Sign in to use this feature.

Years

Between: -

Subjects

remove_circle_outline
remove_circle_outline
remove_circle_outline
remove_circle_outline
remove_circle_outline
remove_circle_outline

Journals

Article Types

Countries / Regions

Search Results (36)

Search Parameters:
Keywords = intermolecular cyclization

Order results
Result details
Results per page
Select all
Export citation of selected articles as:
10 pages, 1536 KB  
Communication
Metal-Free Synthesis of Benzimidazolinones via Oxidative Cyclization Under Hypervalent Iodine Catalysis
by Mayu Hirashima, Syotaro Hamatani, Hirotaka Sasa, Naoko Takenaga, Tomonori Hanasaki and Toshifumi Dohi
Chemistry 2025, 7(2), 50; https://doi.org/10.3390/chemistry7020050 - 31 Mar 2025
Viewed by 1324
Abstract
Benzimidazolinones exhibit unique biological activities and serve as building blocks in synthesizing pharmaceutical compounds. Although multiple synthetic approaches involving intermolecular cyclization reactions have been reported, intramolecular cyclization reactions are scarce, and more rational synthetic methods are required. Hypervalent iodine-catalyzed oxidative C–N coupling is [...] Read more.
Benzimidazolinones exhibit unique biological activities and serve as building blocks in synthesizing pharmaceutical compounds. Although multiple synthetic approaches involving intermolecular cyclization reactions have been reported, intramolecular cyclization reactions are scarce, and more rational synthetic methods are required. Hypervalent iodine-catalyzed oxidative C–N coupling is a potentially effective approach for synthesizing benzimidazolinones under metal-free conditions. In this study, we present a method utilizing hypervalent iodine catalysis for the oxidative cyclization of N’-aryl urea compounds, resulting in the first metal-free synthesis of various benzimidazolinones. Full article
(This article belongs to the Section Molecular Organics)
Show Figures

Figure 1

16 pages, 5269 KB  
Article
X-Ray Shielding Polymer Based on Sequential Polycondensation of BiPh3 and Carboxylic Acids and Radical Polymerization
by Bungo Ochiai, Ryo Kamiya, Yoshimasa Matsumura, Hiroyasu Tanaka, Hideki Ueda, Kazuyoshi Uera, Kikuo Furukawa and Yoshio Nishimura
Polymers 2025, 17(2), 134; https://doi.org/10.3390/polym17020134 - 8 Jan 2025
Cited by 1 | Viewed by 1605
Abstract
Transparent X-ray shielding polymer films were developed by bulk photo copolymerization of in situ prepared bismuth carboxylate prepolymers with polymerizable exomethylene moieties and N,N-dimethylacrylamide (DMAA). The bismuth-containing prepolymers were prepared via the polycondensation of BiPh3, 2-octenylsuccinic acid (OSA), [...] Read more.
Transparent X-ray shielding polymer films were developed by bulk photo copolymerization of in situ prepared bismuth carboxylate prepolymers with polymerizable exomethylene moieties and N,N-dimethylacrylamide (DMAA). The bismuth-containing prepolymers were prepared via the polycondensation of BiPh3, 2-octenylsuccinic acid (OSA), and itaconic acid (IA) bearing an exomethylene group for polymerization. OSA was a chain extender by intermolecular condensation and a stopper by intramolecular cyclization to inhibit cross-linkage. The resulting photocured films exhibit high visible-light transparency and high nD, reaching 1.57. The X-ray shielding ability increased with the bismuth content and reached an aluminum equivalent of 0.80. Full article
(This article belongs to the Section Polymer Chemistry)
Show Figures

