Application of the Combined QCM-D/LSPR Aptasensor for Penicillin G Detection
Abstract
1. Introduction
2. Materials and Methods
2.1. Chemicals
2.2. Preparation of the Sensing Surfaces and PEN Detection
2.2.1. Sensor Surface Functionalization
2.2.2. AuNP Immobilization
2.2.3. Aptamer Functionalization of the Sensors
2.2.4. Biosensing
2.3. Experimental Apparatus and Data Analysis
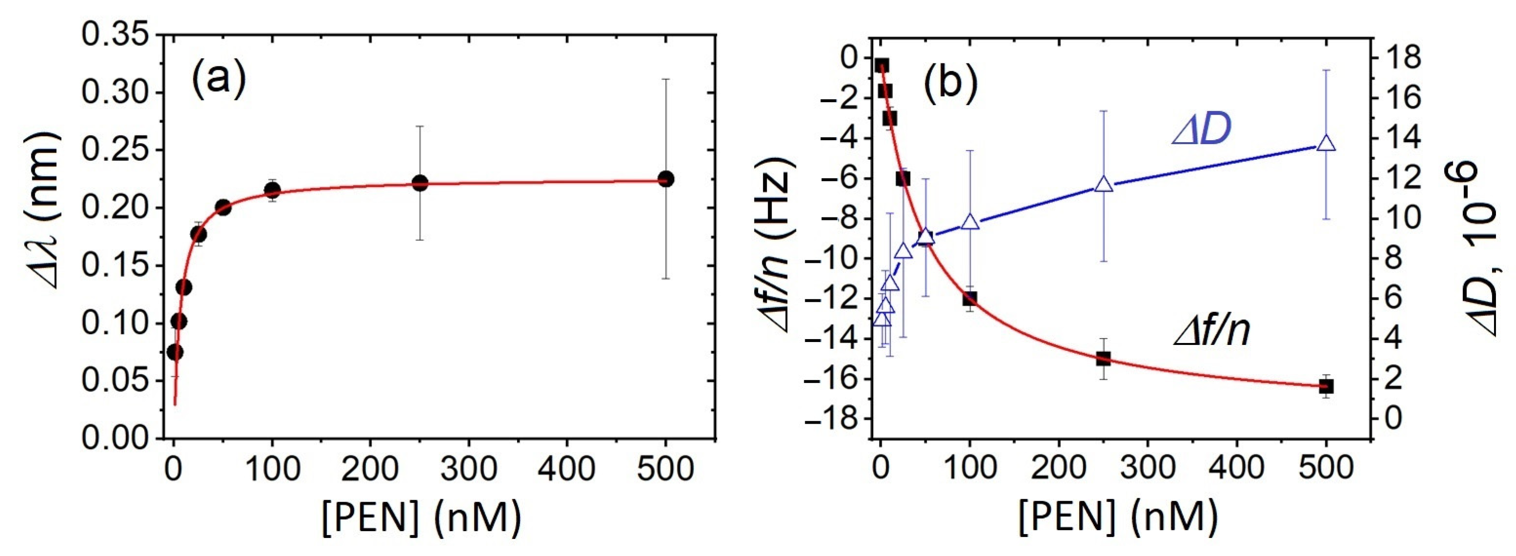
3. Results and Discussion
4. Conclusions
Supplementary Materials
Author Contributions
Funding
Institutional Review Board Statement
Informed Consent Statement
Data Availability Statement
Acknowledgments
Conflicts of Interest
References
- Banan, K.; Hatamabadi, D.; Afsharara, H.; Mostafiz, H.; Sadeghi, H.; Rashidi, S.; Beirami, A.D.; Shahbazi, M.-A.; Kecili, R.; Hussain, C.M.; et al. MIP-based extraction techniques for the determination of antibiotic residues in edible meat samples: Design, performance & recent developments. Trends Food Sci. Technol. 2022, 119, 164–178. [Google Scholar] [CrossRef]
- Evtugyn, G.; Porfireva, A.; Tsekenis, G.; Oravczova, V.; Hianik, T. Electrochemical aptasensors for antibiotics detection: Recent achievements and applications for monitoring food safety. Sensors 2022, 22, 3684. [Google Scholar] [CrossRef] [PubMed]
- Chiesa, L.M.; Nobile, M.; Panseri, S.; Arioli, F. Antibiotic use in heavy pigs: Comparison between urine and muscle samples from food chain animals analysed by HPLC-MS/MS. Food Chem. 2017, 235, 111–118. [Google Scholar] [CrossRef] [PubMed]
- Hlabangana, L.; Memeza, S. Ion-pair isocratic simultaneous determination of broad spectrum antibiotics in environmental samples by HPLC with UV detection. Environ. Nanotechnol. Monit. Manag. 2018, 10, 104–111. [Google Scholar] [CrossRef]
- Parthasarathy, R.; Monette, C.E.; Bracero, S.; Saha, M.S. Methods for field measurement of antibiotic concentrations: Limitations and outlook. FEMS Microbiol. Ecol. 2018, 94, fiy105. [Google Scholar] [CrossRef]
- Gruhl, F.J.; Länge, K. Surface acoustic wave (SAW) biosensor for rapid and label-free detection of penicillin G in milk. Food Anal. Methods 2014, 7, 430–437. [Google Scholar] [CrossRef]
- Cháfer-Pericás, C.; Maquieira, A.; Puchades, R. Fast screening methods to detect antibiotic residues in food samples. TrAC Trends Anal. Chem. 2010, 29, 1038–1049. [Google Scholar] [CrossRef]
- Aga, D.S.; O’Connor, S.; Ensley, S.; Payero, J.O.; Snow, D.; Tarkalson, D. Determination of the persistence of tetracycline antibiotics and their degradates in manure-amended soil using enzyme-linked immunosorbent assay and liquid chromatography–mass spectrometry. J. Agric. Food Chem. 2005, 53, 7165–7171. [Google Scholar] [CrossRef]
