Sign in to use this feature.

Years

Between: -

Subjects

remove_circle_outline
remove_circle_outline
remove_circle_outline
remove_circle_outline
remove_circle_outline
remove_circle_outline
remove_circle_outline
remove_circle_outline

Journals

Article Types

Countries / Regions

Search Results (242)

Search Parameters:
Keywords = jet motion

Order results
Result details
Results per page
Select all
Export citation of selected articles as:
22 pages, 10798 KB  
Article
Analysis of Flow Field Structure Characteristics of Dual Impinging Jets at Different Velocities
by Yifan Zhao, Yuxiang Liang, Xunnian Wang, Pengfei Yan, Jiaxi Zhao and Rongping Zhang
Aerospace 2026, 13(1), 31; https://doi.org/10.3390/aerospace13010031 - 28 Dec 2025
Viewed by 84
Abstract
The flow structure and unsteady evolution characteristics of dual impinging jets represent a flow problem of significant engineering importance in the aerospace field. Currently, there is a lack of systematic research on the unsteady characteristics and the underlying mechanisms of flow structure evolution [...] Read more.
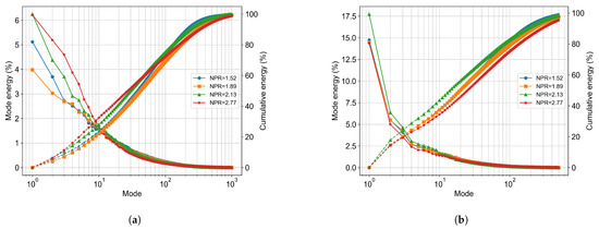
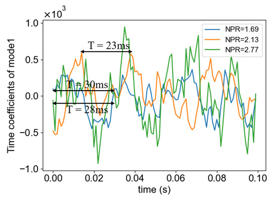
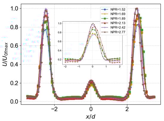
The flow structure and unsteady evolution characteristics of dual impinging jets represent a flow problem of significant engineering importance in the aerospace field. Currently, there is a lack of systematic research on the unsteady characteristics and the underlying mechanisms of flow structure evolution in dual impinging jets across different velocity regimes. This study investigates a dual impinging jet configuration with a nozzle pressure ratio ranging from 1.52 to 2.77, an impingement spacing of 5d (where d is the nozzle exit diameter), and an inter-nozzle spacing of 10.42d. By employing Particle Image Velocimetry and Proper Orthogonal Decomposition, the evolution of the flow field structure from subsonic to supersonic conditions is systematically analyzed. The results demonstrate that the fountain motion is composed of an anti-symmetric oscillatory mode, a symmetric breathing mode, and an intermittent transport mode. The upper confinement plate obstructs the fountain motion to some extent, inducing unsteady oscillation modes. An increase in jet velocity enhances the upwash momentum of the fountain and raises the characteristic frequencies of its dynamic structures. This research elucidates the influence of jet velocity variation on the flow field structure, providing a theoretical basis for formulating flow control strategies in related engineering applications. Full article
(This article belongs to the Special Issue Aerodynamics and Aeroacoustics of Unsteady Flow)
Show Figures

