Abstract
The flow structure and unsteady evolution characteristics of dual impinging jets represent a flow problem of significant engineering importance in the aerospace field. Currently, there is a lack of systematic research on the unsteady characteristics and the underlying mechanisms of flow structure evolution in dual impinging jets across different velocity regimes. This study investigates a dual impinging jet configuration with a nozzle pressure ratio ranging from 1.52 to 2.77, an impingement spacing of 5d (where d is the nozzle exit diameter), and an inter-nozzle spacing of 10.42d. By employing Particle Image Velocimetry and Proper Orthogonal Decomposition, the evolution of the flow field structure from subsonic to supersonic conditions is systematically analyzed. The results demonstrate that the fountain motion is composed of an anti-symmetric oscillatory mode, a symmetric breathing mode, and an intermittent transport mode. The upper confinement plate obstructs the fountain motion to some extent, inducing unsteady oscillation modes. An increase in jet velocity enhances the upwash momentum of the fountain and raises the characteristic frequencies of its dynamic structures. This research elucidates the influence of jet velocity variation on the flow field structure, providing a theoretical basis for formulating flow control strategies in related engineering applications.
1. Introduction
Dual (and multiple) impinging jets are a common phenomenon in aerospace engineering, with applications in scenarios such as the takeoff and landing of Vertical/Short Take-Off and Landing (V/STOL) aircraft [1,2], the launch of multi-nozzle rockets [3], and the near-surface flight of trans-media vehicles [4]. Compared to a single impinging jet flow field, dual (and multiple) impinging jets can potentially offer superior mechanical performance and controllability, providing the vehicle with greater lift and balancing moments. On the other hand, the mutual coupling between the jets renders the flow field considerably more complex [5]. Consequently, a better understanding of fundamental flow physics involved in dual impinging jets is needed.
The flow structure investigated in the present study is illustrated schematically in Figure 1. Two jets issue from a pair of nozzles and develop within a confined space formed by parallel plates. Owing to jet–wall and jet–jet interactions, complex flow structures are formed; such a flow topology is often characterized in the literature by four main regions [5]: the issuing jets (A), the wall jets (B), the fountain (C), and the entrained vortex flow (D). Previous studies have shown that, in a free jet, the potential-core region immediately downstream of the nozzle remains close to the exit conditions; in particular, the centerline velocity typically retains approximately 99% of its exit value within the core [6]. When such high-kinetic-energy jets impinge on a wall, wall jets may form along the surface. Meanwhile, shear between the jet and the surrounding fluid can give rise to Kelvin–Helmholtz instabilities [7], which subsequently develop into coherent vortex structures [8]. The study by Kotansky [9] reported that the interaction and collision of opposing wall jets can generate a stagnation region near the symmetry plane and, under certain conditions, drive the fluid upward to form an unsteady fountain flow. Depending on the jet spacing, degree of confinement, and operating parameters, this fountain may impinge on the upper confinement plate and produce additional lift. However, the shear between the upward fountain flow and the surrounding fluid, together with the effects of the jet shear layers, may also induce entrained vortex structures. These vortical motions have been shown to generate a local low-pressure region beneath the upper plate, which may ultimately lead to a reduction in lift [10].
Figure 1.
Schematic of the dual impinging jet flow field structure: (A) jet, (B) wall jet, (C) fountain flow, and (D) entrainment vortex.
A central challenge in dual impinging jet flows is the precise prediction of net aerodynamic lift, due to the coupling of fountain-induced positive lift and entrained vortex-induced negative lift [11]. Moreover, the highly unsteady nature of the fountain flow dictates transient aerodynamic loads and is intrinsically linked to noise generation. These coupled issues critically impact vehicle performance and pose substantial challenges for stability control.
The flow structure and its mechanical performance are governed by a multitude of parameters, which can be classified into two categories according to their origin: the initial conditions and boundary conditions of the jets. Initial conditions pertain to the setup of the flow field and jet parameters, including nozzle arrangement (number) [12,13], jet velocity [14,15,16], mass flow rate [17,18], and impingement angle [19,20,21]. In contrast, boundary conditions refer to constraints arising from the jet-induced flow field itself, such as normalized nozzle spacing (s/d) [22,23], nozzle-to-impingement distance ratio (H/d) [24,25,26,27,28], and wall friction factor [11]. While existing research has largely concentrated on fully developed supersonic jets, practical engineering applications frequently involve cross-regime transitions from subsonic to supersonic flow. A systematic understanding of the evolutionary mechanisms and dynamic characteristics of these unsteady flow structures during such transitions remains inadequate.
Regarding dynamic characteristics, studies indicate turbulence intensity in the fountain region may reach 50% [29,30]. The fountain motion is dominated by lateral oscillations with superimposed small-amplitude vertical fluctuations, showing high sensitivity to flow parameter variations and a tendency to induce flow instability under certain conditions [31]. In analyzing such unsteady structures, data-driven methods—particularly Proper Orthogonal Decomposition (POD) [32] and Dynamic Mode Decomposition (DMD) [33]—have shown distinct advantages. For example, Lee et al. [23] successfully extracted the evolution and mixing processes of small-scale vortices between the dual jets; Wei et al. [34] identified a dipole acoustic source through wall pressure analysis; and Stahl et al. [35], applying Conditional Spatio-temporal POD(CPOD), revealed two distinct fountain trajectories (oblique and vertical) corresponding to global out-of-phase and in-phase impingement modes, respectively. Nevertheless, current characterization of fountain motion patterns remains limited to isolated flow states. There is still a lack of systematic investigation into the dynamic evolution of flow structures across the broad velocity range from subsonic to supersonic conditions. This knowledge gap hinders a comprehensive understanding of the fountain’s complex motion patterns during dynamic processes and their actual effects on aircraft forces.
In this study, Particle Image Velocimetry (PIV) is employed to conduct systematic experimental measurements and velocity-field reconstruction of dual impinging jets spanning subsonic, transonic, and supersonic regimes. Based on the acquired complete velocity-field data, the flow characteristics are examined from both time-averaged and transient perspectives. Furthermore, POD is applied to perform spatial modal decomposition of both the global flow field and the fountain region. Combined with spectral analysis, the characteristic frequencies associated with key flow structures are identified. This research systematically elucidates the dynamic evolution of the flow-field structure under different jet velocities, with particular emphasis on the evolution of fountain motion patterns and their connection to flow instability across the subsonic-to-supersonic transition. The results of this study provide a fundamental basis for the analysis of dynamic flow fields in engineering configurations involving dual impinging jets.
