Effect of Organic Acid Selection on the Physicochemical Properties, Bioadhesion, and Stability of Chitosan Hydrogels
Abstract
1. Introduction
2. Results and Discussion
2.1. Preparation of Chitosan Hydrogels
2.2. Characterization of Chitosan Salts
2.2.1. 1H Nuclear Magnetic Resonance (NMR) Analysis
2.2.2. FTIR Analysis
2.2.3. Thermogravimetric Analysis
2.2.4. XRD Analysis and Crystallinity Index (CrI) Determination
2.3. pH Determination
2.4. Rheological Properties and Spreadability
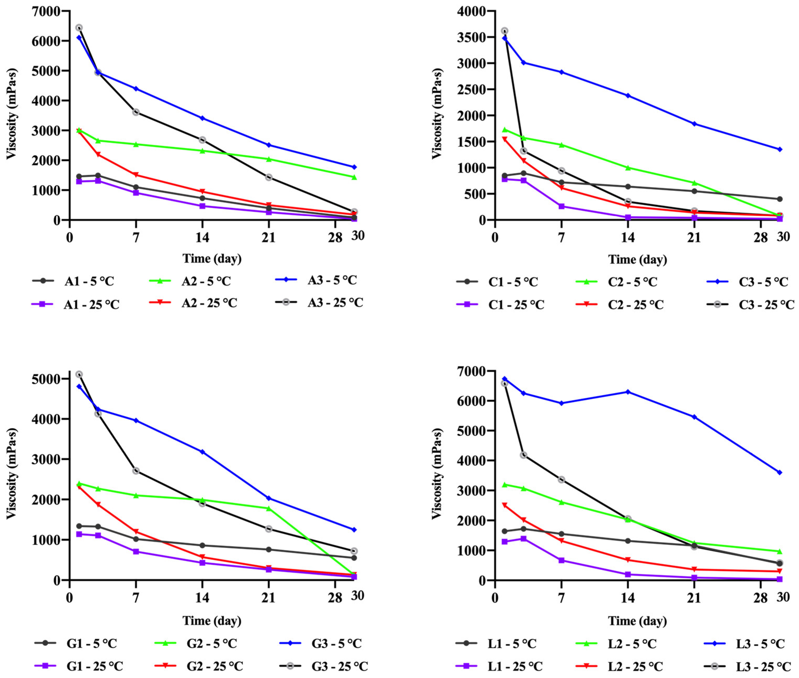
2.5. Short-Term Physical Stability
2.6. Cytotoxicity Studies
2.7. Swelling Studies
2.8. Bioadhesion Studies
3. Conclusions
4. Materials and Methods
4.1. Materials
4.2. Preparation of Chitosan Hydrogels
4.3. Characterization of Chitosan Salts
4.4. pH Determination
4.5. Spreadability
4.6. Rheological Investigations
4.7. Short-Term Physical Stability
4.8. Cytotoxicity Studies
4.9. Swelling Behavior
4.10. Ex Vivo Bioadhesion Study
4.11. Statistical Analysis
Author Contributions
Funding
Data Availability Statement
Acknowledgments
Conflicts of Interest
Abbreviations
| ANOVA | One-way analysis of variance | 
| CrI | Crystallinity index | 
| DD | Deacetylation degree | 
| DMEM, High | High-glucose Dulbecco’s Modified Eagle Medium | 
| DTG | Derivative thermogravimetry | 
| FTIR | Fourier-transform infrared | 
| H-MW | High molecular weight | 
| HaCaT | Human keratinocyte cells | 
| IC50 | Half-maximal inhibitory concentration | 
| L-MW | Low molecular weight | 
| M-MW | Medium molecular weight | 
| mPa·s | Milli-Pascal second | 
| mr | Molar ratio | 
| MTT | 3-(4,5-dimethylthiazol-2-yl)-2,5-diphenyltetrazolium bromide | 
| NIH | National Institutes of Health | 
| NMR | Nuclear magnetic resonance | 
| PBS | Phosphate-buffered saline | 
| PVA | Polyvinyl alcohol | 
| qs | Quantum sufficient | 
| TGA | Thermogravimetric analysis | 
| XRD | X-ray diffraction | 
References
- Luo, Y.; Cui, L.; Zou, L.; Zhao, Y.; Chen, L.; Guan, Y.; Zhang, Y. Mechanically Strong and On-Demand Dissoluble Chitosan Hydrogels for Wound Dressing Applications. Carbohydr. Polym. 2022, 294, 119774. [Google Scholar] [CrossRef] [PubMed]
- Allison, C.L.; Lutzke, A.; Reynolds, M.M. Examining the Effect of Common Nitrosating Agents on Chitosan Using a Glucosamine Oligosaccharide Model System. Carbohydr. Polym. 2019, 203, 285–291. [Google Scholar] [CrossRef] [PubMed]
- Tran, P.; Park, J.S. Alginate-Coated Chitosan Nanoparticles Protect Protein Drugs from Acid Degradation in Gastric Media. J. Pharm. Investig. 2022, 52, 465–476. [Google Scholar] [CrossRef]
- Arpa, M.D.; Yoltaş, A.; Onay Tarlan, E.; Şenyüz, C.Ş.; Sipahi, H.; Aydın, A.; Üstündağ Okur, N. New Therapeutic System Based on Hydrogels for Vaginal Candidiasis Management: Formulation–Characterization and In Vitro Evaluation Based on Vaginal Irritation and Direct Contact Test. Pharm. Dev. Technol. 2020, 25, 1238–1248. [Google Scholar] [CrossRef] [PubMed]
- Yadav, H.; Malviya, R.; Kaushik, N. Chitosan in Biomedicine: A Comprehensive Review of Recent Developments. Carbohydr. Polym. Technol. Appl. 2024, 8, 100551. [Google Scholar] [CrossRef]
- Pellis, A.; Guebitz, G.M.; Nyanhongo, G.S. Chitosan: Sources, Processing and Modification Techniques. Gels 2022, 8, 393. [Google Scholar] [CrossRef]
- Dudhani, A.R.; Kosaraju, S.L. Bioadhesive Chitosan Nanoparticles: Preparation and Characterization. Carbohydr. Polym. 2010, 81, 243–251. [Google Scholar] [CrossRef]
