Next Article in Journal
Effect of Fine Content on Liquefaction Resistance of Saturated Marine Sandy Soils Subjected to Cyclic Loading
Previous Article in Journal
High-Resolution Time-Frequency Feature Enhancement of Bowhead Whale Calls Based on Local Maximum Synchronous Extraction of Generalized S-Transforms
 
 
Font Type:
Arial Georgia Verdana
Font Size:
Aa Aa Aa
Line Spacing:
Column Width:
Background:
Article

Unsteady Flow and Loading Characteristics of Rotating Spheres During Underwater Ejection

State Key Laboratory of Structural Analysis for Industrial Equipment, School of Naval Architecture, Dalian University of Technology, Dalian 116024, China
*
Author to whom correspondence should be addressed.
J. Mar. Sci. Eng. 2025, 13(12), 2331; https://doi.org/10.3390/jmse13122331
Submission received: 6 November 2025 / Revised: 23 November 2025 / Accepted: 28 November 2025 / Published: 8 December 2025
(This article belongs to the Section Ocean Engineering)

Abstract

This study systematically investigates the evolution of the flow field and cavitation behavior during the underwater launch of a rotating sphere. By comparing surface pressure distribution, cavitation evolution, flow separation locations, and re-entrant jet formation under various rotational conditions, this study reveals the significant influence of rotation on both the cavitation processes and sphere’s motion trajectory. It is found that under rotational conditions, cavity detachment tends to occur earlier on the front side, and the re-entrant jet develops more fully, reaching maximum length and intensity at a moderate angular velocity. In additionally, rotation alters the cavity interface and overall flow structure, resulting in noticeable differences in surface wetting, pressure distribution, and separation behavior between the front and rear sides. As the rotational speed increases, flow separation points become less distinct, and pressure fluctuations on the rear side intensify, indicating that rotation plays a critical role in modulating underwater cavitation dynamics. The findings provide theoretical insights into flow control and cavitation risk assessment for underwater launches of rotating bodies.

1. Introduction

With the increasing deployment of long-endurance autonomous underwater platforms, there is a growing demand for reliable, controllable, and efficient underwater release systems to support tasks such as deep-sea observation equipment deployment, mooring buoy release, and payload jettison from underwater vehicles. Among various actuation methods, high-pressure gas driven ejection offers a compact, energy-dense, and precisely controllable solution for underwater operations under extreme hydrostatic conditions. Understanding the complex hydrodynamic and cavitation phenomena involved in such processes is crucial for ensuring the stability, safety, and performance of release mechanisms. In this context, the investigation of underwater spherical ejection driven by high-pressure gas provides fundamental insights into unsteady flow dynamics and cavitation evolution.
The high-speed motion of underwater objects can lead to a local drop in fluid pressure. When the pressure falls below the vapor pressure of water, the liquid water transforms into vapor—a phenomenon known as cavitation (Shi et al., 2023) [1]. Cavitation typically involves three stages: inception, development, and collapse (Wang et al., 2025) [2]. This process is characterized by strong nonlinearity and instability and is often accompanied by complex issues such as multiphase flow, turbulence, and mass transfer. Cavitation tends to occur in high-velocity regions such as hydrofoils (Ji et al., 2015) [3], marine propellers (Bensow and Bark, 2010) [4], and underwater high-speed vehicles (Zhao et al., 2022) [5]. The occurrence of cavitation is primarily governed by a dimensionless number known as the cavitation number, defined as σ = ( P P v ) / 0.5 ρ U 2 , in which P is the reference pressure of the surrounding fluid, P v is the vapor pressure of the fluid at the corresponding temperature, ρ is the fluid density, and U is the characteristic velocity of the flow. During the underwater high-speed motion of an object, the motion state directly influences the development of cavitation and the evolution of the surrounding flow field (Shi et al., 2023) [6]. Compared with conventional underwater motion, the flow during the ejection from an launch tube is more complex and exhibits stronger nonlinear characteristics (Lin et al., 2023) [7]. Therefore, studying the ejection of a rotating sphere under such conditions can complement existing research and provide critical insights.
Currently, many researchers have focused on the flow field, cavity dynamics, and motion characteristics during the high-speed underwater ejection of objects. Research in this area is mainly divided into two aspects: one focuses on analyzing the mechanisms of cavity evolution, shedding, and collapse during the process; the other concentrates on the vortex structures and vortex shedding at the rear of the body.
Xu et al. (2019) [8] and Lu et al. (2022) [9] conducted numerical and experimental studies, respectively, on two successively ejected projectiles, analyzing the influence of the wake vortex from the leading projectile on the following one. Gao et al. (2022) [10] performed numerical simulations of projectile ejection under different Froude numbers and transverse flow velocities, revealing how launch speed and crossflow affect the wake vortex. Wang et al. (2024) [11] conducted experiments on vertical motion under ventilated conditions, analyzing the coupling between the wake cavity and jet and uncovering the mechanisms behind cavity evolution. Gao et al. (2025) [12] conducted numerical simulations of continuous underwater projectile launches, investigating transient cavitation structures and motion characteristics. They also compared different projectile axial spacing and found that the trailing projectile’s cavity experienced large-scale collapse due to the leading projectile’s wake, yet maintained stable motion. Wang et al. (2016) [13] carried out a typical experiment on vertical underwater launch, analyzing the evolution of cavitation modes, cavity collapse, and the resulting strong re-entrant jet, revealing the collapse mechanism within the cavity and conducting corresponding numerical simulations. Gan et al. (2022) [14] experimentally studied the dynamic characteristics of vertically moving objects under ventilation, identifying three motion modes of ventilated bubbles. Cao et al. (2012) [15] used numerical simulations to study the underwater projectile launch process, finding pressure and cavity volume oscillations at the tail and analyzing their causes, thereby revealing the influence on projectile trajectory. Ren et al. (2024) [16] conducted numerical simulations of vertical launch processes, analyzing tail cavity oscillations under different Froude numbers. They observed four tail cavity flow modes and found that higher Froude numbers increased cavity volume and the proportion of irregular regions. Liu et al. (2023) [17] performed numerical simulations of rigid projectile launches, establishing a multi-field coupling model for underwater ejection. They focused on the evolution of the multiphase flow field, bubble development mechanisms at the muzzle, and load response of projectile trajectories.
Secondly, this study investigates the underwater launch process of a rotating sphere. In terms of the sphere’s underwater motion and flow characteristics, many scholars have conducted extensive research through both experiments and numerical simulations.
Brandner et al. (2010) [18] analyzed the cavitation phenomenon of a sphere under high-speed flow conditions via experiments and simulations. Their study revealed the formation of cavitation nuclei and cavity shedding mechanisms, and found that changes in the cavitation number affect the formation of cavitation nuclei, gas–liquid interface instability, as well as the shedding and collapse of the cavity. Pendar and Roohi (2018) [19] carried out numerical simulations of both cavitating and non-cavitating flows around a sphere, revealing the mechanical characteristics of cavitating flow and investigating its influence on the turbulent structures in the wake. Cheng et al. (2019) [20] conducted numerical simulations of cavitating flow around a sphere under different cavitation numbers using the Spalart–Allmaras Detached Eddy Simulation (SA DDES) model. They identified single- and dual-frequency modes of flow instability and analyzed the causes of the dual-frequency behavior. Their study demonstrates the effectiveness of hybrid RANS-LES approaches in capturing unsteady cavitating flows, which inspired the present work to adopt the SST IDDES model for improved prediction of turbulent and cavitation structures. Long et al. (2020) [21] performed numerical simulations of turbulent cavitating flow around a sphere, studying the relationship between cavity evolution and vortex structure development. Their work revealed the dominant flow structures under different cavitation states. Constantinescu and Squires (2004) [22] numerically investigated the flow field around a sphere in a uniform stream, analyzing vortex structure characteristics in subcritical (laminar separation) and supercritical (turbulent separation) regimes. Kolahan et al. (2019) [23] conducted numerical simulations of cavitating flow around a sphere, analyzing the periodic oscillations in pressure and kinetic energy. Using wavelet transforms, they investigated the origins and effects of oscillation frequencies in cavitating flows.
Finally, unsteady cavitation flow around underwater objects remains a prominent topic in the study of water exit dynamics. In this regard, Chen et al. (2021) [24] conducted numerical simulations on projectile cavitation during water exit and revealed that bubble detachment is primarily driven by the rupture of the gas–liquid contact line. They also observed that the presence of a cavity suppresses the formation of hairpin vortices and instead induces T-S wave-like vortex structures due to interfacial shear. Sun et al. (2021) [25] found through experiments that the evolution of unsteady natural cloud cavitation can be divided into three stages: growth, detachment, and collapse. The collapse phase is accompanied by pressure fluctuations, whose frequency and amplitude are influenced by changes in the cavitation number. Shao et al. (2018) [26] investigated supercavitation behavior around hydrofoils, identifying five distinct cavity states: stable, wavy, pulsation mode I, pulsation mode II, and collapse. Increased flow instability led to transitions toward cavity collapse, while higher ventilation coefficients and larger cavitator sizes were found to suppress cavity collapse. Guo et al. (2011) [27] compared ventilated cavitation and natural cavitation in high-speed underwater projectiles, finding that both the ventilated cavitation number and drag coefficient are influenced by natural cavitation characteristics and ventilation flow rate. Pendar and Roohi (2016) [28] used various turbulence and mass transfer models to simulate cavitation around hemispherical-head bodies with conical cavitators at different cavitation numbers. Sun et al. (2021) [29] also carried out both experimental and numerical studies on the high-speed water-entry process of rotating bodies under different angles of attack, analyzing the evolution of cavitation and hydrodynamic loads and their interrelation. Liu et al. (2023) [30] conducted experiments on bubble size distribution (BSD) in cloud cavitation over hydrofoils, revealing mechanisms by which turbulence influences bubble dynamics. Tian et al. (2024) [31] investigated cavitation flows around highly skewed propellers, identifying three distinct cavitation regimes and their corresponding mechanisms for inducing pressure pulsations. Wang et al. (2024) [32] developed a novel Euler–Lagrange method for simulating unsteady cavitation around blunt bodies, which demonstrated improved accuracy over traditional Euler-Euler approaches. Cheng et al. (2020) [33] performed numerical simulations on tip-leakage cavitation over hydrofoils, analyzing flow evolution and its influence on local turbulence.
In previous studies, Novikov and Shmel’Tser (1982) [34] investigated the Kirchhoff equations for rigid body motion in an ideal incompressible fluid using topological and variational methods, focusing on the existence of periodic solutions, the number of orbits, and their symmetry properties. Ershkov et al. (2020) [35] proposed an analytical approximation method, transforming the momentum equations of the Kelvin–Kirchhoff equations into a system of first-order linear ordinary differential equations and further relating it to the corresponding homogeneous system and Riccati equations. Although this approach yielded concise particular solutions, it could not provide general analytical solutions under typical fluid forces. Miloh and Landweber (1981) [36] extended the classical Kelvin–Kirchhoff equations to account for fixed boundary conditions, deriving generalized three-dimensional motion equations and revealing new relationships between the direction cosines of the body axis and the kinematic parameters of angular motion.
Chashechkin (2022) [37] investigated wake structures behind spheres in stratified fluids using shadowgraphy and electrolytic precipitation. He found that low Froude numbers produce prismatic wakes with discrete symmetry due to buoyancy, while high Froude numbers yield axisymmetric wakes dominated by inertia and nonlinear effects. Interfacial ligaments were shown to play a key role in stratification effects and vortex evolution. Chashechkin and Levitskiy (2003) [38] Levitskiy examined neutrally buoyant spheres oscillating near their buoyancy plane using shadowgraph visualization. The flow featured wakes, boundary layers, and internal waves, with high-energy secondary jets forming near trajectory turning points. These jets grow with oscillation cycles and reduce the decay rate of the sphere’s oscillation amplitude.
Notably, these studies primarily focus on analytical methods and theoretical extensions, or on idealized conditions with high symmetry. The dynamics of rigid bodies in complex, realistic fluid environments—particularly the nonlinear response of a sphere during underwater rotational launch—remain insufficiently explored through systematic numerical simulation. To address this gap, the present study employs a CFD-based numerical approach implemented in STAR-CCM+ v2302, incorporating six-degree-of-freedom rigid body motion equations and turbulence models to simulate fluid–structure interactions during the rotational launch of a sphere. This method not only captures transient mechanical features of the rotational motion but also allows analysis of the evolution of detailed flow structures, providing numerical validation for theoretical analyses.