2. Experimental Setup of Dual Impinging Jets
2.1. Experimental Apparatus and Platform
The experiments were conducted in the anechoic chamber of the State Key Laboratory of Aerodynamics at the China Aerodynamics Research and Development Center. The anechoic chamber has dimensions of 12.4 m in length, 10 m in width, and 8.6 m in height, and is equipped with a medium-pressure air supply system with a maximum pressure of 1 MPa and a total volume of 20,000 m3.
Figure 2a illustrates the experimental setup of the dual jets impinging system. The main setup of the experiment consists of two gas sources, two storage tanks, two constriction nozzles, an upper plate, and an impact plate. The medium-pressure gas is released from the gas source, passes through a rectifier to reduce turbulence, and then passes through the nozzle after a small stabilizing section to form a stabilized jet with a controlled flow flux. In the experiment, the gas source’s Nozzle Pressure Ratio(NPR) was varied by an electronic valve. When the NPR is not enough to make the gas form a supersonic gas flow, the gas is accelerated through the constriction nozzle and reaches the maximum velocity at the exit; when the NPR is gradually increased, the jet will form an under-expanded free jet after the jet is shot out, and it will be free to expand and accelerate in the air to form a supersonic jet [36] finally.
Figure 2.
(a) Experimental setup, (b) Circular upper plate, (c) Contraction nozzle.
The contraction nozzle is shown in Figure 2c. The outlet stabilizing section has an inner diameter of 25 mm and a length of 20 mm, and the spacing between the two nozzles is s = 240 mm. An aluminum alloy plate of size 1000 mm × 1000 mm × 20 mm was used in the experiment as the jet impingement plate, which was fixed perpendicular to the jet well at a certain distance from the nozzle. An additional circular plate was added at the nozzle plane Figure 2b, which was formed by intersecting two circles of 24 times the diameter of the nozzle.
2.2. Jet Velocity and Nozzle Pressure Ratio
In the experiment, the jet velocity is adjusted by varying the nozzle pressure ratio (NPR) of the two nozzles, which is accomplished by controlling the electric ball valves located upstream of the two air sources. It is assumed that the jet velocity is uniformly distributed at the nozzle exit. Therefore, the relationship between the NPR and the Mach number() can be expressed using one-dimensional steady isentropic flow relations as
where , and the Mach number refers to the jet exit Mach number. In the experimental setup, a rectifier plate and a settling section are installed upstream of the nozzle to suppress inlet flow disturbances. Accordingly, the NPR in the above relation refers specifically to the ratio of the static pressure measured downstream of the rectifier plate to the ambient atmospheric pressure. Due to the presence of the rectifier and the settling section, the inlet turbulence intensity is expected to be below 1%, which is typical for laboratory jet facilities.
2.3. Particle Image Velocimetry Experimental Setup
The measurement plane of the experiment is a two-dimensional plane connected by the axes of the two jet main streams. The areas of interest are the flow field of the jet mainstream and the fountain flow field between the two jets. The high-speed camera is horizontally mounted on the front side of the two jets, and the focal plane of the camera coincides with the measurement plane. The laser is mounted below the jet flow field, and the sheet light source emits a surface laser upward from directly below the flow field, which coincides with the measurement plane and illuminates the area of interest. As shown in Figure 2a, with this system, it is possible to measure the velocity field in the region of interest between the dual jets and to obtain transient and time-averaged flow structures.
DEHS (Diethylhexyl Sebacate) was used as a tracer seeder in the experiment. It consists of oil-mist particles with diameters typically in the range of m to m. These particles can be clearly captured by the high-speed camera in subsonic and transonic flow fields. The tracer seeder is added into the flow field at the inlet of the medium-pressure gas source and is uniformly distributed in the jet flow field after passing through the rectifier. The complete PIV experimental setup includes a laser (Vlite-Hi-527-30k), a high-speed camera (Photron SA-Z with Nikon 85 mm 1:1.4 lens), and a synchronization system. Synchronization and control of high-speed cameras and high-frequency lasers are achieved by means of synchronizers.
The sampling frequency of the high-speed camera is 2 kHz, and the time interval between two frames is varied with the jet velocity. For the in the range of 0.8–0.9, s; for , s, and each set of experiments is acquired for 1 s after the flow field is stabilized, for a total of 2000 sets of images. The resolution of the acquired images is 1024 px × 1024 px. The actual physical area corresponding to the image is 300 × 300 mm2, and the corresponding magnification is 2.91 mm/pixel.
3. Data Process
3.1. Proper Orthogonal Decomposition
The Proper Orthogonal Decomposition (POD) is a data-driven method. Its principle involves projecting high-dimensional data onto several orthogonal basis functions, ensuring that the projected data remains similar to the original data. In this way, the high-dimensional data is decomposed into a linear combination of several mode data sets, thereby achieving the dimensionality reduction of the high-dimensional data.
This method was first proposed by Lumley [37], Sirovich [38] proposed the snapshot POD, and Schmid [33] explored the feasibility of applying the POD to the flow field analysis, and successfully utilized the POD to decompose the cylindrical wraparound mode structure of the flow. In this paper, we will derive the implementation process of the POD based on Meyer’s research [39].
Experimentally, n snapshots were obtained, which can be represented as . Represent this matrix as a two-dimensional matrix:
N represents the total number of time steps, and M represents the total number of spatial nodes. Using matrix U, the covariance matrix C can be generated:
The corresponding eigenvalues and eigenvectors of this equation can be obtained as
where the solutions are ranked according to the size of the energy share of the eigenvalues
Using the eigenvalue solution in Equation (4) the basic POD modes can be constructed
The snapshot data obtained from the experiment can be expressed as a linear sum of a finite number of separated variables
where is the time coefficient of each POD modes , which can be expressed as
is expressed as
3.2. Power Spectral Density
The mode information obtained from the POD mentioned in the previous section is orthogonal in space but not in time, and its time coefficients typically contain multiple frequency information. By performing power spectral density (PSD) analysis on the POD modes, and combining it with discrete fourier transform (DFT), the characteristic frequency information of each mode can be decomposed. This can enhance the interpretability of the POD modes in terms of their temporal evolution. For the Equation (8), the time coefficients obtained in the DFT are
PSD is the square of the DFT mode of the time coefficient , which is normalized to be expressed as
where can be expressed as
is the sampling frequency of the flow field data.
To characterize the dominant unsteady behavior of the flow, a superimposed PSD is constructed by combining the spectral contributions of multiple POD modes. Specifically, the PSD is first computed for the temporal coefficients of individual POD modes, and the superimposed PSD is then obtained by summing the PSDs of a selected set of POD modes,
where denotes the set of POD modes included in the superposition. This approach highlights frequency components that are consistently present across the dominant flow structures. In this study, the PSD is estimated using Welch’s averaged periodogram method, which provides a robust representation of the spectral content for finite-length and noisy signals.
