Abstract
Oxidative cyclization is one of the most significant reactions in organic synthesis. Naphthyridine derivatives are often used as luminescence materials in molecular recognition because of their rigid planar structure and as new drugs. Organic light-emitting diodes (OLEDs) have rapidly grown as one of the leading technologies for full-color display panels and eco-friendly lighting sources. In this work, we propose the synthesis of previously unknown benzo[b]chromeno[4,3,2-de][1,6]naphthyridines via intermolecular oxidative cyclization of 5-(2-hydroxy-6-oxocyclohexyl)-5H-chromeno[2,3-b]pyridines in formic acid. The investigation of the reaction mechanism using 1H-NMR monitoring made it possible to confirm the proposed mechanism of the transformation. The structure of synthesized benzo[b]chromeno[4,3,2-de][1,6]naphthyridines was confirmed by 2D-NMR spectroscopy. Such a rigid geometry of synthesized compounds is desired to minimize non-radiative energy losses in OLEDs. The quantum chemical calculations are also presented in the study.
1. Introduction
Oxidative cyclization is one of the most significant reactions in organic synthesis [1]. These transformations are often facilitated by expensive or toxic catalytic systems, such as palladium salts, lead acetates, and other transition-metal catalysts [2,3]. The advances in photocatalytic oxidative cyclizations catalyzed by titanium dioxide are also known [4]. Oxidative cyclizations occur widely during natural product biosynthesis [5,6] or biomimetic synthesis [7,8]. Thus, oxidative cyclization is one of the most common methods for synthesizing different ring systems.
Fused (condensed) heterocycles are systems constructed by combining two or more rings [9]. Due to their unique structural features, highly condensed polycyclic compounds are increasingly crucial in polymer chemistry, materials science, and pharmaceutical chemistry. Naphthyridines are nitrogen-containing heterocyclic analogs of naphthalenes [10]. They contain a nitrogen atom in each of their benzene rings. Naphthyridine derivatives are often used as luminescence materials because of their rigid planar structure [11] and as a scaffold for new drugs in medicinal chemistry [12].
Organic light-emitting diodes (OLEDs) have rapidly grown as one of the leading technologies for full-color display panels and eco-friendly lighting sources due to their outstanding features, including superior color quality, wide viewing angle, mercury-free manufacture, fascinating flexibility, etc. [13]. Various materials, device architectures, and processing techniques have been investigated for optimizing device performance to fulfill the requirements of lighting and display applications.
Fluorescent organic molecules can change their fluorescence properties, such as absorption, excitation, and emission [14]. The planar π-conjugated and polycyclic aromatic molecules are widely used in luminescent material. Because they would be strong absorption and emission wavelength with high-intensity concentration and higher luminescence quantum yield, but luminescence is quenched in solid-state or high-intensity media.
Finally, synthesizing new polycondensed naphthyridine derivatives is a modern relevant goal for organic chemistry.
2. Results and Discussion
2.1. Intramolecular Oxidative Cyclization of 5H-Chromeno[2,3-b]pyridines to Benzo[b]chromeno[4,3,2-de][1,6]naphthyridines
Previously we reported two methods of the pot, atom, and step economy (PASE) synthesis of 5-(2-hydroxy-6-oxocyclohexyl)-5H-chromeno[2,3-b]pyridine-3-carbonitriles 1 (Scheme 1) [15,16,17].
Scheme 1.
Two methods of the (PASE) synthesis of 5H-chromeno[2,3-b]pyridine-3-carbonitriles 1.
The synthesized chromeno[2,3-b]pyridines 1 have in their structure a hydroxyl group and an amino group located at a distance that does not contradict the intramolecular interaction. However, this cyclization did not occur during multicomponent transformations. In this regard, we decided to study the possible cyclization of already-synthesized compounds 1 and find optimal conditions for the synthesis.
Initially, to examine the intramolecular cyclization of 5-(2-hydroxy-6-oxocyclohexyl)-5H-chromeno[2,3-b]pyridine-3-carbonitriles 1, we chose 2,4-diamino-5-(2-hydroxy-4,4-dimethyl-6-oxocyclohex-1-en-1-yl)-5H-chromeno[2,3-b]pyridine-3-carbonitrile 1a as an object to find the cyclization conditions (Table 1).
Table 1.
Optimization of intramolecular oxidative cyclization conditions 1.
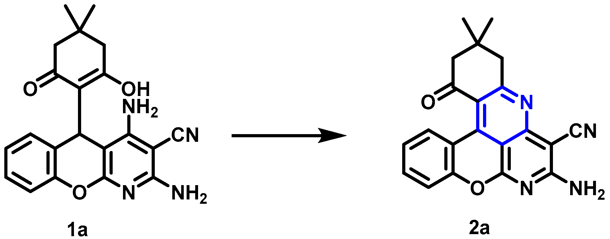
First, several experiments were carried out with dehydration agents (Scheme 2, Table 1, Entries 1–3). In these reactions, compound 1a was isolated unchanged. TsOH, HCl, and P2O5 did not lead to interaction of hydroxyl and amino groups. Further, the process was carried out in formic acid and formamide (Scheme 2, Table 1, Entries 4–9). In these solvents, the cyclization took place. More than that, in both solvents the further oxidation was recorded.
Scheme 2.
Intramolecular oxidative cyclization of 5H-chromeno[2,3-b]pyridine 1a.
It is supposed that strong polar media is required for the reaction. Possibly, formic acid and formamide interact with hydroxyl and amino groups with formation of the cyclic intermediate. The aromaticity of benzo[b]chromeno[4,3,2-de][1,6]naphthyridine 2a promotes further oxidation by dissolved oxygen.