- Tuerk, C.; Gold, L. Systematic evolution of ligands by exponential enrichment: RNA ligands to bacteriophage-T4 DNA-polymerase. Science 1990, 249, 505–510. [Google Scholar] [CrossRef]
- Tian, R.; Sun, J.; Ye, Y.; Lu, X.; Sun, X. Screening strategy of aptamer and its application in food contaminants determination. TrAC Trends Anal. Chem. 2024, 175, 117710. [Google Scholar] [CrossRef]
- Madej, M.; Knihnicki, P.; Porada, R.; Kochana, J. (Bio)electroanalysis of tetracyclines: Recent developments. Biosensors 2025, 15, 101. [Google Scholar] [CrossRef]
- Zhou, Y.; Lu, Y.; Liu, Y.; Hu, X.; Chen, H. Current strategies of plasmonic nanoparticles assisted surface-enhanced Raman scattering toward biosensor studies. Biosens. Bioelectron. 2023, 228, 115231. [Google Scholar] [CrossRef] [PubMed]
- Ballantine, D.S.; White, R.M.; Martin, S.J.; Ricco, A.J.; Zellers, E.T.; Frye, G.C.; Wohltjen, H. Acoustics Wave Sensors: Theory, Design, and Physico-Chemical Applications, 1st ed.; Academic Press: San Diego, CA, USA, 1997; pp. 36–149. [Google Scholar]
- Mayer, K.M.; Hafner, J.H. Localized surface plasmon resonance sensors. Chem. Rev. 2011, 111, 3828–3857. [Google Scholar] [CrossRef] [PubMed]
- Mehlhorn, A.; Rahimi, P.; Joseph, Y. Aptamer-based biosensors for antibiotic detection: A review. Biosensors 2018, 8, 54. [Google Scholar] [CrossRef] [PubMed]
- Lin, X.; Luo, Y.; Li, D.; Li, Y.; Gong, T.; Zhao, C.; Wang, C.; Duan, R.; Yue, W. Recent advances in localized surface plasmon resonance (LSPR) sensing technologies. Nanotechnology 2025, 36, 202001. [Google Scholar] [CrossRef]
- Yu, N.; Wu, J. Rapid and reagentless detection of thrombin in clinic samples via microfluidic aptasensors with multiple target-binding sites. Biosens. Bioelectron. 2019, 146, 111726. [Google Scholar] [CrossRef]
- Hao, D.; Hu, C.; Grant, J.; Glidle, A.; Cumming, D.R.S. Hybrid localized surface plasmon resonance and quartz crystal microbalance sensor for label free biosensing. Biosens. Bioelectron. 2018, 100, 23–27. [Google Scholar] [CrossRef]
- Jatschka, J.; Dathe, A.; Csáki, A.; Fritzsche, W.; Stranik, O. Propagating and localized surface plasmon resonance sensing—A critical comparison based on measurements and theory. Sens. Bio-Sens. Res. 2016, 7, 62–70. [Google Scholar] [CrossRef]
- Zhu, J.; Huang, S.; Ye, J.; Zhang, X.; Liu, G. Design of a quartz crystal with transparent electrode used for both QCM-D and LSPR technology. Sens. Actuators A Phys. 2015, 229, 141–146. [Google Scholar] [CrossRef]
- Asai, N.; Matsumoto, N.; Yamashita, I.; Shimizu, T.; Shingubara, S.; Ito, T. Detailed analysis of liposome adsorption and its rupture on the liquid-solid interface monitored by LSPR and QCM-D integrated sensor. Sens. Bio-Sens. Res. 2021, 32, 100415. [Google Scholar] [CrossRef]