- Pardeshi, C.V.; Belgamwar, V.S. Controlled Synthesis of N,N,N-Trimethyl Chitosan for Modulated Bioadhesion and Nasal Membrane Permeability. Int. J. Biol. Macromol. 2016, 82, 933–944. [Google Scholar] [CrossRef]
- Farag, R.K.; Mohamed, R.R. Synthesis and Characterization of Carboxymethyl Chitosan Nanogels for Swelling Studies and Antimicrobial Activity. Molecules 2013, 18, 190–203. [Google Scholar] [CrossRef]
- Kafedjiiski, K.; Krauland, A.H.; Hoffer, M.H.; Bernkop-Schnürch, A. Synthesis and in Vitro Evaluation of a Novel Thiolated Chitosan. Biomaterials 2005, 26, 819–826. [Google Scholar] [CrossRef]
- Kiss, T.; Ambrus, R.; Abdelghafour, M.M.; Zeiringer, S.; Selmani, A.; Roblegg, E.; Budai-Szűcs, M.; Janovák, L.; Lőrinczi, B.; Deák, Á.; et al. Preparation and Detailed Characterization of the Thiomer Chitosan–Cysteine as a Suitable Mucoadhesive Excipient for Nasal Powders. Int. J. Pharm. 2022, 626, 122188. [Google Scholar] [CrossRef] [PubMed]
- Shitrit, Y.; Bianco-Peled, H. Acrylated Chitosan for Mucoadhesive Drug Delivery Systems. Int. J. Pharm. 2017, 517, 247–255. [Google Scholar] [CrossRef] [PubMed]
- Fan, L.; Yang, J.; Wu, H.; Hu, Z.; Yi, J.; Tong, J.; Zhu, X. Preparation and Characterization of Quaternary Ammonium Chitosan Hydrogel with Significant Antibacterial Activity. Int. J. Biol. Macromol. 2015, 79, 830–836. [Google Scholar] [CrossRef] [PubMed]
- Han, X.; Zheng, Z.; Yu, C.; Deng, Y.; Ye, Q.; Niu, F.; Chen, Q.; Pan, W.; Wang, Y. Preparation, Characterization and Antibacterial Activity of New Ionized Chitosan. Carbohydr. Polym. 2022, 290, 119490. [Google Scholar] [CrossRef]
- Arpa, M.D.; Seçen, İ.M.; Erim, Ü.C.; Hoş, A.; Üstündağ Okur, N. Azelaic Acid Loaded Chitosan and HPMC Based Hydrogels for Treatment of Acne: Formulation, Characterization, in Vitro-Ex Vivo Evaluation. Pharm. Dev. Technol. 2022, 27, 268–281. [Google Scholar] [CrossRef]
- Hu, Z.; Qin, Y.Q.; Guang, J.; Cai, Y. Preparation and Characterization of Chitosan Amino Acid Salts. IOP Conf. Ser. Mater. Sci. Eng. 2019, 504, 012023. [Google Scholar] [CrossRef]
- Rinaudo, M. Chitin and Chitosan: Properties and Applications. Prog. Polym. Sci. 2006, 31, 603–632. [Google Scholar] [CrossRef]
- Minh, N.C.; Nguyen, V.H.; Schwarz, S.; Stevens, W.F.; Trung, T.S. Preparation of Water Soluble Hydrochloric Chitosan from Low Molecular Weight Chitosan in the Solid State. Int. J. Biol. Macromol. 2019, 121, 718–726. [Google Scholar] [CrossRef]
- Şenel, S. Potential Applications of Chitosan in Oral Mucosal Delivery. J. Drug Deliv. Sci. Technol. 2010, 20, 23–32. [Google Scholar] [CrossRef]
- Tanigawa, J.; Miyoshi, N.; Sakurai, K. Characterization of Chitosan/Citrate and Chitosan/Acetate Films and Applications for Wound Healing. J. Appl. Polym. Sci. 2008, 110, 608–615. [Google Scholar] [CrossRef]
- Lukman Hekiem, N.L.; Md Ralib, A.A.; Mohd Hatta, M.A.; Ahmad, F.B.; Nordin, A.N.; Ab Rahim, R.; Za’bah, N.F. Effect of Chitosan Dissolved in Different Acetic Acid Concentration towards VOC Sensing Performance of Quartz Crystal Microbalance Overlay with Chitosan. Mater. Lett. 2021, 291, 129524. [Google Scholar] [CrossRef]
- Yaneva, Z.; Ivanova, D.; Nikolova, N.; Tzanova, M. The 21st Century Revival of Chitosan in Service to Bio-Organic Chemistry. Biotechnol. Biotechnol. Equip. 2020, 34, 221–237. [Google Scholar] [CrossRef]
- do Amaral Sobral, P.J.; Gebremariam, G.; Drudi, F.; De Aguiar Saldanha Pinheiro, A.C.; Romani, S.; Rocculi, P.; Dalla Rosa, M. Rheological and Viscoelastic Properties of Chitosan Solutions Prepared with Different Chitosan or Acetic Acid Concentrations. Foods 2022, 11, 2692. [Google Scholar] [CrossRef] [PubMed]
