated end-to-end distance (Rθ) and characteristic ratio (C), while the worm-like chain (WLC) model quantified persistence length (lp). Results indicated decreased Rθ, increased lp, and largely unchanged C, suggesting diminished chain flexibility without significant deviation from ideal coil behavior. Overall, this work provides new insights into Gellan’s scaling laws and flexibility under aerobic low-dose E-beam irradiation, with relevance for bioactive polysaccharide applications. Full article
(This article belongs to the Section Theoretical and Computational Chemistry)
Show Figures

Figure 1

18 pages, 4624 KB  
Article
Synthesis of Linear Modified Siloxane-Based Thickeners and Study of Their Phase Behavior and Thickening Mechanism in Supercritical Carbon Dioxide
by Pengfei Chen, Ying Xiong, Daijun Du, Rui Jiang and Jintao Li
Polymers 2025, 17(19), 2640; https://doi.org/10.3390/polym17192640 - 30 Sep 2025
Abstract
To address critical limitations of ultra-low viscosity supercritical CO2 fracturing fluids, including excessive fluid loss and inadequate proppant transport capacity, a series of thickeners designed to significantly enhance CO2 viscosity were synthesized. Initially, FT-IR and 1H NMR characterization confirmed successful [...] Read more.
To address critical limitations of ultra-low viscosity supercritical CO2 fracturing fluids, including excessive fluid loss and inadequate proppant transport capacity, a series of thickeners designed to significantly enhance CO2 viscosity were synthesized. Initially, FT-IR and 1H NMR characterization confirmed successful chemical reactions and incorporation of both solvation-enhancing and -thickening functional groups. Subsequently, dissolution and thickening performance were evaluated using a custom-designed high-pressure vessel featuring visual observation capability, in-line viscosity monitoring, and high-temperature operation. All thickener systems exhibited excellent solubility, with 5 wt% loading elevating CO2 viscosity to 3.68 mPa·s. Ultimately, molecular simulations performed in Materials Studio elucidated the mechanistic basis, electrostatic potential (ESP) mapping, cohesive energy density analysis, intermolecular interaction energy, and radial distribution function comparisons. These computational approaches revealed dissolution and thickening mechanisms of polymeric thickeners in CO2. Full article
(This article belongs to the Special Issue Application of Polymers in Enhanced Oil Recovery)
Show Figures

Graphical abstract

26 pages, 4161 KB  
Article
Effect of Organic Acid Selection on the Physicochemical Properties, Bioadhesion, and Stability of Chitosan Hydrogels
by Muhammet Davut Arpa, Ümit Can Erim, Ebrar Elif Kesmen Salik, Sevde Nur Biltekin Kaleli and Ismail Erol
Gels 2025, 11(10), 778; https://doi.org/10.3390/gels11100778 - 28 Sep 2025
Abstract
Chitosan is a promising biopolymer for drug delivery due to its biocompatibility, biodegradability, and low toxicity. However, its limited dispersibility in water restricts applications, which can be improved through organic acid salts. This study examined how acetic, lactic, glutamic, and citric acids influence [...] Read more.
Chitosan is a promising biopolymer for drug delivery due to its biocompatibility, biodegradability, and low toxicity. However, its limited dispersibility in water restricts applications, which can be improved through organic acid salts. This study examined how acetic, lactic, glutamic, and citric acids influence the physicochemical, rheological, swelling, bioadhesive, stability, and cytotoxicity properties of chitosan hydrogels. Gels were prepared using varying chitosan-to-acid molar ratios (1:1; 1:1.2 for citrate) and characterized by NMR, FTIR, TGA, and XRD. Despite identical chitosan concentrations (2%, 3%, 3.5%), gels displayed distinct viscosity, swelling, and adhesion profiles depending on the acid. Lactate gels exhibited the most favorable overall performance, combining high viscosity (1555–6665 mPa·s), structural stability, and strong bioadhesion. Citrate gels showed the lowest viscosity (825–3550 mPa·s), cell viability, and stability but the highest bioadhesiveness, likely due to multivalent ionic interactions. Short-term stability tests revealed that low pH accelerated chitosan degradation, leading to viscosity loss up to ~90–95% within 30 days, particularly in citrate hydrogels. Cytotoxicity tests confirmed high biocompatibility, with all formulations maintaining cell viability above 80%. Overall, the findings highlight that organic acid selection is a critical determinant of chitosan gel behavior, offering guidance for tailoring safe, stable, and bioadhesive drug delivery systems. Full article
(This article belongs to the Special Issue Advances in Chitin- and Chitosan-Based Hydrogels (2nd Edition))
Show Figures

