X-Ray Shielding Polymer Based on Sequential Polycondensation of BiPh3 and Carboxylic Acids and Radical Polymerization
Abstract
1. Introduction
2. Materials and Methods
2.1. Materials
2.2. Measurements
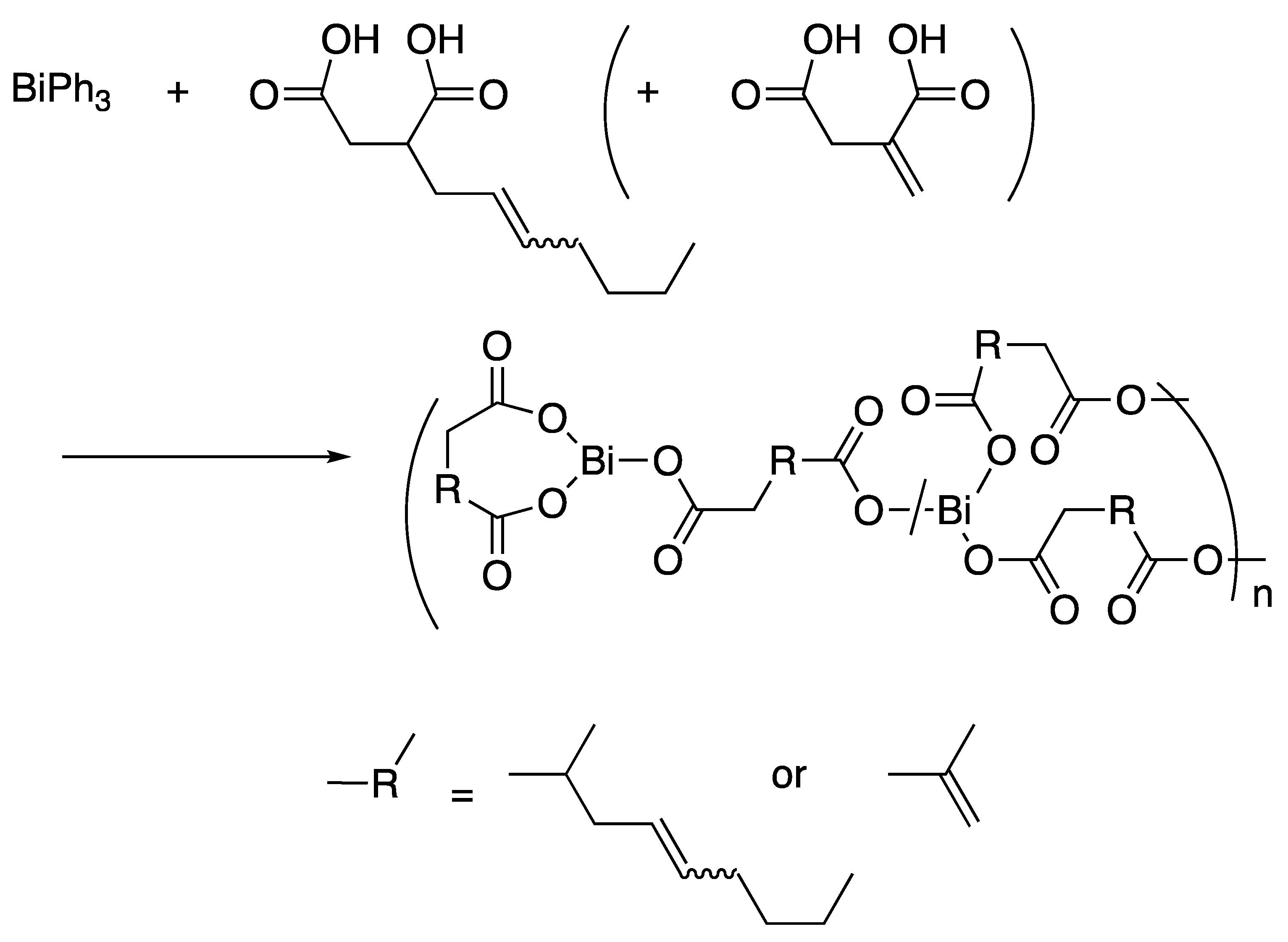
2.3. Polycondensation of BiPh3 and OSA (Typical Procedure)
2.4. Polycondensation of BiPh3, OSA, and IA (Typical Procedure)
2.5. Polycondensation of BiPh3, OSA, and SA (Typical Procedure)
2.6. Photocuring of Bismuth Carboxylate Polymer In Situ Prepared by the Polycondensation of BiPh3, OSA, and IA in DMAA
3. Results
3.1. Optimization of Synthesis of Bismuth Carboxylate Prepolymers
3.2. Synthesis and Properties of Bix(OSA-IA:y-z)-co-DMAA
3.3. X-Ray Shielding Properties of Bix(OSA-IA:7-3)-co-DMAA
4. Conclusions
Supplementary Materials
Author Contributions
Funding
Institutional Review Board Statement
Data Availability Statement
Conflicts of Interest
References
- Nambiar, S.; Yeow, J.T.W. Polymer-composite materials for radiation protection. ACS Appl. Mater. Interfaces 2012, 4, 5717–5726. [Google Scholar] [CrossRef] [PubMed]
- Bijanu, A.; Arya, R.; Agrawal, V.; Tomar, A.S.; Gowri, V.S.; Sanghi, S.K.; Mishra, D.; Salammal, S.T. Metal-polymer composites for radiation protection: A review. J. Polym. Res. 2021, 28, 392. [Google Scholar] [CrossRef]
- El-Khatib, A.M.; Abbas, Y.M.; Badawi, M.S.; Hagag, O.M.; Alabsy, M.T. Gamma radiation shielding properties of recycled polyvinyl chloride composites reinforced with micro/nano-structured PbO and CuO particles. Phys. Scr. 2021, 96, 125316. [Google Scholar] [CrossRef]
- Prabhu, S.; Bubbly, S.G.; Gudennavar, S.B. X-ray and γ-ray shielding efficiency of polymer composites: Choice of fillers, effect of loading and filler size, photon energy and multifunctionality. Polym. Rev. 2022, 63, 246–288. [Google Scholar] [CrossRef]
- Wani, A.L.; Ara, A.; Usmani, J.A. Lead toxicity: A review. Interdiscip. Toxicol. 2015, 8, 55–64. [Google Scholar] [CrossRef]
- Bawazeer, O.; Makkawi, K.; Aga, Z.B.; Albakri, H.; Assiri, N.; Althagafy, K.; Aklouni, A.-W. A review on using nanocomposites as shielding materials against ionizing radiation. J. Umm Al-Qura Univ. Appll. Sci. 2023, 9, 325–340. [Google Scholar] [CrossRef]
- Kim, S.C.; Lee, H.K.; Cho, J.H. Analysis of low-dose radiation shield effectiveness of multi-gate polymeric sheets. Radiat. Eff. Defects Solids 2014, 169, 584–591. [Google Scholar] [CrossRef]
- Mazzocchetti, L.; Cortecchia, E.; Scandola, M. Organic−inorganic hybrids as transparent coatings for UV and X-ray shielding. ACS Appl. Mater. Interfaces 2009, 1, 726–734. [Google Scholar] [CrossRef] [PubMed]
- Yang, C.; Tang, Y.H.; Lam, W.M.; Lu, W.W.; Gao, P.; Zhao, C.B.; Yuen, M.M. Moisture-cured elastomeric transparent UV and X-ray shielding organic–inorganic hybrids. J. Mater. Sci. 2010, 45, 3588–3594. [Google Scholar] [CrossRef]