2. Mathematical Formulas and Numerical Methods

2.1. Governing Equations

The focus of this study is to investigate the influence of rotational conditions on the flow field evolution and the unsteady natural cavitation formation process during the underwater ejection of a sphere. For incompressible fluids, the density remains constant; however, the formation and collapse of cavitation can lead to dramatic changes in both pressure and density of the fluid. Therefore, treating water vapor as an incompressible gas with constant density is inappropriate in this simulation. Instead, water vapor is modeled as an ideal gas with variable density. It should be noted that this represents a simplification aimed at reducing computational complexity, and as such, it may not fully capture the extreme pressure variations and localized compressibility effects associated with real cavitation events.
In simulating the underwater ejection process of a rotating sphere, it is essential to first consider the continuity and conservation of mass. The continuity equation (mass conservation equation) is expressed as:
ρ t + ρ u i x i = 0
where ρ denotes the fluid density, t is the time, u i represents the i -th component of the velocity field, and x i is the corresponding spatial coordinate.
Moreover, variations in pressure distribution are often the primary cause of changes in fluid flow velocity. To describe the velocity changes within the flow field, the momentum equation is used to represent the relationship among acceleration, pressure gradients, body forces, and viscous effects. The momentum conservation equation is expressed as follows:
t ρ u i + x j ρ u i u j = P x i + μ u i x j + u j x i + ρ g i
where ρ denotes the fluid density, u i is the i -th component of the velocity, and x j represents the spatial coordinates. The variables P and g i correspond to the fluid pressure and the i -th component of the gravitational acceleration, respectively, while μ denotes dynamic viscosity. Although, in reality, μ varies with temperature, in this study, it is simplified as a constant and is assumed not to change with temperature.
During the high-speed ejection of the sphere, cavitation induces phase change—specifically, the transformation from liquid to vapor during bubble formation and the reverse transition from vapor to liquid during bubble collapse. These phase transitions involve heat absorption and release, which in turn lead to the development of temperature gradients within the flow field. Accordingly, the energy conservation equation is given by:
t ρ E + x j ρ E u j = x j u j P + x j k T x j + μ u i x j + u j x i u i x j + ρ g i u i
where ρ denotes the fluid density, E is the total energy per unit mass, u i and u j represent the components of the velocity vector, and x j is the spatial coordinate. The variables P and T correspond to the fluid pressure and temperature, respectively, while k denotes the thermal conductivity and μ is the dynamic viscosity. In addition, g i represents the i -th component of the gravitational acceleration.

2.2. Turbulence Model

When solving nonlinear flow problems using numerical simulation methods, both temporal and spatial discretization of the physical domain are required. If the governing equations of the flow are solved directly without introducing any turbulence model, namely using Direct Numerical Simulation (DNS), all relevant flow scales must be resolved, including the smallest turbulent spatial scales (Kolmogorov microscales) and temporal scales (Kolmogorov micro-timescales)(Landahl and Mollo-Christensen, 1992) [39]. This demands extremely fine computational grids and very small time steps. For typical turbulent flows, DNS requires a grid resolution on the order of about Re3 and time steps on the order of about Re, where Re is the Reynolds number (Choi and Moin, 2012) [40]; (Kasagi and Shikazono, 1995) [41]; (Yang and Griffin, 2021) [42]. For the high-Reynolds-number flows studied in this work, such computational costs are prohibitively expensive in practical applications (Argyropoulos and Markatos, 2015) [43].
As a result, engineering simulations typically rely on turbulence models that capture essential flow features while filtering out small-scale details, thereby reducing computational costs. Commonly used turbulence modeling approaches include the Reynolds Averaged Navier–Stokes (RANS) equations, Large Eddy Simulation (LES), and Detached Eddy Simulation (DES) (Wilcox, 1998) [44].
In previous studies on underwater projectile ejection and cavitating flow, all three turbulence modeling approaches have been widely adopted. The RANS method performs time-averaging of flow quantities, which significantly reduces the requirements for grid resolution and time-step size, leading to low computational cost (Bensow et al., 2006) [45]; (Breuer et al., 2003) [46]. However, its averaging nature limits the method’s ability to capture fine-scale unsteady flow structures, such as flow separation and vortex detachment at the wake region.
On the other hand, LES resolves large-scale turbulent structures explicitly while modeling smaller sub-grid scales through a subgrid-scale (SGS) model, yielding more accurate predictions for unsteady and complex flows. This improved accuracy comes at a cost: LES is highly grid-sensitive, particularly in near-wall regions, and generally incurs a higher computational expense compared to RANS (Fox, 2012) [47]; (Piomelli, 1999) [48]; (Rodi, 1997) [49].
To balance accuracy and efficiency, DES combines the strengths of both RANS and LES. It applies RANS modeling in the near-wall boundary layer regions and switches to LES in the outer flow field where large eddies dominate. This hybrid approach enables DES to capture key unsteady phenomena while maintaining acceptable computational requirements. Moreover, DES has already been successfully applied in a variety of studies involving underwater projectile launches and cavitation dynamics.
Therefore, the adoption of the DES method in this study to simulate the rotating ejection of a sphere is both appropriate and justified in terms of computational performance and physical fidelity.
The DES method is a hybrid turbulence modeling approach that combines the RANS method and LES technique (Spalart, 2009) [50]. In the RANS framework, flow variables are decomposed into a time-averaged component and a fluctuating component, expressed as:
u = u ¯ + u
The time-averaged Navier–Stokes equations are expressed as:
t ρ ¯ u i ¯ + x j ρ ¯ u i ¯ u j ¯ = P ¯ x i + τ i j ¯ x j ρ ¯ u i u j ¯ x j + ρ ¯ g i
where ρ ¯ denotes the mean fluid density, u ¯ i   and u ¯ j   represent the mean velocity components, and x j   is the spatial coordinate. The terms P ¯   and τ ¯ i j   correspond to the mean pressure and the mean viscous stress tensor, respectively, while u i u j ¯   denotes the Reynolds stress associated with the fluctuating velocity components. In addition, g i   represents the i -th component of the gravitational acceleration.
After applying time-averaging to the fluid governing equations, the introduction of the Reynolds stress term causes the system to become unclosed. To achieve closure, appropriate turbulence models must be introduced. Common RANS turbulence models include the k - ω , k - ε , the Spalart–Allmaras model, the Fares–Schröder model, and the Baldwin–Barth model. In addition, several improved versions have been developed, such as the Realizable k - ε model and the Renormalization Group (RNG) k - ε model, as well as advanced k - ω - b a s e d models like the Shear Stress Transport (SST k - ω ) and BSL k - ω models. These models are widely used in engineering practice and can be selected based on the specific characteristics of the flow problem.
Based on the standard k - ε and k - ω models, Menter proposed the Shear Stress Transport (SST) model. In this formulation, the k - ω model is used near the wall to accurately capture boundary layer characteristics, while the k - ε model is applied in the far-field region to improve prediction in the free-stream. This hybrid approach effectively combines the advantages of both models. The SST k - ω model has been widely applied in studies of underwater body launches and cavitating flows.
In the SST k - ω model, the transport equations for turbulent kinetic energy k and specific dissipation rate ω are expressed as follows:
ρ k t + ρ k u i x i = x j Γ k k x j + G k Y k + S k
where ρ denotes the fluid density, k is the turbulent kinetic energy, u i represents the i -th component of the velocity, and x j is the spatial coordinate. The term Γ k denotes the effective diffusivity of turbulent kinetic energy, while G k , Y k , and S k represent the production, dissipation, and additional source terms of k , respectively.
ρ ω t + ρ ω u i x i = x j Γ ω ω x j + G ω Y ω + S ω + D ω
where ρ denotes the fluid density, ω is the specific dissipation rate, u i represents the i -th component of the velocity, and x j is the spatial coordinate. The term Γ ω denotes the effective diffusivity of ω , while G ω , Y ω , S ω , and D ω represent the production, dissipation, source, and cross-diffusion terms of the specific dissipation rate, respectively.
In the DES method, the second key component relies on the LES approach, which solves the large-scale turbulent structures explicitly while modeling the smaller scales. LES employs a spatial filtering operation on the Navier–Stokes equations to separate the flow field into resolved large-scale components and modeled subgrid-scale components. The filtering operation is defined as:
G x , x = 1 V , x V 0 , x V
The filtered Navier–Stokes equations are:
t ρ u i ~ + x j ρ u i ~ u j ~ = x j μ σ i j x j p ~ x i τ i j x j
where u ~ i and u ~ j represent the filtered velocity components, and x j is the spatial coordinate. The variable μ denotes the dynamic viscosity, p ~ is the filtered pressure, and σ i j represents the filtered strain-rate tensor. The term τ i j corresponds to the subgrid-scale stress tensor arising from unresolved turbulent motions.
With the continuous improvement of RANS and LES methods, the DES method has also been progressively optimized. Initially, the DDES method was proposed to address non-physical behaviors near the boundary layer (Spalart et al., 2005) [51]. Subsequently, the widely used IDDES method was developed based on DDES (Shur et al., 2008) [52] and has since been extensively applied. The IDDES model introduces a turbulence length scale l I D D E S and modifies the turbulence kinetic energy dissipation term, which can be expressed as:
ρ k t + ρ u j k x j = x j μ + 1 σ μ t k x j + P ~ k ρ k 3 / 2 l I D D E S
where k is the turbulent kinetic energy. The variable μ is the dynamic viscosity, μ t denotes the turbulent (eddy) viscosity, and σ is the turbulent Prandtl number for k . The term P ~ k represents the production of turbulent kinetic energy, while l I D D E S is a length scale associated with the IDDES model used for turbulence dissipation.
Apte et al. (2024) [53] employed a series of Detached Eddy Simulation (DES) models to investigate hydrodynamic cavitation phenomena in a Venturi tube through both two- and three-dimensional numerical simulations. By comparing with high-fidelity experimental data, they found that three-dimensional DES simulations can accurately predict cavitation–turbulence interactions and cavitation–vortex mechanisms, demonstrating that velocity gradients and fluid element dilatation terms play a dominant role in vortex formation. Moreover, three-dimensional DES results better capture the realistic flow features compared to two-dimensional simulations and URANS models. However, a thinner-than-expected cavitation cavity morphology still persists in the throat region, providing a reference for improving model accuracy.
Considering the comparisons among various turbulence modeling approaches, including RANS, DES, DDES, and IDDES, and taking into account their capabilities in capturing unsteady and cavitating flow features, the present study adopts the SST IDDES model as the turbulence framework for establishing the numerical simulation. This choice allows for an improved prediction of both large-scale vortex structures and near-wall effects, providing a more accurate representation of the complex cavitating flows around the spherical body.