Figure 1

19 pages, 10886 KB  
Article
Characterization of a Hydrogel Composite Containing Bioactive Moringa as a Novel Pulp-Capping Material
by Mustafa Tariq Mutar and Anas F. Mahdee
Polymers 2025, 17(19), 2626; https://doi.org/10.3390/polym17192626 - 28 Sep 2025
Abstract
Hydrogels are hydrophilic biocompatible polymers that can be used as a drug delivery material in different medical branches, including vital pulp therapy. The aim of this study is to characterize the physical and biological properties of the newly developed formula as a candidate [...] Read more.
Hydrogels are hydrophilic biocompatible polymers that can be used as a drug delivery material in different medical branches, including vital pulp therapy. The aim of this study is to characterize the physical and biological properties of the newly developed formula as a candidate direct pulp-capping material. The hydrogel composite was prepared from natural and synthetic origins (polyvinyl alcohol (PVA), hyaluronic acid (HA), and sodium alginate (SA)) with the incorporation of bioactive Moringa. Different formulas of hydrogel containing different concentrations were evaluated for physicochemical (FTIR, XRD, SEM, degradation, and swelling), mechanical (viscosity, folding endurance, film thickness), and biological (antioxidant, antibacterial, and cytotoxicity) properties. FTIR and XRD confirmed successful incorporation and partial cross-linking between moringa and hydrogel compounds. At low concentrations of moringa, the hydrogel formula showed integrity, scavenging activity, and homogeneity. The moringa-loaded films showed concentration-dependent antioxidant and antibacterial properties, especially at higher concentrations, with acceptable cytocompatibility. The low concentration of moringa (0.5%) may be considered a promising candidate as a novel pulp-capping agent supporting tissue healing and regeneration. Full article
(This article belongs to the Special Issue Drug-Loaded Polymer Colloidal Systems in Nanomedicine III)
Show Figures

Figure 1

20 pages, 4672 KB  
Article
Challenges in Nanofiber Formation from NADES-Based Anthocyanin Extracts: A Physicochemical Perspective
by Paulina Wróbel, Katarzyna Latacz, Jacek Chęcmanowski and Anna Witek-Krowiak
Materials 2025, 18(19), 4502; https://doi.org/10.3390/ma18194502 - 27 Sep 2025
Abstract
This study explores the challenge of using anthocyanin-rich natural deep eutectic solvent (NADES) extracts to produce electrospun nanofibers for biodegradable freshness indicators. Red cabbage was extracted with two choline chloride-based NADESs (with citric or lactic acid), modified with 10–50% ethanol to lower viscosity, [...] Read more.
This study explores the challenge of using anthocyanin-rich natural deep eutectic solvent (NADES) extracts to produce electrospun nanofibers for biodegradable freshness indicators. Red cabbage was extracted with two choline chloride-based NADESs (with citric or lactic acid), modified with 10–50% ethanol to lower viscosity, and compared with a standard 50% ethanol-water solvent. The citric acid NADES with 30% ethanol gave the highest anthocyanin yield (approx. 0.312 mg/mL, more than 20 times higher than the ethanol extract at approx. 0.014 mg/mL). For fiber fabrication, a polymer carrier blend of poly(ethylene oxide) (PEO) and sodium alginate (Alg) was employed, known to form hydrogen-bonded networks that promote chain entanglement and facilitate electrospinning. Despite this, the NADES extracts could not be electrospun into nanofibers, while the ethanol extract produced continuous, smooth fibers with diameters of approximately 100 nm. This highlights a clear trade-off; NADESs improve anthocyanin recovery, but their high viscosity and low volatility prevent fiber formation under standard electrospinning conditions. To leverage the benefits of NADES extracts, future work could focus on hybrid systems, such as multilayer films, core-shell fibers, or microcapsules, where the extracts are stabilized without relying solely on direct electrospinning. In storage tests, ethanol-extract nanofibers acted as effective pH-responsive indicators, showing visible color change from day 4 of meat storage. At the same time, alginate films with NADES extract remained unchanged after 12 days. These results highlight the importance of striking a balance between chemical stability and sensing sensitivity when designing anthocyanin-based smart packaging. Full article
Show Figures