- Ozdogan, H.; Kacal, M.R.; Kilicoglu, O.; Palat, H.; Ogul, H.; Akman, F. Experimental, simulation, and theoretical investigations of gamma and neutron shielding characteristics for reinforced with boron carbide and titanium oxide composites. Radiat. Phys. Chem. 2025, 226, 112167. [Google Scholar] [CrossRef]
- Mahmoud, K.; Tashlykov, O.; Almuqrin, A.H.; Sayyed, M.; Vlasova, S. Assessment of mechanical and radiation shielding capacity for a ternary CdO–BaO–B2O3 glass system: A comprehensive experimental, Monte Carlo simulation, and theoretical studies. Progr. Nucl. Energy 2022, 146, 104169. [Google Scholar] [CrossRef]
- Özkalaycı, F.; Kaçal, M.; Polat, H.; Agar, O.; Almousa, N.; Akman, F. Lead-free Sb-based polymer composite for γ-ray shielding purposes. Radiochim. Acta 2022, 110, 393–402. [Google Scholar] [CrossRef]
- Kim, J.; Seo, D.; Lee, B.C.; Seo, Y.S.; Miller, W.H. Nano-W dispersed gamma radiation shielding materials. Adv. Eng. Mater. 2014, 16, 1083–1089. [Google Scholar] [CrossRef]
- Chang, L.; Zhang, Y.; Liu, Y.; Fang, J.; Luan, W.; Yang, X.; Zhang, W. Preparation and characterization of tungsten/epoxy composites for γ-rays radiation shielding. Nucl. Instrum. Methods Phys. Res. Sect. B 2015, 356–357, 88–93. [Google Scholar] [CrossRef]
- Azman, M.N.; Abualroos, N.J.; Yaacob, K.A.; Zainon, R. Feasibility of nanomaterial tungsten carbide as lead-free nanomaterial-based radiation shielding. Rad. Phys. Chem. 2023, 202, 110492. [Google Scholar] [CrossRef]
- Mohan, R. Green bismuth. Nat. Chem. 2010, 2, 336. [Google Scholar] [CrossRef] [PubMed]
- Shik, N.A.; Gholamzadeh, L. X-ray shielding performance of the EPVC composites with micro- or nanoparticles of WO3, PbO or Bi2O3. Appl. Radiat. Isot. 2018, 139, 61–65. [Google Scholar] [CrossRef] [PubMed]
- Yu, L.; Yap, P.L.; Santos, A.; Tran, D.; Losic, D. Lightweight bismuth titanate (Bi4Ti3O12) nanoparticle-epoxy composite for advanced lead-free X-ray radiation shielding. ACS Appl. Nano Mater. 2021, 4, 7471–7478. [Google Scholar] [CrossRef]
- Kaewpirom, S.; Chousangsuntorn, K.; Boonsang, S. Evaluation of micro- and nano-bismuth(III) oxide coated fabric for environmentally friendly X-ray shielding materials. ACS Omega 2022, 7, 28248–28257. [Google Scholar] [CrossRef] [PubMed]
- Baamer, M.A.; Alshahri, S.; Basfar, A.A.; Alsuhybani, M.; Alrwais, A. Novel polymer composites for lead-free shielding applications. Polymers 2024, 16, 1020. [Google Scholar] [CrossRef] [PubMed]
- Ignatious, F.; Sein, A.; Delavis, Y.; Cabasso, I.; Smid, J. Organobismuth polymers as X-ray contrast materials: Synthesis, characterization and properties. Polymer 1992, 33, 1724–1730. [Google Scholar] [CrossRef]