2.3. Multiphase Flow Model

In multiphase flow numerical simulations, capturing the free surface and fluid phase interfaces is a key concern. The Volume of Fluid (VOF) method has been widely adopted in the industry due to its flexibility and efficiency in handling complex free boundary configurations (Gao et al., 2022) [54]; (Zhang et al., 2024) [55]. The core of the VOF method is the introduction of a volume fraction field, which describes the proportion of each fluid within a computational cell. By solving the transport equation of the volume fraction, the position and shape of the interface can be tracked over time (Hirt and Nichols, 1981) [56]. The volume fraction of water in a cell is expressed as:
γ = 1 W a t e r 0 V a p o r 0 < γ < 1 A t   t h e   i n t e r f a c e
The distribution of phase i is governed by the mass conservation equation, and the transport equation for the volume fraction is expressed as:
t V α i d V + A α i v d a = V S α i α i ρ i D ρ i D t d V V 1 ρ i α i ρ i v d , i d V
where α i denotes the volume fraction of phase i , V and A represent the control volume and its surface area, respectively, and v is the velocity vector. The variable ρ i is the density of phase i , S α i represents the source term for the volume fraction, and v d , i is the relative (drift) velocity of phase i . The term D ρ i / D t denotes the material derivative of the density.

2.4. Cavitation Model

The most representative mathematical description of the fluid cavity evolution process is the motion equation of an incompressible ideal fluid cavity derived by Rayleigh (Rayleigh, 1917) [57]. Based on this, Plesset and Prosperetti introduced viscosity and surface tension terms, obtaining the Rayleigh–Plesset equation (Plesset and Prosperetti, 1977) [58], which describes the growth and collapse process of a single bubble. The specific equation is as follows (Lin et al., 2023) [7]:
p b t p t ρ f = R d 2 R d t 2 + 3 2 d R d t 2 + 4 ν t R d R d t + 2 σ 0 ρ f R
where p b ( t ) and p ( t ) denote the bubble internal pressure and the ambient pressure, respectively, ρ f is the fluid density, R is the bubble radius, and ν t is the kinematic viscosity of the fluid. The variable σ 0 represents the surface tension at the bubble interface. Although both the viscosity ν t and the surface tension σ 0 generally vary with temperature, in this study they are simplified as constants and assumed not to change with temperature.
Schnerr and Sauer directly derived from the mass transfer rate formula between gas and liquid, neglecting the viscous terms and surface pressure, thereby simplifying the Rayleigh–Plesset equation (Sauer and Schnerr, 2001) [59]. The specific form is as follows:
α ν ρ ν t + α ν ρ ν u j x j = m ˙ = m ˙ + m ˙
m ˙ + = ρ ν ρ l ρ α ν 1 α ν 3 R 2 3 m a x p ν p , 0 ρ l
m ˙ = ρ ν ρ l ρ α ν 1 α ν 3 R 2 3 m a x p p ν , 0 ρ l
R b = α ν 1 α ν 3 4 π 1 N b 1 / 3
where α ν is the vapor phase volume fraction; ρ ν and ρ l are the densities of the vapor and liquid phases, respectively; u j is the j-component of the fluid velocity; m ˙ + and m ˙ are the condensation source term mass transfer rate and evaporation source term mass transfer rate, respectively; R b is the cavity radius; and N b is the cavity density.
The Schnerr and Sauer model has been widely applied in studies of cavitation flow around spheres as well as cavitation flow during underwater projectile launches (De Giorgi et al., 2020) [60]; (Wang et al., 2022) [61]; (Zheng et al., 2018) [62]. Therefore, it is reasonable to adopt the Schnerr and Sauer cavitation model in this study to simulate the cavitation evolution process.

3. Computational Overview

The present study employs an implicit unsteady solver with first-order temporal discretization for the time integration. The SIMPLE algorithm is used for pressure-velocity coupling, while spatial discretization is carried out using second-order accurate schemes for both convective and diffusive terms. This setup ensures stable and accurate resolution of the unsteady cavitating flows.

3.1. Geometric Model and Operational Scenario

Figure 1 illustrates the geometric model and boundary condition setup used in the numerical simulation. The sphere has a diameter of D = 0.06 m and a total mass of M = 0.27 kg. The computational domain is a rectangular box with dimensions 1.2 m (height) × 1.0 m (width) × 0.5 m (depth). A velocity inlet with a 2 m/s lateral inflow is applied to reduce numerical dissipation and instabilities during the simulation. The bottom of the tube is set as a constant pressure inlet, with the pressure value equal to the hydrostatic pressure at the corresponding location. To improve computational efficiency, the mid-plane of the domain is set as a symmetry plane, and the remaining boundaries are set as pressure outlets to eliminate wall effects.
To ensure numerical stability and prevent excessive initial velocities caused by the sphere moving through still fluid, the sphere undergoes an 8 ms uniform acceleration phase inside the tube. After reaching a speed of 40 m/s, it maintains constant velocity until 9.5 ms, when the sphere center is 0.01 m beyond the tube exit. This ensures the sphere has entered the water upon release, thus avoiding numerical oscillations during the exit phase.
For the rotating ejection scenarios, the sphere’s angular velocity varies synchronously with its translational velocity, undergoing uniform acceleration followed by brief constant velocity until the sphere center leaves the tube exit, at which point it is released. The angular velocity is set as ω = 50 revolutions per second (Rps). Five cases are considered in this study: one stationary and four different rotational speeds, all following the same ejection procedure described above.

3.2. Mesh Details and Numerical Model Validation

The primary focus of this study is to investigate the cavitation flow around a sphere during its underwater ejection under rotational conditions, and to compare these results with the sphere’s ejection process under stationary conditions. Therefore, selecting an appropriate numerical simulation method is crucial. Brandner’s research (Brandner et al., 2010) [18] examined cavitation bubble formation around a stationary sphere in a cavitation tunnel. By comparing our simulation results with his experimental data, we can effectively validate the reliability and accuracy of the numerical methods used to simulate cavitation phenomena. The experimental conditions from Brandner’s study are as follows: cavitation number σ = 0.4, Reynolds number Re = 1.5 × 106, with parameters defined as:
σ = P P v 0.5 ρ U 2
R e = U L ν
where R e denotes the Reynolds number, U is the characteristic velocity of the flow, L is the characteristic length, and ν is the kinematic viscosity of the fluid.
Figure 2 illustrates the results of the numerical simulation, with the isosurface corresponding to a water volume fraction of 0.5 used to represent the simulated cavity. It can be seen that the computed cavity geometry agrees well with the experimental observations, and the bubble shedding pattern at the rear matches the experimental findings. Furthermore, comparing the bubble length ratio L/D, the experimental result is 1.967 while the numerical simulation yields 1.862, resulting in a relative error of only 5.34%, indicating good agreement.
Figure 3 illustrates the complete mesh distribution used in the simulation. For the underwater sphere ejection problem, although mesh matching can be challenging in overset mesh methods, the dynamic overset mesh approach offers convenience. Since the rigid body motion studied here does not involve mesh deformation, the sphere mesh and background mesh remain relatively independent. Therefore, the overset mesh method was chosen for this study.
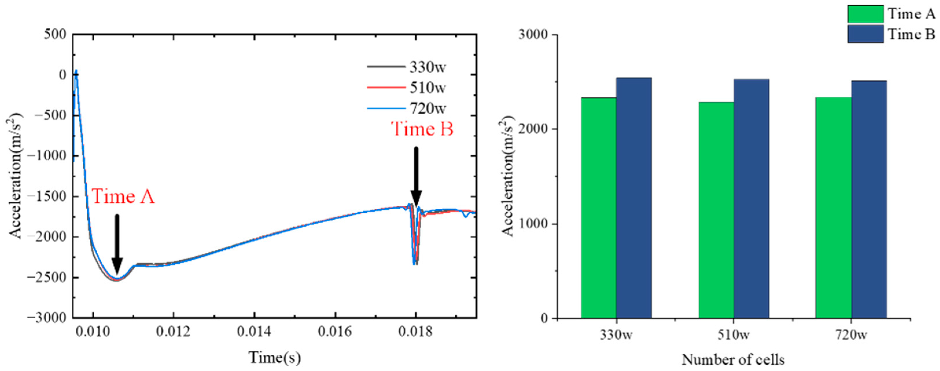
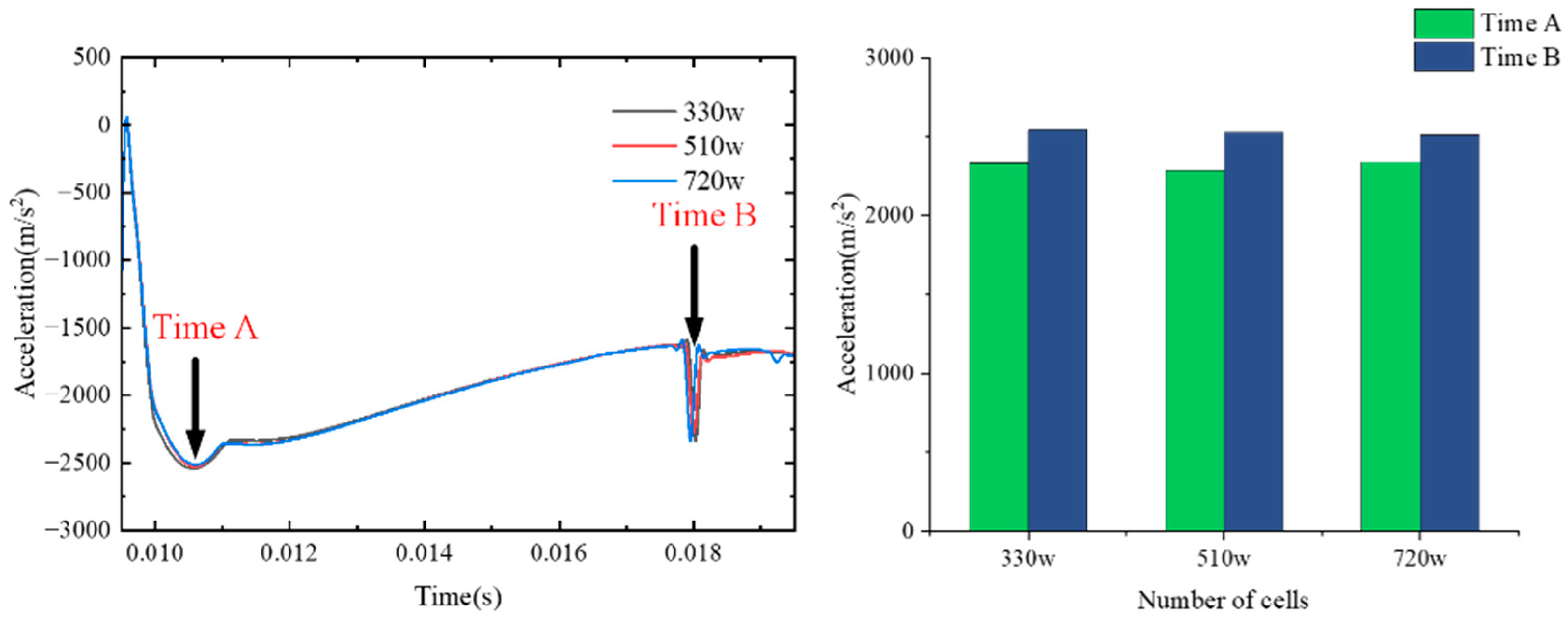
To verify the reliability of the numerical method used in this study, three different mesh resolutions and three different time step sizes were compared. The three meshes correspond to coarse, medium, and fine grids with base cell sizes of 1.2 mm, 1.0 mm, and 0.83 mm, respectively, which is approximately one-tenth of the characteristic bubble diameter and sufficiently resolves the re-entrant jet and near-wall flow structures. Prism layer meshes with 6 layers were placed on the object surface, with a near-wall prism thickness of 5 × 10−5 m. The total thickness of the prism layers is 160% of the base cell size, resulting in total mesh counts of 3.31 × 106, 5.10 × 106, and 7.22 × 106 for the coarse, medium, and fine meshes, respectively.
As shown in Figure 4, the cavitation patterns obtained under different mesh resolutions are generally similar, but differences appear in the location of the closure region. This discrepancy is mainly due to the finer mesh better capturing the gas–liquid interface. Figure 5 illustrates the acceleration variation during the sphere ejection process for different mesh sizes. The accelerations at two typical peak moments—when the sphere passes through the tube mouth vortex cavitation and when the tail cavitation first detaches—were compared, showing minor differences across the three mesh sizes.
Subsequently, Temporal resolution was determined based on the Courant–Friedrichs–Lewy (CFL) condition to ensure numerical stability and accuracy. The maximum CFL number in the simulations was kept below 1, the validity of three different time step sizes was verified, set at 1 × 10−5 s, 5 × 10−6 s, and 2 × 10−6 s. The numerical simulation results under these different time steps were analyzed and compared. As shown in Figure 6, the cavitation patterns obtained for different time steps are generally similar.
Overall, the simulation results using the medium mesh (5.10 × 106 cells) and medium time step (5 × 10−6 s) agree well with the experimental data and meet the accuracy requirements of this study.