- Aranaz, I.; Alcántara, A.R.; Civera, M.C.; Arias, C.; Elorza, B.; Caballero, A.H.; Acosta, N. Chitosan: An Overview of Its Properties and Applications. Polymers 2021, 13, 3256. [Google Scholar] [CrossRef] [PubMed]
- Rossi, S.; Vigani, B.; Puccio, A.; Bonferoni, M.C.; Sandri, G.; Ferrari, F. Chitosan Ascorbate Nanoparticles for the Vaginal Delivery of Antibiotic Drugs in Atrophic Vaginitis. Mar. Drugs 2017, 15, 319. [Google Scholar] [CrossRef]
- Cerchiara, T.; Luppi, B.; Bigucci, F.; Zecchi, V. Chitosan Salts as Nasal Sustained Delivery Systems for Peptidic Drugs. J. Pharm. Pharmacol. 2003, 55, 1623–1627. [Google Scholar] [CrossRef]
- Sekar, V.; Rajendran, K.; Vallinayagam, S.; Deepak, V.; Mahadevan, S. Synthesis and Characterization of Chitosan Ascorbate Nanoparticles for Therapeutic Inhibition for Cervical Cancer and Their in Silico Modeling. J. Ind. Eng. Chem. 2018, 62, 239–249. [Google Scholar] [CrossRef]
- Rossi, S.; Marciello, M.; Sandri, G.; Bonferoni, M.C.; Ferrari, F.; Caramella, C. Chitosan Ascorbate: A Chitosan Salt with Improved Penetration Enhancement Properties. Pharm. Dev. Technol. 2008, 13, 513–521. [Google Scholar] [CrossRef]
- Sikorski, D.; Gzyra-Jagieła, K.; Draczyński, Z. The Kinetics of Chitosan Degradation in Organic Acid Solutions. Mar. Drugs 2021, 19, 236. [Google Scholar] [CrossRef]
- de Souza Soares, L.; Perim, R.B.; de Alvarenga, E.S.; de Moura Guimarães, L.; de Carvalho Teixeira, A.V.N.; dos Reis Coimbra, J.S.; de Oliveira, E.B. Insights on Physicochemical Aspects of Chitosan Dispersion in Aqueous Solutions of Acetic, Glycolic, Propionic or Lactic Acid. Int. J. Biol. Macromol. 2019, 128, 140–148. [Google Scholar] [CrossRef]
- Cevher, E.; Salomon, S.K.; Makrakis, A.; Li, X.W.; Brocchini, S.; Alpar, H.O. Development of Chitosan-Pullulan Composite Nanoparticles for Nasal Delivery of Vaccines: Optimisation and Cellular Studies. J. Microencapsul. 2015, 32, 755–768. [Google Scholar] [CrossRef] [PubMed]
- Hemant, K.S.Y.; Shivakumar, H.G. Development of Chitosan Acetate Films for Transdermal Delivery of Propranolol Hydrochloride. Trop. J. Pharm. Res. 2010, 9, 197–203. [Google Scholar] [CrossRef]
- Nunthanid, J.; Laungtana-Anan, M.; Sriamornsak, P.; Limmatvapirat, S.; Puttipipatkhachorn, S.; Lim, L.Y.; Khor, E. Characterization of Chitosan Acetate as a Binder for Sustained Release Tablets. J. Control. Release 2004, 99, 15–26. [Google Scholar] [CrossRef] [PubMed]
- Sámano-Valencia, C.; Martinez-Castanon, G.A.; Martínez-Gutiérrez, F.; Ruiz, F.; Toro-Vázquez, J.F.; Morales-Rueda, J.A.; Espinosa-Cristóbal, L.F.; Zavala Alonso, N.V.; Niño Martínez, N. Characterization and Biocompatibility of Chitosan Gels with Silver and Gold Nanoparticles. J. Nanomater. 2014, 2014, 543419. [Google Scholar] [CrossRef]
- Furuike, T.; Komoto, D.; Hashimoto, H.; Tamura, H. Preparation of Chitosan Hydrogel and Its Solubility in Organic Acids. Int. J. Biol. Macromol. 2017, 104, 1620–1625. [Google Scholar] [CrossRef]
- Wu, J.; Zhang, L. Dissolution Behavior and Conformation Change of Chitosan in Concentrated Chitosan Hydrochloric Acid Solution and Comparison with Dilute and Semidilute Solutions. Int. J. Biol. Macromol. 2019, 121, 1101–1108. [Google Scholar] [CrossRef]
- Singh, J.; Dutta, P.K.; Dutta, J.; Hunt, A.J.; Macquarrie, D.J.; Clark, J.H. Preparation and Properties of Highly Soluble Chitosan-l-Glutamic Acid Aerogel Derivative. Carbohydr. Polym. 2009, 76, 188–195. [Google Scholar] [CrossRef]