Figure 1

28 pages, 10398 KB  
Article
CFD Simulation and Experimental Investigation of Water Distribution Patterns in Transitional Attack
by Hui Xu, Jianan Men, Tianze Zhang, Zhen Liu, Qiang Liang and Xiaopo Wang
Fire 2026, 9(1), 14; https://doi.org/10.3390/fire9010014 - 25 Dec 2025
Viewed by 157
Abstract
Transitional attack represents a pivotal tactic in modern firefighting, whose efficacy is profoundly contingent upon the impact characteristics of water streams and their subsequent distribution patterns. This study integrates computational fluid dynamics (CFD) simulations with experimental validation to develop a momentum decomposition model [...] Read more.
Transitional attack represents a pivotal tactic in modern firefighting, whose efficacy is profoundly contingent upon the impact characteristics of water streams and their subsequent distribution patterns. This study integrates computational fluid dynamics (CFD) simulations with experimental validation to develop a momentum decomposition model for jet impingement on a ceiling. The model analyzes the dominant mechanisms of tangential spread and normal rebound on water distribution and optimizes water application strategies. Theoretical analysis reveals that upon ceiling impact, the normal velocity component of the stream undergoes rapid attenuation, causing the flow to be predominantly governed by tangential diffusion. This phenomenon results in an asymmetrically elliptical ground distribution, characterized by a significant concentration of water volume at the terminus of the diffusion path, while wall boundaries induce further water accumulation. A comparative analysis of the stream impact process and water distribution demonstrates a high degree of concordance between experimental and simulation results, thereby substantiating the reliability of the proposed model. Numerical simulations demonstrate that an increased jet angle markedly improves both coverage area and flux density. Higher water pressure enhances jet kinetic energy, leading to improved distribution uniformity. Appropriately extending the horizontal projection distance of the water jet further contributes to broadening the effective coverage. The parametric combination of a 49° jet angle, water pressure of 0.2–0.25 MPa, and a relative horizontal distance of 1.5–2.0 m is identified as optimal for overall performance. This research provides a scientific foundation and practical operational guidelines for enhancing the efficiency and safety of the transitional attack methodology. Full article
Show Figures

Figure 1

23 pages, 4022 KB  
Review
On the Counter-Rotating Tori and Counter-Rotating Parts of the Kerr Black Hole Shadows
by Daniela Pugliese and Zdenek Stuchlík
Universe 2025, 11(12), 417; https://doi.org/10.3390/universe11120417 - 17 Dec 2025
Viewed by 281
Abstract
We review some aspects of accretion disks physics, spacetime photon shell and photon orbits, related to retrograde (counter-rotating) motion in Kerr black hole (BH) spacetimes. In this brief review, we examine the counter-rotating components of the Kerr BH shadow boundary, under [...] Read more.
We review some aspects of accretion disks physics, spacetime photon shell and photon orbits, related to retrograde (counter-rotating) motion in Kerr black hole (BH) spacetimes. In this brief review, we examine the counter-rotating components of the Kerr BH shadow boundary, under the influence of counter-rotating accretion tori, accreting flows and proto-jets (open critical funnels of matter, associated with the tori) orbiting around the central BH. We also analyze the redshifted emission arising from counter-rotating structures. Regions of the shadows and photon shell are constrained in their dependence of the BH spin and observational angle. The effects of the counter-rotating structures on these are proven to be typical of the fast-spinning BHs, and accordingly can be observed only in the restricted classes of the Kerr BH spacetimes. This review is intended as a concise guide to the main properties of counter-rotating fluxes and counter-rotating disks in relation to the photon shell and the BH shadow boundary. Our findings may serve as the basis for different theoretical frameworks describing counter-rotating accretion flows with observable imprints manifesting at the BH shadow boundary. The results can eventually enable the distinction of counter-rotating fluxes through their observable imprints, contributing to constraints on both the BH spin and the structure of counter-rotating accretion disks. In particular, photon trajectories and their impact parameters can manifest in the morphology of the BH shadow. Such features, when accessible through high-resolution imaging and spectral or polarization measurements, could provide a direct avenue for testing different theoretical models on accretion disk dynamics and their BH attractors. Full article
(This article belongs to the Collection Open Questions in Black Hole Physics)
Show Figures