4. Results and Discussions

4.1. Flow Evolution and Loading on the Sphere

In this section, we conduct a comparative analysis of the sphere’s ejection process under stationary ejection (SE) and rotating ejection (RE) conditions, where the angular velocity in the RE case is set to ω .
As illustrated in Figure 7, the sphere initially undergoes a confined in-tube motion stage, during which it remains entirely inside the launch tube and has not yet entered the external water domain. In this phase, the sphere continuously accelerates, and in the rotating case, its angular velocity increases accordingly.
It is first observed that near the rear region of the sphere, adjacent to the tube wall, the presence of a wall-normal velocity component on the sphere’s surface—opposing the direction of the surrounding fluid—induces liquid stretching and results in a local pressure drop below the vapor pressure of water. This triggers cavitation, forming a two-phase structure characterized by a gas region near the tube wall and a liquid core at the center.
Under SE conditions, this cavity structure maintains approximate front-rear symmetry during its development. In contrast, under RE conditions, shear induced by the rotating sphere surface disrupts the symmetric distribution, causing the structure to deflect toward the rear side in the direction of rotation. Additionally, the liquid near the upper surface of the sphere is compressed by its motion and is ejected at high speed along the tube wall. This high-speed outflow generates a ring-shaped vortex cavitation (VC) structure at the tube exit. As the sphere approaches this cavitation ring, the VC is further disturbed by the advancing sphere under RE conditions.
Subsequently, the sphere reaches the tube exit and enters the out-of-tube stage. During this stage, the presence of VC at the nozzle causes the sphere to immediately pass through the cavitation region upon exiting the tube. In other words, the sphere penetrates directly through the annular VC located at the nozzle. In this process, it is observed that due to the sphere’s rotation, the VC at the rear evolves differently under the influence of the sphere’s surface motion. Figure 8 and Figure 9 presents the cavity contour along the central cross-section through the sphere at t = 9.5 ms, just before exiting the tube, along with the vortex structure at the nozzle indicated by the Q-criterion (Q = 100/s).
The Q -criterion is used to identify vortex structures in a flow and is defined as
Q = 1 2 Ω 2 S 2
where Ω = 1 2 ( u ( u ) T ) is the antisymmetric part of the velocity gradient tensor, representing the local rotation rate of the fluid, and S = 1 2 ( u + ( u ) T ) is the symmetric part, representing the local rate of strain.
From the figure, it can be seen that the annular cavity at the tube exit is composed of a large primary cavity (PC) and several subsequently generated smaller secondary cavities (SC). These SC progressively merge with the PC to form the overall vortex cavity structure. At the observed moment, compared to the approximately symmetric PC–SC configuration under SE conditions, the PC and SC under RE conditions exhibit clear asymmetry. Specifically, some SCs on the rear side merge directly with the PC during development. This phenomenon arises because the annular cavity at the nozzle is induced by vortex cavitation, with corresponding primary vortices (PV) and secondary vortices (SV) associated with the PC and SC, respectively. Under RE conditions, the flow on the front side of the sphere is opposite to the direction of the sphere’s rotation, while the flow on the rear side aligns with it. This results in an increased flow velocity near the rear side of the sphere, promoting earlier vortex merging. Consequently, the cavitation induced by the SV fuses with that of the PV at an earlier stage. The profile of the cavity intuitively shows the difference between the SE and RE.
Figure 10 shows the gas–liquid two-phase distribution at t = 11.2 ms, when the sphere has just passed through the annular cavity at the nozzle and is about to experience cavitation on its surface. Compared to the SE case, the interface between the sphere surface and the annular cavity under RE conditions is no longer perfectly symmetric. Due to the sphere’s rotation, the flow on the front side of the sphere moves downward, causing water to adhere to the sphere and flow into the sphere–cavity interface region from above. This interaction forms a concave structure at the interface. In contrast, on the rear side of the sphere, the fluid is carried upward by the rotating surface, lifting the cavity upward and forming a convex structure.
In addition, at this moment, the tail cavity (TC) of the sphere has not yet fully merged with the annular cavity at the nozzle. Under SE conditions, a clear liquid layer remains between the two cavities. Owing to the initial crossflow, the annular cavity at the nozzle slightly shifts toward the rear side, resulting in a thicker liquid layer on that side. Under RE conditions, however, the high-speed shear effect induced by the rotating sphere surface disturbs the liquid layer, preventing its stable presence. Instead, the liquid shows a tendency to spread and drift in the direction of sphere rotation, indicating the destabilization and redistribution of the intermediate liquid layer due to rotational influence.
The differences at the gas–liquid interface between the cavity and the sphere surface result in distinct cavitation developments after onset. Figure 11 presents the phase distributions at t = 11.7 ms, when cavitation first appears on the sphere surface, and at t = 12.4 ms, when the surface cavity merges with the annular VC near the nozzle.
It is observed that, under RE, cavitation initiates on the rear side of the sphere where the convex gas–liquid interface is already influenced by upward-moving water vapor carried by rotation. This causes the shoulder cavitation (SC) on the rear side to merge earlier with the VC. In contrast, on the front side, the SC remains clearly separated from the VC. As the process evolves, the concave interface at the front becomes increasingly pronounced, resulting in delayed merging between the SC and the VC. Additionally, at the bottom of the sphere, necking and detachment occur between the TC attached to the sphere’s tail and the cavity inside the tube. The TC subsequently merges with the VC at the nozzle.
Eventually, as the ejection process continues, the cavity undergoes successive cycles of collapse and re-expansion, forming a pattern of oscillations with gradually decreasing amplitude. Figure 12 illustrates the evolution of cavity volume during the launch, showing that the sphere experiences multiple cavitation–collapse–re-cavitation cycles throughout its motion. It can be observed that the effect of rotation becomes more pronounced during the second and subsequent cavitation-collapse events. As discussed earlier, rotation alters the development of the backward jet flow near the sphere’s bottom. This variation in jet flow directly affects the behavior of the TC, causing discrepancies in the location and timing of cavity collapse at the bottom. Consequently, this leads to differences in the volume and evolution of the secondary and tertiary cavitation events between SE and RE conditions.
During the ejection process, the forces acting on the sphere and its motion are also influenced by both the sphere’s rotation and the differences in cavity evolution induced by this rotation. Figure 13 presents the pressure distribution on the sphere’s surface throughout the launch. In the early stage of cavitating flow, the impact of rotation on the pressure distribution is not yet significant. This is because the primary pressure variation across the sphere is caused by the high-pressure stagnation point at the top and the low-pressure cavitating region, which are both mainly governed by the translational motion of the sphere. As noted previously, before the initial cavity collapse, rotation has limited influence on cavitation, and thus the pressure distribution under SE and RE conditions remains similar during this phase.
Subsequently, at t = 19 ms, a high-pressure region appears at the front side of the sphere. For the SE case, this high-pressure region results primarily from the early wetting of the front surface, as described earlier, and is mostly distributed around the 0° latitude area. In contrast, for the RE case, the high pressure is mainly caused by the direct impact of the re-entrant jet on the sphere surface. Consequently, the high-pressure zone shifts downward, primarily located below 0° latitude. Figure 13 illustrates the pressure distribution at this moment, where extensive high-pressure regions emerge over the surface, especially concentrated near the bottom, the front side, and the original cavitation generation site. A comparison of the pressure distributions under SE and RE conditions reveals distinct differences, which are primarily attributed to the previously described disparities in cavity morphology. These morphological differences lead to varying pressure patterns on the sphere surface during subsequent cavity collapses.
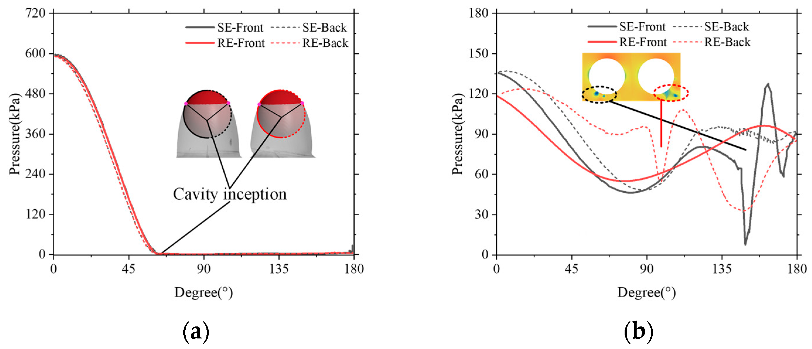
Figure 14 shows the pressure distribution along the circumference of the sphere’s cross-section on the symmetric plane at t = 14 ms and t = 45 ms, comparing the front and back sides of the surface. It can be observed that during the cavitating flow stage, the rotation of the sphere has no significant effect on the pressure distribution along its surface. On both the front and back sides, the surface pressure consistently transitions from a high-pressure region near the sphere’s nose to a low-pressure region near the shoulder. The pressure reaches its minimum at the cavitation onset location. Within the cavity, the pressure remains nearly uniform, and the pressure profiles under both SE and RE conditions are nearly identical.
However, during the non-cavitating flow stage, distinct differences arise in surface pressure distribution. Under SE conditions, the pressure on both sides of the upper portion of the sphere remains largely symmetrical. Toward the tail, pressure differences and fluctuations begin to emerge due to the collapse of the previous cavity and the development of an asymmetric vortex structure near the TC. Under RE conditions, asymmetry appears even in the upper region of the sphere. Specifically, the pressure on the back side is higher than on the front side, which results from the relative motion between the rotating sphere surface and the surrounding flow—on the back side, the surface moves opposite to the ambient flow, generating higher pressure due to the reverse-flow interaction. Near the bottom region of the sphere, the effects of previous cavity collapse and the shedding of tail vortex structures also introduce significant pressure fluctuations, leading to notable differences in pressure distribution between the two sides.
Figure 15 illustrates the motion characteristics of the sphere throughout the entire ejection process. In Figure 15a, the post-ejection trajectory of the sphere is shown. Overall, the sphere deviates toward the back side after exiting the launch tube due to disturbances caused by the initial crossflow. As previously discussed, under RE conditions, the front side of the sphere is affected by the re-entrant flow earlier, which leads to an earlier detachment and collapse of the cavity. This results in a more pronounced force asymmetry between the front and back sides of the sphere compared to SE conditions, thereby causing a more significant deflection in the trajectory.
Figure 15b presents the time histories of the sphere’s velocity and acceleration during the ejection process. It is evident that the sphere undergoes two major accelerative phases, each corresponding to the collapse of a cavity as shown in Figure 15. These collapses, particularly at the TC, generate instantaneous high-pressure zones that induce a sudden upward impact force on the sphere. Comparing the SE and RE cases, a significant difference in acceleration profiles is observed. This discrepancy is primarily attributed to the previously described differences in cavity evolution. However, After the first cavitation collapse, the velocity profiles of the two cases gradually diverge, with the velocity under RE conditions decreasing below that of the SE case and the difference progressively increasing. At the time of the second collapse, the velocities in both cases return to a similar level. Subsequently, the velocity under RE conditions decreases more rapidly again, and the difference with the SE case further widens.