Figure 1

19 pages, 2345 KB  
Article
Study on Main Controlling Factors of CO2 Enhanced Gas Recovery and Geological Storage in Tight Gas Reservoirs
by Lili Liu, Jinbu Li, Pengcheng Liu, Zepeng Yang, Bin Fu and Xinwei Liao
Processes 2025, 13(10), 3097; https://doi.org/10.3390/pr13103097 - 27 Sep 2025
Abstract
Tight gas reservoirs, as important unconventional natural gas resources, face low recovery rates due to low porosity, low permeability, and strong heterogeneity. CO2 Storage with Enhanced Gas Recovery (CSEGR) technology combines CO2 geological storage with natural gas development, providing both economic [...] Read more.
Tight gas reservoirs, as important unconventional natural gas resources, face low recovery rates due to low porosity, low permeability, and strong heterogeneity. CO2 Storage with Enhanced Gas Recovery (CSEGR) technology combines CO2 geological storage with natural gas development, providing both economic and environmental benefits. However, the main controlling factors and influence mechanisms remain unclear. This study utilized the PR-EOS to investigate CH4, CO2, and natural gas physical properties, established a numerical simulation model considering CO2 dissolution and geochemical reactions, and explored the influence of injection scheme, injection rate, production rate, and shut-in condition on CO2 enhanced recovery and storage effectiveness through orthogonal design. Results show that CO2 exhibits significant differences in compressibility factor, density, and viscosity compared to natural gas, enabling piston-like displacement. Intermittent injection slightly outperforms continuous injection in recovery enhancement, while continuous injection provides greater CO2 storage capacity. The ranking of the significance of different influencing factors for enhanced oil recovery is as follows: injection rate > production rate > injection scheme > shut-in condition. For the effect of geological storage of CO2, it is as follows: injection rate > injection scheme > production rate > shut-in condition. During gas injection, supercritical, ionic, and dissolved CO2 continuously increase while mineral CO2 decreases, with storage mechanisms dominated by structural and residual trapping. The study provides scientific basis for optimizing CO2 flooding strategies in tight gas reservoirs. Full article
(This article belongs to the Section Energy Systems)
Show Figures