Heating of the chromeno[2,3-b]pyridine 1a in formamide at 100 °C showed good yields (31–58%) of benzo[b]chromeno[4,3,2-de][1,6]naphthyridine 2a, and the reaction reflux resulted in partial decomposition of chromeno[2,3-b]pyridine 1a (Scheme 2, Table 1, Entries 5–7). Carrying out the reaction in formic acid made it possible to obtain better yields of 2a (78–81%). Apparently, protic polar media is more favourable for the cyclization than aprotic one. An increase in the heating time to 4 and 6 h led to the appearance of side processes and unwanted signals in the proton NMR spectra (Scheme 2, Table 1, Entries 4, 8 and 9).
Thus, the best result in the synthesis of benzo[b]chromeno[4,3,2-de][1,6]naphthyridine 2a was achieved by refluxing chromeno[2,3-b]pyridine 1a in formic acid for 2 h (Scheme 2, Table 1, Entry 4). The yield of compound 2a was 78%.
Benzo[b]chromeno[4,3,2-de][1,6]naphthyridines 2a–f were synthesized under optimal conditions from 5-(2-hydroxy-6-oxocyclohexyl)-5H-chromeno[2,3-b]pyridines 1a–f in 61–85% yields (Table 2). It is seemed that electron-donating group in R1 position slightly decreases the yields while donating group in R2 position increases them. This fact may be explained by occurrence of mesomeric effect on amino group during cyclization.
Table 2.
Intramolecular oxidative cyclization of 5H-chromeno[2,3-b]pyridines 1a–f 1.
The structure of the obtained compounds 2a–f was confirmed by 1H and 13C NMR data, IR spectroscopy, mass spectrometry, and elemental analysis. In addition, the structure study for compound 2a was also carried out using two-dimensional NMR spectroscopy techniques (see Section 2.2).
The intramolecular oxidative cyclization involves the use of simple equipment and is easy to implement; the final compounds are isolated by adding a small amount of a mixture of ethanol-water (1:1 vol.) to the reaction mass and do not require chromatographic purification or recrystallization.
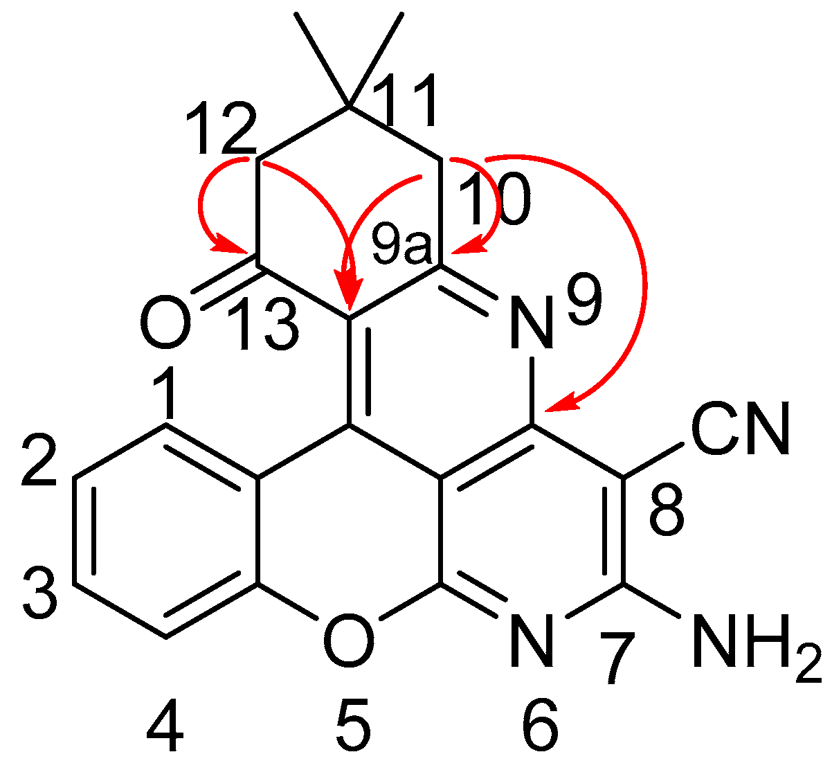
2.2. 2D NMR Study of the Structure of Compound 2a
The structure of compound 2a was confirmed by hydrogen and carbon NMR spectroscopy.
The proton spectrum showed four multiplets from aromatic hydrogens and three singlets from aliphatic fragments. All 20 signals from the compound were found in the carbon NMR spectrum. The signal assignment was carried out on the base of 2D NMR spectra (Figure 1). In the 1H-13C HMBC spectrum, the coupling between H10 of cyclohexenone and C8a of pyridine ring was observed at δH/δC 3.09/155.8 ppm, that proves the formation of another cycle by bonding of nitrogen (9) and carbon (9a).
Figure 1.
The structure of compound 2a. Key 1H-13C-HMBC spectrum correlations established by NMR are shown by arrows.
Complete correlation of signals in 1H and 13C-NMR spectra of benzo[b]chromeno[4,3,2-de][1,6]naphthyridine 2a:
1H-NMR (600 MHz, DMSO-d6) δ: 8.03 (dd, 3J = 8.3 Hz, 4J = 1.5 Hz, 1H, H1), 7.82 (s, 2H, NH2), 7.70 (ddd, 3J = 8.5 Hz, 3J = 7.1 Hz, 4J = 1.5 Hz, 1H, H3), 7.53 (dd, 3J = 8.3 Hz, 4J = 1.2 Hz, 1H, H4), 7.31 (ddd, 3J = 8.4 Hz, 3J = 7.2 Hz, 4J = 1.3 Hz, 1H, H2), 3.09 (s, 2H, H10), 2.76 (s, 2H, H12), 1.10 (s, 6H, CH3) ppm.
