Numerical Study of Transverse Jet in Supersonic Flowfield Using Reynolds Stress Model Based Detached Eddy Simulation
Abstract
1. Introduction
2. Baseline Solver and Turbulence Modeling
2.1. Baseline Solver
2.2. Turbulence Modeling
2.2.1. Reynolds Stress Model (RSM)
2.2.2. Improved Delayed Detached Eddy Simulation (IDDES)
3. Simulation Details
3.1. Geometry and Computational Mesh
3.2. Flow Conditions and Numerical Setup
3.2.1. Crossflow and Jet Flow
3.2.2. Numerical Setup
3.3. Numerical Validation Studies
3.3.1. Grid Independence
3.3.2. Time Step Verification
3.3.3. Statistical Convergence Analysis
3.3.4. Experimental Verification
4. Numerical Results and Discussion
4.1. Time-Averaged Flowfields
4.2. Unsteady-Flow Features and Temporal Spectra
4.3. Mechanism of Oscillatory Motion
5. Results and Discussion
- The RSM-IDDES method accurately predicts time-averaged surface pressure while resolving pressure gradients across primary and secondary separation zones. The approach successfully captures the three-dimensional evolution of transient vortical structures, including counter-rotating vortex pairs and horseshoe vortices.Through systematic analysis of time-averaged flow, this study characterizes the multi-scale evolution of transverse jets, revealing three key phenomena: (1) near-field flow separation governed by the interacting barrel and bow shock systems; (2) boundary layer separation induced by the λ-shaped bow shock structure, creating localized surface high-pressure regions; and (3) three-dimensional development of counter-rotating vortex pair generated through shear layer roll-up in the jet wake.
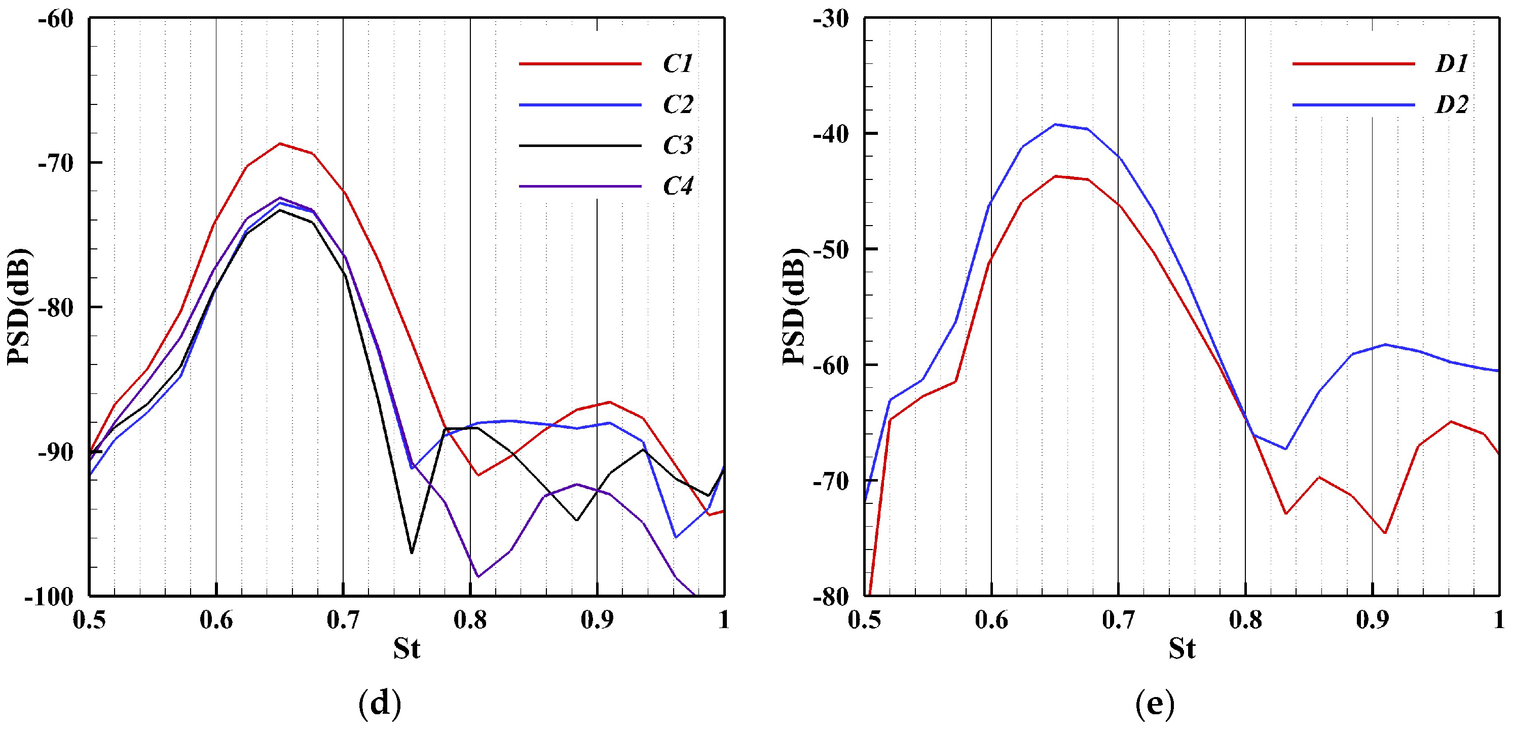
- Through transient flow characteristics analysis, this study reveals that supersonic transverse jets develop complex unsteady shock systems, whose interactions with recirculation zones and jet shear layers induce periodic large-scale flow oscillations. Dynamic mode decomposition (DMD) and spectral analysis further identify a dominant global oscillation frequency (St = 0.67), demonstrating that periodic pulsations in the recirculation zone trigger synchronized oscillations of both upstream bow shocks and barrel shocks.
6. Future Work
Author Contributions
Funding
Institutional Review Board Statement
Informed Consent Statement
Data Availability Statement
Acknowledgments
Conflicts of Interest
Abbreviations
| CFD | Computational Fluid Dynamics |
| DDES | Delayed Detached Eddy Simulation |
| DES | Detached Eddy Simulation |
| LU-SGS | Lower–Upper Symmetric Gauss–Seidel |
| IDDES | Improved Delayed Detached Eddy Simulation |
| DNS | Direct Numerical Simulation |
| LES | Large Eddy Simulation |
| RSM | Reynolds Stress Model |
| DMD | Dynamic Mode Decomposition |
| RANS | Reynolds-Averaged Navier–Stokes |
| St | Strouhal Number |
| CVP | Counter-Rotating Vortex Pair |
References