Figure 1

31 pages, 4381 KB  
Article
Real-Time Forecasting of a Fire-Extinguishing Agent Jet Trajectory from a Robotic Fire Monitor Under Disturbances
by Irina Pozharkova and Sergey Chentsov
Robotics 2025, 14(12), 188; https://doi.org/10.3390/robotics14120188 - 14 Dec 2025
Viewed by 265
Abstract
This article presents a methodology for real-time forecasting of a fire-extinguishing agent jet trajectory from a robotic fire monitor under wind influence, which can significantly displace the impact area position and complicate targeting. The proposed methodology is designed for controlling firefighting robots in [...] Read more.
This article presents a methodology for real-time forecasting of a fire-extinguishing agent jet trajectory from a robotic fire monitor under wind influence, which can significantly displace the impact area position and complicate targeting. The proposed methodology is designed for controlling firefighting robots in conditions where visual monitoring of the impact area is impeded by factors such as: obscuration of the fire-extinguishing agent flow by smoke, low visibility of its fragmented particles against the background environment, and long-range jet discharge. Trajectory forecasting is implemented using a neural network model. The training and verification of this model are performed with datasets constructed from the results of numerical simulations of fire-extinguishing agent motion under wind influence, based on Computational Fluid Dynamics (CFD) methods. Experimentally obtained data are used for the validation of the trained neural network model and the selected CFD models. The paper describes the methodology for conducting full-scale tests of fire monitors; a photogrammetric algorithm for generating validation datasets from the test results; an algorithm for calculating target characteristics, which describe the jet trajectory and are consistent with experimental data, used for forming training and verification datasets based on simulation; and a procedure for selecting Computational Fluid Dynamics models and their parameters to ensure the required accuracy. The article also presents the results of an experimental evaluation of the developed methodology’s effectiveness for real-time prediction of the water jet trajectory from a fire monitor under various control and disturbance parameters. Full article
(This article belongs to the Special Issue Applications of Neural Networks in Robot Control)
Show Figures

Figure 1

35 pages, 10852 KB  
Article
Unsteady Flow and Loading Characteristics of Rotating Spheres During Underwater Ejection
by Hao Xu, Mingyang Wang, Zhou Zhou, Tiezhi Sun and Guiyong Zhang
J. Mar. Sci. Eng. 2025, 13(12), 2331; https://doi.org/10.3390/jmse13122331 - 8 Dec 2025
Viewed by 375
Abstract
This study systematically investigates the evolution of the flow field and cavitation behavior during the underwater launch of a rotating sphere. By comparing surface pressure distribution, cavitation evolution, flow separation locations, and re-entrant jet formation under various rotational conditions, this study reveals the [...] Read more.
This study systematically investigates the evolution of the flow field and cavitation behavior during the underwater launch of a rotating sphere. By comparing surface pressure distribution, cavitation evolution, flow separation locations, and re-entrant jet formation under various rotational conditions, this study reveals the significant influence of rotation on both the cavitation processes and sphere’s motion trajectory. It is found that under rotational conditions, cavity detachment tends to occur earlier on the front side, and the re-entrant jet develops more fully, reaching maximum length and intensity at a moderate angular velocity. In additionally, rotation alters the cavity interface and overall flow structure, resulting in noticeable differences in surface wetting, pressure distribution, and separation behavior between the front and rear sides. As the rotational speed increases, flow separation points become less distinct, and pressure fluctuations on the rear side intensify, indicating that rotation plays a critical role in modulating underwater cavitation dynamics. The findings provide theoretical insights into flow control and cavitation risk assessment for underwater launches of rotating bodies. Full article
(This article belongs to the Section Ocean Engineering)
Show Figures