4. Results and Discussions
4.1. Flow Field Structure of Dual Impinging Jets
4.1.1. Time-Averaged Structure of Dual Impinging Jets
The dimensionless parameters of the dual impinging jets investigated in this study were set at s/d = 10.42 and H/d = 5, with the NPR varying from 1.52 to 2.77.
As shown in Figure 3, the time-averaged flow field structure at NPR = 1.52 is presented. The time-averaged flow field is obtained by averaging 2000 consecutive time steps after the flow field reaches a stable state. This averaging interval covers multiple complete cycles of the dominant flow variations. The black lines depict the streamlines, based on which the flow field can be divided into three distinct regions: the jet mainstream, the fountain upwash, and the entrained vortex flows sandwiched between them. The entrained vortices on both sides rotate in the same direction as the adjacent jet and fountain flows. The white arrows represent the velocity profiles at identical heights. The jet development undergoes minimal change in state; along its axis, the jet core and the shear layer are identifiable. The width of the jet core remains essentially constant until impingement, while the outer shear layer gradually thickens along the development direction. In contrast, the fountain flow displays a divergent development. During its upwash, its velocity profile approximates a Gaussian distribution, decaying rapidly as it develops and eventually spanning the entire region between the two jets.
Figure 3.
Streamline and velocity vector distributions of dual impinging jets.
As shown in Figure 4, the velocity distributions along the jet axis and the fountain axis are presented. Here, is defined as the maximum axial velocity in the flow field for a given NPR condition. is defined as the maximum value of among all NPR conditions considered in the present study, and is defined as the maximum axial velocity in the fountain flow among all NPR conditions. At NPR = 1.69, the velocity profile along the jet axis generally conforms to typical jet decay characteristics. After reaching y = 4d, the jet velocity decays rapidly to zero due to the influence of the impingement wall. In the fountain region, the fluid velocity at the confluence point (or line) of the two wall jets is zero. During the fountain upwash, the flow undergoes an acceleration, reaching a maximum velocity approximately one-quarter of that in the jet core, after which the axial velocity decreases gradually and approaches zero at the upper plate. At NPR = 2.77, the jet continues to accelerate after exiting the nozzle, forming a supersonic jet. Its axial velocity profile presents a typical wave structure, characterized by alternating expansion and compression waves. The behavior of the fountain flow is similar to the subsonic case, but the maximum attainable acceleration is only about one-fifth of the jet core velocity, and the momentum decay is more pronounced.
Figure 4.
Velocity decay along the central axes of the jet and the fountain.
It was observed that at y = 4d, the jet largely maintains its core velocity profile, whereas the fountain flow accelerates to its maximum velocity. Consequently, the velocity profiles at y = 4d for different NPR values are extracted for comparison (Figure 5). At NPR = 2.77, is 357.1 m/s, and the corresponding is 81.6 m/s. For NPR = 1.52, the maximum jet velocity reaches 0.83, while the maximum fountain velocity is only 0.75. This indicates that the velocity increment in the fountain upwash surpasses that in the main jet stream as NPR increases. This phenomenon is attributed to the transition of the jet to a supersonic regime, where the emergence of shock structures dissipates a portion of the momentum. In contrast, the fountain flow, remaining entirely subsonic, experiences no such additional dissipation, resulting in a greater relative velocity gain. The regions flanking the fountain are dominated by the entrained vortex flows. For NPR < 2.13, the velocity in these regions increases gradually with NPR. However, a sudden drop occurs at NPR = 2.13, after which the velocity increases again with further rise in NPR. We hypothesize that at NPR = 2.13, where the jet is in a transonic regime, the alteration in jet structure influences the distribution of the entrained vortices.
Figure 5.
Velocity profiles at the cross-stream location y = 4d under different NPRs.
4.1.2. Unsteady Characteristics of Dual Impinging Jets
As shown in Figure 6, the flow-field structures at eight consecutive time instants (with a time interval of ) are presented. It can be observed that, on this time scale, the macroscopic structure of the primary jet remains highly stable, whereas the unsteady motion mainly originates from small-scale vortical structures developing within the jet shear layers. These structures are triggered by the strong velocity gradients between the high-speed jet core and the surrounding fluid, which are well known to induce Kelvin–Helmholtz instability in free and impinging jet flows [7]. Compared with the primary jet, the fountain shows more pronounced lateral oscillation, and therefore constitutes the most prominent dynamic feature of the present flow field.
Figure 6.
Time series of the velocity vector field illustrating the transient evolution of the dual impinging jet ( ms).
The motion of the fountain presents a distinct periodicity. Figure 6a depicts the fountain near its equilibrium position. As time progresses to the state shown in Figure 6b, the entire fountain deflects towards the right jet. This deflection compresses the distribution region of the entrained vortex flow: the influence area on the left side expands and makes direct contact with the upper confinement wall, while the right-side entrained vortex is compressed into a small region near the impingement wall. Given that the entrained vortices can account for approximately 35% of the lift loss, the upper wall experiences a significant negative lift force combined with a counter-clockwise moment at this specific instant. From Figure 6c to Figure 6e, the fountain swings back through the equilibrium position, deflects to the left, and returns to equilibrium, thereby completing one full oscillation cycle.
In reality, the motion of the fountain is not a simple periodic lateral oscillation. The restraining effect of the upper wall and the inherent instability of the wall jets suppress the lateral sway to some degree, thereby inducing unsteady oscillation modes. The Figure 7 illustrates four identified deflection modes:
Figure 7.
Deflection modes of the fountain centerline: the blue line indicates the stable deflection mode, while the red, purple, and green lines represent deflection under unstable conditions.
Mode 1 (Blue axis, corresponding to the transient flow structures in Figure 6c): This mode presents a quasi-periodic oscillation, analogous to a cantilever beam, with a period of approximately 40ms. Here, the fountain sways freely, experiencing minimal constraint from the upper wall.
Mode 2 (Red axis, Figure 6b): This mode resembles the deformation of a simply supported beam. After the fountain impinges on the upper wall with higher momentum, the fluid spreads radially from the impact point, causing the axis to bend and altering its oscillation period.
Mode 3 (Purple axis, Figure 6g): This mode can be considered an advanced stage of Mode 2. Its influence propagates upstream, resulting in an ’S’-shaped curvature of the axis, similar to the second vibration mode of a simply supported beam.
Mode 4 (Green axis, Figure 6h): This mode can be regarded as a specific instance of Mode 1 but with a larger oscillation amplitude.
The dominant fountain motion is a lateral oscillation with an apparent period of approximately 40 ms, corresponding to a characteristic frequency of about 25 Hz, as inferred directly from the time-resolved transient flow fields. However, this dynamic is modulated by interactions with the upper wall and perturbations from transient vortex structures, giving rise to secondary, smaller-scale oscillations.