- Chatterjee, G.; Ignatious, F.; Cabasso, I.; Smid, J. X-ray contrast polymers of p-styryldi(p-tolyl)bismuth: Synthesis and properties. Polymer 1995, 36, 2289–2296. [Google Scholar] [CrossRef]
- Tamber, H.; Smid, J.; Cabasso, I. Radiopaque Copolymers of styryldiphenylbismuth vinylbenzylphosphonate and methyl methacrylate. Chem. Mater. 1997, 9, 1335–1341. [Google Scholar] [CrossRef]
- Matsumura, Y.; Horikoshi, H.; Furukawa, K.; Miyamoto, M.; Nishimura, Y.; Ochiai, B. Synthesis of bismuth-containing polymer films with high refractive index and X-ray shielding property by radical polymerization of styrylbismuthine derivatives. ACS Macro Lett. 2022, 11, 723–726. [Google Scholar] [CrossRef] [PubMed]
- Miersch, L.; Rüffer, T.; Mehring, M. Organic–inorganic hybrid materials starting from the novel nanoscaled bismuth oxido methacrylate cluster [Bi38O45(OMc)24(DMSO)9]·2DMSO·7H2O. Chem. Commun. 2011, 47, 6353–6355. [Google Scholar] [CrossRef]
- Fritsch, J.; Mansfeld, D.; Mehring, M.; Wursche, R.; Grothe, J.; Kaskel, S. Refractive index tuning of highly transparent bismuth containing polymer composites. Polymer 2011, 52, 3263–3268. [Google Scholar] [CrossRef]
- Ochiai, B.; Kikuta, K.; Matsumura, Y.; Horikoshi, H.; Furukawa, K.; Miyamoto, M.; Nishimura, Y. Transparent and photochromic material prepared by copolymerization of bismuth(III) methacrylate. ACS Appl. Polym. Mater. 2021, 3, 4419–4423. [Google Scholar] [CrossRef]
- Ochiai, B.; Kikuta, K.; Matsumura, Y.; Horikoshi, H.; Furukawa, K.; Miyamoto, M.; Nishimura, Y. Synthesis of transparent X-ray shielding materials by radical polymerization of bismuth complex of acrylic acid dimer. J. Network Polym. Jpn. 2024, 45, 136–142. [Google Scholar]
- Preda, A.-M.; Krasowska, M.; Wrobel, L.; Kitschke, P.; Andrews, P.C.; MacLellan, J.G.; Mertens, L.; Korb, M.; Rüffer, T.; Lang, H.; et al. Evaluation of dispersion type metal···π arene interaction in arylbismuth compounds—An experimental and theoretical study. Beilstein J. Org. Chem. 2018, 14, 2125–2145. [Google Scholar] [CrossRef]
- Gupta, A.D.; Pandey, S.; Jaiswal, V.K.; Bhadauria, V.; Singh, H. Simultaneous oxidation and esterification of cellulose for use in treatment of water containing Cu(II) ions. Carbohydr. Polym. 2019, 222, 114964. [Google Scholar] [CrossRef] [PubMed]
- Georgiades, A.; Latscha, H.P. Reaktion von triphenylbismutan mit aliphatischen dicarbonsäuren. Z. Naturforsch. 1980, 35, 1000–1001. [Google Scholar] [CrossRef][Green Version]
- Briceño, A.V.; de Delgado, G.D.; Ramírez, B.V.; Velásquez, W.O.; Bahsas, A.B. Crystal chemistry and thermal behavior of metal salts and complexes of unsaturated dicarboxylic acids: Aquabis (hydrogen itaconato) barium(II), [Ba(C5H5O4)2(OH2)]. J. Chem. Crystallogr. 1999, 29, 785–791. [Google Scholar]