Figure 1

18 pages, 26392 KB  
Article
Flow-Aware Trajectory Planning for Controlled-Altitude Balloons
by Austin Sponaugle and Guilherme A. S. Pereira
Appl. Sci. 2025, 15(23), 12366; https://doi.org/10.3390/app152312366 - 21 Nov 2025
Viewed by 623
Abstract
Autonomous high-altitude balloons are promising tools for studying dynamic environments. Their ability to navigate strong wind currents with minimal actuation makes them efficient options for scientific research. In fact, the flow in which these vehicles operate can both facilitate and restrict their ability [...] Read more.
Autonomous high-altitude balloons are promising tools for studying dynamic environments. Their ability to navigate strong wind currents with minimal actuation makes them efficient options for scientific research. In fact, the flow in which these vehicles operate can both facilitate and restrict their ability to traverse the environment. Thus, to deploy the balloons effectively, motion planning becomes essential, requiring the consideration of both the environmental flows and the vehicle’s ability to maneuver through them. This paper proposes a probabilistic-based kinodynamic motion planner for an underactuated variable-altitude balloon navigating in flow-dominant environments. The proposed algorithm samples feasible control inputs rather than configurations to produce thrust commands that are within the physical actuation limits of the underactuated vehicle. In this paper, we consider both two-dimensional and three-dimensional vehicles with actuation in the vertical direction only. To test our method, simulations are shown for typical environments such as the double-gyre and the jet flows, and also for a more realistic environment based on Venus’ atmospheric wind flow. Full article
(This article belongs to the Special Issue Advances in Robot Path Planning, 3rd Edition)
Show Figures

Figure 1

24 pages, 10770 KB  
Article
High-Speed Schlieren Analysis of Projectile Kinematics and Muzzle Jet Dynamics in a CO2-Driven Airsoft Gun
by Emilia-Georgiana Prisăcariu, Sergiu Strătilă, Raluca Andreea Roșu, Oana Dumitrescu and Valeriu Drăgan
Fluids 2025, 10(11), 298; https://doi.org/10.3390/fluids10110298 - 17 Nov 2025
Viewed by 584
Abstract
Understanding the transient flow phenomena accompanying projectile discharge is essential for improving the safety, efficiency, and predictability of small-scale ballistic systems. Despite extensive numerical studies on muzzle flows and shock formation, experimental visualization and quantitative data on the coupling between pressure waves, jet [...] Read more.
Understanding the transient flow phenomena accompanying projectile discharge is essential for improving the safety, efficiency, and predictability of small-scale ballistic systems. Despite extensive numerical studies on muzzle flows and shock formation, experimental visualization and quantitative data on the coupling between pressure waves, jet structures, and projectile motion remain limited. This work addresses this gap by employing high-speed schlieren imaging and schlieren image velocimetry (SIV) to investigate the near-field aerodynamics of an airsoft-type projectile propelled by a CO2 jet. Three optical configurations were analyzed—a Toepler single-mirror system, a Z-type without knife edge, and a Z-type with knife edge—to assess their sensitivity and suitability for resolving acoustic and turbulent features. The measured velocity of concentric pressure waves (≈355 m/s) agrees with the theoretical local speed of sound, validating the optical calibration. Projectile tracking yielded a mean speed of 71 ± 1.6 m/s, with drag and kinetic energy analyses confirming significant near-muzzle deceleration due to jet–projectile interaction. The SIV analysis provided additional insight into the convection velocity of coherent jet structures (≈75 m/s), tangent velocity fluctuations (±0.8 m/s), and vorticity distribution along the jet boundary. The results demonstrate that even compact schlieren setups, when coupled with quantitative image analysis, can capture the essential dynamics of unsteady compressible flows, providing a foundation for future diagnostic development and modeling of projectile–jet interactions. Full article
Show Figures