- AbuKhadra, D.; Oren, Y.; Herzberg, M. New insights on the organic fouling mechanism of ultrafiltration membranes using hybrid QCM-D–LSPR. J. Membr. Sci. 2025, 725, 124044. [Google Scholar] [CrossRef]
- Zhao, J.; Guo, W.; Pei, M.; Ding, F. GR–Fe3O4NPs and PEDOT–AuNPs composite based electrochemical aptasensor for the sensitive detection of penicillin. Anal. Methods 2016, 8, 4391–4397. [Google Scholar] [CrossRef]
- Niazi, J.H.; Lee, S.J.; Gu, M.B. Single-stranded DNA aptamers specific for antibiotics tetracyclines. Bioorg. Med. Chem. 2008, 16, 7245–7253. [Google Scholar] [CrossRef]
- Kastner, S.; Dietel, A.-K.; Seier, F.; Ghosh, S.; Weiß, D.; Makarewicz, O.; Csáki, A.; Fritzsche, W. LSPR-based biosensing enables the detection of antimicrobial resistance genes. Small 2023, 19, 2207953. [Google Scholar] [CrossRef] [PubMed]
- Nobusawa, K.; Okamoto, N.; Chong, K.S.L.; Lin, X.; Iwahori, K.; Yamashita, I. Dispersed gold nanoparticle array produced by apoferritins utilizing biomineralization and chemical conversion. ACS Omega 2017, 2, 1424–1430. [Google Scholar] [CrossRef] [PubMed]
- Yoon, S.M.; Cho, N.J.; Kanazawa, K. Analyzing spur-distorted impedance spectra for the QCM. J. Sens. 2009, 2009, 259746. [Google Scholar] [CrossRef]
- Johannsmann, D.; Langhoff, A.; Leppin, C.; Reviakine, I.; Maan, A.M.C. Effect of noise on determining ultrathin-film parameters from QCM-D data with the viscoelastic model. Sensors 2023, 23, 1348. [Google Scholar] [CrossRef]
- Muckley, E.S.; Rama Vasudevan, R.; Sumpter, B.G.; Advincula, R.C.; Ivanov, I.N. Machine intelligence-centered system for automated characterization of functional materials and interfaces. ACS Appl. Mater. Interfaces 2023, 15, 2329–2340. [Google Scholar] [CrossRef]
- Zhang, X.; Servos, M.R.; Liu, J. Instantaneous and quantitative functionalization of gold nanoparticles with thiolated DNA using a pH-assisted and surfactant-free route. J. Am. Chem. Soc. 2012, 134, 7266–7269. [Google Scholar] [CrossRef]
- Sakti, S.P.; Lucklum, R.; Hauptmann, P.; Bühling, F.; Ansorge, S. Disposable TSM-biosensor based on viscosity changes of the contacting medium. Biosens. Bioelectron. 2001, 16, 1101–1108. [Google Scholar] [CrossRef]
- Ellis, J.S.; Thompson, M. Acoustic coupling at multiple interfaces and the liquid phase response of the thickness shear-mode acoustic wave sensor. Chem. Commun. 2004, 1310–1311. [Google Scholar] [CrossRef]
- Unser, S.; Bruzas, I.; He, J.; Sagle, L. Localized surface plasmon resonance biosensing: Current challenges and approaches. Sensors 2015, 15, 15684–15716. [Google Scholar] [CrossRef]
- Sauerbrey, G. Verwendung von Schwingquarzen zur Wägung dünner Schichten und zur Mikrowägung. Z. Phys. 1959, 155, 206–222. [Google Scholar] [CrossRef]
- Voinova, M.V.; Rodahl, M.; Jonson, M.; Kasemo, B. Viscoelastic acoustic response of layered polymer films at fluid-solid interfaces: Continuum mechanic’s approach. Phys. Scr. 1999, 59, 391–396. [Google Scholar] [CrossRef]