4.1.3. Vortex Structures in Dual Impinging Jets
The figure presents the Q-criterion iso-surfaces for the dual impinging jet flow field. The Q-criterion, introduced by Hunt [40], is a vortex identification method that distinguishes vortical structures by evaluating the local balance between rotational and strain motions. The value of Q is defined by the following equation:
where is the rotation rate tensor, and is the strain rate tensor. A positive Q value indicates a region where the rotation of a fluid parcel dominates over strain, typically corresponding to the vortex core. Conversely, a negative Q value signifies a region where deformation (strain) is more significant, which is commonly observed in shear layers and boundary layers.
As shown in Figure 8a, the vortical structures within the flow field are predominantly shear-layer vortices. These vortices are primarily concentrated in the shear layers of the dual jets, and their intensity gradually diminishes with jet development. The instantaneous Q-criterion distribution clearly reveals that the shear-layer vortices in the upstream region maintain coherent shapes, indicating that significant momentum dissipation has not yet occurred. Further downstream, these primary vortices break down into smaller, secondary vortices, whose arrangement becomes increasingly disordered. In the vicinity of the impingement wall, the shear-layer vortices undergo further breakdown and eventually dissipate. In contrast, the jet core and the impingement region are dominated by rotational vortices, whose intensity is approximately 15% of that of the shear-layer vortices.
Figure 8.
Q-criterion contours of dual impinging jets at (a) NPR = 1.52, (b) NPR = 1.89, (c) NPR = 2.13, and (d) NPR = 2.77. From top to bottom: mean-Q, instantaneous Q, and instantaneous Q in the fountain region. The mean-Q field is obtained by averaging 2000 consecutive snapshots after the flow reaches a stable state.
The Q-criterion iso-surfaces, isolated for the fountain region (as shown in the third row), reveal that this inter-jet region is predominantly occupied by rotational vortices. The vortex intensity in the fountain upwash zone is notably higher than that in the entrained vortex flows. The vortex distributions delineate the developmental process of the fountain: the wall jets are primarily composed of shear-layer vortices. As the two opposing wall jets collide, they undergo intense mutual shear. This interaction facilitates a transfer of energy, converting a portion of the flow into rotational vortices, while simultaneously amplifying the intensity of the remaining shear-layer vortices. Consequently, the vicinity of the stagnation line during wall-jet collision presents a coexistence of rotational and shear-layer vortices, forming a typical turbulent coherent structure. The vortical structures remain relatively coherent in the lower fountain region. However, due to the high flow instability, these structures fragment during the upwash process, generating a multitude of secondary, small-scale vortices and leading to substantial dissipation of the momentum carried by the fountain.
A comparative analysis of the vorticity distribution across different NPRs reveals that as the NPR increases, the intensity of the shear-layer vortices in the flow field is significantly enhanced, while that of the rotational vortices continuously diminishes. When the jet transitions to supersonic speeds, the Q-criterion value for the rotational vortices even approaches zero. This divergent evolution stems from the growing dominance of flow compressibility. Post the sonic transition, the sharply increased velocity gradient markedly amplifies the Kelvin-Helmholtz instability. Concurrently, the interaction between shocks and the shear layer continuously feeds energy into the shear-layer vortices via the baroclinic vorticity generation mechanism [41], leading to a monotonic increase in their intensity. Conversely, the attenuation of the rotational vortices is attributed to two factors: firstly, the supersonic structures (shock waves and Mach disks) reconfigure the pressure field, suppressing the rotational degrees of freedom for the secondary wall vortices; secondly, the intensified primary vortices further compress the survival space for rotational vortices through a vorticity shielding effect. In the fountain region, where the upwash flow remains subsonic, the intensity change of the shear-layer vortices is not significant. However, as the momentum carried by the fountain increases, the conditions favorable for generating rotational vortices are weakened, resulting in a corresponding reduction in their intensity.
4.2. Modal Decomposition of Unsteady Flow Field
4.2.1. Mode Shapes and Dynamic Flow Description
Figure 9 presents the extracted POD modes of the dual impinging jet flow field. It displays the modes for the entire field, the modes isolated for the fountain region, and the corresponding dynamic mechanisms associated with these modes. A clear structural correspondence is observed between the global modes and the localized fountain modes.
Figure 9.
POD modes of the dual impinging jet at NPR = 1.52. (a) Modes of the entire flow field. (b) Modes of the fountain region. (c–f) Schematic fountain deflection patterns inferred from the first four fountain POD modes in (b), based on mode symmetry and nodal lines.
The modal structures within the jet region are analyzed first. Under subsonic conditions, the first POD mode manifests as a pair of conjugate structures with left-right mirror symmetry but with opposite phases. This mode originates from the intrinsic instability of the jet shear layer, and its spatial form is constituted by the developing Kelvin-Helmholtz wave packets, reflecting the periodic shedding of large-scale coherent structures. Simultaneously, this mode clearly reveals the flow characteristic of intensifying lateral perturbations as the jet develops downstream. As the mode order increases, the jet presents higher-order wave packets characterized by shortened streamwise scales and increased radial complexity. Furthermore, multiple small-scale modal structures emerge near the impingement surface. This occurs because the thickening shear layer undergoes secondary Kelvin-Helmholtz instability, splitting into smaller-scale structures that signify the progression of jet development and the onset of dissipation. The region near the impingement wall, characterized by an extremely high velocity gradient and concentrated kinetic energy, consequently excites a greater number of more complex, small-scale modal structures.
The modal structure of the fountain is the primary focus of this study. Its first POD mode appears as a large-scale anti-symmetric structure, indicating that the lateral oscillation of the fountain is the dominant dynamic mode during its upwash process. The physical essence of this mode is a transverse standing wave generated by a self-excited lateral instability in the dual-jet impingement region. Quantitatively, the oscillatory velocity field associated with this mode is confirmed to show a symmetric distribution along the fountain axis. The second POD mode manifests as a large-scale symmetric structure, corresponding to the first mode. This mode characterizes a ’breathing’ phenomenon during the fountain upwash, which can be attributed to the influence of wall-jet instability, causing a global enhancement or attenuation of the fountain velocity. This can be regarded as a low-order manifestation of the periodic modulation of the lateral oscillation by the upstream fountain dynamics.
Starting from the third mode, the coherent modal structure fractures along the fountain upwash direction, forming a pair of regions with opposing energy signs. This morphology reveals an intermittent distribution of the flow in the vertical direction, attributable to flow separation induced by the coupled effects of the unsteady momentum supply from the wall jets and the obstruction posed by the upper confinement plate. This coupling results in the formation of a series of wave-node-like structures within the fountain, analogous to standing waves in a confined cavity, which is consistent with the numerous small-scale vortices observed along the axis in the vortex structure analysis. The fourth mode, acting as the symmetric counterpart to the third, further corroborates this structural interpretation. It is noteworthy that the influence range of the third and fourth modes is significantly larger in the downstream region than upstream, indicating that the impingement of the fountain on the upper plate excites a strong circumferential divergent flow. This divergent flow couples and reinforces the interaction between the fountain and its entrained vortices, ultimately forming a prominent recirculation zone in the upper half of the fountain flow field.