Figure 1

22 pages, 10199 KB  
Article
Novel Benzimidazole-Endowed Chalcones as α-Glucosidase and α-Amylase Inhibitors: An Insight into Structural and Computational Studies
by Prashasthi V. Rai, Ramith Ramu, P. Akhileshwari, Sudharshan Prabhu, Nupura Manish Prabhune, P. V. Deepthi, P. T. Anjana, D. Ganavi, A. M. Vijesh, Khang Wen Goh, Mohammad Z. Ahmed and Vasantha Kumar
Molecules 2024, 29(23), 5599; https://doi.org/10.3390/molecules29235599 - 27 Nov 2024
Cited by 6 | Viewed by 2371
Abstract
In search of novel antidiabetic agents, we synthesized a new series of chalcones with benzimidazole scaffolds by an efficient ‘one-pot’ nitro reductive cyclization method and evaluated their α-glucosidase and α-amylase inhibition studies. The ‘one-pot’ nitro reductive cyclization method offered a simple route for [...] Read more.
In search of novel antidiabetic agents, we synthesized a new series of chalcones with benzimidazole scaffolds by an efficient ‘one-pot’ nitro reductive cyclization method and evaluated their α-glucosidase and α-amylase inhibition studies. The ‘one-pot’ nitro reductive cyclization method offered a simple route for the preparation of benzimidazoles with excellent yield and higher purity compared to the other conventional acid- or base-catalyzed cyclization methods. 1H, 13C NMR, IR, and mass spectrum data were used to characterize the compounds. Single-crystal XRD data confirmed the 3D structure of compound 7c, which was crystalized in the P1¯ space group of the triclinic crystal system. Hirshfeld surface analysis validates the presence of O-H..O, O-H…N, and C-H…O intermolecular hydrogen bonds. From the DFT calculations, the energy gap between the frontier molecular orbitals in 7c was found to be 3.791 eV. From the series, compound 7l emerged as a potent antidiabetic agent with IC50 = 22.45 ± 0.36 µg/mL and 20.47 ± 0.60 µg/mL against α-glucosidase and α-amylase enzymes, respectively. The in silico molecular docking studies revealed that compound 7l has strong binding interactions with α-glucosidase and α-amylase proteins. Molecular dynamics studies also revealed the stability of compound 7l with α-glucosidase and α-amylase proteins. Full article
(This article belongs to the Section Medicinal Chemistry)
Show Figures

Graphical abstract

25 pages, 9062 KB  
Review
Macrocyclic Organic Peroxides: Constructing Medium and Large Cycles with O-O Bonds
by Yana A. Barsegyan, Vera A. Vil’ and Alexander O. Terent’ev
Chemistry 2024, 6(5), 1246-1270; https://doi.org/10.3390/chemistry6050072 - 15 Oct 2024
Cited by 2 | Viewed by 2297
Abstract
Macrocycles bridge the gap between conventional small molecules and polymers. Drawing inspiration from successful carbon heteroatom-containing macrocycles, peroxide-containing macrocycles are gaining attention for enhanced bioactivity, potential chelating properties, and applications in energetic materials. This review presents the following strategies for the construction of [...] Read more.
Macrocycles bridge the gap between conventional small molecules and polymers. Drawing inspiration from successful carbon heteroatom-containing macrocycles, peroxide-containing macrocycles are gaining attention for enhanced bioactivity, potential chelating properties, and applications in energetic materials. This review presents the following strategies for the construction of cyclic peroxides with 10- to 36-membered frameworks: (1) the intramolecular iodocyclization of hydroperoxides, (2) the intermolecular cyclization of hydroperoxides with alkyl dihalides or carbonyls, (3) the acid-catalyzed rearrangements of ozonides or 11-membered cyclic triperoxides via oxy- or peroxycarbenium ions, and (4) the peroxidation of carbonyls targeting macrocyclic peroxides. The specific agents that allow for the selective construction of the medium and large cycles are also analyzed. Full article
(This article belongs to the Section Molecular Organics)
Show Figures