- Reviakine, I.; Johannsmann, D.; Richter, R.P. Hearing what you cannot see and visualizing what you hear: Interpreting quartz crystal microbalance data from solvated interfaces. Anal. Chem. 2011, 83, 8838–8848. [Google Scholar] [CrossRef] [PubMed]
- Osypova, A.; Thakar, D.; Dejeu, J.; Bonnet, H.; Van der Heyden, A.; Dubacheva, G.V.; Richter, R.P.; Defrancq, E.; Spinelli, N.; Coche-Guérente, K.; et al. Sensor based on aptamer folding to detect low-molecular weight analytes. Anal. Chem. 2015, 87, 7566–7574. [Google Scholar] [CrossRef] [PubMed]
- Armbruster, D.A.; Pry, T. Limit of blank, limit of detection and limit of quantitation. Clin. Biochem. Rev. 2008, 29 (Suppl. S1), S49–S52. [Google Scholar]
- Karaseva, N.A.; Ermolaeva, T.N. Piezoelectric immunosensors for the detection of individual antibiotics and the total content of penicillin antibiotics in foodstuffs. Talanta 2014, 120, 312–317. [Google Scholar] [CrossRef]
- Cappi, G.; Spiga, F.M.; Moncada, Y.; Ferretti, A.; Beyeler, M.; Bianchessi, M.; Decosterd, L.; Buclin, T.; Guiducci, C. Label-free detection of tobramycin in serum by transmission-localized surface plasmon resonance. Anal. Chem. 2015, 87, 5278–5285. [Google Scholar] [CrossRef]
- Blidar, A.; Feier, B.; Tertis, M.; Galatus, R.; Cristea, C. Electrochemical surface plasmon resonance (EC-SPR) aptasensor for ampicillin detection. Anal. Bioanal. Chem. 2019, 411, 1053–1065. [Google Scholar] [CrossRef]
- Wang, J.; Guo, X. Adsorption isotherm models: Classification, physical meaning, application and solving method. Chemosphere 2020, 258, 127279. [Google Scholar] [CrossRef]
- Guan, J.; He, K.; Gunasekaran, S. Selection of ssDNA aptamer using GO-SELEX and development of DNA nanostructure-based electrochemical aptasensor for penicillin. Biosens. Bioelectron. X 2022, 12, 100220. [Google Scholar] [CrossRef]
- Hu, M.; Yue, F.; Dong, J.; Tao, C.; Bai, M.; Liu, M.; Zhai, S.; Chen, S.; Liu, W.; Qi, G.; et al. Screening of broad-spectrum aptamer and development of electrochemical aptasensor for simultaneous detection of penicillin antibiotics in milk. Talanta 2024, 269, 125508. [Google Scholar] [CrossRef] [PubMed]
- Lee, A.-Y.; Ha, N.-R.; Jung, I.-P.; Kim, S.-H.; Kim, A.-R.; Yoon, M.-Y. Development of a ssDNA aptamer for detection of residual benzylpenicillin. Anal. Biochem. 2017, 531, 1–7. [Google Scholar] [CrossRef] [PubMed]
- Paniel, N.; Istamboulie, G.; Triki, A.; Lozano, C.; Barthelmebs, L.; Noguer, T. Selection of DNA aptamers against penicillin G using Capture-SELEX for the development of an impedimetric sensor. Talanta 2017, 162, 232–240. [Google Scholar] [CrossRef]