- Gonçalves, C.; Ferreira, N.; Lourenço, L. Production of Low Molecular Weight Chitosan and Chitooligosaccharides (COS): A Review. Polymers 2021, 13, 2466. [Google Scholar] [CrossRef]
- Fedoseeva, E.N.; Semchikov, Y.D.; Smirnova, L.A. Degradation of Chitosan in Solutions in the Presence of a Redox System. Polym. Sci.-Ser. B 2006, 48, 295–299. [Google Scholar] [CrossRef]
- Tovar, C.A.; Gómez-Guillén, M.C.; Montero, M.P. Effect of Chitosan Concentration on the Rheological Properties of Acetic and Lactic Acid Solutions. In Proceedings of the Iberian Meeting on Rheology (IBEREO 2019), Porto, Portugal, 4–6 September 2019; pp. 20–24. [Google Scholar] [CrossRef]
- Morariu, S.; Brunchi, C.E.; Bercea, M. The Behavior of Chitosan in Solvents with Different Ionic Strengths. Ind. Eng. Chem. Res. 2012, 51, 12959–12966. [Google Scholar] [CrossRef]
- Zoldners, J.; Kiseleva, T.; Kaiminsh, I. Influence of Ascorbic Acid on the Stability of Chitosan Solutions. Carbohydr. Polym. 2005, 60, 215–218. [Google Scholar] [CrossRef]
- Iftime, M.M.; Angheloiu, M. Ultrasonication—A Potential Method toward Chitosan Hydrogels. Mater. Plast. 2020, 57, 67–77. [Google Scholar] [CrossRef]
- Gupta, K.C.; Jabrail, F.H. Glutaraldehyde Cross-Linked Chitosan Microspheres for Controlled Release of Centchroman. Carbohydr. Res. 2007, 342, 2244–2252. [Google Scholar] [CrossRef]
- Amorim, M.L.; Ferreira, G.M.D.; de Souza Soares, L.; Soares, W.A.D.S.; Ramos, A.M.; Coimbra, J.S.D.R.; da Silva, L.H.M.; de Oliveira, E.B. Physicochemical Aspects of Chitosan Dispersibility in Acidic Aqueous Media: Effects of the Food Acid Counter-Anion. Food Biophys. 2016, 11, 388–399. [Google Scholar] [CrossRef]
- Long, B.; Li, J.; Song, Y.; Du, J. Temperature Dependent Solubility of α-Form l-Glutamic Acid in Selected Organic Solvents: Measurements and Thermodynamic Modeling. Ind. Eng. Chem. Res. 2011, 50, 8354–8360. [Google Scholar] [CrossRef]
- Pertzoff, V.A. The Solubility of Glutamic Acid in Water and Certain Organic Solvents. J. Biol. Chem. 1933, 100, 97–104. [Google Scholar] [CrossRef]
- Haynes, W.M. CRC Handbook of Chemistry and Physics, 95th ed.; CRC Press: Boca Raton, FL, USA, 2014; ISBNs 9781482208689/1482208687. [Google Scholar]
- Nangare, S.; Vispute, Y.; Tade, R.; Dugam, S.; Patil, P. Pharmaceutical Applications of Citric Acid. Futur. J. Pharm. Sci. 2021, 7, 54. [Google Scholar] [CrossRef]
- Angumeenal, A.R.; Venkappayya, D. An Overview of Citric Acid Production. LWT 2013, 50, 367–370. [Google Scholar] [CrossRef]
- Phaechamud, T.; Koizumi, T.; Ritthidej, G.C. Chitosan Citrate as Film Former: Compatibility with Water-Soluble Anionic Dyes and Drug Dissolution from Coated Tablet. Int. J. Pharm. 2000, 198, 97–111. [Google Scholar] [CrossRef]
- Jiang, S.; Qiao, C.; Liu, R.; Liu, Q.; Xu, J.; Yao, J. Structure and Properties of Citric Acid Cross-Linked Chitosan/Poly(Vinyl Alcohol) Composite Films for Food Packaging Applications. Carbohydr. Polym. 2023, 312, 120842. [Google Scholar] [CrossRef]
- Khouri, J.; Penlidis, A.; Moresoli, C. Viscoelastic Properties of Crosslinked Chitosan Films. Processes 2019, 7, 157. [Google Scholar] [CrossRef]
- Chen, R.H.; Lin, W.C.; Lin, J.H. Effects of PH, Ionic Strength, and Type of Anion on the Rheological Properties of Chitosan Solutions. Acta Polym. 1994, 45, 41–46. [Google Scholar] [CrossRef]
- Hirai, A.; Odani, H.; Nakajima, A. Determination of Degree of Deacetylation of Chitosan by 1H NMR Spectroscopy. Polym. Bull. 1991, 26, 87–94. [Google Scholar] [CrossRef]