Figure 1

14 pages, 4225 KB  
Article
A Theoretical Investigation into the Oligomer Structure of Carbon Dots Formed from Small-Molecule Precursors
by Chunlan Li, Xu Zhu and Maotian Xu
Molecules 2024, 29(12), 2920; https://doi.org/10.3390/molecules29122920 - 19 Jun 2024
Cited by 1 | Viewed by 1407
Abstract
In-depth insights into the oligomers of carbon dots (CDs) prepared from small-molecule precursors are important in the study of the carbonization mechanism of CDs and for our knowledge of their complex structure. Herein, citric acid (CA) and ethylenediamine (EDA) were used as small-molecule [...] Read more.
In-depth insights into the oligomers of carbon dots (CDs) prepared from small-molecule precursors are important in the study of the carbonization mechanism of CDs and for our knowledge of their complex structure. Herein, citric acid (CA) and ethylenediamine (EDA) were used as small-molecule precursors to prepare CDs in an aqueous solution. The structure of oligomers acquired from CA and EDA in different molar ratios and their formation process were first studied using density functional theory, including the dispersion correction (DFT-D3) method. The results showed that the energy barrier of dimer cyclization was higher than that of its linear polymerization, but the free energy of the cyclized product was much lower than that of its reactant, and IPCA (5-oxo-1,-2,3,5-tetrahydroimidazo [1,2-a]pyridine-7-carboxylic acid) could therefore be obtained under certain conditions. The oligomers obtained from different molar ratios of EDA and CA were molecular clusters formed by short polyamide chains through intermolecular forces; with the exception of when the molar ratio of EDA to CA was 0.5, excessive CA did not undergo an amidation reaction but rather attained molecular clusters directly through intermolecular forces. These oligomers exhibited significant differences in their surface functional groups, which would affect the carbonization process and the surface structure of CDs. Full article
Show Figures

Graphical abstract

39 pages, 15198 KB  
Review
Recent Advances in Manganese(III)-Assisted Radical Cyclization for the Synthesis of Natural Products: A Comprehensive Review
by Emre Biçer and Mehmet Yılmaz
Molecules 2024, 29(10), 2264; https://doi.org/10.3390/molecules29102264 - 11 May 2024
Cited by 6 | Viewed by 4059
Abstract
Natural products play an important part in synthetic chemistry since they have many pharmacological properties and are used as active drug compounds in pharmaceutical chemistry. However, synthesis of these complex molecules is difficult due to the requirement of various synthetic steps, which include [...] Read more.
Natural products play an important part in synthetic chemistry since they have many pharmacological properties and are used as active drug compounds in pharmaceutical chemistry. However, synthesis of these complex molecules is difficult due to the requirement of various synthetic steps, which include highly regio- and stereoselectivity. Therefore, oxidative radical cyclization assisted by manganese(III) acetate serves as an important step in obtaining spiro-, tricyclic, tetracyclic, and polycyclic derivatives of these compounds. Manganese(III)-based reactions offer a single-step regio- and stereoselective cyclizations and α-acetoxidations, reducing the number of synthetic steps. Also, the manganese(III)-mediated oxidative free radical cyclization method has been successfully applied for the synthesis of cyclic structures found in many natural products. This article presents a broad overview of manganese(III)-based radical reactions of natural products as a key step in overall synthesis. The authors have classified natural product synthesis processes assisted by manganese(III) acetate as intermolecular, intramolecular, oxidation, acetoxidation, aromatization, and polymerization reactions, respectively. Full article
Show Figures

Scheme 1

21 pages, 2582 KB  
Communication
Efficient Functionalization of Organosulfones via Photoredox Catalysis: Direct Incorporation of α-Carbonyl Alkyl Side Chains into α-Allyl-β-Ketosulfones
by Hong-Li Huang, Shan Li, Yong-Zheng Lv, Ya-Qian Shi, Tian-Tian Pang, Ru-Fen Zhang, Wenjing Huang, Jianhui Yin and Fei Gao
Molecules 2024, 29(9), 1971; https://doi.org/10.3390/molecules29091971 - 25 Apr 2024
Cited by 3 | Viewed by 1430
Abstract
A novel and efficient method for functionalizing organosulfones has been established, utilizing a visible-light-driven intermolecular radical cascade cyclization of α-allyl-β-ketosulfones. This process employs fac-Ir(ppy)3 as the photoredox catalyst and α-carbonyl alkyl bromide as the oxidizing agent. Via [...] Read more.
A novel and efficient method for functionalizing organosulfones has been established, utilizing a visible-light-driven intermolecular radical cascade cyclization of α-allyl-β-ketosulfones. This process employs fac-Ir(ppy)3 as the photoredox catalyst and α-carbonyl alkyl bromide as the oxidizing agent. Via this approach, the substrates experience intermolecular addition of α-carbonyl alkyl radicals to the alkene bonds, initiating a sequence of C-C bond formations that culminate in the production of organosulfone derivatives. Notably, this technique features gentle reaction conditions and an exceptional compatibility with a wide array of functional groups, making it a versatile and valuable addition to the field of organic synthesis. Full article
Show Figures