13C-NMR (151 MHz, DMSO-d6) δ: 198.1 (C13), 169.3 (C9a), 161.9, 159.1 (C5a, C7), 155.8 (C8a), 152.2 (C4a), 139.5 (C13b), 133.9 (C3), 129.9 (C1), 123.8 (C2), 117.8 (C4), 117.6 (C13a), 116.04 (C1a), 115.99 (CN), 104.0 (C5b), 76.3 (C8), 53.6 (C12), 48.1 (C10), 32.3 (C11), 27.9 (CH3) ppm.
Thus, the structure of compound 2a is unambiguously confirmed.
One- and two-dimensional (2D) NMR spectra of compound 2a are presented in Supplementary Materials (Figures S13–S17).
2.3. 1H NMR Reaction Monitoring and Mechanism of the Process
To study the mechanism of the process, we carried out real-time 1H NMR monitoring of the reaction. For this, the intramolecular oxidative cyclization was carried out in a NMR tube in DMSO-d6 by adding of 26-fold molar excess of formic acid relative to compound 1a (Figure 2).
Figure 2.
Representative 1H-NMR spectrum of intramolecular oxidative cyclization in DMSO-d6 at 353 K recorded 60 min after dissolution.
To reduce the influence of sample preparation, the transformation of chromeno[2,3-b]pyridine 1a was carried out and monitored directly in an NMR sample tube into a spectrometer in DMSO-d6 at 80 °C to slow down the reaction.
The NMR study recorded three significant components: 5H-chromeno[2,3-b]pyridine 1a, formic acid, and intermediate 3. A representative 1H-NMR spectrum of oxidative cyclization with the assignment of peaks showed in Figure 2. 1H-NMR spectra of the monitoring are presented in Supplementary Materials (Figures S18 and S19).
As shown in Figure 2, formic acid concentration does not change compound 1a is consumed slowly, and intermediate cyclized compound 3a is formed. Based on these data, we can conclude that cyclization occurs first, and then oxidation.
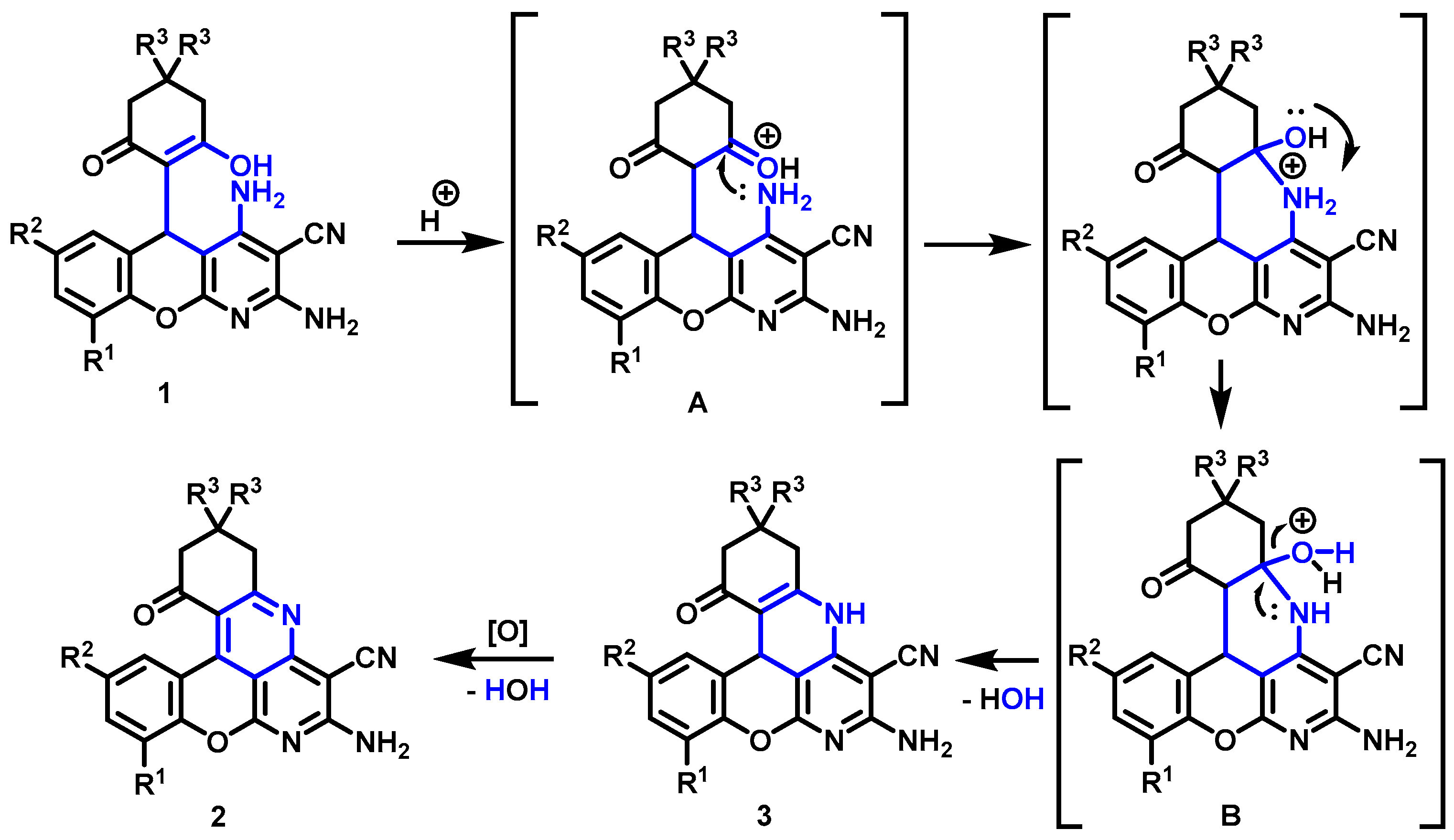
Based on the above data, the following mechanism of intramolecular oxidative cyclization of 5-(2-hydroxy-6-oxocyclohexyl)-5H-chromeno[2,3-b]pyridines 1 to 10,11,12,13-tetrahydrobenzo[b]chromeno[4,3,2-de][1,6]naphthyridines 2 (Scheme 3).