- Jaidee, A.; Rachtanapun, P.; Luangkamin, S. 1H-NMR Analysis of Degree of Substitution in N,O-Carboxymethyl Chitosans from Various Chitosan Sources and Types. Adv. Mater. Res. 2012, 506, 158–161. [Google Scholar] [CrossRef]
- Lavertu, M.; Xia, Z.; Serreqi, A.N.; Berrada, M.; Rodrigues, A.; Wang, D.; Buschmann, M.D.; Gupta, A. A Validated 1H NMR Method for the Determination of the Degree of Deacetylation of Chitosan. J. Pharm. Biomed. Anal. 2003, 32, 1149–1158. [Google Scholar] [CrossRef] [PubMed]
- Arpa, M.D.; Okur, N.Ü.; Gök, M.K.; Cevher, E. Chitosan-Based Buccal Mucoadhesive Bilayer Tablets Enhance the Bioavailability of Tizanidine Hydrochloride by Bypassing the First-Pass Metabolism. J. Drug Deliv. Sci. Technol. 2024, 97, 105739. [Google Scholar] [CrossRef]
- Erim, Ü.C.; Gülfen, M.; Aydın, A.O. Synthesis and Selective Au(III) Adsorption Properties of Poly(2-Aminothiophenol) Chelating Polymer: Equilibrium, Kinetics and Thermodynamics. Int. J. Environ. Sci. Technol. 2024, 22, 4307–4320. [Google Scholar] [CrossRef]
- Ghosh, A.; Ali, M.A. Studies on Physicochemical Characteristics of Chitosan Derivatives with Dicarboxylic Acids. J. Mater. Sci. 2012, 47, 1196–1204. [Google Scholar] [CrossRef]
- James, G.; Tran, D.T.; Chaudhuri, H.; Song, M.H.; Yun, Y.S. Chitosan-Thioglycolic Acid Composite Cross-Linked with Glutaraldehyde for Selective Recovery of Au(III) Ions from e-Waste Leachate via Reduction-Coupled Adsorption and Incineration. Chemosphere 2024, 364, 143282. [Google Scholar] [CrossRef]
- Chokradjaroen, C.; Rujiravanit, R.; Theeramunkong, S.; Saito, N. Degradation of Chitosan Hydrogel Dispersed in Dilute Carboxylic Acids by Solution Plasma and Evaluation of Anticancer Activity of Degraded Products. Jpn. J. Appl. Phys. 2018, 57, 0102B5. [Google Scholar] [CrossRef]
- Arpa, M.D.; Okur, N.Ü.; Gök, M.K.; Özgümüş, S.; Cevher, E. Chitosan-Based Buccal Mucoadhesive Patches to Enhance the Systemic Bioavailability of Tizanidine. Int. J. Pharm. 2023, 642, 123168. [Google Scholar] [CrossRef] [PubMed]
- El-Hefian, E.A.; Elgannoudi, E.S.; Mainal, A.; Yahaya, A.H. Characterization of Chitosan in Acetic Acid: Rheological and Thermal Studies. Turk. J. Chem. 2010, 34, 47–56. [Google Scholar] [CrossRef]
- Medeiros, R.S.; Ferreira, A.P.G.; Cavalheiro, E.T.G. Chitosan and Naproxen Salts: Preparation and Characterization. J. Therm. Anal. Calorim. 2023, 148, 177–190. [Google Scholar] [CrossRef]
- Zhang, N.; Zhang, H.; Li, R.; Xing, Y. Preparation and Adsorption Properties of Citrate-Crosslinked Chitosan Salt Microspheres by Microwave Assisted Method. Int. J. Biol. Macromol. 2020, 152, 1146–1156. [Google Scholar] [CrossRef] [PubMed]
- Leguerinel, I.; Mafart, P. Modelling the Influence of PH and Organic Acid Types on Thermal Inactivation of Bacillus Cereus Spores. Int. J. Food Microbiol. 2001, 63, 29–34. [Google Scholar] [CrossRef]
- Sabzi, M.; Afshari, M.J.; Babaahmadi, M.; Shafagh, N. PH-Dependent Swelling and Antibiotic Release from Citric Acid Crosslinked Poly(Vinyl Alcohol) (PVA)/Nano Silver Hydrogels. Colloids Surf. B Biointerfaces 2020, 188, 110757. [Google Scholar] [CrossRef]
- Arpa, M.D.; Kesmen, E.E.; Arslan, T.; Karadağ, A.E.; Biltekin, S.N.; Demirci, F. Ginger Essential Oil-Loaded Hydrogels: Preparation, Characterization, Cytotoxicity, Antimicrobial and Anti-Inflammatory Activity. J. Essent. Oil Res. 2024, 36, 16–29. [Google Scholar] [CrossRef]
- Bernal, R.A.O.; Olekhnovich, R.O.; Uspenskaya, M.V. Influence of Thermal Treatment and Acetic Acid Concentration on the Electroactive Properties of Chitosan/PVA-Based Micro- and Nanofibers. Polymers 2023, 15, 3719. [Google Scholar] [CrossRef]