Graphical abstract

14 pages, 1701 KB  
Article
Photoredox-Catalyzed Synthesis of 3-Sulfonylated Pyrrolin-2-ones via a Regioselective Tandem Sulfonylation Cyclization of 1,5-Dienes
by Ran Ding, Liang Li, Ya-Ting Yu, Bing Zhang and Pei-Long Wang
Molecules 2023, 28(14), 5473; https://doi.org/10.3390/molecules28145473 - 17 Jul 2023
Cited by 10 | Viewed by 2456
Abstract
A mild, visible-light-induced, regioselective cascade sulfonylation-cyclization of 1,5-dienes with sulfonyl chlorides through the intermolecular radical addition/cyclization of alkenes C(sp2)-H was developed. This procedure proceeds well and affords a mild and efficient route to a range of monosulfonylated pyrrolin-2-ones at room temperatures. Full article
(This article belongs to the Special Issue Photocatalytic Materials and Photocatalytic Reactions)
Show Figures

Figure 1

42 pages, 15158 KB  
Review
Visible Light Induced C-H/N-H and C-X Bonds Reactions
by Muhammad Siddique Ahmad, Po-Han Lin, Qing Zhang, Bing Zeng, Qifeng Wang and Kamel Meguellati
Reactions 2023, 4(1), 189-230; https://doi.org/10.3390/reactions4010012 - 2 Mar 2023
Cited by 6 | Viewed by 6188
Abstract
Herein, we report efficient visible light-induced photoredox reactions of C–H/N–H and C–X Bonds. These methods have provided access to varied portfolio of synthetically important γ-ketoesters, azaspirocyclic cyclohexadienones spirocyclohexadienones, multisubstituted benzimidazole derivatives, substituted N,2-diarylacetamide, 2-arylpyridines and 2-arylquinolines in good yields and under mild conditions. [...] Read more.
Herein, we report efficient visible light-induced photoredox reactions of C–H/N–H and C–X Bonds. These methods have provided access to varied portfolio of synthetically important γ-ketoesters, azaspirocyclic cyclohexadienones spirocyclohexadienones, multisubstituted benzimidazole derivatives, substituted N,2-diarylacetamide, 2-arylpyridines and 2-arylquinolines in good yields and under mild conditions. Moreover, we have successfully discussed the construction through visible light-induction by an intermolecular radical addition, dearomative cyclization, aryl migration and desulfonylation. Similarly, we also spotlight the visible light-catalyzed aerobic C–N bond activation from well-known building blocks through cyclization, elimination and aromatization. The potential use of a wide portfolio of simple ketones and available primary amines has made this transformation very attractive. Full article
(This article belongs to the Special Issue Feature Papers in Reactions in 2022)
Show Figures