Scheme 3.
Intramolecular oxidative cyclization of 5H-chromeno[2,3-b]pyridine 1a in formic acid.
In the first stage, the keto group of the 1,3-cyclohexanedione fragment of compound 1 is protonated. Further, cation A undergoes cyclization with the formation of a new tetrahydropyridine ring and tautomerization with the appearance of a good leaving group (intermediate B). Cleavage of a water molecule leads to 9,10,11,12,13,13b-hexahydrobenzo[b]chromeno[4,3,2-de][1,6]naphthyridine 3, which is oxidized by atmospheric oxygen to 10,11,12,13-tetrahydrobenzo[b]chromeno[4,3,2-de][1,6]naphthyridine 2.
2.4. Computer Evaluation as Material for LED
There are only a few examples of synthesizing similar 1,6-naphthyridines in the literature [12,18,19,20,21]. Often such compounds are investigated as materials for LEDs or evaluated for their fluorescent properties.
During experiments, we noticed that the solute of the synthesized compound had optical effects. It turned out that a plethora of condensed aromatic compounds can display fluorescence. More than that, such a rigid geometry is desired to minimize non-radiative energy losses in organic light-emitting devices (OLEDs). Thus, azatetracenes are effective OLED materials with high current efficiency [22]. Rubrene [23] and chromenes [24,25] are known as red OLEDs.
The easiest way to estimate the suitability of an organic compound to be applied as a light-emitting material is to calculate the Highest Occupied Molecular Orbital (HOMO) and the Lowest Unoccupied Molecular Orbital (LUMO). It is important for an organic–organic interface. HOMO and LUMO difference connected to the rate of nonradiative decay. It increases with decreasing energy difference.
The quantum chemical calculations of HOMO and LUMO of synthesized compounds were performed. The results of the calculations are presented in Table 3, and frontier orbitals of several studied compounds are shown in Table 4. The results show that energy gap (ΔE(L − H)) is broad in comparison to Rubrene, but it is closer to 4,4′-bis(N-phenyl-1-naphthylamino)biphenyl (NPB) [26]. In case of OLED, it may be interesting to further investigate the synthesized compounds in multi-layer materials.
Table 3.
Results of quantum chemical calculations for studied compounds 2a–f.
Table 4.
Frontier orbitals of several studied compounds.
3. Materials and Methods
3.1. General Information
The solvents and reagents were purchased from commercial sources and used as received. 5-(2-Hydroxy-6-oxocyclohexyl)-5H-chromeno[2,3-b]pyridine-3-carbonitriles 1 were obtained according to the literature [8,9].
All melting points were measured with Gallenkamp melting-point apparatus (Gallenkamp and Co., Ltd., London, UK) and were uncorrected. 1H and 13C NMR spectra were recorded in DMSO-d6 with Bruker AM300 and Bruker AV500 spectrometers (Bruker Corporation, Billerica, MA, USA) at ambient temperature. Chemical shift values are relative to Me4Si. The numbering of atoms of compounds 2a–f, used in the interpretation of 13C-NMR spectra, is shown in Figure 1. Two-dimensional (2D) NMR spectra were registered with a Bruker AV600 spectrometer (Bruker Corporation, Billerica, MA, USA). 1H NMR monitoring spectra were registered with a Bruker AM300 spectrometer (Bruker Corporation, Billerica, MA, USA). The IR spectrum was recorded with a Bruker ALPHA-T FT-IR spectrometer (Bruker Corporation, Billerica, MA, USA) in KBr pellet. MS spectra (EI = 70 eV) were obtained directly with a Kratos MS-30 spectrometer (Kratos Analytical Ltd., Manchester, UK). For elemental analysis, a 2400 Elemental Analyzer (Perkin Elmer Inc., Waltham, MA, USA) was used.
NWChem software was used for the calculation of the orbitals [27]. The structures of 2a–f were optimized and the required energies were calculated using the Hartree–Fock theory method with the 6-311G(d) basic set.
3.2. Intramolecular Oxidative Cyclization of 5-(2-Hydroxy-6-Oxocyclohexyl)-5H-Chromeno[2,3-b]pyridine-3-Carbonitrile 1
A solution of 5-(2-hydroxy-6-oxocyclohexyl)-5H-chromeno[2,3-b]pyridine-3-carbonitrile 1 (0.5 mmol) was refluxed in formic acid (2.5 mL) for 2 h. After the completion of the reaction, a mixture of ethanol-water (1:1 vol., 2 mL), the formed precipitate of benzo[b]chromeno[4,3,2-de][1,6]naphthyridine 2 was separated by filtration, washed with cold ethanol (3 mL) and dried.