- Nguyen, H.T.T.; Tran, T.N.; Ha, A.C.; Huynh, P.D. Impact of Deacetylation Degree on Properties of Chitosan for Formation of Electrosprayed Nanoparticles. J. Nanotechnol. 2022, 2022, 3–7. [Google Scholar] [CrossRef]
- Qu, X.; Wirsén, A.; Albertsson, A.C. Novel PH-Sensitive Chitosan Hydrogels: Swelling Behavior and States of Water. Polymer 2000, 41, 4589–4598. [Google Scholar] [CrossRef]
- Bordes, R.; Tropsch, J.; Holmberg, K. Counterion Specificity of Surfactants Based on Dicarboxylic Amino Acids. J. Colloid Interface Sci. 2009, 338, 529–536. [Google Scholar] [CrossRef]
- Hong, L.; Granick, S. Charged Polypeptide Diffusion at a Very High Ionic Strength. J. Polym. Sci. Part B Polym. Phys. 2005, 43, 3497–3502. [Google Scholar] [CrossRef]
- Hamdine, M.; Heuzey, M.C.; Bégin, A. Effect of Organic and Inorganic Acids on Concentrated Chitosan Solutions and Gels. Int. J. Biol. Macromol. 2005, 37, 134–142. [Google Scholar] [CrossRef] [PubMed]
- de Souza Soares, L.; Tonole, B.; Milião, G.L.; de Carvalho Teixeira, Á.V.N.; .Coimbra, J.S.D.R.; de Oliveira, E.B. Aqueous Solutions of Glycolic, Propionic, or Lactic Acid in Substitution of Acetic Acid to Prepare Chitosan Dispersions: A Study Based on Rheological and Physicochemical Properties. J. Food Sci. Technol. 2021, 58, 1797–1807. [Google Scholar] [CrossRef] [PubMed]
- Ngulube, T.; Gumbo, J.R.; Masindi, V.; Maity, A. An Update on Synthetic Dyes Adsorption onto Clay Based Minerals: A State-of-Art Review. J. Environ. Manag. 2017, 191, 35–57. [Google Scholar] [CrossRef] [PubMed]
- Cho, J.; Heuzey, M.C.; Bégin, A.; Carreau, P.J. Viscoelastic Properties of Chitosan Solutions: Effect of Concentration and Ionic Strength. J. Food Eng. 2006, 74, 500–515. [Google Scholar] [CrossRef]
- Szymańska, E.; Winnicka, K. Stability of Chitosan—A Challenge for Pharmaceutical and Biomedical Applications. Mar. Drugs 2015, 13, 1819–1846. [Google Scholar] [CrossRef]
- Romanazzi, G.; Gabler, F.M.; Margosan, D.; MacKey, B.E.; Smilanick, J.L. Effect of Chitosan Dissolved in Different Acids on Its Ability to Control Postharvest Gray Mold of Table Grape. Phytopathology 2009, 99, 1028–1036. [Google Scholar] [CrossRef]
- Baloglu, E.; Karavana, S.Y.; Senyigit, Z.A.; Guneri, T. Rheological and Mechanical Properties of Poloxamer Mixtures as a Mucoadhesive Gel Base. Pharm. Dev. Technol. 2011, 16, 627–636. [Google Scholar] [CrossRef]
- Lei, F.; Zhang, H.; Luo, R.; Fei, Q.; Bai, L.; He, N. Sustained Ocular Delivery of Desmopressin Acetate via Thermoreversible in Situ Gel Formulation: Preparation and in Vitro/in Vivo Evaluation. J. Pharm. Investig. 2022, 52, 639–648. [Google Scholar] [CrossRef]
- Mironov, A.V.; Vikhoreva, G.A.; Kil’deeva, N.R.; Uspenskii, S.A. Reasons for Unstable Viscous Properties of Chitosan Solutions in Acetic Acid. Polym. Sci.-Ser. B 2007, 49, 15–17. [Google Scholar] [CrossRef]
- Sun, H.; Zhang, L.; Zhao, N.; Xin, H. Cu2+-Citrate-Chitosan Complex Nanoparticles for the Chemodynamic Therapy of Lung Cancer. ACS Omega 2024, 9, 8425–8433. [Google Scholar] [CrossRef]
- Pieklarz, K.; Galita, G.; Tylman, M.; Maniukiewicz, W.; Kucharska, E.; Majsterek, I.; Modrzejewska, Z. Physico-Chemical Properties and Biocompatibility of Thermosensitive Chitosan Lactate and Chitosan Chloride Hydrogels Developed for Tissue Engineering Application. J. Funct. Biomater. 2021, 12, 37. [Google Scholar] [CrossRef] [PubMed]