- Mohammad-Razdari, A.; Ghasemi-Varnamkhasti, M.; Izadi, Z.; Ensafi, A.A.; Rostami, S.; Siadat, M. An impedimetric aptasensor for ultrasensitive detection of Penicillin G based on the use of reduced graphene oxide and gold nanoparticles. Microchim. Acta 2019, 186, 372. [Google Scholar] [CrossRef]
- He, H.; Wang, S.-Q.; Han, Z.-Y.; Tian, X.-H.; Zhang, W.-W.; Li, C.-P.; Du, M. Construction of electrochemical aptasensors with Ag(I) metal−organic frameworks toward high-efficient detection of ultra-trace penicillin. Appl. Surf. Sci. 2020, 531, 147342. [Google Scholar] [CrossRef]
- Yu, Z.; Cui, P.; Xiang, Y.; Li, B.; Han, X.; Shi, W.; Yan, H.; Zhang, G. Developing a fast electrochemical aptasensor method for the quantitative detection of penicillin G residue in milk with high sensitivity and good anti-fouling ability. Microchem. J. 2020, 157, 105077. [Google Scholar] [CrossRef]
- Vafaye, S.E.; Rahman, A.; Safaeian, S.; Adabi, M. An electrochemical aptasensor based on electrospun carbon nanofber mat and gold nanoparticles for the sensitive detection of penicillin in milk. J. Food Measur. Charact. 2021, 15, 876–882. [Google Scholar] [CrossRef]
- Yuan, R.R.; He, H.M. Construction of an electrochemical aptasensor based on a carbazole-bearing porous organic polymer for rapid and ultrasensitive detection of penicillin. Appl. Surf. Sci. 2021, 563, 150307. [Google Scholar] [CrossRef]
- Guang, Y.; Xiang, Y.; Yu, Z.; Li, B.; Han, X.; Zhang, Y.; Zhang, G. The binding pattern of the docked two-segment-aptamer to penicillin G and its impedance sensing performance. Sens. Actuators B Chem. 2023, 396, 134640. [Google Scholar] [CrossRef]
- Hu, M.; Dong, J.; Wang, H.; Huang, J.; Geng, L.; Liu, M.; Tao, C.; Liu, J.; Chen, X.; Ahmed, M.B.M.; et al. Novel ratiometric electrochemical aptasensor based on broad-spectrum aptamer recognition for simultaneous detection of penicillin antibiotics in milk. Food Chem. 2024, 456, 139946. [Google Scholar] [CrossRef] [PubMed]
- Sahoo, J.; Arya, N.; Gandhi, S. Chemically reduced graphene oxide based assembly of aptasensor for sensitive and probe-free detection of penicillin-G. Food Chem. 2025, 472, 142914. [Google Scholar] [CrossRef] [PubMed]
- Zhao, Y.; Peng, Y.; Liu, Y.; Li, R.; He, H.; Li, C.-P.; Wei, C.; Guo, F.; Wei, W. Electrochemical aptasensors based on hydrogen-bonded organic frameworks for detecting trace penicillin G. Bioelectrochemistry 2025, 166, 109041. [Google Scholar] [CrossRef] [PubMed]
- Darmawati, D.; Mustopa, A.Z.; Budiarto, B.R.; Rahmawati, S.I.; Izzati, F.N.; Harmoko, R.; Saepudin, E.; Mahsunah, A.H. Development of Gold Nanoparticle (AuNP)-based Colorimetric Aptasensor for Penicillin G Detection. J. Eng. Technol. Sci. 2022, 54, 220413. [Google Scholar] [CrossRef]