7-Amino-11,11-dimethyl-13-oxo-10,11,12,13-tetrahydrobenzo[b]chromeno[4,3,2-de][1,6]naphthyridine-8-carbonitrile 2a, (yellow powder, 0.139 g, 78%), mp > 350 °C (from formic acid-ethanol-H2O), FTIR (KBr) cm−1: 3408, 3220, 2212, 1631, 1596, 1579, 1540, 1478. 1H-NMR (300 MHz, DMSO-d6) δ 1.10 (s, 6H, 2 CH3), 2.75 (s, 2H, CH2), 3.08 (s, 2H, CH2), 7.30 (t, 3J = 8.2 Hz, 1H, CH Ar), 7.50 (d, 3J = 8.2 Hz, 1H, CH Ar), 7.69 (t, 3J = 8.2 Hz, 1H, CH Ar), 7.81 (br s, 2H, NH2), 8.01 (d, 3J = 8.2 Hz, 1H, CH Ar) ppm. 13C-NMR (126 MHz, DMSO-d6) δ 27.9 (2C, 2 CH3), 32.4 (C(11)-(CH3)2), 48.0 (C(10)H2), 53.6 (C(12)H2), 76.2 (C(8)-CN), 104.0 (C(5b)), 116.0 (2C, CN and C(1a)), 117.6 (C(13a)), 117.8 (C(4)H), 123.8 (C(2)H), 129.9 (C(1)H), 133.9 (C(3)H), 139.4 (C(13b)), 152.2 (C(4a)), 155.8 (C(8a)-N), 159.1 (C(7)-NH2), 161.9 (C(5a)), 169.3 (C(9a)), 198.1 (C(13)=O) ppm. MS (EI, 70 eV) m/z (%): 356 ([M]+, 100), 328 (31), 300 (67), 271 (29), 237 (4), 189 (3), 164 (2), 126 (1), 56 (5), 41 (11). Anal. calcd. for C21H16N4O2: C, 70.77; H, 4.53; N, 15.72%; found: C, 70.71; H, 4.58; N, 15.70%.
7-Amino-4-methoxy-11,11-dimethyl-13-oxo-10,11,12,13-tetrahydrobenzo[b]chromeno[4,3,2-de][1,6]naphthyridine-8-carbonitrile 2b, (yellow powder, 0.126 g, 65%), mp > 350 °C (from formic acid-ethanol-H2O), FTIR (KBr) cm−1: 3344, 2956, 2211, 1620, 1598, 1586, 1544, 1273. 1H-NMR (300 MHz, DMSO-d6) δ 1.10 (s, 6H, 2 CH3), 2.75 (s, 2H, CH2), 3.08 (s, 2H, CH2), 3.95 (s, 3H, OCH3), 7.21 (t, 3J = 8.2 Hz, 1H, CH Ar), 7.35 (d, 3J = 8.2 Hz, 1H, CH Ar), 7.50 (d, 3J = 8.2 Hz, 1H, CH Ar), 7.81 (br s, 2H, NH2) ppm. 13C-NMR (75 MHz, DMSO-d6) δ 28.0 (2C, 2 CH3), 32.3 (C(11)-(CH3)2), 48.1 (C(10)H2), 53.6 (C(12)H2), 56.4 (OCH3), 76.3 (C(8)-CN), 103.9 (C(5b)), 115.5 (C(3)H), 116.0 (CN), 116.7 (C(1a)), 117.9 (C(13a)), 120.7 (C(1)), 123.4 (C(2)H), 139.6 (C(13b)), 142.2 (C(4)-OCH3), 147.9 (C(4a)), 155.8 (C(8a)-N), 158.8 (C(7)-NH2), 161.9 (C(5a)), 169.3 (C(9a)), 198.1 (C(13)=O) ppm. MS (EI, 70 eV) m/z (%): 386 ([M]+, 100), 358 (25), 330 (58), 304 (13), 267 (18), 204 (6), 177 (4), 164 (4), 83 (7), 41 (9). Anal. calcd. for C22H18N4O3: C, 68.38; H, 4.70; N, 14.50%; found: C, 68.32; H, 4.74; N, 14.47%.
7-Amino-2-bromo-11,11-dimethyl-13-oxo-10,11,12,13-tetrahydrobenzo[b]chromeno[4,3,2-de][1,6]naphthyridine-8-carbonitrile 2c, (yellow powder, 0.185 g, 85%), mp > 350 °C (from formic acid-ethanol-H2O), FTIR (KBr) cm−1: 3365, 3177, 2218, 1647, 1611, 1590, 1569, 1396. 1H-NMR (300 MHz, DMSO-d6) δ 1.10 (s, 6H, 2 CH3), 2.78 (s, 2H, CH2), 3.09 (s, 2H, CH2), 7.50 (d, 3J = 8.8 Hz, 1H, CH Ar), 7.79–7.85 (m, 3H, NH2 + CH Ar), 8.21 (d, 4J = 1.5 Hz, 1H, CH Ar) ppm. 13C-NMR (75 MHz, DMSO-d6) δ 27.9 (2C, 2 CH3), 32.3 (C(11)-(CH3)2), 48.2 (C(10)H2), 53.7 (C(12)H2), 76.4 (C(8)-CN), 104.1 (C(5b)), 115.5 (C(1a)), 115.9 (CN), 117.7 (C(13a)), 118.0 (C(2)-Br), 120.1 (C(4)H), 132.0 (C(1)H), 136.2 (C(3)H), 138.3 (C(13b)), 151.5 (C(4a)), 155.8 (C(8a)-N), 158.9 (C(7)-NH2), 161.8 (C(5a)), 169.5 (C(9a)), 198.3 (C(13)=O) ppm. MS (EI, 70 eV) m/z (%): 436 (81Br, [M]+, 100), 434 (79Br, [M]+, 96), 380 (81Br, 81), 378 (79Br, 82), 354 (81Br, 18), 352 (79Br, 16), 328 (25), 317 (81Br, 13), 315 (79Br, 12), 271 (14), 201 (4), 170 (16), 128 (3), 39 (14). Anal. calcd. for C21H15BrN4O2: C, 57.95; H, 3.47; N, 12.87%; found: C, 57.89; H, 3.51; N, 12.85%.