Figure 1

27 pages, 21880 KB  
Article
General Relativistic Effect on Sitnikov Three-Body Problem: Restricted Case
by Hideyoshi Arakida
Astronomy 2025, 4(4), 21; https://doi.org/10.3390/astronomy4040021 - 3 Nov 2025
Viewed by 598
Abstract
We investigate the effect of general relativity on the Sitnikov problem. The Sitnikov problem is one of the simplest three-body problems, in which the two primary bodies (a binary system) have equal mass m and orbit their barycenter, while the third body is [...] Read more.
We investigate the effect of general relativity on the Sitnikov problem. The Sitnikov problem is one of the simplest three-body problems, in which the two primary bodies (a binary system) have equal mass m and orbit their barycenter, while the third body is treated as a test particle under Newtonian gravity. The trajectory of the test particle is perpendicular to the orbital plane of the binary (along z-axis) and passes through the barycenter of the two primaries. To study the general relativistic contributions, we first derive the equations of motion for both the binary and the test particle based on the first post-Newtonian Einstein–Infeld–Hoffmann equation, and integrate these equations numerically. We examine the behavior of the test particle (third body) as a function of the orbital eccentricity of the central binary e, the dimensionless gravitational radius λ, which characterizes the strength of general relativistic effect, and the initial position of the test particle z¯0. Our numerical calculations reveal the following; as general relativistic effects λ increase and the eccentricity e of the binary orbit grows, the distance r¯ between the test particle and the primary star undergoes complicated oscillations over time. Consequently, the gravitational force acting on the test particle also varies in a complex manner. This leads to a resonance state between the position z¯ of the test particle and the distance r¯, causing the energy E of the test particle to become E0. This triggers the effective ejection of the test particle due to the gravitational slingshot effect. In this paper, we shall refer to this ejection mechanism of test particle as the “Sitnikov mechanism.” As a concrete phenomenon that becomes noticeable, the increase in general relativistic effects and the eccentricity of the binary orbit leads to the following: (a) ejection of test particles from the system in a shorter time, and (b) increasing escape velocity of the test particle from the system. As an astrophysical application, we point out that the high-velocity ejection of test particles induced by the Sitnikov mechanism could contribute to elucidating the formation processes of astrophysical jets and hyper-velocity stars. Full article
Show Figures

Figure 1

16 pages, 2200 KB  
Article
Coupling Dynamics and Regulation Mechanisms of Natural Wind, Traffic Wind, and Mechanical Wind in Extra-Long Tunnels
by Yongli Yin, Xiang Lei, Changbin Guo, Kai Kang, Hongbi Li, Jian Wang, Wei Xiang, Bo Guang and Jiaxing Lu
Processes 2025, 13(11), 3512; https://doi.org/10.3390/pr13113512 - 1 Nov 2025
Viewed by 334
Abstract
This study systematically investigates the velocity characteristics and coupling mechanisms of tunnel flow fields under the interactions of natural wind, traffic wind, mechanical ventilation, and structural factors (such as transverse passages and relative positions between vehicles and fans). Using CFD simulations combined with [...] Read more.
This study systematically investigates the velocity characteristics and coupling mechanisms of tunnel flow fields under the interactions of natural wind, traffic wind, mechanical ventilation, and structural factors (such as transverse passages and relative positions between vehicles and fans). Using CFD simulations combined with turbulence model analyses, the flow behaviors under different coupling scenarios are explored. The results show that: (1) Under natural wind conditions, transverse passages act as key pressure boundaries, reshaping the longitudinal wind speed distribution into a segmented structure of “disturbance zones (near passages) and stable zones (mid-regions)”, with disturbances near passages showing “amplitude enhancement and range contraction” as natural wind speed increases. (2) The coupling of natural wind and traffic wind (induced by moving vehicles) generates complex turbulent structures; vehicle motion forms typical flow patterns including stagnation zones, high-speed bypass flows, and wake vortices, while natural wind modulates the wake structure through momentum exchange, affecting pollutant dispersion. (3) When natural wind, traffic wind, and mechanical ventilation are coupled, the flow field is dominated by momentum superposition and competition; adjusting fan output can regulate coupling ranges and turbulence intensity, balancing energy efficiency and safety. (4) The relative positions of vehicles and fans significantly affect flow stability: forward positioning leads to synergistic momentum superposition with high stability, while reverse positioning induces strong turbulence, compressing jet effectiveness and increasing energy dissipation. This study reveals the intrinsic laws of tunnel flow field evolution under multi-factor coupling, providing theoretical support for optimizing tunnel ventilation system design and dynamic operation strategies. Full article
(This article belongs to the Section Energy Systems)
Show Figures