Figure 1

21 pages, 9262 KB  
Article
Experimental Investigation on Melting Heat Transfer Characteristics of Microencapsulated Phase Change Material Slurry Under Stirring
by Zhaohao Xu, Minjie Wu and Yu Xu
Aerospace 2025, 12(10), 868; https://doi.org/10.3390/aerospace12100868 - 26 Sep 2025
Abstract
As avionics advance, heat dissipation becomes more challenging. Microencapsulated phase change material slurry (MPCMS), with its latent heat transfer properties, offers a potential solution. However, the low thermal conductivity of microencapsulated phase change material (MPCM) limits heat transfer rates, and most studies focus [...] Read more.
As avionics advance, heat dissipation becomes more challenging. Microencapsulated phase change material slurry (MPCMS), with its latent heat transfer properties, offers a potential solution. However, the low thermal conductivity of microencapsulated phase change material (MPCM) limits heat transfer rates, and most studies focus on improving conductivity, with little attention given to convective enhancement. This study prepared MPCMS with an MPCM mass fraction (Wm) of 10% and 20%, investigating melting heat transfer under mechanical stirring at 0–800 RPM and heat fluxes of 8.5–17.0 kW/m2. Stirring significantly alters MPCMS heat transfer behavior. As rotational speed increases, both wall-to-slurry and internal temperature differences decrease. Stirring extends the time at which the heating wall temperature (Tw) stays below a threshold. For example, at Wm = 10% MPCM and 8.50 kW/m2, increasing speed from 0 to 800 RPM raises the holding time below 70 °C by 169.6%. The effect of MPCM mass fraction on heat transfer under stirring is complex: at 0 RPM, 0% > 10% > 20%; at 400 RPM, 10% > 0% > 20%; and at 800 RPM, 10% > 20% > 0%. This is because as Wm increases, the latent heat and volume expansion coefficients of MPCMS rise, promoting heat transfer, while viscosity and thermal conductivity decrease, hindering it. At 0 RPM, the net effect is negative even at Wm = 10%. Stirring enhances internal convection and significantly improves heat transfer. At 400 RPM, heat transfer is positive at Wm = 10% but still negative at Wm = 20%. At 800 RPM, both Wm levels show positive effects, with slightly better performance at Wm = 10%. In addition, at the same heat flux, higher speeds maintain Tw below a threshold longer. Overall, stirring improves MPCMS cooling performance, offering an effective means of convective enhancement for avionics thermal management. Full article
Show Figures

Figure 1

28 pages, 2561 KB  
Systematic Review
Electrodeposition of Metallic Magnesium in Ionic Liquids: A Systematic Review
by Agustín Arancibia-Zúñiga and Carlos Carlesi
Minerals 2025, 15(10), 1021; https://doi.org/10.3390/min15101021 - 26 Sep 2025
Abstract
Metallic magnesium is a strategic material with applications in mobility, energy and medicine, due to its low density, biocompatibility and use as an anode in rechargeable batteries. However, industrial production methods—such as the thermal reduction of dolomite or the electrolysis of anhydrous MgCl [...] Read more.
Metallic magnesium is a strategic material with applications in mobility, energy and medicine, due to its low density, biocompatibility and use as an anode in rechargeable batteries. However, industrial production methods—such as the thermal reduction of dolomite or the electrolysis of anhydrous MgCl2—face environmental and operational challenges, including high temperatures, emissions, and dehydration of precursors like bischofite. In response, ionic liquids (ILs) have emerged as alternative electrolytes, offering low volatility, thermal stability and wide electrochemical windows that enable electrodeposition in water-free media. This study presents a systematic review of 32 peer-reviewed articles, applying the PRISMA 2020 methodology. The analysis is structured across three dimensions: (1) types of ILs employed, (2) operational parameters and (3) magnesium source materials. In addition to electrolyte composition, key factors such as temperature, viscosity control, precursor purity and cell architecture were identified as critical for achieving efficient and reproducible magnesium deposition. Furthermore, the use of elevated temperatures and co-solvent strategies has been shown to effectively mitigate viscosity-related transport limitations, enabling more uniform ion mobility and enhancing interfacial behavior. The use of alloy co-deposition strategies and multicomponent electrolyte systems also expands the technological potential of IL-based processes, especially for corrosion-resistant coatings or composite electrode materials. This review contributes by critically synthesizing current techniques, identifying knowledge gaps and proposing strategies for scalable, sustainable magnesium production. The findings position IL-based electrodeposition as a potential alternative for environmentally responsible metal recovery. Full article
Show Figures

Graphical abstract

Back to TopTop