7-Amino-2,4-dibromo-11,11-dimethyl-13-oxo-10,11,12,13-tetrahydrobenzo[b]chromeno-[4,3,2-de][1,6]naphthyridine-8-carbonitrile 2d, (yellow powder, 0.183 g, 71%), mp > 350 °C (from formic acid-ethanol-H2O), FTIR (KBr) cm−1: 3398, 3226, 2210, 1638, 1610, 1560, 1393, 1249. 1H-NMR (300 MHz, DMSO-d6) δ 1.09 (s, 6H, 2 CH3), 2.79 (s, 2H, CH2), 3.10 (s, 2H, CH2), 8.01 (br s, 2H, NH2), 8.21 (d, 4J = 2.2 Hz, 1H, CH Ar), 8.25 (d, 4J = 2.2 Hz, 1H, CH Ar) ppm. 13C-NMR (75 MHz, DMSO-d6) δ 27.9 (2C, 2 CH3), 32.3 (C(11)-(CH3)2), 48.2 (C(10)H2), 53.7 (C(12)H2), 76.6 (C(8)-CN), 104.3 (C(5b)), 111.9 (C(4)-Br), 115.4 (C(1a)), 115.7 (CN), 118.0 (C(2)-Br), 119.3 (C(13a)), 131.7 (C(1)H), 138.0 (C(13b)), 138.3 (C(3)H), 148.3 (C(4a)), 155.7 (C(8a)-N), 158.6 (C(7)-NH2), 161.9 (C(5a)), 169.6 (C(9a)), 198.2 (C(13)=O) ppm. MS (EI, 70 eV) m/z (%): 516 (81Br, 81Br, [M]+, 5), 514 (81Br, 79Br, [M]+, 11), 512 (79Br, 79Br, [M]+, 6), 460 (81Br, 81Br, 2), 458 (81Br, 79Br, 5), 456 (79Br, 79Br, 3), 397 (81Br, 81Br, 5), 395 (81Br, 79Br, 11), 393 (79Br, 79Br, 6), 371 (81Br, 81Br, 2), 369 (81Br, 79Br, 5), 367 (79Br, 79Br, 3), 314 (3), 235 (2), 208 (3), 158 (100), 130 (45), 41 (24). Anal. calcd. for C21H14Br2N4O2: C, 49.06; H, 2.74; N, 10.90%; found: C, 49.00; H, 2.78; N, 10.87%.
7-Amino-2-bromo-4-methoxy-11,11-dimethyl-13-oxo-10,11,12,13-tetrahydrobenzo[b]chromeno[4,3,2-de][1,6]naphthyridine-8-carbonitrile 2e, (yellow powder, 0.142 g, 61%), mp > 350 °C (from formic acid-ethanol-H2O), FTIR (KBr) cm−1: 3355, 2956, 2211, 1638, 1614, 1582, 1543, 1218. 1H-NMR (300 MHz, DMSO-d6) δ 1.09 (s, 6H, 2 CH3), 2.77 (s, 2H, CH2), 3.08 (s, 2H, CH2), 3.97 (s, 3H, OCH3), 7.52 (s, 1H, CH Ar), 7.66 (s, 1H, CH Ar), 7.87 (br s, 2H, NH2) ppm. 13C-NMR (75 MHz, DMSO-d6) δ 27.9 (2C, 2 CH3), 32.3 (C(11)-(CH3)2), 48.2 (C(10)H2), 53.7 (C(12)H2), 56.8 (OCH3), 76.4 (C(8)-CN), 104.1 (C(5b)), 115.2 (C(1a)), 115.9 (CN), 117.8 (C(13a)), 118.1 (2C, C(1)H and C(2)-Br), 122.7 (C(3)H), 138.4 (C(13b)), 141.7 (C(4)-OCH3), 148.8 (C(4a)), 155.8 (C(8a)-N), 158.5 (C(7)-NH2), 161.8 (C(5a)), 169.5 (C(9a)), 198.2 (C(13)=O) ppm. MS (EI, 70 eV) m/z (%): 466 (81Br, [M]+, 100), 464 (79Br, [M]+, 98), 410 (81Br, 16), 408 (79Br, 14), 355 (15), 330 (13), 257 (14), 222 (19), 178 (14), 153 (11), 90 (11), 41 (90). Anal. calcd. for C22H17BrN4O3: C, 56.79; H, 3.68; N, 12.04%; found: C, 56.72; H, 3.73; N, 12.02%.
7-Amino-13-oxo-10,11,12,13-tetrahydrobenzo[b]chromeno[4,3,2-de][1,6]naphthyridine-8-carbonitrile 2f, (yellow powder, 0.130 g, 79%), mp > 350 °C (from formic acid-ethanol-H2O), FTIR (KBr) cm−1: 3385, 3208, 2214, 1638, 1598, 1579, 1542, 1479. 1H-NMR (300 MHz, DMSO-d6) δ 2.06–2.20 (m, 2H, CH2), 2.81 (t, 3J = 6.6 Hz, 2H, CH2), 3.07 (t, 3J = 6.6 Hz, 2H, CH2), 7.30 (t, 3J = 8.1 Hz, 1H, CH Ar), 7.52 (d, 3J = 8.1 Hz, 1H, CH Ar), 7.70 (t, 3J = 8.1 Hz, 1H, CH Ar), 7.81 (br s, 2H, NH2), 8.05 (d, 3J = 8.1 Hz, 1H, CH Ar) ppm. 13C-NMR (75 MHz, DMSO-d6) δ 20.2 (C(11)H2), 34.5 (C(10)H2), 39.5 (C(12)H2), 76.2 (C(8)-CN), 104.1 (C(5b)), 116.0 (2C, CN and C(1a)), 117.8 (C(4)H), 118.5 (C(13a)), 123.9 (C(2)H), 129.9 (C(1)H), 133.9 (C(3)H), 139.8 (C(13b)), 152.2 (C(4a)), 155.6 (C(8a)-N), 159.1 (C(7)-NH2), 161.9 (C(5a)), 170.9 (C(9a)), 198.2 (C(13)=O) ppm. MS (EI, 70 eV) m/z (%): 328 ([M]+, 78), 300 (100), 271 (30), 264 (8), 237 (6), 216 (5), 189 (10), 164 (10), 136 (5), 28 (26). Anal. calcd. for C19H12N4O2: C, 69.51; H, 3.68; N, 17.06%; found: C, 69.46; H, 3.72; N, 17.03%.