- Lai, J.; Zhao, Z.; Wang, X.; Li, H.; Li, Q. Numerical investigation of pitch motion induced unsteady effects on transverse jet interaction. Aerosp. Sci. Technol. 2020, 105, 106005. [Google Scholar] [CrossRef]
- Zhang, L.; Yang, J.; Duan, T.; Wang, J.; Li, X.; Zhang, K. Numerical and experimental investigation on nosebleed air jet control for hypersonic vehicle. Aerospace 2023, 10, 552. [Google Scholar] [CrossRef]
- Qiao, C.L.; Xu, H.Y.; Li, J.; Hu, H.-D. Parametric study on the sonic transverse jet in supersonic crossflow and analysis of the jet-crossflow interaction instability. Aerosp. Sci. Technol. 2022, 123, 107472. [Google Scholar] [CrossRef]
- Meng, Y.-S.; Wang, Z.-W.; Shen, Y.; Huang, W.; Niu, Y.-B.; Yan, L. Drag and heat reduction mechanism induced by jet interaction over a reusable launch vehicle in hypersonic flows. Acta Astronaut. 2022, 198, 502–520. [Google Scholar] [CrossRef]
- Gnemmi, P.; Schäfer, H. Experimental and numerical investigations of a transverse jet interaction on a missile body. In Proceedings of the 43rd AIAA Aerospace Sciences Meeting and Exhibit, Reno, NV, USA, 10–13 January 2005; Volume 52, pp. 1–15. [Google Scholar]
- Gülhan, A.; Schütte, G.; Stahl, B. Experimental study on aerothermal heating caused by jet-hypersonic crossflow interaction. J. Spacecr. Rockets. 2008, 45, 891–899. [Google Scholar] [CrossRef]
- Mani, M.; Dorgan, A.J. A perspective on the state of aerospace computational fluid dynamics technology. Annu. Rev. Fluid Mech. 2023, 55, 431–457. [Google Scholar] [CrossRef]
- Xiao, Y.; Zhang, H.; Chen, Z.; Zhang, H.; Zheng, C. Numerical investigation on the transverse jet into a supersonic crossflow with different pressure ratios. Eng. Appl. Comput. Fluid Mech. 2024, 18, 2354760. [Google Scholar] [CrossRef]
- Zhang, H.; Xiao, Y.; He, K.; Lyu, K.; Chen, Z.; Zheng, C. The 3D flow characteristics of a sonic transverse jet in laminar supersonic crossflow. Aerosp. Sci. Technol. 2025, 167, 110661. [Google Scholar] [CrossRef]
- Huh, J.; Lee, S. Numerical study on lateral jet interaction in supersonic crossflows. Aerosp. Sci. Technol. 2018, 80, 315–328. [Google Scholar] [CrossRef]
- Xu, C.Y.; Zhang, T.; Yu, Y.Y.; Sun, J.-H. Effect of von Karman length scale in scale adaptive simulation approach on the prediction of supersonic turbulent flow. Aerosp. Sci. Technol. 2019, 86, 630–639. [Google Scholar] [CrossRef]
- Liu, Y.; Zhou, Z.; Zhu, L.; Wang, S. Numerical investigation of flows around an axisymmetric body of revolution by using Reynolds-stress model based hybrid Reynolds-averaged Navier–Stokes/large eddy simulation. Phys. Fluids 2021, 33, 085115. [Google Scholar] [CrossRef]
- Bouchard, M.; Marty, J.; Deck, S.; Costes, M. Numerical investigation of self-sustained oscillations of stall cells around a leading edge-separating airfoil. Phys. Fluids 2022, 34, 115153. [Google Scholar] [CrossRef]