4.2. Reentrant Jet and Flow Separation

Figure 16 illustrates the moment at t = 13.5 ms, when the sphere passes through the annular cavity at the nozzle and enters the underwater cavitating navigation stage. During this phase, cavitation and flow separation begin to occur on the sphere surface. It is observed that the cavitation onset location on the sphere surface differs from the point of flow separation. Specifically, the flow separation point appears downstream of the cavitation initiation location. By comparing the cavitation and separation locations under SE and RE conditions, it is found that the rotational motion of the sphere has little influence on the cavitation onset location. However, the position of the flow separation point exhibits a significant difference. When the sphere rotates, due to viscous effects, the surrounding fluid is entrained by the sphere surface at the same angular velocity. As a result, on the rear side of the sphere, the circumferential velocity adds to the freestream velocity, accelerating the local flow. On the front side, the circumferential velocity opposes the freestream, leading to a reduced total flow velocity. This velocity distribution causes the flow separation point on the front side to shift significantly downward, while the rear-side separation point experiences only a slight upward shift due to the influence of the gas–liquid interface.
The underwater motion of the sphere is a dynamic process that involves several distinct flow regimes, including cavitating flow, cavity collapse, secondary cavity expansion, and fully wetted flow. Each stage possesses unique flow characteristics. Particularly during cavity collapse and subsequent expansion, which involve violent phase transitions, the rapid pressure fluctuations can unpredictably disturb the local flow field.
Furthermore, due to the gradual variation in cross-sectional radius along the rotational axis of the sphere, the surface velocity is not uniform under a constant angular velocity, resulting in spatial differences in flow speed and distribution across the sphere surface. Figure 17 shows the spatial distribution of cavitation inception and flow separation points on the sphere surface under SE and RE conditions during the cavitating phase. Analysis at t = 14 ms and t = 14.5 ms (representing the cavitating flow stage) reveals that the cavitation inception consistently occurs at approximately 28°, regardless of rotation. This indicates that rotation has minimal influence on the cavitation onset location on the sphere surface.
In contrast, the flow separation behavior is notably affected by rotation. Under SE conditions, the separation point location remains relatively uniform across the surface. However, in the RE case, the separation point on the front side of the sphere shifts significantly downward, while the lateral displacement of the separation point gradually decreases toward the rear side, eventually aligning with the SE condition. At t = 15 ms, as discussed in the previous section, the re-entrant jet originating from the cavity collapse under RE conditions impinges on the gas–liquid interface near the front side of the sphere. This interaction perturbs the local flow field, making the separation point on the front side difficult to accurately identify. In contrast, under SE conditions, the front-side separation remains stable and exhibits a distribution similar to that observed at time instants A and B.
As the cavity near the sphere surface gradually collapses, the wetted area on the sphere surface undergoes significant changes. The instant of cavity collapse is typically accompanied by a sudden pressure spike, which, along with phase transition between the gas and liquid phases, leads to notable variations in the local flow velocity and direction around the sphere.
Figure 18 illustrates the distribution of the gas–liquid interface on the sphere surface during the cavity collapse and subsequent secondary expansion phases. Under SE conditions, the distribution of the wetted region on the sphere surface exhibits a relatively regular pattern: due to the influence of the re-entrant jet from the cavity collapse near the bottom of the sphere, the cavity attached to the front surface is disturbed. As the process evolves, this disturbance causes the front part of the sphere surface to rewet earlier than other regions, forming a relatively organized wetted area.
In contrast, under RE conditions, the front side of the sphere is directly impacted by the reentrant jet. The cavity in this region undergoes intense disruption, resulting in a less organized and more chaotic rewetting pattern on the sphere surface. Furthermore, both the front and rear sides of the sphere lose the clearly defined flow separation zones observed earlier, making it difficult to identify specific separation points under these conditions.
However, despite the disruption, certain phenomena in the flow field near the cross-sectional plane remain analytically significant. As shown in Figure 19, at t = 21 ms, a distinct rotational flow pattern emerges at the cavity collapse region under RE conditions, with evident vortex structures. Compared to the nearly symmetric flow field observed in the SE case, rotation alters the wake structure at the rear of the sphere. The vortex on the front side shifts downward along the direction of rotation.
From a three-dimensional perspective (Figure 20), unlike the relatively horizontal vortex ring seen in the SE case, the vortex ring formed under RE conditions exhibits a noticeable deformation: the front portion near the bottom of the sphere sinks, while the structure rises along the rotation axis and slightly lowers again toward the rear side, forming an asymmetric vortex ring with a left-low, right-high profile.
As the launch process progresses, the sphere moves beyond the influence of the nozzle-induced VC and enters the underwater cruising stage. During this phase, cavitation continues to develop, and the cavity elongates progressively. Collapse initiates from the TC and propagates upward, forming a jet-like structure. Simultaneously, the annular cavity near the nozzle gradually diminishes, eventually evolving into a hollow cylindrical cavity structure. Figure 21 and Figure 22 illustrates the evolution of the gas–liquid phase distribution during the ejection process. It can be observed that the re-entrant jet resulting from the collapse of the TC develops upward and exhibits a forward inclination trend. By t = 15 ms, the re-entrant jet comes into contact with the cavity surface formed around the sphere, introducing disturbances to the cavity morphology.
Under SE conditions, the re-entrant jet contacts the cavity surface near the sphere’s bottom, as shown in the figure. The interaction leads to surface perturbations and slight inward deformations of the cavity but does not induce significant changes such as cavity detachment. In contrast, under RE conditions, the contact point between the re-entrant jet and the cavity shifts forward, approaching the newly formed cavity region near the front side of the sphere. This cavity is still unstable, and the impact from the re-entrant jet causes detachment between the sphere and the cavity. Moreover, due to the viscous shear generated by the rotating sphere surface, more liquid is drawn along the sphere surface into the cavity, further intensifying the separation of the front-side cavity from the sphere. Eventually, cavity detachment occurs at t = 16 ms.
To analyze the effect of sphere rotation on the re-entrant jet near the sphere’s tail, Figure 23 presents the vertical velocity distribution at the rear of the sphere at t = 14 ms under both SE and RE conditions. Since the reentrant jet has not yet reached the bottom surface of the sphere at this time, the region behind the sphere contains a mixture of liquid water and water vapor. From the figure, it can be observed that the flow velocity of water vapor in the wake region decreases with increasing distance from the sphere surface. In contrast, the velocity of the reentrant liquid water is higher than that of the water vapor. As a result, the vertical velocity at the gas–liquid interface shows a local increase, which then gradually decreases with further distance from the solid surface. Comparing the two cases, it is evident that the position of the reentrant jet differs significantly between the SE and RE conditions. Under RE conditions, the vertical extent of the re-entrant jet is greater than in the SE case, and the peak velocity of the re-entrant jet is also higher, reaching 5.16 m/s compared to 1.14 m/s under SE conditions. This indicates that sphere rotation promotes a more fully developed reentrant jet, enhancing the intensity and spatial extent of the flow in the wake region.