Figure 1

1 pages, 188 KB  
Abstract
Pd-Catalyzed Cycloaddition of Bicyclic Aziridine with Isocyanates
by Mariana Crespo Monteiro, Carlos A. M. Afonso and Filipa Siopa
Med. Sci. Forum 2022, 14(1), 97; https://doi.org/10.3390/ECMC2022-13424 - 1 Nov 2022
Viewed by 1167
Abstract
Nitrogen-containing heterocycles can have several applications in the pharmaceutical industry since they contain a wide spectrum of biological activities. Imidazolidinones have shown activity against leukemia, lung cancer, and metabolic disorders. These cyclic urea frameworks can be obtained through transition-metal-catalyzed intermolecular cycloaddition using an [...] Read more.
Nitrogen-containing heterocycles can have several applications in the pharmaceutical industry since they contain a wide spectrum of biological activities. Imidazolidinones have shown activity against leukemia, lung cancer, and metabolic disorders. These cyclic urea frameworks can be obtained through transition-metal-catalyzed intermolecular cycloaddition using an aziridine moiety as the starting material. These reactions often provide effective one-step procedures that result in heterocyclic derivatives that are challenging to access through conventional approaches. We have previously described the photoreaction of butyl pyridinium salt with the corresponding bicyclic aziridine in continuous flow. Additionally, we reported that the palladium-catalyzed ring opening of bicyclic aziridines with active methylenes exhibited a new SN2’ selectivity. In this study, the reaction between bicyclic aziridines and several isocyanates, in the presence of Pd(0)-catalyst is presented. The reactions proceed through ring opening of the aziridine moiety, with the formation of the π-allylpalladium complex, followed by cyclization via nucleophilic addition of nitrogen to the isocyanate, affording regioselectively imidazolidinones. Full article
(This article belongs to the Proceedings of The 8th International Electronic Conference on Medicinal Chemistry)
20 pages, 1872 KB  
Communication
Enantioselective, Decarboxylative (3+2)-Cycloaddition of Azomethine Ylides and Chromone-3-Carboxylic Acids
by Ewelina Kowalska, Lesław Sieroń and Anna Albrecht
Molecules 2022, 27(20), 6809; https://doi.org/10.3390/molecules27206809 - 11 Oct 2022
Cited by 2 | Viewed by 2281
Abstract
Herein, we describe the synthesis of a variety of chiral hybrid pyrrolidine-chromanone polycyclic derivatives. A convenient (3+2)-annulation of azomethine ylides with chromone-3-carboxylic acid realized under Brønsted base catalysis produced highly functionalized products in high yields with good stereoselectivities through asymmetric, intermolecular, and decarboxylative [...] Read more.
Herein, we describe the synthesis of a variety of chiral hybrid pyrrolidine-chromanone polycyclic derivatives. A convenient (3+2)-annulation of azomethine ylides with chromone-3-carboxylic acid realized under Brønsted base catalysis produced highly functionalized products in high yields with good stereoselectivities through asymmetric, intermolecular, and decarboxylative (3+2)-cyclization. Full article
(This article belongs to the Special Issue Stereoselective Organic Synthesis: New Tools, New Perspectives)
Show Figures

Scheme 1

16 pages, 5440 KB  
Article
Awakening a Molecular Mummy: The Inter-and Intramolecular Photochemistry of Pyromellitic Diimides with Alkyl Carboxylates
by Wolfgang H. Kramer, Donya Razinoubakht, Gurjit Kaur, Axel Klein, Simon Garbe, Jörg Neudörfl, Sabrina Molitor, Anne Zimmer and Axel G. Griesbeck
Photochem 2022, 2(3), 717-732; https://doi.org/10.3390/photochem2030046 - 24 Aug 2022
Viewed by 2846
Abstract
Pyromellitic acid diimides are not as chemically unreactive as conjecturable (and presupposed) from their numerous applications as electron acceptor units or electron carriers in molecular donor–acceptor dyads or triads. Similar to the corresponding phthalimides, electronically excited pyromellitic diimides oxidize alkyl carboxylates in aqueous [...] Read more.
Pyromellitic acid diimides are not as chemically unreactive as conjecturable (and presupposed) from their numerous applications as electron acceptor units or electron carriers in molecular donor–acceptor dyads or triads. Similar to the corresponding phthalimides, electronically excited pyromellitic diimides oxidize alkyl carboxylates in aqueous solution via intermolecular electron transfer (PET) processes, which eventually results in radical–radical combination products, e.g., the benzylation product 6 from N,N′-dimethyl pyromellitic diimide 5. The analogous product 7 was formed with pivalic acid as tert-butyl radical source. One additional product 8 was isolated from alkylation/dearomatization and multiple radical additions, respectively, after prolonged irradiation. In intramolecular versions, from N-carboxyalkylated pyromellitic diimides 9a–e (C1 to C5-spaced), degradation processes were detected, e.g., the cyclization products 10 from the GABA substrate 9c. In sharp contrast to phthalimide photochemistry, the green pyromellitic diimide radical anion was detected here by UV-vis absorption abs = 720 nm), EPR (from 9d), and NMR spectroscopy for several intramolecular electron transfer examples. Only the yellow 1,4-quinodial structure is formed from intermolecular PET, which was deduced from the absorption spectra (λabs = 440 nm) and the subsequent chemistry. The pyromellitimide radical anion lives for hours at room temperature in the dark, but is further degraded under photochemical reaction conditions. Full article
Show Figures