- Choi, J.H.; Choi, O.K.; Lee, J.; Noh, J.; Lee, S.; Park, A.; Rim, M.A.; Reis, R.L.; Khang, G. Evaluation of Double Network Hydrogel of Poloxamer-Heparin/Gellan Gum for Bone Marrow Stem Cells Delivery Carrier. Colloids Surf. B Biointerfaces 2019, 181, 879–889. [Google Scholar] [CrossRef] [PubMed]
- Huanbutta, K.; Cheewatanakornkool, K.; Terada, K.; Nunthanid, J.; Sriamornsak, P. Impact of Salt Form and Molecular Weight of Chitosan on Swelling and Drug Release from Chitosan Matrix Tablets. Carbohydr. Polym. 2013, 97, 26–33. [Google Scholar] [CrossRef]
- Boudouaia, N.; Bendaoudi, A.A.; Mahmoudi, H.; Saffaj, T.; Bengharez, Z. Swelling and Adsorption Properties of Crosslinked Chitosan-Based Filmkinetic, Thermodynamic and Optimization Studies. Desalin. Water Treat. 2022, 255, 56–67. [Google Scholar] [CrossRef]
- Han, S.Y.; An, S.; Cho, S.W. Advanced Bioadhesive Hydrogels for Skin Care and Therapy. Adv. Ther. 2024, 7, 2300125. [Google Scholar] [CrossRef]
- Mansuri, S.; Kesharwani, P.; Jain, K.; Tekade, R.K.; Jain, N.K. Mucoadhesion: A Promising Approach in Drug Delivery System. React. Funct. Polym. 2016, 100, 151–172. [Google Scholar] [CrossRef]
- Cheung, R.C.F.; Ng, T.B.; Wong, J.H.; Chan, W.Y. Chitosan: An Update on Potential Biomedical and Pharmaceutical Applications. Mar. Drugs 2015, 13, 5156–5186. [Google Scholar] [CrossRef]
- Jasim, R. Medical, Pharmaceutical, and Biomedical Applications of Chitosan: A Review. Med. J. Babylon 2021, 18, 291–294. [Google Scholar] [CrossRef]
- Guo, Y.; Liu, W.; Dong, S.; Li, Y.; He, J.; Liu, F.; Li, R.; Zhang, S.; Cai, L.; Zhang, Y. Effects of Deacetylation Degree, Molecular Weight, and Preparation Method on Wet-Adhesive and Rheological Properties of Chitosan as Food-Grade Adhesive. J. Food Process. Preserv. 2022, 46, e16770. [Google Scholar] [CrossRef]
- Mao, X.; Yuk, H.; Zhao, X. Hydration and Swelling of Dry Polymers for Wet Adhesion. J. Mech. Phys. Solids 2020, 137, 103863. [Google Scholar] [CrossRef]
- Jones, D.S.; Woolfson, A.D.; Brown, A.F. Textural, Viscoelastic and Mucoadhesive Properties of Pharmaceutical Gels Composed of Cellulose Polymers. Int. J. Pharm. 1997, 151, 223–233. [Google Scholar] [CrossRef]
- Karava, A.; Lazaridou, M.; Nanaki, S.; Michailidou, G.; Christodoulou, E.; Kostoglou, M.; Iatrou, H.; Bikiaris, D.N. Chitosan Derivatives with Mucoadhesive and Antimicrobial Properties for Simultaneous Nanoencapsulation and Extended Ocular Release Formulations of Dexamethasone and Chloramphenicol Drugs. Pharmaceutics 2020, 12, 594. [Google Scholar] [CrossRef] [PubMed]
- Carvalho, F.C.; Bruschi, M.L.; Evangelista, R.C.; Gremião, M.P.D. Mucoadhesive Drug Delivery Systems. Braz. J. Pharm. Sci. 2010, 46, 1–17. [Google Scholar] [CrossRef]
- Ramadan, A.A.; Elbakry, A.M.; Esmaeil, A.H.; Khaleel, S.A. Pharmaceutical and Pharmacokinetic Evaluation of Novel Rectal Mucoadhesive Hydrogels Containing Tolmetin Sodium. J. Pharm. Investig. 2018, 48, 673–683. [Google Scholar] [CrossRef]
- Arpa, M.D.; Doğan, N.; Gündüz, M.; Karavelioğlu, E.S.; Erim, Ü.C. Development and Evaluation of Azelaic Acid-Cyclodextrin Hydrogels for Treatment of Acne. J. Res. Pharm. 2024, 28, 177–190. [Google Scholar] [CrossRef]
- Arpa, M.D.; Biltekin Kaleli, S.N.; Doğan, N. Hydroxypropyl-β-Cyclodextrin-Enhanced Azelaic Acid Hydrogel for Acne Treatment: Evaluation of Antimicrobial, Anti-Inflammatory, and Skin Penetration Properties. J. Pharm. Innov. 2025, 20, 106. [Google Scholar] [CrossRef]