4.3. The Influence of Rotation Rate

This chapter analyzes the effects of different rotational angular velocities on the flow field during the launch process of the sphere under rotational conditions.
During the early stage of the launching phase, variations in rotational speed noticeably influence the cavitation behavior. Figure 24 shows the gas–liquid phase distribution at t = 9.5 ms under different rotational angular velocities. It can be observed that as the sphere’s rotational speed increases, the liquid inside the launch tube gradually accumulates toward the back side. When the angular speed reaches 4ω, a significant accumulation of liquid is observed near the back side tube wall. This liquid is driven by the rotational motion toward the back wall, where it slows down upon contact with the tube wall. The resulting pressure increase in this region makes it locally higher than surrounding areas, thereby reducing the degree of phase change near this region.
Moreover, the increase in rotational angular velocity alters the development of the primary and secondary cavitation bubbles near the muzzle. As previously discussed, the nozzle cavitation bubble is formed by the merging of a primary bubble generated by the PV and a secondary bubble induced by the SV. As the rotational speed increases, the sphere’s rotation has a more pronounced effect on the vortex structures near the nozzle. At lower rotational speeds, it accelerates the merging of PC and SC on the back side. However, with further increases in rotational angular velocity, the vortex structures on both the front and rear sides become significantly disturbed, and the distinction between PV and SV becomes less apparent.
As the sphere gradually passes through the nozzle cavitation bubble, Figure 25 illustrates the gas–liquid interface distribution at t = 13 ms, when cavitation begins to occur on the sphere’s surface. In the previous discussion, we described how the sphere’s rotation induces a certain degree of concavity on the gas–liquid interface at the front side of the sphere. Here, we compare the concavity behavior of the interface under different rotational angular velocities. It is observed that as the rotational speed increases, the concavity at the front side of the sphere evolves accordingly. Specifically, the direction of the concave interface shifts with increasing rotational velocity. At lower angular speeds, the translational motion of the sphere dominates, causing the concave fluid to move upward along the sphere’s trajectory, resulting in a concavity biased in the direction of the sphere’s translation. However, as the rotational speed increases, the rotational velocity component becomes dominant. Consequently, the movement of the concave fluid gradually shifts from aligning with the translational motion to following the rotational direction of the sphere, causing the concave structure to deflect downward.
In addition, the rotational speed also affects the volume of the indented fluid. Higher angular velocities enhance the viscous shear effect along the sphere’s surface, driving more liquid along the rotational direction into the free surface region, thereby increasing the volume of the concave region. On the back side of the sphere, the gas phase also flows along the rotational direction due to shear effects at the wall surface. However, due to its low density and high compressibility, the gas motion has a negligible impact on the morphology of the gas–liquid interface. When the rotational speed reaches 4ω, a slight convex deformation appears at the rear-side gas–liquid interface.
Figure 26 illustrates the variations in the morphology of the re-entrant jet at the bottom of the sphere under different rotational angular velocities. As previously discussed, the sphere’s rotation alters the deflection angle of the re-entrant jet toward the up side. In this section, we further investigate this behavior by comparing the direction of the re-entrant jet under various angular velocities to identify underlying trends.
Contrary to the initial expectation that the re-entrant jet would continue deflecting toward the rear side as the angular velocity increases, our observations reveal a more nuanced behavior. When the angular velocity increases to 2ω, the development of the re-entrant jet reaches its maximum extent, with the jet directly impinging on the bottom surface of the sphere. At this point, the re-entrant jet is most fully developed. However, as the angular velocity continues to increase beyond 2ω, the re-entrant jet becomes less developed. Analysis of the free surface evolution over time shows that this phenomenon is related to the increasingly pronounced concavity at the free surface, as discussed earlier. When the angular velocity exceeds 2ω, interactions begin to occur between the inward-flowing liquid—induced by the concave free surface—and the re-entrant jet.
At 3ω, these two flows begin to interact slightly, with the inward liquid flow interfering with the progression of the re-entrant jet, thereby reducing its development compared to the case at 2ω. When the angular velocity reaches 4ω, this interaction intensifies significantly, resulting in a direct connection between the inward liquid flow and the re-entrant jet. This leads to localized cavitation collapse near the point of interaction, which severely inhibits the further development of the re-entrant jet.
As described in the previous section, the rotational angular velocity has a significant impact on the development of the re-entrant jet. Figure 27 presents the spatial distribution of the vertical fluid velocity directly beneath the sphere at the specified moment. Overall, the vertical velocity exhibits a consistent trend: it increases along the vertical direction from the bottom upward, reaches a maximum at the top of the re-entrant jet, then decreases as it crosses the gas–liquid interface, and subsequently rises again until it matches the velocity of the moving sphere.
Despite the general trend remaining similar, notable differences emerge under different rotational speeds. At lower angular velocities, the velocity drop occurs earlier, and the peak velocity is relatively low. As the angular velocity increases from 0 to , the onset of velocity drop is delayed, and the peak velocity rises. At , due to the well-developed re-entrant jet, no significant velocity decrease is observed before it reaches the sphere’s bottom surface. However, with further increases in angular velocity beyond , the velocity drop becomes increasingly pronounced again, and the peak velocity gradually declines. Figure 28 illustrates the variation of the re-entrant jet’s apex distance from the bottom of the cavity and its corresponding peak velocity with respect to increasing angular velocity. It is evident that both the jet length and peak velocity reach their maximum at , indicating the most fully developed jet under this condition.
When the angular velocity does not exceed 2ω, the deflection of the jet inhibits its full development. Beyond , the inward-moving concave liquid flow directly interacts with the re-entrant jet, significantly disrupting its development and leading to a reduction in both jet length and velocity.
Figure 29 illustrates the mid-plane flow field distributions under four different rotational angular velocities. As previously discussed, the sphere’s rotation causes the flow separation point to shift along the direction of rotation. With increasing angular velocity, the streamlines near the sphere further deflect in the rotational direction. When the angular velocity exceeds , the flow separation point on the front side of the sphere becomes indistinguishable. The fluid near the sphere’s surface tends to follow the rotational path along the sphere’s contour and eventually merges with the downward flow on the rear side. This results in a transition in flow direction—from following the sphere’s surface to a pronounced downward movement. Moreover, with the further increase in angular velocity, the deflection of streamlines at the tail of the sphere becomes more prominent, indicating a stronger rotational influence on the wake structure.
Figure 30 presents the pressure distribution on the front and back surfaces of the sphere at the moment of cavitation onset (t = 13.5 ms) and during fully wetted flow (t = 45 ms). During the cavitation stage, the pressure distributions under different rotational angular velocities show minimal variation between the front and back surfaces. In all cases, high pressure is observed at the top of the sphere, gradually decreasing toward the bottom and reaching a minimum within the cavity. In contrast, under fully wetted conditions, the pressure distribution exhibits clear differences between the front and back surfaces of the sphere, as previously discussed. The rotation of the sphere enhances this asymmetry. It is observed that at an angular velocity of ω, the pressure difference between the front and back surfaces reaches its maximum. However, as the rotation speed increases further (2ω, 3ω, and 4ω), the difference in pressure distribution between the two sides gradually decreases, and the differences among these three cases become negligible.
Interestingly, with increasing angular velocity, more pronounced pressure fluctuations are observed on the back side of the sphere compared to the front. The locations where these fluctuations originate tend to shift along the rotational direction of the sphere. This behavior can be attributed to the fact that, on the back side, the rotational direction of the sphere is opposite to the direction of fluid flow. This counteraction may promote phenomena such as flow separation and vortex shedding to occur earlier, thereby altering the location of pressure fluctuation generation on the rear side.

5. Conclusions

In this study, a numerical simulation model of a spherical body undergoing underwater launch was established to investigate cavitating flows under various rotational speeds. In the simulations, the fluid viscosity μ and the surface tension σ were simplified as constants and assumed not to vary with temperature. Based on the simulations, the following conclusions were drawn:
(1)
The rotational motion of the sphere significantly alters the vortex structures both around the body and at the nozzle. The sphere’s rotation disturbs the surrounding flow field, leading to asymmetric vortex patterns and inducing distinct morphologies in the vortex-induced cavitation bubbles at the tube mouth. As the sphere progresses through the water, these differences in cavitation structure grow more pronounced. Due to the shear effects from the wall, shoulder cavities become increasingly asymmetric. Variations in cavity morphology and collapse behavior directly affect the hydrodynamic loads acting on the sphere. Under rotational conditions, the sphere experiences more pronounced asymmetric loads and exhibits a greater degree of trajectory deviation compared to non-rotating conditions.
(2)
Following the detachment of the trailing cavity, the asymmetric distribution of nozzle and shoulder cavities continues to influence the sphere during underwater travel. Rotation shifts the rupture location of the trailing cavity, which in turn significantly affects the development of the re-entrant jet at the bottom of the sphere. Rotational motion promotes a more developed re-entrant jet with reduced deflection angles, resulting in noticeable differences in cavity shedding behavior and the wetted area distribution on the sphere’s surface.
(3)
As the sphere moves through the water, rotational shear along its surface modifies the surrounding flow patterns. In the non-rotating case, the flow separation and cavitation inception points are symmetrically distributed along the sphere’s surface. However, under rotational motion, the separation point shifts downstream on the forward-facing side in the direction of rotation, remaining consistently below the cavitation initiation point.
(4)
The impact of rotational speed on flow evolution varies with angular velocity of the sphere. Rotation-induced modification of the vortex structures directly contributes to the observed differences in cavitation morphology. As the angular velocity increases, the degree of fluid indentation near the vortex cavitation at the nozzle also increases. Notably, the development of the re-entrant jet does not increase monotonically with angular velocity. Instead, it reaches a maximum intensity at 3ω and subsequently weakens.
In future studies, the influence of temperature on fluid properties such as dynamic viscosity μ   and surface tension σ   should be considered, as their variations can significantly affect cavitation dynamics and bubble collapse behavior. Additionally, a more comprehensive investigation of the effects of ejection velocity and rotational motion along different axes on cavitating flows is warranted. Furthermore, a systematic comparison between numerical simulations and experimental data will be conducted to validate the CFD models under a wider range of conditions. Such studies would provide deeper insights into the coupled interactions between rotation, translation, and cavitation phenomena, and improve the predictive capability of numerical models for underwater launch scenarios.

Author Contributions

Conceptualization, T.S. and G.Z.; Methodology, H.X., M.W. and T.S.; Software, M.W.; Formal analysis, H.X., M.W., Z.Z. and T.S.; Investigation, H.X., M.W. and G.Z.; Resources, H.X., Z.Z., T.S. and G.Z.; Data curation, H.X., M.W., Z.Z. and T.S.; Writing – review & editing, H.X., M.W., Z.Z. and G.Z.; Supervision, T.S.; Project administration, T.S.; Funding acquisition, T.S. and H.X. All authors have read and agreed to the published version of the manuscript.

Funding

This work was supported by the The National Natural Science Foundation of China (52431010), The Education Innovation Group Joint Fund of China (8091B042205), and China Postdoctoral Science Foundation (2024M750327).

Data Availability Statement

The data that support the findings of this study are available from the correspond ding author upon reasonable request.

Conflicts of Interest

The authors declare no conflict of interest.