Figure 1

29 pages, 10085 KB  
Article
Low-Current High-Voltage Pulsed Atmospheric Arc Plasma Jet: Nanoparticle Emission from the Cathodic Spot
by Dariusz Korzec, Florian Freund, Isabelle Doelfs, Florian Zacherl, Lucas Kudala and Hans-Peter Rabl
Plasma 2025, 8(4), 44; https://doi.org/10.3390/plasma8040044 - 28 Oct 2025
Viewed by 1072
Abstract
The atmospheric pressure plasma jet (APPJ) is a popular type of cold atmospheric plasma (CAP). APPJs based on a pulsed atmospheric arc (PAA) are widely spread in industrial processing. A plasma jet of this type, PlasmaBrush PB3 (PB3), is a subject of diverse [...] Read more.
The atmospheric pressure plasma jet (APPJ) is a popular type of cold atmospheric plasma (CAP). APPJs based on a pulsed atmospheric arc (PAA) are widely spread in industrial processing. A plasma jet of this type, PlasmaBrush PB3 (PB3), is a subject of diverse research activities. The characteristic feature of PB3 is the generation of a low-current (300 mA), high-voltage (1500 V) pulsed (54 kHz) atmospheric arc. A gas flow vortex is used to stabilize the arc and to sustain the circular motion of the cathodic arc foot. During long periods of operation, nozzles acting as arc discharge cathodes erode. Part of the eroded material is emitted as nanoparticles (NPs). These NPs are not wanted in many processing applications. Knowledge of the number, type, and size distribution of emitted NPs is essential to minimize their emissions. In this study, NPs in the size range of 6 to 220 nm, emitted from four different nozzles operated with PB3, are investigated. The differences between the nozzles are in the eroded surface material (copper, tungsten, and nickel), the diameter of the nozzle orifice, the length of the discharge channel, and the position of the cathodic arc foot. Significant differences in the particle size distribution (PSD) and particle mass distribution (PMD) of emitted NPs are observed depending on the type and condition of the nozzle and their operating time. Monomodal and bimodal PMD models are used to approximate emissions from the nozzles with tungsten and copper cores, respectively. The skew-normal distribution function is deemed suitable. The results of this study can be used to control NP emissions, both to avoid them and to utilize them intentionally. Full article
(This article belongs to the Special Issue Feature Papers in Plasma Sciences 2025)
Show Figures

Graphical abstract

31 pages, 8824 KB  
Article
A CFD-Based Surrogate for Pump–Jet AUV Maneuvering
by Younhee Kwon, Dong-Hwan Kim, Jeonghwa Seo and Hyun Chung
J. Mar. Sci. Eng. 2025, 13(10), 2014; https://doi.org/10.3390/jmse13102014 - 21 Oct 2025
Viewed by 511
Abstract
Prediction of the maneuvering performance of autonomous underwater vehicles equipped with pump–jet propulsion remains computationally intensive when relying solely on high-fidelity computational fluid dynamics. To overcome this limitation, a surrogate maneuvering model is developed to achieve comparable accuracy with drastically reduced computational cost. [...] Read more.
Prediction of the maneuvering performance of autonomous underwater vehicles equipped with pump–jet propulsion remains computationally intensive when relying solely on high-fidelity computational fluid dynamics. To overcome this limitation, a surrogate maneuvering model is developed to achieve comparable accuracy with drastically reduced computational cost. The model is constructed from numerical results obtained using unsteady Reynolds-averaged Navier–Stokes equations with the k–ω shear stress transport turbulence model, and formulated through a Taylor-expansion-based framework. The propulsion and rudder modules are refined to enhance physical representation and efficiency: a conventional open-water-based formulation is adopted to embed the pump–jet propulsive model, incorporating axial flow velocities near the duct inlet for improved thrust prediction; meanwhile, the rudder force model minimizes the number of captive simulations by employing a kinematic approach that compensates for limited datasets. The surrogate model is applied to free-running simulations and validated against high-fidelity computational results. The findings confirm that the proposed framework reproduces the dominant trends of kinematic responses, forces, and moments with high consistency, providing a practical and time-efficient alternative for maneuvering prediction of underwater vehicles equipped with pump–jet propulsion systems. Full article
(This article belongs to the Section Ocean Engineering)
Show Figures