- Porollo, N.P.; Aliev, Z.G.; Dzhardimalieva, G.I.; Ivleva, I.N.; Uflyand, I.E.; Pomogailo, A.D.; Ovanesyan, N.S. Synthesis and reactivity of metal-containing monomers. 47. Synthesis and structure of salts of unsaturated dicarboxylic acids. Russ. Chem. Bull. 1997, 46, 362–370. [Google Scholar] [CrossRef]
- Li, Z.; Li, X.; Gao, X.; Zhang, F.; Zhang, C.; Zhai, B. Reversible dynamic structural transformation between 3D and 1D Cd-co heterometallic MOFs showing switchable spin-canted antiferromagnetism. Cryst. Growth Des. 2020, 20, 1103–1109. [Google Scholar] [CrossRef]
- Han, X.; Guo, J.; Ma, S.; Li, B.; Sun, Y.; Li, C.; Li, R.; Li, C. Mechanically robust, recyclable, and highly thermally conductive ethylene–propylene–diene monomer/boron nitride composite enabled by multiple interfacial cross-linking networks. ACS Sustain. Chem. Eng. 2024, 12, 8313–8324. [Google Scholar] [CrossRef]
- Henlea, J.; Kaskel, S. Preparation of photochromic transparent BiOX (X = Cl, I)/PLA nanocomposite materials via microemulsion polymerization. J. Mater. Chem. 2007, 17, 4964–4971. [Google Scholar] [CrossRef]
- Luz, A.; Feldmann, C. Reversible photochromic effect and electrochemical voltage driven by light-induced Bi0-formation. J. Mater. Chem. 2009, 19, 8107–8111. [Google Scholar] [CrossRef]










| Run | Solvent | Dicarboxylic Acid | X | Yield (%) | Unit Ratio a | Dh (nm) b | PDI b | Solubility (THF) |
|---|---|---|---|---|---|---|---|---|
| 1 | MEK | OSA | 1.0 | 83 c | NA | 440 | 0.31 | Sol |
| 2 | THF | OSA | 1.0 | 84 c | NA | 27 | 0.09 | Sol |
| 3 | THF | OSA | 1.2 | 73 c | NA | 277 | 0.27 | Sol |
| 4 | THF | OSA | 1.5 | 68 d | NA | NA | NA | Insol |
| 5 | THF | OSA:IA | 0.7/0.3 | 32 d | NA | NA | NA | Insol |
| 6 | THF | OSA:IA | 0.8/0.2 | 66 c | NA | NA | NA | Sol to Insol |
| 7 | THF | OSA:IA | 0.9/0.1 | 90 c | 92/8 | 152 | 0.25 | Sol |
| 8 | THF | OSA:SA | 0.5/0.5 | 49 d | NA | NA | NA | Insol |
| 9 | THF | OSA:SA | 0.7/0.3 | 72 c | 72/28 | NA | NA | Sol to Insol |
| Polymer | Bi Content (wt%) a | Td5 (°C) b | Tg (°C) c | Gel Fraction (%) d |
|---|---|---|---|---|
| Bi23(OSA-IA:9-1)-co-DMAA | 23 | 188 | 89 | 17 |
| Bi20(OSA-IA:7-3)-co-DMAA | 20 | 190 | 95 | 59 |
| Bi19(OSA-IA:5-5)-co-DMAA | 19 | 190 | 100 | 77 |
| Bi21(OSA-IA:3-7)-co-DMAA | 21 | 196 | 113 | 78 |
| cf. polyDMAA | 0 | 285 | 89 | 0 |
| Polymer | Bi/DMAA (mol/mol) a | Bi Content (wt%) b | Tg (°C) c | Transmittance (% @ 589 nm) d |
|---|---|---|---|---|
| Bi12(OSA-IA:7-3)-co-DMAA | 7/93 | 12 | 86 | 91 |
| Bi15(OSA-IA:7-3)-co-DMAA | 10/90 | 15 | 96 | 90 |
| Bi20(OSA-IA:7-3)-co-DMAA | 15/85 | 20 | 95 | 90 |
| Bi23(OSA-IA:7-3)-co-DMAA | 18/82 | 23 | 97 | 90 |
| Bi27(OSA-IA:7-3)-co-DMAA | 25/75 | 27 | 95 | 90 |
| cf. polyDMAA | 0/100 | 0 | 89 | 92 |