Figure 10 compares the POD mode structures under three jet regimes. The most significant evolution is observed in the modes of the primary jet. Under subsonic conditions, the POD modes primarily capture the dynamics of the jet shear layer; consequently, the modal structures appear in the fully-developed shear region downstream. These modes present coherent shapes, display a left-right anti-phase distribution along the jet axis, and maintain streamwise continuity. As the jet velocity increases, the flow pattern transitions, and the modal characteristics become dominated by the structure of alternating compression and expansion waves propagating along the axis. In this regime, the POD modes are present simultaneously in both the jet core and the shear layer: the shear layer modes retain left-right symmetry and couple with the anti-symmetric modes in the main core; concurrently, multiple discrete modal structures begin to emerge along the streamwise direction.
Figure 10.
POD modes under different NPRs, (a) NPR = 1.69, (b) NPR = 2.13, (c) NPR = 2.77.
In contrast to the substantial changes in the jet region, the fundamental modal structure of the fountain remains consistent across all NPRs, owing to its relatively invariant velocity and persistently subsonic state. However, as the NPR increases, the modes characterizing the fountain dynamics shift towards higher orders in the POD energy spectrum. Consequently, within the most energy-concentrated low-order modes, the characteristic wave structures of the jet supplant the fountain’s oscillatory motion as the dominant flow structure.
4.2.2. Energy Distribution and Temporal POD Coefficients
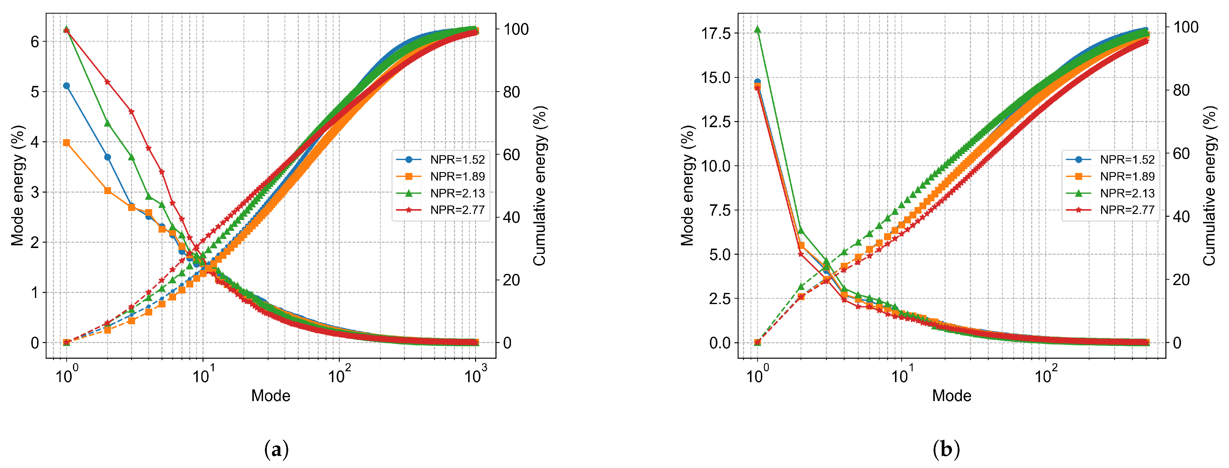
When applying the POD method for data dimensionality reduction, the modes are ranked based on their contribution to the total energy of the flow field. Figure 11a displays the energy fraction of each mode for the entire field. Overall, the cumulative energy of the first 50 modes shows an increasing trend with rising NPR. Specifically, at NPR = 1.52, the first 50 modes account for 57.0% of the total energy, while this value increases to 60.5% at NPR = 2.77. The low-order POD modes typically correspond to the coherent structures in the flow. A higher energy fraction in these modes indicates more prominent and organized large-scale dynamics. Under supersonic conditions, the first 50 modes primarily capture the characteristic structures of the jet core, with only a few modes representing the fountain dynamics. Compared to the subsonic regime, the higher NPR imparts more momentum to the flow, which suppresses vortex shedding and reduces the level of turbulent fluctuations. Concurrently, the presence of shock waves further enhances the organization of the flow field. Notably, at NPR = 1.89—a transonic condition—the cumulative energy of the first 50 modes shows an anomalously low value of 53.9%. This phenomenon can be attributed to the unique nature of the flow at this stage: the shock structures are in the process of formation, and the overall flow is in a highly unsteady transitional state, which consequently weakens the ability of the POD method to extract distinct dominant structures.
Figure 11.
Energy fraction and cumulative energy as a function of POD mode number n, (a) dual impinging jets flow field, (b) fountain.
Figure 11b presents the energy fraction of the POD modes for the fountain region. In contrast to the entire flow field, the low-order modes of the fountain are considerably more energy-dominant: its first-mode energy fraction is as high as 15%, approximately 2.5 times that of the global field. Furthermore, the cumulative energy of the first 100 modes reaches about 80%, which is roughly 20% higher than that of the entire field. This result indicates that the fountain dynamics are governed by stronger, more prominent large-scale coherent structures and show more pronounced periodicity. Consequently, only a few low-order modes are sufficient to reconstruct its core flow features with high fidelity
Figure 12 presents the temporal coefficients of the first POD mode for three different NPRs. Only the first mode is considered here because it has the highest energy content among all POD modes (as shown in the preceding energy-contribution analysis) and therefore represents the dominant coherent dynamics of the flow. Analysis indicates that at NPR = 1.69, the oscillation period is approximately 30 ms. As the NPR increases, the oscillation period shows a shortening trend, while the amplitude increases significantly. At NPR = 2.77, the maximum amplitude reaches 943.11, which is three times that observed at NPR = 1.69. Regarding the phase relationship, the temporal curves for NPR = 2.13 and NPR = 2.77 are essentially in phase, whereas the curve for NPR = 2.13 shows a phase lag of approximately one-quarter of a cycle. This phase lag is likely associated with the transonic regime at NPR = 2.13, where the jet undergoes a transition in compressibility and shear-layer/shock interactions become intermittent. Such unsteady structural changes can modulate the fountain upwash and lead to a delayed response relative to the more fully established oscillation observed at higher NPR.
Figure 12.
Mode coefficients corresponding at different NPRs.