- Li, Z.; Wang, B.; Dong, Y.; Jie, G. A multi-modal biosensing platform based on Ag-ZnIn2S4@Ag-Pt nanosignal probe-sensitized UiO-66 for ultra-sensitive detection of penicillin. Food Chem. 2024, 444, 138665. [Google Scholar] [CrossRef]
- Li, H.; Xu, B.; Wang, D.; Zhou, Y.; Zhang, H.; Xia, W.; Xu, S.; Li, Y. Immunosensor for trace penicillin G detection in milk based on supported bilayer lipid membrane modified with gold nanoparticles. J. Biotechnol. 2015, 203, 97–103. [Google Scholar] [CrossRef]
- Patil, A.V.P.; Chuang, Y.S.; Li, C.; Wu, C.-C. Recent advances in electrochemical immunosensors with nanomaterial assistance for signal amplification. Biosensors 2023, 13, 125. [Google Scholar] [CrossRef]
- Tomassetti, M.; Conta, G.; Campanella, L.; Favero, G.; Sanzò, G.; Mazzei, F.; Antiochia, R. A flow SPR immunosensor based on a sandwich direct method. Biosensors 2016, 6, 22. [Google Scholar] [CrossRef]
- Jalili, R.; Khataee, A.; Rashidi, M.R.; Razmjou, A. Detection of penicillin G residues in milk based on dual-emission carbon dots and molecularly imprinted polymers. Food Chem. 2020, 314, 126172. [Google Scholar] [CrossRef]





Disclaimer/Publisher’s Note: The statements, opinions and data contained in all publications are solely those of the individual author(s) and contributor(s) and not of MDPI and/or the editor(s). MDPI and/or the editor(s) disclaim responsibility for any injury to people or property resulting from any ideas, methods, instructions or products referred to in the content. |
© 2025 by the authors. Licensee MDPI, Basel, Switzerland. This article is an open access article distributed under the terms and conditions of the Creative Commons Attribution (CC BY) license (https://creativecommons.org/licenses/by/4.0/).
Share and Cite
Spagnolo, S.; Sontakke, K.; Dubbert, L.; Urban, M.; Lednicky, T.; Csaki, A.; Wondraczek, K.; Fritzsche, W.; Hianik, T. Application of the Combined QCM-D/LSPR Aptasensor for Penicillin G Detection. Biosensors 2025, 15, 652. https://doi.org/10.3390/bios15100652
Spagnolo S, Sontakke K, Dubbert L, Urban M, Lednicky T, Csaki A, Wondraczek K, Fritzsche W, Hianik T. Application of the Combined QCM-D/LSPR Aptasensor for Penicillin G Detection. Biosensors. 2025; 15(10):652. https://doi.org/10.3390/bios15100652
Chicago/Turabian StyleSpagnolo, Sandro, Kiran Sontakke, Lukas Dubbert, Matthias Urban, Tomas Lednicky, Andrea Csaki, Katrin Wondraczek, Wolfgang Fritzsche, and Tibor Hianik. 2025. "Application of the Combined QCM-D/LSPR Aptasensor for Penicillin G Detection" Biosensors 15, no. 10: 652. https://doi.org/10.3390/bios15100652
APA StyleSpagnolo, S., Sontakke, K., Dubbert, L., Urban, M., Lednicky, T., Csaki, A., Wondraczek, K., Fritzsche, W., & Hianik, T. (2025). Application of the Combined QCM-D/LSPR Aptasensor for Penicillin G Detection. Biosensors, 15(10), 652. https://doi.org/10.3390/bios15100652