| Polymer | Content of Inorganic Element (wt%) | Radiopacity (mm-Al/mm-polymer) | Transmittance (% @ 420 nm) a |
|---|---|---|---|
| polyDMAA | 0 | 0.05 c | 90 |
| Bi12(OSA-IA:7-3)-co-DMAA | 12 b | 0.30 c | 90 |
| Bi15(OSA-IA:7-3)-co-DMAA | 15 b | 0.41 c | 89 |
| Bi20(OSA-IA:7-3)-co-DMAA | 20 b | 0.61 c | 84 |
| Bi23(OSA-IA:7-3)-co-DMAA | 23 b | 0.70 c | 85 |
| Bi27(OSA-IA:7-3)-co-DMAA | 27 b | 0.80 c | 83 |
| Poly(BiMA-co-DMAA) [27] | 18 | 0.60 c | 83 |
| poly(BiCEA-co-2CEA) [28] | 31 | 1.31 c | 74 |
| Poly(MSt-co-TSBi) [24] | 41.6–43.4 | 1.40–1.60 c | 59–68 |
| Poly(p-styryldi(p-tolyl)bismuth-co-MMA) [22] | 11.3 | 1.36 d | n.d. e |
| nano-Bi2O3-poly(vinyl chloride) [17] | 36 | 2.29 f | n.d. e |
| Bismuth titanate-epoxy composite [18] | Bi: 46 Ti: 8 | 4.0 g | Not transparent |
| Polyester-titania composite [8] | 13.5 | No quantitative analysis | 85 h |
| Polyurethane-titania composite [9] | ca. 3–15 | No quantitative analysis | 67–84 |
Disclaimer/Publisher’s Note: The statements, opinions and data contained in all publications are solely those of the individual author(s) and contributor(s) and not of MDPI and/or the editor(s). MDPI and/or the editor(s) disclaim responsibility for any injury to people or property resulting from any ideas, methods, instructions or products referred to in the content. |
© 2025 by the authors. Licensee MDPI, Basel, Switzerland. This article is an open access article distributed under the terms and conditions of the Creative Commons Attribution (CC BY) license (https://creativecommons.org/licenses/by/4.0/).
Share and Cite
Ochiai, B.; Kamiya, R.; Matsumura, Y.; Tanaka, H.; Ueda, H.; Uera, K.; Furukawa, K.; Nishimura, Y. X-Ray Shielding Polymer Based on Sequential Polycondensation of BiPh3 and Carboxylic Acids and Radical Polymerization. Polymers 2025, 17, 134. https://doi.org/10.3390/polym17020134
Ochiai B, Kamiya R, Matsumura Y, Tanaka H, Ueda H, Uera K, Furukawa K, Nishimura Y. X-Ray Shielding Polymer Based on Sequential Polycondensation of BiPh3 and Carboxylic Acids and Radical Polymerization. Polymers. 2025; 17(2):134. https://doi.org/10.3390/polym17020134
Chicago/Turabian StyleOchiai, Bungo, Ryo Kamiya, Yoshimasa Matsumura, Hiroyasu Tanaka, Hideki Ueda, Kazuyoshi Uera, Kikuo Furukawa, and Yoshio Nishimura. 2025. "X-Ray Shielding Polymer Based on Sequential Polycondensation of BiPh3 and Carboxylic Acids and Radical Polymerization" Polymers 17, no. 2: 134. https://doi.org/10.3390/polym17020134
APA StyleOchiai, B., Kamiya, R., Matsumura, Y., Tanaka, H., Ueda, H., Uera, K., Furukawa, K., & Nishimura, Y. (2025). X-Ray Shielding Polymer Based on Sequential Polycondensation of BiPh3 and Carboxylic Acids and Radical Polymerization. Polymers, 17(2), 134. https://doi.org/10.3390/polym17020134