- Li, Q.; Sun, X.; Wang, G. Detached-eddy simulation of the vortex system on the high-lift common research model. Phys. Fluids 2024, 36, 025173. [Google Scholar] [CrossRef]
- Dong, Q.L.; Xu, H.Y.; Ye, Z.Y. Numerical investigation of unsteady flow past rudimentary landing gear using DDES, LES and URANS. Eng. Appl. Comput. Fluid Mech. 2018, 12, 689–710. [Google Scholar] [CrossRef]
- Wang, G.; Li, Q.; Sun, X. Resolution assessment of Reynolds stress model-based DES methods for high-lift device flow over 30P30N configuration. Aerosp. Sci. Technol. 2024, 145, 108863. [Google Scholar] [CrossRef]
- Spalart, P.R. Detached-eddy simulation. Annu. Rev. Fluid Mech. 2009, 41, 181–202. [Google Scholar] [CrossRef]
- Li, Q.; Chen, X.; Wang, G.; Liu, Y. A dynamic version of the improved delayed detached-eddy simulation based on the differential Reynolds-stress model. Phys. Fluids 2022, 34, 115112. [Google Scholar] [CrossRef]
- Wang, G.; Li, Q.; Liu, Y. IDDES method based on differential Reynolds-stress model and its application in bluff body turbulent flows. Aerosp. Sci. Technol. 2021, 119, 107207. [Google Scholar] [CrossRef]
- Gao, Y.; Zhang, C.; Huang, J.; Tong, Y.; Lin, Z. Characteristics of transverse liquid jets at different preheated temperatures in supersonic crossflow. Appl. Therm. Eng. 2025, 279, 127631. [Google Scholar] [CrossRef]
- Yang, Y.; Wang, H.; Sun, M.; Wang, Z.; Wang, Y. Numerical investigation of transverse jet in supersonic crossflow using a high-order nonlinear filter scheme. Acta Astronaut. 2019, 154, 74–81. [Google Scholar] [CrossRef]
- Smith, B.R.; Yagle, P. Computational Simulation of Jet in Crossflow with RANS and Hybrid RANS/LES Methods. In Proceedings of the AIAA Scitech 2023 Forum, National Harbor, MD, USA, 23–27 January 2023; Volume 1230, pp. 1–18. [Google Scholar]
- Schmid, P.J. Dynamic mode decomposition and its variants. Annu. Rev. Fluid Mech. 2022, 54, 225–254. [Google Scholar] [CrossRef]
- Rowley, C.W.; Mezić, I.; Bagheri, S.; Schlatter, P.; Henningson, D.S. Spectral analysis of nonlinear flows. J. Fluid Mech. 2009, 641, 115–127. [Google Scholar] [CrossRef]
- Iyer, P.S.; Mahesh, K. A numerical study of shear layer characteristics of low-speed transverse jet. J. Fluid Mech. 2016, 790, 275–307. [Google Scholar] [CrossRef]
- Kou, J.; Zhang, W. Dynamic mode decomposition with exogenous input for data-driven modeling of unsteady flows. Phys. Fluids. 2019, 31, 057106. [Google Scholar] [CrossRef]
- Pokharel, P.; Acharya, S. Dynamics of circular and rectangular jet in crossflow. Comput. Fluids 2021, 230, 105111. [Google Scholar] [CrossRef]
- Ma, B.; Wang, G.; Ren, J.; Ye, Z.; Lei, Z.; Zha, G. Near-field sonic-boom prediction and analysis with hybrid grid navier–stokes solver. J. Aircr. 2018, 55, 1890–1904. [Google Scholar] [CrossRef]
- Zhou, H.; Wang, G.; Mian, H.H.; Qin, M. Fluid-structure coupled analysis of tandem 2D elastic panels. Aerosp. Sci. Technol. 2021, 111, 106521. [Google Scholar] [CrossRef]