- Wang, R.; Xu, S.; Zhang, M.; Feng, W.; Wang, C.; Qiu, X.; Li, J.; Zhao, W. Multifunctional Chitosan-Based Hydrogels Loaded with Iridium Nanoenzymes for Skin Wound Repair. Carbohydr. Polym. 2024, 342, 122325. [Google Scholar] [CrossRef]
- Tomczykowa, M.; Wróblewska, M.; Winnicka, K.; Wieczorek, P.; Majewski, P.; Celínska-Janowicz, K.; Sawczuk, R.; Miltyk, W.; Tryniszewska, E.; Tomczyk, M. Novel Gel Formulations as Topical Carriers for the Essential Oil of Bidens Tripartita for the Treatment of Candidiasis. Molecules 2018, 23, 2517. [Google Scholar] [CrossRef]











| Material | A1 | A2 | A3 | C1 | C2 | C3 | G1 | G2 | G3 | L1 | L2 | L3 | 
|---|---|---|---|---|---|---|---|---|---|---|---|---|
| Chitosan (%) | 2.5 | 3 | 3.5 | 2.5 | 3 | 3.5 | 2.5 | 3 | 3.5 | 2.5 | 3 | 3.5 | 
| Acetic acid * | 1: 1 | 1:1 | 1:1 | |||||||||
| Citric acid * | 1:1.2 | 1:1.2 | 1:1.2 | |||||||||
| Glutamic acid * | 1:1 | 1:1 | 1:1 | |||||||||
| Lactic acid * | 1:1 | 1:1 | 1:1 | |||||||||
| Distilled water (g) (qs) | 100 | 100 | 100 | 100 | 100 | 100 | 100 | 100 | 100 | 100 | 100 | 100 | 
| Acid | pKa1 | pKa2 | pKa3 | Strength (Acidic Protons) | 
|---|---|---|---|---|
| Acetic Acid | 4.76 | Weak | ||
| Lactic Acid | 3.86 | Moderate | ||
| Glutamic Acid | 2.13 | 4.31 | 9.67 | Strongest for Ka1, weakest for Ka3 | 
| Citric Acid | 3.13 | 4.76 | 6.40 | Stronger for Ka1, weaker for others | 
| Formulation | Behavior Index (n) | Consistency Coefficient (K) (mPa·sn) | R2 | 
|---|---|---|---|
| A1 | 0.9003 | 1062.54 | 0.9996 | 
| A2 | 0.8369 | 1972.77 | 0.9993 | 
| A3 | 0.8124 | 3929.39 | 0.9997 | 
| C1 | 0.9675 | 744.04 | 0.9997 | 
| C2 | 0.9189 | 1325.92 | 0.9997 | 
| C3 | 0.8764 | 2584.21 | 0.9994 | 
| G1 | 0.9048 | 972.54 | 0.9997 | 
| G2 | 0.8846 | 1754.30 | 0.9994 | 
| G3 | 0.8392 | 3289.02 | 0.9995 | 
| L1 | 0.8945 | 1116.81 | 0.9995 | 
| L2 | 0.8335 | 1860.15 | 0.9992 | 
| L3 | 0.8017 | 4063.73 | 0.9996 | 
| Disclaimer/Publisher’s Note: The statements, opinions and data contained in all publications are solely those of the individual author(s) and contributor(s) and not of MDPI and/or the editor(s). MDPI and/or the editor(s) disclaim responsibility for any injury to people or property resulting from any ideas, methods, instructions or products referred to in the content. | 
© 2025 by the authors. Licensee MDPI, Basel, Switzerland. This article is an open access article distributed under the terms and conditions of the Creative Commons Attribution (CC BY) license (https://creativecommons.org/licenses/by/4.0/).
Share and Cite
Arpa, M.D.; Erim, Ü.C.; Kesmen Salik, E.E.; Kaleli, S.N.B.; Erol, I. Effect of Organic Acid Selection on the Physicochemical Properties, Bioadhesion, and Stability of Chitosan Hydrogels. Gels 2025, 11, 778. https://doi.org/10.3390/gels11100778
Arpa MD, Erim ÜC, Kesmen Salik EE, Kaleli SNB, Erol I. Effect of Organic Acid Selection on the Physicochemical Properties, Bioadhesion, and Stability of Chitosan Hydrogels. Gels. 2025; 11(10):778. https://doi.org/10.3390/gels11100778
Chicago/Turabian StyleArpa, Muhammet Davut, Ümit Can Erim, Ebrar Elif Kesmen Salik, Sevde Nur Biltekin Kaleli, and Ismail Erol. 2025. "Effect of Organic Acid Selection on the Physicochemical Properties, Bioadhesion, and Stability of Chitosan Hydrogels" Gels 11, no. 10: 778. https://doi.org/10.3390/gels11100778
APA StyleArpa, M. D., Erim, Ü. C., Kesmen Salik, E. E., Kaleli, S. N. B., & Erol, I. (2025). Effect of Organic Acid Selection on the Physicochemical Properties, Bioadhesion, and Stability of Chitosan Hydrogels. Gels, 11(10), 778. https://doi.org/10.3390/gels11100778
 
        


 
       