Figure 1

21 pages, 4328 KB  
Article
Design and Optimization of Lightweight Electromagnetic Valves for High-Altitude Latex Balloons
by Xiaoran Li, Donghui Zhang, Qiguang Yang, Zihao Wang and Chen Chen
Machines 2025, 13(10), 934; https://doi.org/10.3390/machines13100934 - 10 Oct 2025
Viewed by 2893
Abstract
To address the altitude control requirements of high-altitude latex balloons, this paper proposes a novel lightweight electromagnetically actuated valve design. The valve employs a permanent magnet–electromagnet–spring composite structure to achieve rapid opening/closing motions through electromagnetic force control, enabling precise regulation of balloon gas [...] Read more.
To address the altitude control requirements of high-altitude latex balloons, this paper proposes a novel lightweight electromagnetically actuated valve design. The valve employs a permanent magnet–electromagnet–spring composite structure to achieve rapid opening/closing motions through electromagnetic force control, enabling precise regulation of balloon gas venting. 3D electromagnetic field simulations were conducted to validate the magnetic flux density distribution, while computational fluid dynamics (CFD) simulations based on the Reynolds-averaged Navier–Stokes equations were employed to evaluate the valve’s aerodynamic characteristics. The CFD results confirmed stable venting performance, with near-linear flow–pressure relationships and localized jet structures that support reliable operation under stratospheric conditions. A multidisciplinary optimization framework was further applied to achieve a lightweight structural design of critical components. Experimental results demonstrate that the optimized valve achieves a total mass of 984.69 g with an actuation force of 15.263 N, maintaining stable performance across a temperature range of −60 °C to 25 °C. This study provides an innovative and systematically validated solution for micro-valve design in lighter-than-air vehicles. Full article
Show Figures

Figure 1

22 pages, 10525 KB  
Article
Numerical Study of Transverse Jet in Supersonic Flowfield Using Reynolds Stress Model Based Detached Eddy Simulation
by Zhi-Kan Liu, Yi-Lun Liu, Gang Wang and Tian-Yu Lin
Fluids 2025, 10(9), 229; https://doi.org/10.3390/fluids10090229 - 29 Aug 2025
Viewed by 1288
Abstract
This study investigated the aerodynamic structures generated by transverse jet injection in supersonic flows around high-speed vehicles. The unsteady evolution of these structures was analyzed using an improved delayed detached Eddy simulation (IDDES) approach based on the Reynolds stress model (RSM). The simulations [...] Read more.
This study investigated the aerodynamic structures generated by transverse jet injection in supersonic flows around high-speed vehicles. The unsteady evolution of these structures was analyzed using an improved delayed detached Eddy simulation (IDDES) approach based on the Reynolds stress model (RSM). The simulations successfully reproduced experimentally observed shock systems and vortical structures. The time-averaged flow characteristics were compared with the experimental results, and good agreement was observed. The flow characteristics were analyzed, with particular emphasis on the formation of counter-rotating vortex pairs in the downstream region, as well as complex near-field phenomena, such as flow separation and shock wave/boundary layer interactions. Time-resolved spectral analysis at multiple monitoring locations revealed the presence of a global oscillation within the flow dynamics. Within these regions, pressure fluctuations in the recirculation zone lead to periodic oscillations of the upstream bow shock. This dynamic interaction modulates the instability of the windward shear layer and generates large-scale vortex structures. As these shed vortices convect downstream, they interact with the barrel shock, triggering significant oscillatory motion. To further characterize this behavior, dynamic mode decomposition (DMD) was applied to the pressure fluctuations. The analysis confirmed the presence of a coherent global oscillation mode, which was found to simultaneously govern the periodic motions of both the upstream bow shock and the barrel shock. Full article
(This article belongs to the Section Mathematical and Computational Fluid Mechanics)
Show Figures