4. Conclusions
In summary, the intramolecular oxidative cyclization of 5-(2-hydroxy-6-oxocyclohexyl)-5H-chromeno[2,3-b]pyridine-3-carbonitriles into previously unknown benzo[b]chromeno[4,3,2-de][1,6]naphthyridines has been found. The developed approach is facile and easy for isolating final compounds directly from the reaction mixture using water–ethanol mixture addition, and the yields of final compounds are 61–85%.
Two-dimensional (2D) NMR spectroscopy unambiguously confirmed the proposed structure of synthesized benzo[b]chromeno[4,3,2-de][1,6]naphthyridines.
During the investigation of the reaction mechanism using 1H-NMR monitoring at heating, it was determined that the reaction occurs in polar solvents. The protic solvent is more preferable than aprotic one. During the intramolecular process, the starting chromeno[2,3-b]pyridine is first cyclized, and then the cyclic intermediate is oxidized.
Such a rigid geometry of synthesized compounds may be desired in organic light-emitting devices (OLEDs). To evaluate applicability of the compounds the quantum chemical calculations were performed. The results show broad energy gap. In case of OLEDs, it may be interesting to further investigate the synthesized compounds in multi-layer materials.
Supplementary Materials
The following supporting information can be downloaded at: https://www.mdpi.com/article/10.3390/molecules27134156/s1, Figures S1–S12: 1H and 13C Spectra of synthesized compounds 2a–f, Figures S13–S17: 1D-NMR and 2D-NMR Spectra of 2a, Figures S18 and S19: 1H-NMR monitoring spectra (300 MHz, 353 K).
Author Contributions
Conceptualization, Y.E.R. and M.N.E.; methodology, Y.E.R. and M.N.E.; investigation, Y.E.R.; writing—original draft preparation, Y.E.R. and F.V.R.; writing—review and editing, M.N.E.; supervision, M.N.E.; NMR research, A.N.F.; computer study, F.V.R. All authors have read and agreed to the published version of the manuscript.
Funding
This research received no external funding.
Institutional Review Board Statement
Not applicable.
Informed Consent Statement
Not applicable.
Data Availability Statement
Data is contained within the article or Supplementary Material.
Conflicts of Interest
The authors declare no conflict of interest.
Sample Availability
Samples of the compounds 1a–f and 2a–f are available from the authors.
References
- Pola, S.; Subburu, M.; Guja, R.; Muga, V.; Tao, Y.-T. New photocatalyst for allylic aliphatic C–H bond activation and degradation of organic pollutants: Schiff base Ti(IV) complexes. RSC Adv. 2015, 5, 58504–58513. [Google Scholar] [CrossRef]
- Khan, I.; Ibrar, A.; Shehzadi, S.A. Building molecular complexity through transition-metal-catalyzed oxidative annulations/cyclizations: Harnessing the utility of phenols, naphthols and 1,3-dicarbonyl compounds. Coord. Chem. Rev. 2019, 380, 440–470. [Google Scholar] [CrossRef]
- Pericherla, K.; Kaswan, P.; Pandey, K.; Kumar, A. Recent Developments in the Synthesis of Imidazo[1,2-a]pyridines. Synthesis 2015, 47, 887–912. [Google Scholar] [CrossRef]
- Ma, D.; Liu, A.; Li, S.; Lu, C.; Chen, C. TiO2 photocatalysis for C–C bond formation. Catal. Sci. Technol. 2018, 8, 2030–2045. [Google Scholar] [CrossRef]
- Tang, M.-C.; Zou, Y.; Watanabe, K.; Walsh, C.T.; Tang, Y. Oxidative Cyclization in Natural Product Biosynthesis. Chem. Rev. 2017, 117, 5226–5333. [Google Scholar] [CrossRef] [PubMed] [Green Version]
- Ringel, M.T.; Brüser, T. The biosynthesis of pyoverdines. Microb. Cell 2018, 5, 424–437. [Google Scholar] [CrossRef] [PubMed]
- Bao, X.; Jiang, W.; Liang, J.; Huo, C. One-electron oxidative dehydrogenative annulation and cyclization reactions. Org. Chem. Front. 2020, 7, 2107–2144. [Google Scholar] [CrossRef]
- Li, X.-W.; Nay, B. Transition metal-promoted biomimetic steps in total syntheses. Nat. Prod. Rep. 2014, 31, 533–549. [Google Scholar] [CrossRef]
- Rasmussen, S.C. The nomenclature of fused-ring arenes and heterocycles: A guide to an increasingly important dialect of organic chemistry. ChemTexts 2016, 2, 16. [Google Scholar] [CrossRef] [Green Version]
- Devadoss, T.; Sowmya, V.; Bastati, R. Synthesis of 1,6-Naphthyridine and Its Derivatives: A Systematic Review. ChemistrySelect 2021, 6, 3610–3641. [Google Scholar] [CrossRef]