References

  1. Shi, Y.; Lu, J.; Gao, S.; Pan, G.; Ren, J. Experimental study on the cavitation flow and motion characteristics of the vehicle launched underwater. Int. J. Nav. Archit. Ocean Eng. 2023, 15, 100492. [Google Scholar] [CrossRef]
  2. Wang, J.; Shi, D.; Ma, G.; Fang, M.; Lu, J.; Zhang, L.; Liu, W.; Xing, S. Experimental research on pulsation shedding characteristics of tail cavities attached to underwater vehicles based on the U-net cavity boundary identification method. Ocean Eng. 2025, 316, 119811. [Google Scholar] [CrossRef]
  3. Ji, B.; Luo, X.W.; Arndt, R.E.A.; Peng, X.; Wu, Y. Large Eddy Simulation and theoretical investigations of the transient cavitating vortical flow structure around a NACA66 hydrofoil. Int. J. Multiph. Flow 2015, 68, 121–134. [Google Scholar] [CrossRef]
  4. Bensow, R.E.; Bark, G. Implicit LES Predictions of the Cavitating Flow on a Propeller. J. Fluids Eng. 2010, 132, 041302. [Google Scholar] [CrossRef]
  5. Zhao, Q.; Chen, T.; Xiao, W.; Chen, X.; Yao, X.; Wang, W. Research on the characteristics of cavitation flow and pressure load during vertical water exit of different head-shaped vehicles. Ocean Eng. 2022, 265, 112663. [Google Scholar] [CrossRef]
  6. Shi, Y.; Ren, J.; Gao, S.; Pan, G.; Lu, J. Simulation research on the outlet cavity features in the underwater launching process. Ocean Eng. 2023, 267, 113278. [Google Scholar] [CrossRef]
  7. Lin, W.; Sun, T.; Xu, H.; Duan, J. Cavity evolution of ventilated vehicle launch under a rolling condition. Phys. Fluids 2023, 35, 113318. [Google Scholar] [CrossRef]
  8. Xu, H.; Wei, Y.; Wang, C.; Lu, J. On wake vortex encounter of axial-symmetric projectiles launched successively underwater. Ocean Eng. 2019, 189, 106382. [Google Scholar] [CrossRef]
  9. Lu, J.; Wang, C.; Song, W.; Wei, Y.; Yu, D.; Li, Y. Experimental investigation on interference characteristics of projectiles launched successively underwater. Ocean. Eng. 2022, 250, 110824. [Google Scholar] [CrossRef]
  10. Gao, S.; Shi, Y.; Pan, G.; Quan, X. The transient vortex structure in the wake of an axial-symmetric projectile launched underwater. Phys. Fluids 2022, 34, 065109. [Google Scholar] [CrossRef]
  11. Wang, G.; Wang, W.; Zhang, T.; Wang, C. Experimental study of jet and cavity coupling under vertical motion of underwater vehicle. Appl. Ocean Res. 2024, 150, 104124. [Google Scholar] [CrossRef]
  12. Gao, S.; Shi, Y.; Zhang, G.; Pan, G.; Guo, Y. Analysis of the transient multiphase structure and motion characteristics of projectiles launched successively. Phys. Fluids 2025, 37, 015209. [Google Scholar] [CrossRef]
  13. Wang, Y.; Huang, C.; Fang, X.; Wu, X.; Du, T. On the internal collapse phenomenon at the closure of cavitation bubbles in a deceleration process of underwater vertical launching. Appl. Ocean Res. 2016, 56, 157–165. [Google Scholar] [CrossRef]
  14. Gan, N.; Yao, X.; Cheng, S.; Chen, Y.; Ma, G. Experimental investigation on dynamic characteristics of ventilation bubbles on the surface of a vertical moving body. Ocean Eng. 2022, 246, 110641. [Google Scholar] [CrossRef]
  15. Cao, J.; Lu, C.; Chen, Y.; Chen, X.; Li, J. Research on the Base Cavity of a Sub-Launched Projectile. J. Hydrodyn. 2012, 24, 244–249. [Google Scholar] [CrossRef]
  16. Ren, Z.; Wang, X.; Cheng, S.; Quan, X.; Yu, Z. Numerical study on the pulsation characteristics of tail cavities under vertical launching conditions. Ocean. Eng. 2024, 305, 117948. [Google Scholar] [CrossRef]
  17. Liu, H.; Li, S.; Fu, D.; Bi, F. Underwater ejection multifield coupling model and response characteristics. Ocean Eng. 2023, 274, 114021. [Google Scholar] [CrossRef]
  18. Brandner, P.A.; Walker, G.J.; Niekamp, P.N.; Anderson, B. An experimental investigation of cloud cavitation about a sphere. J. Fluid Mech. 2010, 656, 147–176. [Google Scholar] [CrossRef]
  19. Pendar, M.-R.; Roohi, E. Cavitation characteristics around a sphere: An LES investigation. Int. J. Multiph. Flow 2018, 98, 1–23. [Google Scholar] [CrossRef]
  20. Cheng, X.; Shao, X.; Zhang, L. The characteristics of unsteady cavitation around a sphere. Phys. Fluids 2019, 31, 042103. [Google Scholar] [CrossRef]
  21. Long, Y.; Long, X.; Ji, B. LES investigation of cavitating flows around a sphere with special emphasis on the cavitation–vortex interactions. Acta Mech. Sin. 2020, 36, 1238–1257. [Google Scholar] [CrossRef]
  22. Constantinescu, G.; Squires, K. Numerical investigations of flow over a sphere in the subcritical and supercritical regimes. Phys. Fluids 2004, 16, 1449–1466. [Google Scholar] [CrossRef]
  23. Kolahan, A.; Roohi, E.; Pendar, M.-R. Wavelet analysis and frequency spectrum of cloud cavitation around a sphere. Ocean Eng. 2019, 182, 235–247. [Google Scholar] [CrossRef]
  24. Chen, Y.; Li, J.; Gong, Z.; Chen, X.; Lu, C. LES investigation on cavitating flow structures and loads of water-exiting submerged vehicles using a uniform filter of octree-based grids. Ocean Eng. 2021, 225, 108811. [Google Scholar] [CrossRef]
  25. Sun, T.; Zhang, X.; Zhang, J.; Wang, C. Experimental Study on the Unsteady Natural Cloud Cavities: Influence of Cavitation Number on Cavity Evolution and Pressure Pulsations. J. Mar. Sci. Eng. 2021, 9, 487. [Google Scholar] [CrossRef]
  26. Shao, S.; Wu, Y.; Haynes, J.; Arndt, R.E.A.; Hong, J. Investigation into the behaviors of ventilated supercavities in unsteady flow. Phys. Fluids 2018, 30, 052102. [Google Scholar] [CrossRef]
  27. Guo, J.; Lu, C.; Chen, Y. Characteristics of flow field around an underwater projectile with natural and ventilated cavitation. J. Shanghai Jiaotong Univ. (Sci.) 2011, 16, 236–241. [Google Scholar] [CrossRef]
  28. Pendar, M.-R.; Roohi, E. Investigation of cavitation around 3D hemispherical head-form body and conical cavitators using different turbulence and cavitation models. Ocean Eng. 2016, 112, 287–306. [Google Scholar] [CrossRef]
  29. Sun, T.; Shi, C.; Zhang, G.; Zhou, B.; Wang, H. Cavity dynamics of vertical water entry of a truncated cone–cylinder body with different angles of attack. Phys. Fluids 2021, 33, 055129. [Google Scholar] [CrossRef]
  30. Liu, Y.; Zhang, H.; Zhang, W.; Wang, B. Bubble size distribution at early stage of hydrodynamic cloud cavitation. Phys. Fluids 2023, 35, 063305. [Google Scholar] [CrossRef]
  31. Tian, B.; Zong, Z.; Wu, Y.; Huang, B.; Liu, D. Mechanism of multiscale cavitation induced pressure pulses on a propeller. Phys. Rev. Fluids 2024, 9, 104124. [Google Scholar] [CrossRef]
  32. Wang, Z.; Cheng, H.; Bensow, R.E.; Ji, B. Numerical evaluation of the bubble dynamic influence on the characteristics of multiscale cavitating flow in the bluff body wake. Int. J. Multiph. Flow 2024, 175, 104818. [Google Scholar] [CrossRef]
  33. Cheng, H.Y.; Bai, X.R.; Long, X.P.; Ji, B.; Peng, X.X.; Farhat, M. Large eddy simulation of the tip-leakage cavitating flow with an insight on how cavitation influences vorticity and turbulence. Appl. Math. Model. 2020, 77, 788–809. [Google Scholar] [CrossRef]
  34. Novikov, S.P.; Shmel’Tser, I. Periodic solutions of Kirchhoff’s equations for the free motion of a rigid body in a fluid and the extended theory of Lyusternik- Shnirel’man &- morse(LSM). I. Funct. Anal. Its Appl. 1982, 15, 197–207. [Google Scholar]
  35. Ershkov, S.V.; Christianto, V.; Shamin, R.V.; Giniyatullin, A.R. About analytical ansatz to the solving procedure for Kelvin–Kirchhoff equations. Eur. J. Mech.-B/Fluids 2020, 79, 87–91. [Google Scholar] [CrossRef]
  36. Miloh, T.; Landweber, L. Generalization of the Kelvin-Kirchhoff equations for the motion of a body through a fluid. Phys. Fluids 1981, 24, 6–9. [Google Scholar] [CrossRef]
  37. Chashechkin, Y.D. Discrete and continuous symmetries of stratified flows past a sphere. Symmetry 2022, 14, 1278. [Google Scholar] [CrossRef]
  38. Chashechkin, Y.D.; Levitskiy, V.V. Pattern of flow around a sphere oscillating an neutrally buoyancy horizon in a continuously stratified fluid. J. Vis. 2003, 6, 59–65. [Google Scholar] [CrossRef]
  39. Landahl, M.; Mollo-Christensen, E. Turbulence and Random Processes in Fluid Mechanics; Cambridge University Press: Cambridge, UK, 1992. [Google Scholar]
  40. Choi, H.; Moin, P. Grid-point requirements for large eddy simulation: Chapman’s estimates revisited. Phys. Fluids 2012, 24, 011702. [Google Scholar] [CrossRef]
  41. Kasagi, N.; Shikazono, N. Contribution of direct numerical simulation to understanding and modelling turbulent transport. Proceedings of the Royal Society of London. Ser. A Math. Phys. Sci. 1995, 451, 257–292. [Google Scholar]
  42. Yang, X.I.A.; Griffin, K.P. Grid-point and time-step requirements for direct numerical simulation and large-eddy simulation. Phys. Fluids 2021, 33, 015108. [Google Scholar] [CrossRef]
  43. Argyropoulos, C.D.; Markatos, N.C. Recent advances on the numerical modelling of turbulent flows. Appl. Math. Model. 2015, 39, 693–732. [Google Scholar] [CrossRef]
  44. Wilcox, D.C. Turbulence Modeling for CFD; DCW Industries: La Canada, CA, USA, 1998. [Google Scholar]
  45. Bensow, R.; Fureby, C.; Liefvendahl, M.; Persson, T. A comparative study of RANS, DES and LES. In Proceedings of the Twenty-Sixth Symposium on Naval Hydrodynamics, 2006, Rome, Italy, 17–22 September 2006. [Google Scholar]
  46. Breuer, M.; Jovičić, N.; Mazaev, K. Comparison of DES, RANS and LES for the separated flow around a flat plate at high incidence. Int. J. Numer. Methods Fluids 2003, 41, 357–388. [Google Scholar] [CrossRef]
  47. Fox, R.O. Large-eddy-simulation tools for multiphase flows. Annu. Rev. Fluid Mech. 2012, 44, 47–76. [Google Scholar] [CrossRef]
  48. Piomelli, U. Large-eddy simulation: Achievements and challenges. Prog. Aerosp. Sci. 1999, 35, 335–362. [Google Scholar] [CrossRef]
  49. Rodi, W. Comparison of LES and RANS calculations of the flow around bluff bodies. J. Wind Eng. Ind. Aerodyn. 1997, 69, 55–75. [Google Scholar] [CrossRef]
  50. Spalart, P.R. Detached-eddy simulation. Annu. Rev. Fluid Mech. 2009, 41, 181–202. [Google Scholar] [CrossRef]
  51. Spalart, P.; Deck, S.; Shur, M.; Squires, K.; Strelets, M.K.; Travin, A. A New Version of Detached-Eddy Simulation. Resistant to Ambigious Grid Densities. Theor. Comput. Fluid Dyn. 2005, 20, 181–195. [Google Scholar] [CrossRef]
  52. Shur, M.L.; Spalart, P.R.; Strelets, M.K.; Travin, A.K. A hybrid RANS-LES approach with delayed-DES and wall-modelled LES capabilities. Int. J. Heat Fluid Flow 2008, 29, 1638–1649. [Google Scholar] [CrossRef]
  53. Apte, D.; Ge, M.; Zhang, G.; Coutier-Delgosha, O. Numerical investigation of three-dimensional effects of hydrodynamic cavitation in a Venturi tube. Ultrason. Sonochemistry 2024, 111, 107122. [Google Scholar] [CrossRef] [PubMed]
  54. Gao, S.; Shi, Y.; Pan, G.; Quan, X. A study on the performance of the cavitating flow structure and load characteristics of the vehicle launched underwater. Phys. Fluids 2022, 34, 125108. [Google Scholar] [CrossRef]
  55. Zhang, S.; Xu, H.; Sun, T.; Duan, J. Water-exit dynamics of a ventilated underwater vehicle in wave environments with a combination of computational fluid dynamics and machine learning. Phys. Fluids 2024, 36, 023312. [Google Scholar] [CrossRef]
  56. Hirt, C.W.; Nichols, B.D. Volume of fluid (VOF) method for the dynamics of free boundaries. J. Comput. Phys. 1981, 39, 201–225. [Google Scholar] [CrossRef]
  57. Rayleigh, L. On the pressure developed in a liquid during the collapse of a spherical cavity: Philosophical Magazine Series. Lond. Edinb. Dublin Philos. Mag. J. Sci. 1917, 34, 94–98. [Google Scholar] [CrossRef]
  58. Plesset, M.S.; Prosperetti, A. Bubble dynamics and cavitation. Annu. Rev. Fluid Mech. 1977, 9, 145–185. [Google Scholar] [CrossRef]
  59. Sauer, J.; Schnerr, G. Development of a new cavitation model based on bubble dynamics. ZAMM-J. Appl. Math. Mech./Z. Für Angew. Math. Und Mech. 2001, 81 (Suppl. S3), 561–562. [Google Scholar] [CrossRef]
  60. De Giorgi, M.G.; Ficarella, A.; Fontanarosa, D. Numerical investigation of nonisothermal cavitating flows on hydrofoils by means of an extended schnerr–sauer model coupled with a nucleation model. J. Eng. Gas Turbines Power 2020, 142, 041003. [Google Scholar] [CrossRef]
  61. Wang, H.; Huang, Z.; Huang, D.; Hou, Y.; Chen, Z.; Guo, Z.; Sun, S.; Xue, R. Influences of floating ice on the vertical water entry process of a trans-media projectile at high speeds. Ocean Eng. 2022, 265, 112548. [Google Scholar] [CrossRef]
  62. Zheng, X.; Liu, L.; Guo, P.; Hong, F.; Luo, X. Improved Schnerr-Sauer cavitation model for unsteady cavitating flow on NACA66. In IOP Conference Series: Earth and Environmental Science; IOP Publishing: Bristol, UK, 2018; p. 012020. [Google Scholar]
Figure 1. Schematic diagram of the computational domain.
Figure 1. Schematic diagram of the computational domain.
Jmse 13 02331 g001
Figure 2. Comparison of the cavity under submerged conditions (σ = 0.4, Re = 1.5 × 106) (a) Experiment, (b) Simulation.
Figure 2. Comparison of the cavity under submerged conditions (σ = 0.4, Re = 1.5 × 106) (a) Experiment, (b) Simulation.
Jmse 13 02331 g002
Figure 3. Schematic diagram of mesh generation.
Figure 3. Schematic diagram of mesh generation.
Jmse 13 02331 g003
Figure 4. Cavitation evolution under different mesh densities.
Figure 4. Cavitation evolution under different mesh densities.
Jmse 13 02331 g004
Figure 5. Sphere acceleration under different mesh densities.
Figure 5. Sphere acceleration under different mesh densities.
Jmse 13 02331 g005
Figure 6. Cavitation evolution under different time steps.
Figure 6. Cavitation evolution under different time steps.
Jmse 13 02331 g006
Figure 7. Variation of fluid phase distribution during the ejection stage.
Figure 7. Variation of fluid phase distribution during the ejection stage.
Jmse 13 02331 g007
Figure 8. Evolution of nozzle vortex cavitation.
Figure 8. Evolution of nozzle vortex cavitation.
Jmse 13 02331 g008
Figure 9. Nozzle vortex structure.
Figure 9. Nozzle vortex structure.
Jmse 13 02331 g009
Figure 10. Cavitation structure at t = 11.2 ms.
Figure 10. Cavitation structure at t = 11.2 ms.
Jmse 13 02331 g010
Figure 11. Cavitation evolution under different rotational conditions at (a) t = 11.7 ms (b) t = 12.4 ms.
Figure 11. Cavitation evolution under different rotational conditions at (a) t = 11.7 ms (b) t = 12.4 ms.
Jmse 13 02331 g011
Figure 12. Cavity volume variation under steady condition and rotational condition.
Figure 12. Cavity volume variation under steady condition and rotational condition.
Jmse 13 02331 g012
Figure 13. Pressure distribution on the sphere surface under different rotational conditions.
Figure 13. Pressure distribution on the sphere surface under different rotational conditions.
Jmse 13 02331 g013
Figure 14. Pressure distribution on the cross-section of the sphere under different rotational conditions at (a) t = 14 ms (b) t = 45 ms.
Figure 14. Pressure distribution on the cross-section of the sphere under different rotational conditions at (a) t = 14 ms (b) t = 45 ms.
Jmse 13 02331 g014
Figure 15. Motion characteristics of the sphere under different rotational conditions. (a) Spatial trajectory, (b) Temporal variation.
Figure 15. Motion characteristics of the sphere under different rotational conditions. (a) Spatial trajectory, (b) Temporal variation.
Jmse 13 02331 g015
Figure 16. Flow characteristics under different rotational conditions.
Figure 16. Flow characteristics under different rotational conditions.
Jmse 13 02331 g016
Figure 17. Flow separation and cavity interface distribution on the sphere surface under different boundary conditions.
Figure 17. Flow separation and cavity interface distribution on the sphere surface under different boundary conditions.
Jmse 13 02331 g017
Figure 18. Cavity interface distribution on the sphere surface after the influence of the reject flow.
Figure 18. Cavity interface distribution on the sphere surface after the influence of the reject flow.
Jmse 13 02331 g018
Figure 19. Flow distribution after the influence of the rebound flow.
Figure 19. Flow distribution after the influence of the rebound flow.
Jmse 13 02331 g019
Figure 20. Vortex structures near the sphere (Q = 100/s).
Figure 20. Vortex structures near the sphere (Q = 100/s).
Jmse 13 02331 g020
Figure 21. Evolution of the cavity interface during the ejection process.
Figure 21. Evolution of the cavity interface during the ejection process.
Jmse 13 02331 g021
Figure 22. Cavitation characteristics under different rotation conditions.
Figure 22. Cavitation characteristics under different rotation conditions.
Jmse 13 02331 g022
Figure 23. Reject flow structures under different ejection conditions.
Figure 23. Reject flow structures under different ejection conditions.
Jmse 13 02331 g023
Figure 24. Gas–liquid phase distribution in the launch tube under different rotational speeds.
Figure 24. Gas–liquid phase distribution in the launch tube under different rotational speeds.
Jmse 13 02331 g024
Figure 25. Concave structures of cavitation bubbles under different rotational speeds.
Figure 25. Concave structures of cavitation bubbles under different rotational speeds.
Jmse 13 02331 g025
Figure 26. Reject flow structures under different rotational speeds.
Figure 26. Reject flow structures under different rotational speeds.
Jmse 13 02331 g026
Figure 27. Velocity of reject flow under different rotational speeds.
Figure 27. Velocity of reject flow under different rotational speeds.
Jmse 13 02331 g027
Figure 28. Length of reflux flow structure under different rotational speeds.
Figure 28. Length of reflux flow structure under different rotational speeds.
Jmse 13 02331 g028
Figure 29. Flow characteristics under different rotational speeds.
Figure 29. Flow characteristics under different rotational speeds.
Jmse 13 02331 g029
Figure 30. Pressure distribution on cross-sections of the sphere under different rotational speeds.
Figure 30. Pressure distribution on cross-sections of the sphere under different rotational speeds.
Jmse 13 02331 g030
Disclaimer/Publisher’s Note: The statements, opinions and data contained in all publications are solely those of the individual author(s) and contributor(s) and not of MDPI and/or the editor(s). MDPI and/or the editor(s) disclaim responsibility for any injury to people or property resulting from any ideas, methods, instructions or products referred to in the content.