4.2.3. Low-Order Reconstruction
According to the preceding analysis, which established that the low-order modes of the fountain effectively represent its dominant flow structures, this section employs the first 10 modes to reconstruct the fountain flow field. Figure 13 presents the magnitude-squared coherence analysis among these top 10 energy-containing modes within the 0–300 Hz frequency range. As shown, high coherence values (approximately 0.4) are observed between Mode 1 and Mode 2, as well as between Mode 3 and Mode 4, which aligns with their previously described conjugate modal structures. Modes 5 and 6 present low coherence with Mode 1 but significant coherence with Mode 2, suggesting their dynamics are related to variations in fountain intensity. Modes 7 and 8 demonstrate strong mutual coherence, indicating that they form a dynamically related modal pair at a higher order. Mode 7 exhibits a clear anti-symmetric spatial structure, while Mode 8 displays a mixed modal structure, characterized by an approximately symmetric distribution in the lower region and an asymmetric structure in the upper region. Following the same hierarchical progression, Modes 9 and 10 are identified as further successive higher-order extensions of Modes 7 and 8, respectively.
Figure 13.
Coherence magnitude for combinations of temporal mode coefficients, taken as the average coherence value over Hz.
Figure 14 illustrates the transient flow field structures reconstructed using the first 4 and the first 10 POD modes, respectively. The time-averaged flow field reconstructed from these modes shows good agreement with the original data, thereby validating the effectiveness of the reconstruction methodology. In a representative instantaneous state, the fountain axis is observed to deflect to the right, forming a distinct segmented wave-node structure due to the obstruction by the upper confinement plate. The reconstruction using the first 4 modes successfully captures the overall trend of the rightward fountain deflection and the slight kink induced by the impingement. In contrast, the reconstruction incorporating the first 10 modes further resolves two clear wave nodes, demonstrating a superior capability to capture finer flow details.
Figure 14.
Reconstruction of the fountain flow field using low-order modes. (a) Reconstructed time-averaged flow field, (b) Original flow field, (c) Flow field reconstructed using the first four modes, (d) Flow field reconstructed using the first ten modes.
Based on the above reconstruction results, it is established that the first four POD modes of the fountain effectively capture its macroscopic oscillatory behavior and the basic flow features associated with the upper plate obstruction. However, their capability to resolve finer structures, such as the wave nodes developed during the upwash process, is limited. Incorporating higher-order modes significantly enhances the resolution of flow details: the reconstruction using the first 10 modes not only fully restores the dominant motion patterns of the fountain but also effectively filters out turbulent noise, thereby achieving a high-fidelity, low-dimensional representation of the transient flow field.
4.2.4. Characteristic Modal Frequency Analysis
Prior to the PSD analysis, the spectra are computed from the POD temporal coefficients of selected modes. For different NPR conditions, the modes used in the comparison are chosen to represent the same physical structures (i.e., modes with consistent spatial patterns and symmetry properties in the fountain region), rather than simply using identical mode indices. The corresponding power spectral densities are evaluated by dividing each time series (consisting of 2000 samples) into segments of 300 data points with a 50% overlap between adjacent segments.
Figure 15a shows the superimposed PSD results for all modes. It is observed that the PSD amplitude increases with the NPR. Taking the NPR = 2.77 case as an example, three distinct peaks are identified in the low-frequency range: 10–20 Hz, 40–60 Hz, and 150–160 Hz. These spectral peaks are also present at other NPRs, albeit with less prominence. The 10–20 Hz peak corresponds to a frequency consistent with the St = 0.14 mode reported by Sato [42] in a single jet experiment. Given the large spacing and weak interaction between the dual jets in this study, along with the limited influence of the fountain and entrained vortices on the shear layer, we attribute this peak to the global oscillation of the anti-symmetric vortex pairs in the jet shear layer. The 40–60 Hz peak is secondary to the 15–25 Hz peak under subsonic conditions, comparable in amplitude during the transonic regime, and becomes the dominant peak in the supersonic regime. This indicates a close association with the symmetric mode of the primary jet, and its transition to dominance signifies a fundamental evolution in the flow structure. The amplitude of the 150–160 Hz peak diminishes as the jet velocity increases, yet it remains significant and does not present frequency shifting. This peak is likely associated with the characteristic frequency of large-scale vortex shedding in the jet.
Figure 15.
PSD results for the eigenmodes at different NPRs, (a) for the superposition of all modes, (b) for the results of theleft-right reversed mode of the fountain flow, (c) for the results of the left-right symmetric mode of the fountain flow, and (d) forthe modes in the main flow stream of the jet.
Figure 15b displays the PSD results corresponding to the mode characterizing the lateral oscillation of the fountain. The spectrum shows a single dominant peak, whose frequency and amplitude evolve systematically with NPR: the primary frequency is located at 70–80 Hz for NPR = 1.52, shifts to 60–70 Hz for NPR = 1.89, and transitions to the 100–110 Hz range for NPR > 2.13, showing an overall trend of shifting to higher frequencies with increasing NPR. Concurrently, the peak energy in the spectrum increases significantly with NPR. This phenomenon aligns with physical intuition: the increase in NPR endows the fountain with greater momentum. Upon impinging on the upper confinement plate, this generates a stronger excitation, consequently leading to a faster oscillation frequency and a larger oscillation amplitude.
Figure 15c presents the PSD results corresponding to the mode characterizing the global ‘breathing’ of the fountain. The spectrum shows three distinct peaks in the low-frequency region, located at 10–20 Hz, 40–50 Hz, and 90–110 Hz, respectively. The peak at 10–20 Hz coincides with a characteristic frequency of the jet structure, suggesting the presence of residual energy from jet-related modes that may not have been fully separated in the POD decomposition. The other two peaks (40–50 Hz and 90–110 Hz) are attributed to the dominant frequencies of the lateral oscillation and the global breathing motion of the fountain intensity, respectively.
Figure 15d shows the PSD results of the low-order jet modes. A dominant peak within the 40–60 Hz range is observed under all NPR conditions, which originates from the Kelvin-Helmholtz instability in the jet shear layer. Furthermore, an additional high-frequency peak in the 640–660 Hz range is detected under the supersonic condition (NPR = 2.77). This is hypothesized to be associated with oscillations of the shock structures or other high-order dynamic behaviors within the flow field.
5. Conclusions
This study investigated dual impinging jets across subsonic, transonic, and supersonic regimes (NPR = 1.52–2.77). By combining PIV measurements with POD analysis, we characterized both the time-averaged and transient flow fields, identifying the dominant structures and their dynamics. The main findings are summarized below:
- Based on the analysis of vortex structures, it is demonstrated that as the jet dynamically evolves from subsonic to supersonic conditions, the shear-layer vortices in the flow field are significantly enhanced due to shock wave-shear layer interactions, while the rotational vortices are suppressed. Combined with velocity distribution measurements, it is confirmed that although the fountain remains entirely subsonic, its net momentum transfer increases significantly with NPR. This leads to intensified interaction between the fountain and the upper confinement plate, directly manifested as an increase in dynamic frequency, thereby clarifying the momentum transfer and dissipation pathway from the jet to the fountain.