Figure 1

11 pages, 8326 KB  
Article
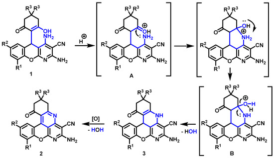
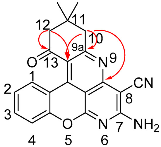
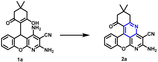
Oxidative Cyclization of 5H-Chromeno[2,3-b]pyridines to Benzo[b]chromeno[4,3,2-de][1,6]naphthyridines, Their NMR Study and Computer Evaluation as Material for LED
by Yuliya E. Ryzhkova, Fedor V. Ryzhkov, Artem N. Fakhrutdinov and Michail N. Elinson
Molecules 2022, 27(13), 4156; https://doi.org/10.3390/molecules27134156 - 28 Jun 2022
Cited by 5 | Viewed by 2123
Abstract
Oxidative cyclization is one of the most significant reactions in organic synthesis. Naphthyridine derivatives are often used as luminescence materials in molecular recognition because of their rigid planar structure and as new drugs. Organic light-emitting diodes (OLEDs) have rapidly grown as one of [...] Read more.
Oxidative cyclization is one of the most significant reactions in organic synthesis. Naphthyridine derivatives are often used as luminescence materials in molecular recognition because of their rigid planar structure and as new drugs. Organic light-emitting diodes (OLEDs) have rapidly grown as one of the leading technologies for full-color display panels and eco-friendly lighting sources. In this work, we propose the synthesis of previously unknown benzo[b]chromeno[4,3,2-de][1,6]naphthyridines via intermolecular oxidative cyclization of 5-(2-hydroxy-6-oxocyclohexyl)-5H-chromeno[2,3-b]pyridines in formic acid. The investigation of the reaction mechanism using 1H-NMR monitoring made it possible to confirm the proposed mechanism of the transformation. The structure of synthesized benzo[b]chromeno[4,3,2-de][1,6]naphthyridines was confirmed by 2D-NMR spectroscopy. Such a rigid geometry of synthesized compounds is desired to minimize non-radiative energy losses in OLEDs. The quantum chemical calculations are also presented in the study. Full article
(This article belongs to the Section Organic Chemistry)
Show Figures