Figure 1

26 pages, 10835 KB  
Article
Detonation Dynamics and Damage Behavior of Segmented Tunnel Charges with Shaped Liners
by Zhuo Li, Xiaojun Zhang, Zhenye Zhu, Yongbo Wu, Hongbing Yu, Wenxue Gao and Ben Lv
Buildings 2025, 15(16), 2815; https://doi.org/10.3390/buildings15162815 - 8 Aug 2025
Cited by 2 | Viewed by 666
Abstract
To precisely control the tunnel smooth blasting effect, this study conducts both model experiments and numerical simulations to investigate the impact of shaped charge jet initiation on emulsion explosives and surrounding rock damage fractal characteristics under different ratios of the main-to-secondary charge lengths [...] Read more.
To precisely control the tunnel smooth blasting effect, this study conducts both model experiments and numerical simulations to investigate the impact of shaped charge jet initiation on emulsion explosives and surrounding rock damage fractal characteristics under different ratios of the main-to-secondary charge lengths (L1/L2). The study also includes field validation. The results indicate the following: (1) The Arbitrary Lagrangian–Eulerian (ALE) method can accurately reproduce the formation, motion, impact, initiation, and dynamic damage evolution of a shaped charge jet inside a blast hole, with a deviation of less than 6.4% compared to high-speed photography observations. (2) Under the working conditions in this study, when an axial aluminum energetic liner and two-stage air-segmented charge in the peripheral holes are used, the fractal dimension (Df) initially increases from 1.57 to 1.66 and then decreases to 1.41 as the L1/L2 ratio increases. (3) Field test results demonstrate that, when using a two-segment explosive charge with a 20 cm gap between segments and an L1/L2 ratio of 2, the average over- or under-excavation is controlled within 7 cm, with the maximum deviation not exceeding 12 cm. The corresponding average fragment size (d50) is minimized, resulting in an excellent smooth blasting effect and effectively controlling the fragmentation of the smooth blasting layer. The conclusions of this study provide valuable insights for the development of advanced shaped charge blasting techniques. Full article
(This article belongs to the Special Issue Dynamic Response of Civil Engineering Structures under Seismic Loads)
Show Figures

Figure 1

15 pages, 5142 KB  
Article
Cavitation-Jet-Induced Erosion Controlled by Injection Angle and Jet Morphology
by Jinichi Koue and Akihisa Abe
J. Mar. Sci. Eng. 2025, 13(8), 1415; https://doi.org/10.3390/jmse13081415 - 25 Jul 2025
Viewed by 796
Abstract
To improve environmental sustainability and operational safety in maritime industries, the development of efficient methods for removing biofouling from submerged surfaces is critical. This study investigates the erosion mechanisms of cavitation jets as a non-contact, high-efficiency method for detaching marine organisms, including bacteria [...] Read more.
To improve environmental sustainability and operational safety in maritime industries, the development of efficient methods for removing biofouling from submerged surfaces is critical. This study investigates the erosion mechanisms of cavitation jets as a non-contact, high-efficiency method for detaching marine organisms, including bacteria and larvae, from ship hulls and underwater infrastructure. Through erosion experiments on coated specimens, variations in jet morphology, and flow visualization using the Schlieren method, we examined how factors such as jet incident angle and nozzle configuration influence removal performance. The results reveal that erosion occurs not only at the direct jet impact zone but also in regions where cavitation bubbles exhibit intense motion, driven by pressure fluctuations and shock waves. Notably, single-hole jets with longer potential cores produced more concentrated erosion, while multi-jet interference enhanced bubble activity. These findings underscore the importance of understanding bubble distribution dynamics in the flow field and provide insight into optimizing cavitation jet configurations to expand the effective cleaning area while minimizing material damage. This study contributes to advancing biofouling removal technologies that promote safer and more sustainable maritime operations. Full article
Show Figures

Figure 1

Back to TopTop