- The fountain dynamics are characterized by a compound motion comprising coupled lateral oscillations, vertical fluctuations, and intermittent global intensity pulsations. Through POD analysis, these physical phenomena have been successfully decoupled into corresponding low-order modes—specifically, the anti-symmetric oscillation mode, symmetric breathing mode, and intermittent upwash mode. This approach achieves both quantitative characterization and low-dimensional reconstruction of the fountain’s complex dynamics.
- As the jet configuration transitions from subsonic to supersonic regimes, the energy contribution of modes representing the wave-containing structures in the jet core increases substantially within the POD energy spectrum. These modes ultimately supplant the fountain oscillation modes at lower orders, establishing themselves as the dominant dynamic structures. This phenomenon underscores a fundamental shift in flow dynamics focus: with increasing jet velocity, research emphasis should transition from fountain oscillations to the inherently unsteady wave-dominated structures of the jet itself. Concurrently, the characteristic frequency of lateral fountain oscillations shifts toward higher values with increasing NPR (from approximately 75 Hz to 105 Hz), a trend directly attributable to enhanced jet momentum amplifying the fountain-upper plate interaction.
Author Contributions
Data curation, Y.Z., Y.L.; Formal analysis, Y.Z., R.Z.; Funding acquisition, R.Z.; Investigation, Y.Z., Y.L., P.Y.; Methodology, Y.Z., Y.L., P.Y.; Project administration, X.W., J.Z., R.Z.; Resources, R.Z.; Software, Y.Z., P.Y.; Supervision, X.W., R.Z.; Validation, Y.Z., J.Z.; Visualization, Y.Z.; Writing—original draft, Y.Z., Y.L.; Writing—review & editing, X.W., J.Z., R.Z. All authors have read and agreed to the published version of the manuscript.
Funding
This research received no external funding.
Data Availability Statement
The original contributions presented in this study are included in the article. Further inquiries can be directed to the corresponding author.
Conflicts of Interest
The funders had no role in the design of the study; in the collection, analyses, or interpretation of data; in the writing of the manuscript; or in the decision to publish the results.
References
- Huang, S.; Xu, J.; Yu, K.; Wang, Y.; Pan, R. Design and experimental study of a bypass dual throat nozzle with the ability of short/vertical takeoff and landing. Aerosp. Sci. Technol. 2022, 121, 107301. [Google Scholar] [CrossRef]
- Ducard, G.J.J.; Allenspach, M. Review of designs and flight control techniques of hybrid and convertible VTOL UAVs. Aerosp. Sci. Technol. 2021, 118, 107035. [Google Scholar] [CrossRef]
- Reng, F.; Jiang, Y.; Liu, H.; Jia, Q. Plume flow field and base heating environment of the multi-nozzle rocket in ascent phase. J. Aerosp. Power 2025, 40, 446–455. [Google Scholar] [CrossRef]
- Dekker, H.N.J.; Baars, W.J.; Scarano, F.; Tuinstra, M.; Ragni, D. Unsteady flow behaviour of multi-rotors in ground proximity. Flow 2023, 3, E30. [Google Scholar] [CrossRef]
- Kuhn, R.; Margason, R.; Curtis, P. Jet-induced effects. In Progress in Astronautics and Aeronautics: Vol. 217 The Aerodynamics of Jet and Fan Powered V/STOL Aircraft in Hover and Transition; AIAA: Reston, VA, USA, 2006; Volume 217. [Google Scholar] [CrossRef]
- Snedeker, R.S. A study of free jet impingement. Part 1. Mean properties of free and impinging jets. J. Fluid Mech. 1971, 45, 281–319. [Google Scholar] [CrossRef]
- Michalke, A. Survey on jet instability theory. Prog. Aerosp. Sci. 1984, 21, 159–199. [Google Scholar] [CrossRef]
- Ing, D.N.; Zhang, X. An experimental and computational investigation of ground effect lift loss for single jet impingement. Aeronaut. J. 1994, 98, 127–136. [Google Scholar] [CrossRef]
- Kotansky, D.R.; Saunders, P.W.; Durando, N.A.; Bristow, D. Multi jet Induced Forces and Moments on VTOL Aircraft Hovering in and Out of Ground Effect; Technical Report NADC 77-229-30; Naval Air Development Center: Warminster, PA, USA, 1977. [Google Scholar]
- Kuhn, R.E.; Bellavia, D.C.; Corsiglia, V.R.; Wardwell, D.A. On the Estimation of Jet-Induced Fountain Lift and Additional Suckdown in Hover for Two-Jet Configurations; Technical Memorandum NASA-TM-102268; National Aeronautics and Space Administration: Washington, DC, USA, 1991. [Google Scholar]
- Saripalli, K.R. Laser Doppler Velocimeter Measurements in 3-D Impinging Twin-Jet Fountain Flows. In Turbulent Shear Flows 5; Springer: Berlin/Heidelberg, Germany, 1987. [Google Scholar] [CrossRef]
- Fink, M.P. Full-Scale Wind-Tunnel Investigation of the VZ-5 Four-Propeller Deflected-Slipstream VTOL Airplane; Technical Memorandum TM 8X-805; National Aeronautics and Space Administration: Washington, DC, USA, 1963. [Google Scholar]
- Homayounfar, F.; Khorsandi, B.; Gaskin, S. Effect of turbulent coflows on the dynamics of turbulent twin jets. Phys. Fluids 2024, 36, 035146. [Google Scholar] [CrossRef]
- Henderson, L.F. Experiments on the impingement of a supersonic jet on a flat plate. J. Appl. Math. Phys. (ZAMP) 1966, 17, 553–569. [Google Scholar] [CrossRef]
- Miller, P.; Wilson, M. Wall jets created by single and twin high pressure jet impingement. Aeronaut. J. 1993, 97, 87–100. [Google Scholar] [CrossRef]
- Baydar, E.; Ozmen, Y. An experimental investigation on flow structures of confined and unconfined impinging air jets. Heat Mass Transf. 2006, 42, 338–346. [Google Scholar] [CrossRef]
- Bhargav, V.N.; Song, M.; Sellappan, P.; Alvi, F.S.; Kumar, R. Experimental Characterization of Supersonic Single- and Dual-Impinging Jets. AIAA J. 2021, 59, 2282–2298. [Google Scholar] [CrossRef]