- Wu, H.; Lin, W.; Wan, Y.; Xin, H.; Shi, D.; Shi, Y.; Yuan, R.; Bo, R.; Yin, W. Silica gel-catalyzed one-pot syntheses in water and fluorescence properties studies of 5-amino-2-aryl-3H-chromeno[4,3,2-de][1,6]naphthyridine-4-carbonitriles and 5-amino-2-aryl-3H-quinolino[4,3,2-de][1,6]naphthyridine-4-carbonitriles. J. Comb. Chem. 2010, 12, 31–34. [Google Scholar] [CrossRef]
- Mithula, S.; Nandikolla, A.; Murugesan, S.; Kondapalli, V.G.C.S. 1,8-naphthyridine derivatives: An updated review on recent advancements of their myriad biological activities. Future Med. Chem. 2021, 13, 1591–1618. [Google Scholar] [CrossRef] [PubMed]
- Zou, S.-J.; Shen, Y.; Xie, F.-M.; Chen, J.-D.; Li, Y.-Q.; Tang, J.-X. Recent advances in organic light-emitting diodes: Toward smart lighting and displays. Mater. Chem. Front. 2020, 4, 788–820. [Google Scholar] [CrossRef]
- Kumar, N.; Udayabhanu; Basavaraj, R.B.; Mahadevan, K.M.; Nagaraju, G. Novel aggregation induced emission based 7-(diethylamino)-3-(4-nitrophenyl)-2H-chromen-2-one for forensic and OLEDs applications. Appl. Surf. Sci. 2021, 5, 100095. [Google Scholar] [CrossRef]
- Vereshchagin, A.N.; Elinson, M.N.; Anisina, Y.E.; Ryzhkov, F.V.; Goloveshkin, A.S.; Novikov, R.A.; Egorov, M.P. Synthesis, structural, spectroscopic and docking studies of new 5C-substituted 2,4-diamino-5H-chromeno[2,3-b]pyridine-3-carbonitriles. J. Mol. Struct. 2017, 1146, 766–772. [Google Scholar] [CrossRef]
- Vereshchagin, A.N.; Elinson, M.N.; Anisina, Y.E.; Ryzhkov, F.V.; Novikov, R.A.; Egorov, M.P. PASE Pseudo-Four-Component Synthesis and Docking Studies of New 5-C-Substituted 2,4-Diamino-5H-Chromeno[2,3-b]pyridine-3-Carbonitriles. ChemistrySelect 2017, 2, 4593–4597. [Google Scholar] [CrossRef]
- Elinson, M.N.; Ryzhkova, Y.E.; Ryzhkov, F.V. Multicomponent design of chromeno[2,3-b]pyridine systems. Russ. Chem. Rev. 2021, 90, 94–115. [Google Scholar] [CrossRef]
- Gan, J.; Luo, N.; Wu, C.; Wan, X.; Wang, C. Efficient Synthesis of Chromeno[4,3,2-de][1,6]naphthyridine Derivatives via Pseudo Four-Component Reaction. ChemistrySelect 2021, 6, 9032–9037. [Google Scholar] [CrossRef]
- Mohammadi, H.; Shaterian, H.R. γ-Fe2O3@SiO2-γ-aminobutyric acid as a novel superparamagnetic nanocatalyst promoted green synthesis of chromeno[4,3,2-de][1,6]naphthyridine derivatives. Monatsh. Chem. 2019, 150, 327–337. [Google Scholar] [CrossRef]
- Wang, H.-Y.; Shi, J.-J.; Wang, C.; Zhang, X.-X.; Wan, Y.; Wu, H. Novel fluorescence dyes based on entirely new chromeno[4,3,2-de][1,6]naphthyridine framework. Dyes Pigm. 2012, 95, 268–274. [Google Scholar] [CrossRef]
- Wang, H.; Shi, J.; Wang, C.; Zhang, X.; Zhao, L.; Wan, Y.; Wu, H. Synthesis and characteristics of novel fluorescence dyes based on chromeno[4,3,2-de][1,6]naphthyridine framework. Spectrochim. Acta A Mol. Biomol. Spectrosc. 2013, 103, 62–67. [Google Scholar] [CrossRef] [PubMed]
- Li, J.; Yan, F.; Gao, J.; Li, P.; Xiong, W.-W.; Zhao, Y.; Sun, X.W.; Zhang, Q. Synthesis, physical properties and OLED performance of azatetracenes. Dyes Pigm. 2015, 112, 93–98. [Google Scholar] [CrossRef]
- Laudise, R.A.; Kloc, C.; Simpkins, P.G.; Siegrist, T. Physical vapor growth of organic semiconductors. J. Cryst. Growth 1998, 187, 449–454. [Google Scholar] [CrossRef]
- Yoon, J.; Lee, J.S.; Yoon, S.S.; Kim, Y.K. Red Fluorescent Donor-π-Acceptor Type Materials based on Chromene Moiety for Organic Light-Emitting Diodes. Bull. Korean Chem. Soc. 2014, 35, 1670–1674. [Google Scholar] [CrossRef] [Green Version]
- Na, E.J.; Lee, K.H.; Han, H.; Kim, Y.K.; Yoon, S.S. Red fluorescent emitting materials based on di-tert-butyl chromene derivatives for organic light-emitting diodes. J. Nanosci. Nanotechnol. 2013, 13, 554–557. [Google Scholar] [CrossRef]
- Okumoto, K.; Kanno, H.; Hamada, Y.; Takahashi, H.; Shibata, K. High efficiency red organic light-emitting devices using tetraphenyldibenzoperiflanthene-doped rubrene as an emitting layer. Appl. Phys. Lett. 2006, 89, 013502. [Google Scholar] [CrossRef]
- Aprà, E.; Bylaska, E.J.; de Jong, W.A.; Govind, N.; Kowalski, K.; Straatsma, T.P.; Valiev, M.; van Dam, H.J.J.; Alexeev, Y.; Anchell, J.; et al. NWChem: Past, present, and future. J. Chem. Phys. 2020, 152, 184102. [Google Scholar] [CrossRef] [PubMed]
Publisher’s Note: MDPI stays neutral with regard to jurisdictional claims in published maps and institutional affiliations. |
© 2022 by the authors. Licensee MDPI, Basel, Switzerland. This article is an open access article distributed under the terms and conditions of the Creative Commons Attribution (CC BY) license (https://creativecommons.org/licenses/by/4.0/).


