- Wang, G.; Chen, X.; Xing, Y.; Zeng, Z. Multi-body separation simulation with an improved general mesh deformation method. Aerosp. Sci. Technol. 2017, 71, 763–771. [Google Scholar] [CrossRef]
- Cécora, R.-D.; Radespiel, R.; Eisfeld, B.; Probst, A. Differential Reynolds-stress modeling for aeronautics. AIAA J. 2015, 53, 739–755. [Google Scholar] [CrossRef]
- Choi, H.; Moin, P. Grid-point requirements for large eddy simulation: Chapman’s estimates revisited. Phys. Fluids 2012, 24, 011702. [Google Scholar] [CrossRef]
- Muppidi, S.; Mahesh, K. Direct numerical simulation of passive scalar transport in transverse jet. J. Fluid Mech. 2008, 598, 335–360. [Google Scholar] [CrossRef]
- Hunt, J.C.R.; Wray, A.A.; Moin, P. Eddies, streams, and convergence zones in turbulent flows. In Studying Turbulence Using Numerical Simulation Databases, 2, Proceedings of the 1988 Summer Program, Seoul, Republic of Korea, 17 September–2 October 1988; Ames Research Center: Moffett Field, CA, USA, 1988. [Google Scholar]
- Kawai, S.; Lele, S. Mechanisms of jet mixing in a supersonic crossflow: A study using large-eddy simulation. In Proceedings of the 44th AIAA/ASME/SAE/ASEE Joint Propulsion Conference & Exhibit, Hartford, CT, USA, 21–23 July 2008; Volume 4575, pp. 1–16. [Google Scholar]






















Disclaimer/Publisher’s Note: The statements, opinions and data contained in all publications are solely those of the individual author(s) and contributor(s) and not of MDPI and/or the editor(s). MDPI and/or the editor(s) disclaim responsibility for any injury to people or property resulting from any ideas, methods, instructions or products referred to in the content. |
© 2025 by the authors. Licensee MDPI, Basel, Switzerland. This article is an open access article distributed under the terms and conditions of the Creative Commons Attribution (CC BY) license (https://creativecommons.org/licenses/by/4.0/).
Share and Cite
Liu, Z.-K.; Liu, Y.-L.; Wang, G.; Lin, T.-Y. Numerical Study of Transverse Jet in Supersonic Flowfield Using Reynolds Stress Model Based Detached Eddy Simulation. Fluids 2025, 10, 229. https://doi.org/10.3390/fluids10090229
Liu Z-K, Liu Y-L, Wang G, Lin T-Y. Numerical Study of Transverse Jet in Supersonic Flowfield Using Reynolds Stress Model Based Detached Eddy Simulation. Fluids. 2025; 10(9):229. https://doi.org/10.3390/fluids10090229
Chicago/Turabian StyleLiu, Zhi-Kan, Yi-Lun Liu, Gang Wang, and Tian-Yu Lin. 2025. "Numerical Study of Transverse Jet in Supersonic Flowfield Using Reynolds Stress Model Based Detached Eddy Simulation" Fluids 10, no. 9: 229. https://doi.org/10.3390/fluids10090229
APA StyleLiu, Z.-K., Liu, Y.-L., Wang, G., & Lin, T.-Y. (2025). Numerical Study of Transverse Jet in Supersonic Flowfield Using Reynolds Stress Model Based Detached Eddy Simulation. Fluids, 10(9), 229. https://doi.org/10.3390/fluids10090229