- Bhargav, V.N.; Mehta, Y.; Kumar, R.; Alvi, F.S. Effect of relative jet momentum in supersonic dual impinging jets. Exp. Fluids 2022, 63, 163. [Google Scholar] [CrossRef]
- Hess, J.R.; Bear, R.L. Study of Aerodynamic Technology for Single-Cruise-Engine V/STOL Fighter/Attack Aircraft; NASA Contractor Report NASA-CR-166269; McDonnell Aircraft Company: St. Louis, MO, USA, 1982. [Google Scholar]
- Saddington, A.J.; Knowles, K.; Cabrita, P.M. On the characteristics of a twin-jet STOVL fountain. Aeronaut. J. 2009, 113, 139–148. [Google Scholar] [CrossRef]
- Chen, J.; Wang, M.; Wang, X. Transient flow characteristics of single and twin circular impinging jets using particle image velocimetry and proper orthogonal decomposition. Phys. Fluids 2024, 36, 125142. [Google Scholar] [CrossRef]
- Hill, W.G.; Jenkins, R.C. Effect of Nozzle Spacing on Ground Interference Forces for a Two-Jet V/STOL Aircraft. J. Aircr. 1980, 17, 684–689. [Google Scholar] [CrossRef]
- Lee, S.; Hassan, Y.A. Experimental study of flow structures near the merging point of two parallel plane jets using PIV and POD. Int. J. Heat Mass Transf. 2018, 116, 871–888. [Google Scholar] [CrossRef]
- Cox, M.; Abbott, W.A. Studies of the Flow Fields Created by Single Vertical Jets Directed Downwards Upon a Horizontal Surface; Memorandum NGTE Mem. No. M.390; National Gas Turbine Establishment: Farnborough, UK, 1964. [Google Scholar]
- Kuhn, R.E.; Stewart, V.R.; Wardwell, D.A. Estimation of Lift and Pitching Moment Induced on Jet STOVL Aircraft Hovering in Ground Effect; Technical Report WL-TR-93-3046; Wright Laboratory, Air Force Material Command: Dayton, OH, USA, 1993. [Google Scholar] [CrossRef]
- Krothapalli, A.; Rajkuperan, E.; Alvi, F.; Lourenco, L. Flow field and noise characteristics of a supersonic impinging jet. J. Fluid Mech. 1999, 392, 155–181. [Google Scholar] [CrossRef]
- Elavarasan, R.; Venkatakrishnan, L.; Krothapalli, A.; Lourenco, L. Supersonic Twin Impinging Jets. In Proceedings of the 38th Aerospace Sciences Meeting and Exhibit, Reno, NV, USA, 10–13 January 2000. AIAA Paper 2000-0812. [Google Scholar] [CrossRef]
- Mehta, Y.; Natarajan, K.; Gustavsson, J.; Kumar, R. An experimental investigation into the effect of nozzle spacing in supersonic twin jets. In Proceedings of the AIAA Scitech 2021 Forum, Virtual Event, 11–15 and 19–21 January 2021. AIAA Paper 2021-1293. [Google Scholar] [CrossRef]
- Skifstad, J.G. Aerodynamics of jets pertinent to VTOL aircraft. J. Aircr. 1970, 7, 193–204. [Google Scholar] [CrossRef]
- Liu, Y.; Wang, C.; Wei, J.; Chen, C. Effect of nozzle pressure ratio on pulsation frequency of air jets used in hole drilling. J. Pet. Sci. Eng. 2021, 196, 107399. [Google Scholar] [CrossRef]
- Hall, G.R.; Rogers, K.H. Recirculation Effects Produced by a Pair of Heated Jets Impinging on a Ground Plane; Technical Report; NASA: Washington, DC, USA, 1969. [Google Scholar]
- Berkooz, G.; Holmes, P.; Lumley, J.L. The Proper Orthogonal Decomposition in the Analysis of Turbulent Flows. Annu. Rev. Fluid Mech. 1993, 25, 539–575. [Google Scholar] [CrossRef]
- Schmid, P.J. Dynamic Mode Decomposition of Numerical and Experimental Data. J. Fluid Mech. 2010, 656, 5–28. [Google Scholar] [CrossRef]
- Wei, C.; Fan, H.; Liang, Y.; Tu, H.; Gao, Q. Joint identification of aeroacoustic noises of supersonic impinging jets using particle image velocimetry and pressure-sensitive paint. Phys. Fluids 2025, 37, 016110. [Google Scholar] [CrossRef]
- Stahl, S.L.; Gaitonde, D.V. Analysis of Fountain-Flow Coupling Between Twin Sonic Impinging Jets. In Proceedings of the AIAA Aviation 2021 Forum, Virtual Event, 2–6 August 2021. AIAA Paper 2021-2424. [Google Scholar] [CrossRef]
- Karami, S.; Stegeman, P.C.; Ooi, A.; Theofilis, V.; Soria, J. Receptivity characteristics of under-expanded supersonic impinging jets. J. Fluid Mech. 2020, 889, A27. [Google Scholar] [CrossRef]
- Lumley, J.L. The structure of inhomogeneous turbulent flows. In Atmospheric Turbulence and Radio Wave Propagation; Yaglom, A.M., Tatarsky, V.I., Eds.; Nauka: Moscow, USSR, 1967; pp. 166–178. [Google Scholar]
- Sirovich, L. Turbulence and the dynamics of coherent structures. I. Coherent structures. Q. Appl. Math. 1987, 45, 561–571. [Google Scholar] [CrossRef]
- Meyer, K.E.; Pedersen, J.M.; Özcan, O. A turbulent jet in crossflow analysed with proper orthogonal decomposition. J. Fluid Mech. 2007, 583, 199–225. [Google Scholar] [CrossRef]
- Hunt, J.C.R.; Wray, A.A.; Moin, P. Eddies, Stream, and Convergence Zones in Turbulent Flows; Technical Report CTR-S88; Center for Turbulent Research: Stanford, CA, USA, 1988. [Google Scholar]
- Charney, J.G.; Phillips, N.A. Numerical integration of the quasi-geostrophic equations for barotropic and simple baroclinic flows. J. Atmos. Sci. 1953, 10, 71–99. [Google Scholar] [CrossRef]
- Sato, H. The stability and transition of a two-dimensional jet. J. Fluid Mech. 1960, 7, 53–80. [Google Scholar] [CrossRef]
Disclaimer/Publisher’s Note: The statements, opinions and data contained in all publications are solely those of the individual author(s) and contributor(s) and not of MDPI and/or the editor(s). MDPI and/or the editor(s) disclaim responsibility for any injury to people or property resulting from any ideas, methods, instructions or products referred to in the content. |
© 2025 by the authors. Licensee MDPI, Basel, Switzerland. This article is an open access article distributed under the terms and conditions of the Creative Commons Attribution (CC BY) license.