Graphical abstract

73 pages, 19035 KB  
Review
Azides in the Synthesis of Various Heterocycles
by AbdElAziz A. Nayl, Ashraf A. Aly, Wael A. A. Arafa, Ismail M. Ahmed, Ahmed I. Abd-Elhamid, Esmail M. El-Fakharany, Mohamed A. Abdelgawad, Hendawy N. Tawfeek and Stefan Bräse
Molecules 2022, 27(12), 3716; https://doi.org/10.3390/molecules27123716 - 9 Jun 2022
Cited by 33 | Viewed by 11688
Abstract
In this review, we focus on some interesting and recent examples of various applications of organic azides such as their intermolecular or intramolecular, under thermal, catalyzed, or noncatalyzed reaction conditions. The aforementioned reactions in the aim to prepare basic five-, six-, organometallic heterocyclic-membered [...] Read more.
In this review, we focus on some interesting and recent examples of various applications of organic azides such as their intermolecular or intramolecular, under thermal, catalyzed, or noncatalyzed reaction conditions. The aforementioned reactions in the aim to prepare basic five-, six-, organometallic heterocyclic-membered systems and/or their fused analogs. This review article also provides a report on the developed methods describing the synthesis of various heterocycles from organic azides, especially those reported in recent papers (till 2020). At the outset, this review groups the synthetic methods of organic azides into different categories. Secondly, the review deals with the functionality of the azido group in chemical reactions. This is followed by a major section on the following: (1) the synthetic tools of various heterocycles from the corresponding organic azides by one-pot domino reaction; (2) the utility of the chosen catalysts in the chemoselectivity favoring C−H and C-N bonds; (3) one-pot procedures (i.e., Ugi four-component reaction); (4) nucleophilic addition, such as Aza-Michael addition; (5) cycloaddition reactions, such as [3+2] cycloaddition; (6) mixed addition/cyclization/oxygen; and (7) insertion reaction of C-H amination. The review also includes the synthetic procedures of fused heterocycles, such as quinazoline derivatives and organometal heterocycles (i.e., phosphorus-, boron- and aluminum-containing heterocycles). Due to many references that have dealt with the reactions of azides in heterocyclic synthesis (currently more than 32,000), we selected according to generality and timeliness. This is considered a recent review that focuses on selected interesting examples of various heterocycles from the mechanistic aspects of organic azides. Full article
(This article belongs to the Section Organic Chemistry)
Show Figures

Graphical abstract

15 pages, 6614 KB  
Article
Nanostructured Na2CaP2O7: A New and Efficient Catalyst for One-Pot Synthesis of 2-Amino-3-Cyanopyridine Derivatives and Evaluation of Their Antibacterial Activity
by Redouane Achagar, Abdelhakim Elmakssoudi, Abderrahmane Thoume, Mohamed Dakir, Abdelaziz Elamrani, Yassine Zouheir, Mohamed Zahouily, Zouhair Ait-Touchente, Jamal Jamaleddine and Mohamed M. Chehimi
Appl. Sci. 2022, 12(11), 5487; https://doi.org/10.3390/app12115487 - 28 May 2022
Cited by 15 | Viewed by 4279
Abstract
A facile and novel synthesis of thirteen 2-amino-3-cyanopyridine derivatives 5(am) by a one-pot multicomponent reactions (MCRs) is described for the first time, starting from aromatic aldehydes, malononitrile, methyl ketones, or cyclohexanone and ammonium acetate in the presence of [...] Read more.
A facile and novel synthesis of thirteen 2-amino-3-cyanopyridine derivatives 5(am) by a one-pot multicomponent reactions (MCRs) is described for the first time, starting from aromatic aldehydes, malononitrile, methyl ketones, or cyclohexanone and ammonium acetate in the presence of the nanostructured diphosphate Na2CaP2O7 (DIPH) at 80 °C under solvent-free conditions. These compounds were brought into existence in a short period with good to outstanding yields (84–94%). The diphosphate Na2CaP2O7 was synthesized and characterized by different techniques (FT-IR, XRD, SEM, and TEM) and used as an efficient, environmentally friendly, easy-to-handle, harmless, secure, and reusable catalyst. Our study was strengthened by combining five new pyrido[2,3-d]pyrimidine derivatives 6(b, c, g, h, j) by intermolecular cyclization of 2-amino-3-cyanopyridines 5(b, c, g, h, j) with formamide. The synthesized products were characterized by FT-IR, 1H NMR, and 13C NMR and by comparing measured melting points with known values reported in the literature. Gas chromatography/mass spectrometry was used to characterize the newly synthesized products and evaluate their purity. The operating conditions were optimized using a model reaction in which the catalyst amount, temperature, time, and solvent effect were evaluated. Antibacterial activity was tested against approved Gram-positive and Gram-negative strains for previously mentioned compounds. Full article
Show Figures

Graphical abstract

Back to TopTop