Share and Cite

MDPI and ACS Style

Xu, H.; Wang, M.; Zhou, Z.; Sun, T.; Zhang, G. Unsteady Flow and Loading Characteristics of Rotating Spheres During Underwater Ejection. J. Mar. Sci. Eng. 2025, 13, 2331. https://doi.org/10.3390/jmse13122331

AMA Style

Xu H, Wang M, Zhou Z, Sun T, Zhang G. Unsteady Flow and Loading Characteristics of Rotating Spheres During Underwater Ejection. Journal of Marine Science and Engineering. 2025; 13(12):2331. https://doi.org/10.3390/jmse13122331

Chicago/Turabian Style

Xu, Hao, Mingyang Wang, Zhou Zhou, Tiezhi Sun, and Guiyong Zhang. 2025. "Unsteady Flow and Loading Characteristics of Rotating Spheres During Underwater Ejection" Journal of Marine Science and Engineering 13, no. 12: 2331. https://doi.org/10.3390/jmse13122331

APA Style

Xu, H., Wang, M., Zhou, Z., Sun, T., & Zhang, G. (2025). Unsteady Flow and Loading Characteristics of Rotating Spheres During Underwater Ejection. Journal of Marine Science and Engineering, 13(12), 2331. https://doi.org/10.3390/jmse13122331

Note that from the first issue of 2016, this journal uses article numbers instead of page numbers. See further details here.

Article Metrics

Back to TopTop